Effect of Edible Coatings of Cassava Starch Incorporated with Clove and Cinnamon Essential Oils on the Shelf Life of Papaya
Abstract
1. Introduction
2. Materials and Methods
2.1. Obtaining Fruit
2.2. Edible Coating Preparation and Fresh Papaya Coating
2.3. Concentration Tests Conducted In Vitro with EOs Presenting Antimicrobial Effect
2.4. Physicochemical Featuring of Papaya Fruits
2.5. Vitamin C and Total Carotenoids Content in Papaya Fruits
2.6. Microbiological Analysis
2.7. Experimental Design and Statistical Analysis
3. Results
3.1. Test Conducted In Vitro
3.2. Physicochemical Analyses
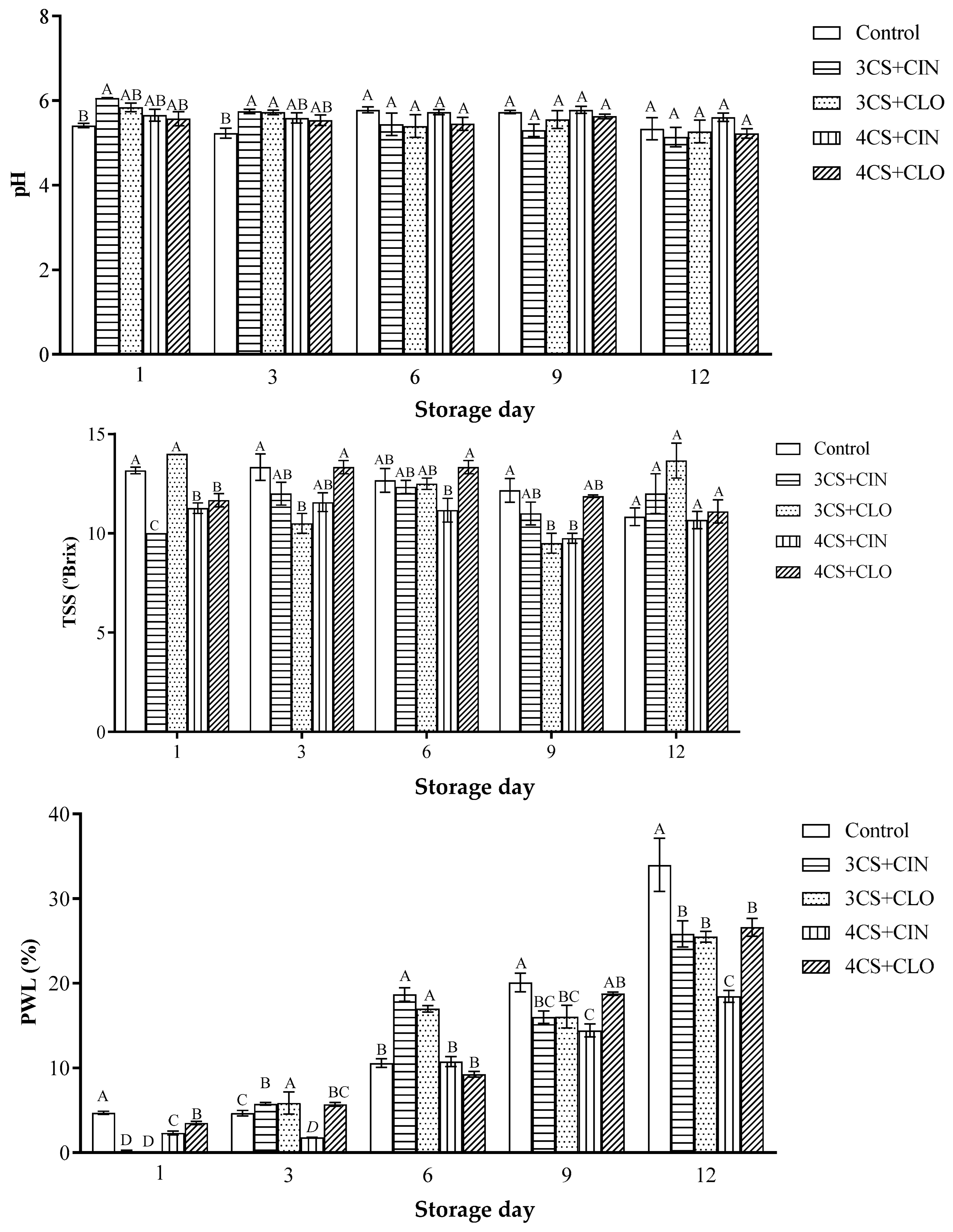
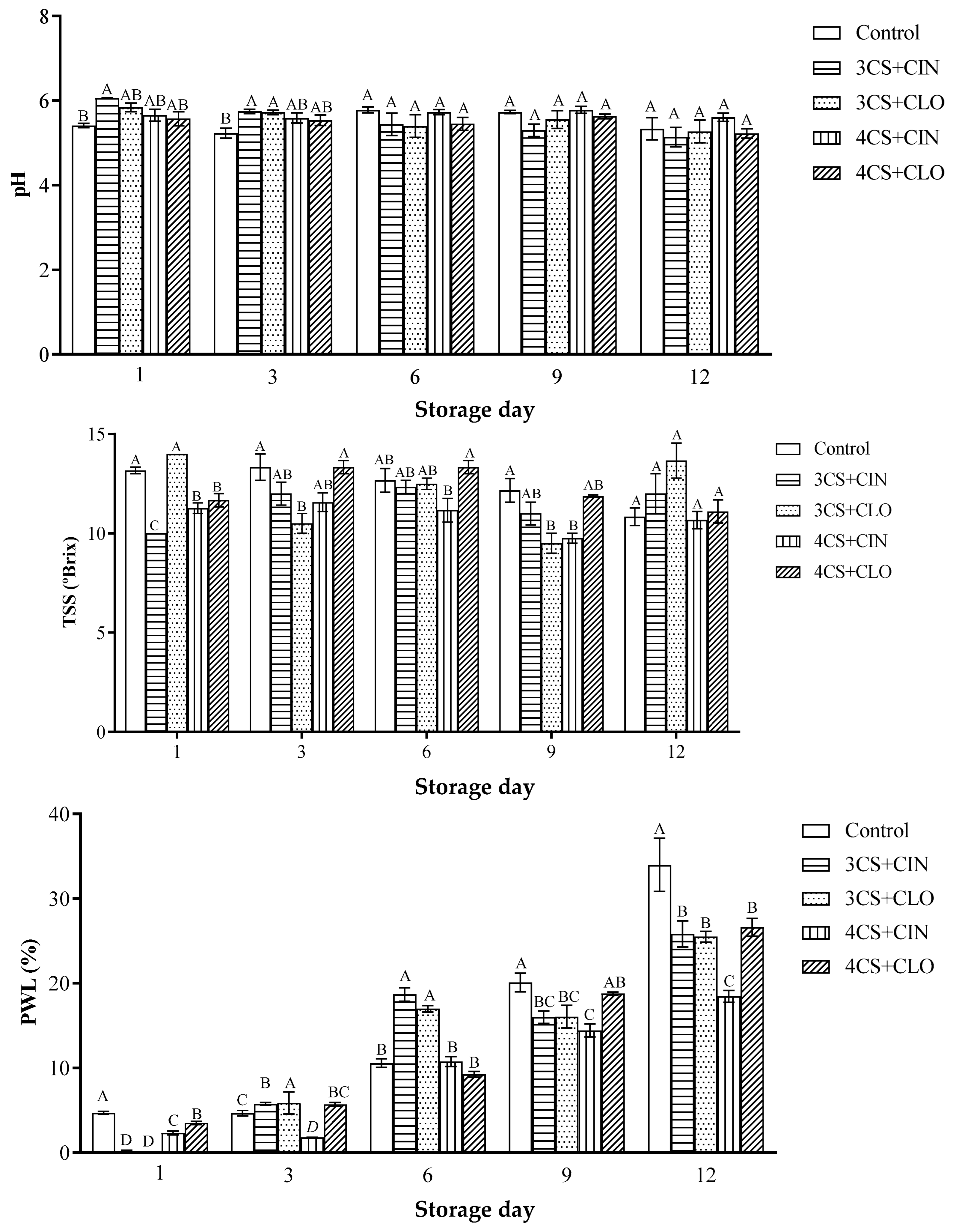
3.2.1. pH
3.2.2. TSS
3.2.3. PWL
3.3. Vitamin C and Total Carotenoids
3.4. Correlation Coefficient of Physicochemical and Nutritional Parameters
3.5. Microbiological Load of Papaya Fruits before and after Coating
4. Discussion
4.1. Inhibition Test Conducted In Vitro
4.2. Physicochemical Parameters of Papaya Fruits
4.3. Nutritional Parameters of Papaya Fruits
4.4. Microbiological Quality of Papaya Fruits
5. Conclusions
Author Contributions
Funding
Institutional Review Board Statement
Data Availability Statement
Acknowledgments
Conflicts of Interest
References
- Singh, S.P.; Sudhakar Rao, D.V. Papaya (Carica papaya L.). Postharvest Biol. Technol. Trop. Subtrop. Fruits 2011, 4, 86–124, 125e–126e. [Google Scholar] [CrossRef]
- FAO Major Tropical Fruits: Preliminary Results 2020; FAO: Rome, Italy, 2021; pp. 1–30.
- Gomes, B.L.; Fabi, J.P.; Purgatto, E. Cold Storage Affects the Volatile Profile and Expression of a Putative Linalool Synthase of Papaya Fruit. Food Res. Int. 2016, 89, 654–660. [Google Scholar] [CrossRef]
- Ming, R.; Hou, S.; Feng, Y.; Yu, Q.; Dionne-Laporte, A.; Saw, J.H.; Senin, P.; Wang, W.; Ly, B.V.; Lewis, K.L.T.; et al. The Draft Genome of the Transgenic Tropical Fruit Tree Papaya (Carica papaya Linnaeus). Nature 2008, 452, 991–996. [Google Scholar] [CrossRef]
- Huerta-Ocampo, J.Á.; Osuna-Castro, J.A.; Lino-López, G.J.; Barrera-Pacheco, A.; Mendoza-Hernández, G.; De León-Rodríguez, A.; Barba de la Rosa, A.P. Proteomic Analysis of Differentially Accumulated Proteins during Ripening and in Response to 1-MCP in Papaya Fruit. J. Proteom. 2012, 75, 2160–2169. [Google Scholar] [CrossRef] [PubMed]
- Mendy, T.K.; Misran, A.; Mahmud, T.M.M.; Ismail, S.I. Application of Aloe Vera Coating Delays Ripening and Extend the Shelf Life of Papaya Fruit. Sci. Hortic. 2019, 246, 769–776. [Google Scholar] [CrossRef]
- Mendy, T.K.; Misran, A.; Mahmud, T.M.M.; Ismail, S.I. Antifungal Properties of Aloe Vera through in Vitro and in Vivo Screening against Postharvest Pathogens of Papaya Fruit. Sci. Hortic. 2019, 257, 108767. [Google Scholar] [CrossRef]
- dos Passos Braga, S.; Lundgren, G.A.; Macedo, S.A.; Tavares, J.F.; dos Santos Vieira, W.A.; Câmara, M.P.S.; de Souza, E.L. Application of Coatings Formed by Chitosan and Mentha Essential Oils to Control Anthracnose Caused by Colletotrichum Gloesporioides and C. Brevisporum in Papaya (Carica papaya L.) Fruit. Int. J. Biol. Macromol. 2019, 139, 631–639. [Google Scholar] [CrossRef]
- Maringgal, B.; Hashim, N.; Mohamed Amin Tawakkal, I.S.; Muda Mohamed, M.T. Recent Advance in Edible Coating and Its Effect on Fresh/Fresh-Cut Fruits Quality. Trends Food Sci. Technol. 2020, 96, 253–267. [Google Scholar] [CrossRef]
- de Oliveira Filho, J.G.; Silva, G.d.C.; Oldoni, F.C.A.; Miranda, M.; Florencio, C.; de Oliveira, R.M.D.; Gomes, M.d.P.; Ferreira, M.D. Edible Coating Based on Carnauba Wax Nanoemulsion and Cymbopogon Martinii Essential Oil on Papaya Postharvest Preservation. Coatings 2022, 12, 1700. [Google Scholar] [CrossRef]
- Jarzębski, M.; Smułek, W.; Siejak, P.; Rezler, R.; Pawlicz, J.; Trzeciak, T.; Jarzębska, M.; Majchrzak, O.; Kaczorek, E.; Kazemian, P.; et al. Aesculus Hippocastanum L. as a Stabilizer in Hemp Seed Oil Nanoemulsions for Potential Biomedical and Food Applications. Int. J. Mol. Sci. 2021, 22, 887. [Google Scholar] [CrossRef]
- de Vasconcellos Santos Batista, D.; Reis, R.C.; Almeida, J.M.; Rezende, B.; Bragança, C.A.D.; da Silva, F. Edible Coatings in Post-Harvest Papaya: Impact on Physical–Chemical and Sensory Characteristics. J. Food Sci. Technol. 2020, 57, 274–281. [Google Scholar] [CrossRef] [PubMed]
- Mosa, M.A.; Youssef, K.; Hamed, S.F.; Hashim, A.F. Antifungal Activity of Eco-Safe Nanoemulsions Based on Nigella Sativa Oil against Penicillium Verrucosum Infecting Maize Seeds: Biochemical and Physiological Traits. Front. Microbiol. 2023, 13, 1108733. [Google Scholar] [CrossRef] [PubMed]
- Chavan, P.; Lata, K.; Kaur, T.; Rezek Jambrak, A.; Sharma, S.; Roy, S.; Sinhmar, A.; Thory, R.; Pal Singh, G.; Aayush, K.; et al. Recent Advances in the Preservation of Postharvest Fruits Using Edible Films and Coatings: A Comprehensive Review. Food Chem. 2023, 418, 135916. [Google Scholar] [CrossRef] [PubMed]
- Han, B.; Chen, P.; Guo, J.; Yu, H.; Zhong, S.; Li, D.; Liu, C.; Feng, Z.; Jiang, B. A Novel Intelligent Indicator Film: Preparation, Characterization, and Application. Molecules 2023, 28, 3384. [Google Scholar] [CrossRef]
- González, A.; Gastelú, G.; Barrera, G.N.; Ribotta, P.D.; Álvarez Igarzabal, C.I. Preparation and Characterization of Soy Protein Films Reinforced with Cellulose Nanofibers Obtained from Soybean By-Products. Food Hydrocoll. 2019, 89, 758–764. [Google Scholar] [CrossRef]
- Hu, Y.; Shi, L.; Ren, Z.; Hao, G.; Chen, J.; Weng, W. Characterization of Emulsion Films Prepared from Soy Protein Isolate at Different Preheating Temperatures. J. Food Eng. 2021, 309, 110697. [Google Scholar] [CrossRef]
- Zhou, Y.; Wu, X.; Chen, J.; He, J. Effects of Cinnamon Essential Oil on the Physical, Mechanical, Structural and Thermal Properties of Cassava Starch-Based Edible Films. Int. J. Biol. Macromol. 2021, 184, 574–583. [Google Scholar] [CrossRef]
- Bester, A.U.; Carvalho, I.R.; Da Silva, J.A.G.; Hutra, D.J.; Moura, N.B.; Lautenchleger, F.; Loro, M.V. Three Decades of Cassava Cultivation in Brazil: Potentialities and Perspectives. Rev. Colomb. Cienc. Hortícolas 2021, 15, e12087. [Google Scholar] [CrossRef]
- Yousuf, B.; Qadri, O.S. Preservation of Fresh-Cut Fruits and Vegetables by Edible Coatings. In Fresh-Cut Fruits and Vegetables Technologies and Mechanisms for Safety Control; Academic Press: Cambridge, MA, USA, 2020; pp. 225–242. [Google Scholar] [CrossRef]
- Pérez-Vergara, L.D.; Cifuentes, M.T.; Franco, A.P.; Pérez-Cervera, C.E.; Andrade-Pizarro, R.D. Development and Characterization of Edible Films Based on Native Cassava Starch, Beeswax, and Propolis. NFS J. 2020, 21, 39–49. [Google Scholar] [CrossRef]
- Lim, W.S.; Ock, S.Y.; Park, G.D.; Lee, I.W.; Lee, M.H.; Park, H.J. Heat-Sealing Property of Cassava Starch Film Plasticized with Glycerol and Sorbitol. Food Packag. Shelf. Life 2020, 26, 100556. [Google Scholar] [CrossRef]
- Souza, A.C.; Goto, G.E.O.; Mainardi, J.A.; Coelho, A.C.V.; Tadini, C.C. Cassava Starch Composite Films Incorporated with Cinnamon Essential Oil: Antimicrobial Activity, Microstructure, Mechanical and Barrier Properties. LWT Food Sci. Technol. 2013, 54, 346–352. [Google Scholar] [CrossRef]
- Chisenga, S.M.; Workneh, T.S.; Bultosa, G.; Alimi, B.A. Progress in Research and Applications of Cassava Flour and Starch: A Review. J. Food Sci. Technol. 2019, 56, 2799–2813. [Google Scholar] [CrossRef] [PubMed]
- Antunes, M.D.; Gago, C.M.; Cavaco, A.M.; Miguel, M.G. Edible coatings enriched with essential oils and their compounds for fresh and fresh-cut fruit. Recent Patents Food Nutr. Agric. 2012, 4, 114–122. [Google Scholar] [CrossRef]
- Suhag, R.; Kumar, N.; Petkoska, A.T.; Upadhyay, A. Film formation and deposition methods of edible coating on food products: A review. Food Res. Int. 2020, 136, 109582. [Google Scholar] [CrossRef] [PubMed]
- Xu, T.; Gao, C.; Feng, X.; Huang, M.; Yang, Y.; Shen, X.; Tang, X. Cinnamon and clove essential oils to improve physical, thermal and antimicrobial properties of chitosan-gum arabic polyelectrolyte complexed films. Carbohydr. Polym. 2019, 217, 116–125. [Google Scholar] [CrossRef] [PubMed]
- El Asbahani, A.; Miladi, K.; Badri, W.; Sala, M.; Aït Addi, E.H.; Casabianca, H.; El Mousadik, A.; Hartmann, D.; Jilale, A.; Renaud, F.N.R.; et al. Essential oils: From extraction to encapsulation. Int. J. Pharm. 2015, 483, 220–243. [Google Scholar] [CrossRef]
- Prakash, A.; Baskaran, R.; Paramasivam, N.; Vadivel, V. Essential oil based nanoemulsions to improve the microbial quality of minimally processed fruits and vegetables: A review. Food Res. Int. 2018, 111, 509–523. [Google Scholar] [CrossRef]
- Delshadi, R.; Bahrami, A.; Tafti, A.G.; Barba, F.J.; Williams, L.L. Micro and nano-encapsulation of vegetable and essential oils to develop functional food products with improved nutritional profiles. Trends Food Sci. Technol. 2020, 104, 72–83. [Google Scholar] [CrossRef]
- Oliveira, P.D.L.; de Oliveira, K.Á.R.; Vieira, W.A.D.S.; Câmara, M.P.S.; de Souza, E.L. Control of anthracnose caused by Colletotrichum species in guava, mango and papaya using synergistic combinations of chitosan and Cymbopogon citratus (D.C. ex Nees) Stapf. essential oil. Int. J. Food Microbiol. 2018, 266, 87–94. [Google Scholar] [CrossRef]
- Zillo, R.R.; da Silva, P.P.M.; de Oliveira, J.; da Glória, E.M.; Spoto, M.H.F. Carboxymethylcellulose coating associated with essential oil can increase papaya shelf life. Sci. Hortic. 2018, 239, 70–77. [Google Scholar] [CrossRef]
- Islam, M.Z.; Saha, T.; Monalisa, K.; Hoque, M.M. Effect of starch edible coating on drying characteristics and antioxidant properties of papaya. J. Food Meas. Charact. 2019, 13, 2951–2960. [Google Scholar] [CrossRef]
- Castro, M.; Mantuano, M.-I.; Coloma, J.-L.; Santacruz, S. Utilisation of Cassava Starch Edible Films Containing Salicylic Acid on Papaya (Carica papaya L.) Preservation. Rev. Politécnica 2017, 39, 1. [Google Scholar]
- Holsbach, F.M.S.; Universidade Federal da Grande Dourados; Pizato, S.; Fonteles, N.T.; De Souza, P.D.; Pinedo, R.A.; Cortez-Vega, W.R. Avaliação da vida útil de mamão formosa (Carica papaya L.) minimamente processado utilizando coberturas de amido de mandioca e óleo essencial de cravo. J. Bioenergy Food Sci. 2019, 6, 78–96. [Google Scholar] [CrossRef]
- Murmu, S.B.; Mishra, H.N. The effect of edible coating based on Arabic gum, sodium caseinate and essential oil of cinnamon and lemon grass on guava. Food Chem. 2018, 245, 820–828. [Google Scholar] [CrossRef] [PubMed]
- Wang, W.; Zhang, Y.; Yang, Z.; He, Q. Effects of incorporation with clove (Eugenia caryophyllata) essential oil (CEO) on overall performance of chitosan as active coating. Int. J. Biol. Macromol. 2021, 166, 578–586. [Google Scholar] [CrossRef] [PubMed]
- Silva, D.A.; Oliveira, J.K.; Santos, C.M.; Bery, C.C.S.; Castro, A.A.; Santos, J.A.B. The Use of Sodium Alginate-Based Coating and Cellulose Acetate in Papaya Post-Harvest Preservation. Acta Scientiarum. Technol. 2014, 36, 569. [Google Scholar] [CrossRef][Green Version]
- Farina, V.; Passafiume, R.; Tinebra, I.; Scuderi, D.; Saletta, F.; Gugliuzza, G.; Gallotta, A.; Sortino, G. Postharvest Application of Aloe Vera Gel-Based Edible Coating to Improve the Quality and Storage Stability of Fresh-Cut Papaya. J. Food Qual. 2020, 2020, 8303140. [Google Scholar] [CrossRef]
- Rojas-Graü, M.A.; Raybaudi-Massilia, R.M.; Soliva-Fortuny, R.C.; Avena-Bustillos, R.J.; McHugh, T.H.; Martín-Belloso, O. Apple Puree-Alginate Edible Coating as Carrier of Antimicrobial Agents to Prolong Shelf-Life of Fresh-Cut Apples. Postharvest. Biol. Technol. 2007, 45, 254–264. [Google Scholar] [CrossRef]
- Rangel-Marrón, M.; Mani-López, E.; Palou, E.; López-Malo, A. Effects of Alginate-Glycerol-Citric Acid Concentrations on Selected Physical, Mechanical, and Barrier Properties of Papaya Puree-Based Edible Films and Coatings, as Evaluated by Response Surface Methodology. LWT Food Sci. Technol. 2019, 101, 83–91. [Google Scholar] [CrossRef]
- Tavassoli-Kafrani, E.; Shekarchizadeh, H.; Masoudpour-Behabadi, M. Development of Edible Films and Coatings from Alginates and Carrageenans. Carbohydr. Polym. 2016, 137, 360–374. [Google Scholar] [CrossRef]
- Castricini, A.; Coneglian, R.C.C.; Deliza, R. Starch Edible Coating of Papaya: Effect on Sensory Characteristics. Food Sci. Technol. 2012, 32, 84–92. [Google Scholar] [CrossRef][Green Version]
- Da Mota Sousa, F.D.A.R.; Martins Véras, M.L.; De Melo Silva, S. Postharvest Conservation of ‘Sunrise Solo’ Papaya under Cassava Starch Coatings Added with Ginger Essential Oil. Comun. Sci. 2021, 12, e3407. [Google Scholar]
- Praseptiangga, D.; Utami, R.; Khasanah, L.U.; Evirananda, I.P. Kawiji Effect of Cassava Starch-Based Edible Coating Incorporated with Lemongrass Essential Oil on the Quality of Papaya MJ9. IOP Conf. Ser. Mater. Sci. Eng. 2017, 176, 012054. [Google Scholar] [CrossRef]
- Silvestri, J.D.F.; Paroul, N.; Czyewski, E.; Lerin, L.; Rotava, I.; Cansian, R.L.; Mossi, A.; Toniazzo, G.; De Oliveira, D.; Treichel, H. Chemical Composition and Antioxidant and Antibacterial Activities of Clove Essential Oil (Eugenia caryophyllata Thunb). Rev. Ceres 2010, 57, 589–594. [Google Scholar] [CrossRef]
- Horwitz, W.; Latimer, G. AOAC Official Methods of Analysis of AOAC International; AOAC International: Gaithersburg, MD, USA, 2005. [Google Scholar]
- Rodriguez-Amaya, D.B. A Guide to Carotenoid Analysis in Foods; ILSI Press: Washington, DC, USA, 2001. [Google Scholar]
- Downes, F.P.; Ito, K. Compendium of Methods for The Microbiological Examination of Foods; American Public Health Association: Washington, DC, USA, 2001. [Google Scholar]
- Paull, R.E.; Oliveira, J.G. Tropical Fruits: Papayas. In Controlled and Modified Atmospheres for Fresh and Fresh-Cut Produce; Academic Press: Cambridge, MA, USA, 2020; pp. 373–379. [Google Scholar] [CrossRef]
- Vilaplana, R.; Chicaiza, G.; Vaca, C.; Valencia-Chamorro, S. Combination of hot water treatment and chitosan coating to control anthracnose in papaya (Carica papaya L.) during the postharvest period. Crop Prot. 2020, 128, 105007. [Google Scholar] [CrossRef]
- Whitney, B.M.; McClure, M.; Hassan, R.; Pomeroy, M.; Seelman, S.L.; Singleton, L.N.; Blessington, T.; Hardy, C.; Blankenship, J.; Pereira, E.; et al. A Series of Papaya-Associated Salmonella Illness Outbreak Investigations in 2017 and 2019: A Focus on Traceback, Laboratory, and Collaborative Efforts. J. Food Prot. 2021, 84, 2002–2019. [Google Scholar] [CrossRef]
- CDC Salmonella Outbreak Linked to Papayas. Available online: https://www.cdc.gov/media/releases/2019/s0628-salmonella-outbreak-papayas.html (accessed on 19 July 2023).
- Pandey, V.K.; Islam, R.U.; Shams, R.; Dar, A.H. A Comprehensive Review on the Application of Essential Oils as Bioactive Compounds in Nano-Emulsion Based Edible Coatings of Fruits and Vegetables. Appl. Food Res. 2022, 2, 100042. [Google Scholar] [CrossRef]
- Zhang, Z.; Zhao, Y.; Chen, X.; Li, W.; Li, W.; Du, J.; Wang, L. Effects of Cinnamon Essential Oil on Oxidative Damage and Outer Membrane Protein Genes of Salmonella Enteritidis Cells. Foods 2022, 11, 2234. [Google Scholar] [CrossRef]
- Araujo, T.D.S.; da Costa, J.M.A.R.; de Oliveira Silva Ribeiro, F.; de Jesus Oliveira, A.C.; do Nascimento Dias, J.; de Araujo, A.R.; Barros, A.B.; da Paixão Brito, M.; de Oliveira, T.M.; de Almeida, M.P.; et al. Nanoemulsion of Cashew Gum and Clove Essential Oil (Ocimum Gratissimum Linn) Potentiating Antioxidant and Antimicrobial Activity. Int. J. Biol. Macromol. 2021, 193, 100–108. [Google Scholar] [CrossRef] [PubMed]
- Alós, E.; Rodrigo, M.J.; Zacarias, L. Ripening and Senescence. In Postharvest Physiology and Biochemistry of Fruits and Vegetables; Woodhead Publishing: Cambridge, MA, USA, 2019; pp. 131–155. [Google Scholar] [CrossRef]
- Tabassum, N.; Khan, M.A. Modified atmosphere packaging of fresh-cut papaya using alginate based edible coating: Quality evaluation and shelf life study. Sci. Hortic. 2020, 259, 108853. [Google Scholar] [CrossRef]
- Prasad, K.; Jacob, S.; Siddiqui, M.W. Fruit Maturity, Harvesting, and Quality Standards. In Preharvest Modulation of Postharvest Fruit and Vegetable Quality; Academic Press: Cambridge, MA, USA, 2018; pp. 41–69. [Google Scholar] [CrossRef]
- Khandpur, P.; Gogate, P.R. Effect of novel ultrasound based processing on the nutrition quality of different fruit and vegetable juices. Ultrason. Sonochem. 2015, 27, 125–136. [Google Scholar] [CrossRef] [PubMed]
- Bhat, R.; Goh, K.M. Sonication treatment convalesce the overall quality of hand-pressed strawberry juice. Food Chem. 2017, 215, 470–476. [Google Scholar] [CrossRef] [PubMed]
- Barrera, E.; Gil, J.; Restrepo, A.; Mosquera, K.; Durango, D. A Coating of Chitosan and Propolis Extract for the Postharvest Treatment of Papaya (Carica papaya L. Cv. Hawaiiana). Rev. Fac. Nac. Agron. Medellin. 2015, 68, 7667–7678. [Google Scholar] [CrossRef]
- Lata, D.; Aftab, M.A.; Homa, F.; Ahmad, S.; Siddiqui, M.W. Effect of eco-safe compounds on postharvest quality preservation of papaya (Carica papaya L.). Acta Physiol. Plant. 2018, 40, 8. [Google Scholar] [CrossRef]
- Khaliq, G.; Mohamed, M.T.M.; Ali, A.; Ding, P.; Ghazali, H.M. Effect of gum arabic coating combined with calcium chloride on physico-chemical and qualitative properties of mango (Mangifera indica L.) fruit during low temperature storage. Sci. Hortic. 2015, 190, 187–194. [Google Scholar] [CrossRef]
- Hazarika, T.K.; Lalthanpuii; Mandal, D. Influence of Edible Coatings on Physico-Chemical Characteristics and Shelf-Life of Papaya (Carica papaya) Fruits during Ambient Storage. Indian J. Agric. Sci. 2017, 87, 1077–1083. [Google Scholar] [CrossRef]
- Di Pasqua, R.; Betts, G.; Hoskins, N.; Edwards, M.; Ercolini, D.; Mauriello, G. Membrane Toxicity of Antimicrobial Compounds from Essential Oils. J. Agric. Food Chem. 2007, 55, 4863–4870. [Google Scholar] [CrossRef]
- Chollakup, R.; Pongburoos, S.; Boonsong, W.; Khanoonkon, N.; Kongsin, K.; Sothornvit, R.; Sukyai, P.; Sukatta, U.; Harnkarnsujarit, N. Antioxidant and Antibacterial Activities of Cassava Starch and Whey Protein Blend Films Containing Rambutan Peel Extract and Cinnamon Oil for Active Packaging. LWT Food Sci. Technol. 2020, 130, 109573. [Google Scholar] [CrossRef]
- Ali, A.; Hei, G.K.; Keat, Y.W. Efficacy of ginger oil and extract combined with gum arabic on anthracnose and quality of papaya fruit during cold storage. J. Food Sci. Technol. 2016, 53, 1435–1444. [Google Scholar] [CrossRef]
- Md Nor, S.; Ding, P. Trends and Advances in Edible Biopolymer Coating for Tropical Fruit: A Review. Food Res. Int. 2020, 134, 109208. [Google Scholar] [CrossRef]




| Treatments | Coatings | Description | References |
|---|---|---|---|
| Test in vitro | 1% SA + CLO | Sodium alginate coating at 1% with clove essential oil | [38,39,40,41,42] |
| 1% SA + CIN | Sodium alginate coating at 1% with cinnamon essential oil | ||
| 2% SA + CLO | Sodium alginate coating at 2% with clove essential oil | ||
| 2% SA + CIN | Sodium alginate coating at 2% with cinnamon essential oil | ||
| Control | None | Uncoated papayas | - |
| 3CS + CLO | 3% CS + CLO | Cassava starch coating at 3% with clove essential oil | [43,44,45,46] |
| 3CS + CIN | 3% CS + CIN | Cassava starch coating at 3% with cinnamon essential oil | |
| 4CS + CLO | 4% CS + CLO | Cassava starch coating at 4% with clove essential oil | |
| 4CS + CIN | 4% CS + CIN | Cassava starch coating at 4% with cinnamon essential oil |
| Coatings | Microorganisms | |||
|---|---|---|---|---|
| E. coli | S. enterica Enteritidis | Penicillium sp. | Colletotrichum gloeosporioides | |
| 1% SA + CLO | 4.66 ± 0.57 ab | 4.50 ± 1.32 abc | 3.33 ± 0.57 cd | 1.66 ± 0.58 ab |
| 1% SA + CIN | 4.00 ± 1.73 abc | 5.16 ± 0.28 a | 3.50 ± 0.50 bcd | 1.46 ± 0.15 bc |
| 2% SA + CLO | 4.83 ± 0.57 a | 4.83 ± 0.57 ab | 5.33 ± 0.76 a | 2.20 ± 0.78 a |
| 2% SA + CIN | 4.00 ± 1.00 abc | 3.66 ± 0.73 bc | 4.33 ± 0.76 abc | 1.43 ± 0.23 bc |
| 3% CS + CLO | 3.00 ± 1.00 bcd | 3.33 ± 0.28 dc | 3.10 ± 0.85 cd | 1.10 ± 0.24 bc |
| 3% CS + CIN | 2.50 ± 0.86 dc | 3.16 ± 1.25 dc | 4.93 ± 0.90 ab | 0.70 ± 0.11 c |
| 4% CS + CLO | 2.26 ± 0.25 cd | 3.50 ± 0.50 bcd | 2.73 ± 0.92 d | 1.30 ± 0.30 bc |
| 4% CS + CIN | 2.16 ± 0.76 d | 2.16 ± 0.28 d | 2.66 ± 1.15 d | 0.80 ± 0.16 c |
| pH | TSS | Total Carotenoids | PWL | Vitamin C | |
|---|---|---|---|---|---|
| pH | −0.0965 | −0.0616 | −0.3958 | −0.00772 | |
| TSS | 0.4426 * | −0.1681 | −0.08013 | ||
| Total carotenoids | 0.1186 | −0.04592 | |||
| PWL | 0.11133 |
| Coating | Aerobic Mesophilic Bacteria (CFU/g) | Molds and Yeasts (CFU/g) | ||
|---|---|---|---|---|
| Day 1 | Day 12 | Day 1 | Day 12 | |
| Control | 3.16 ± 0.21 aA | 3.07 ± 0.09 aA | 3.43 ± 0.29 aA | 1.82 ± 0.13 bA |
| 3% CS + CLO | 2.34 ± 0.17 aB | n.d. | 1.70 ± 0.30 aB | n.d. |
| 3% CS + CIN | 2.29 ± 0.54 aB | 1.19 ± 0.60 aB | 1.66 ± 0.33 aB | n.d. |
| 4% CS + CLO | 1.06 ± 0.07 aC | n.d. | 1.23 ± 0.09 aB | n.d. |
| 4% CS + CIN | 1.03 ± 0.03 aC | n.d. | 1.33 ± 0.12 aB | n.d. |
Disclaimer/Publisher’s Note: The statements, opinions and data contained in all publications are solely those of the individual author(s) and contributor(s) and not of MDPI and/or the editor(s). MDPI and/or the editor(s) disclaim responsibility for any injury to people or property resulting from any ideas, methods, instructions or products referred to in the content. |
© 2023 by the authors. Licensee MDPI, Basel, Switzerland. This article is an open access article distributed under the terms and conditions of the Creative Commons Attribution (CC BY) license (https://creativecommons.org/licenses/by/4.0/).
Share and Cite
do Nascimento, A.; Toneto, L.C.; Lepaus, B.M.; Valiati, B.S.; Faria-Silva, L.; de São José, J.F.B. Effect of Edible Coatings of Cassava Starch Incorporated with Clove and Cinnamon Essential Oils on the Shelf Life of Papaya. Membranes 2023, 13, 772. https://doi.org/10.3390/membranes13090772
do Nascimento A, Toneto LC, Lepaus BM, Valiati BS, Faria-Silva L, de São José JFB. Effect of Edible Coatings of Cassava Starch Incorporated with Clove and Cinnamon Essential Oils on the Shelf Life of Papaya. Membranes. 2023; 13(9):772. https://doi.org/10.3390/membranes13090772
Chicago/Turabian Styledo Nascimento, Allisson, Letícia Crestan Toneto, Bárbara Morandi Lepaus, Bárbara Santos Valiati, Leonardo Faria-Silva, and Jackline Freitas Brilhante de São José. 2023. "Effect of Edible Coatings of Cassava Starch Incorporated with Clove and Cinnamon Essential Oils on the Shelf Life of Papaya" Membranes 13, no. 9: 772. https://doi.org/10.3390/membranes13090772
APA Styledo Nascimento, A., Toneto, L. C., Lepaus, B. M., Valiati, B. S., Faria-Silva, L., & de São José, J. F. B. (2023). Effect of Edible Coatings of Cassava Starch Incorporated with Clove and Cinnamon Essential Oils on the Shelf Life of Papaya. Membranes, 13(9), 772. https://doi.org/10.3390/membranes13090772

