Application of Clove Oil and Sonication Process on the Influence of the Functional Properties of Mung Bean Flour-Based Edible Film
Abstract
:1. Introduction
2. Materials and Methods
2.1. Materials
2.2. Methods
2.2.1. Film Formation
2.2.2. Quality Analysis
Physical Properties
Mechanical Properties
Fourier Transform Infrared (FTIR) Spectroscopy
Antimicrobial Activity
Phytochemicals and Antioxidant Activities
Lipid Oxidation Inhibition via Radical Scavenging
2.2.3. Statistical Analysis
3. Results and Discussion
3.1. Physical Properties
3.2. Mechanical Properties
3.3. FTIR Absorbance Spectrum
3.4. Phytochemical and Antioxidant Activities
3.5. Antimicrobial Activities
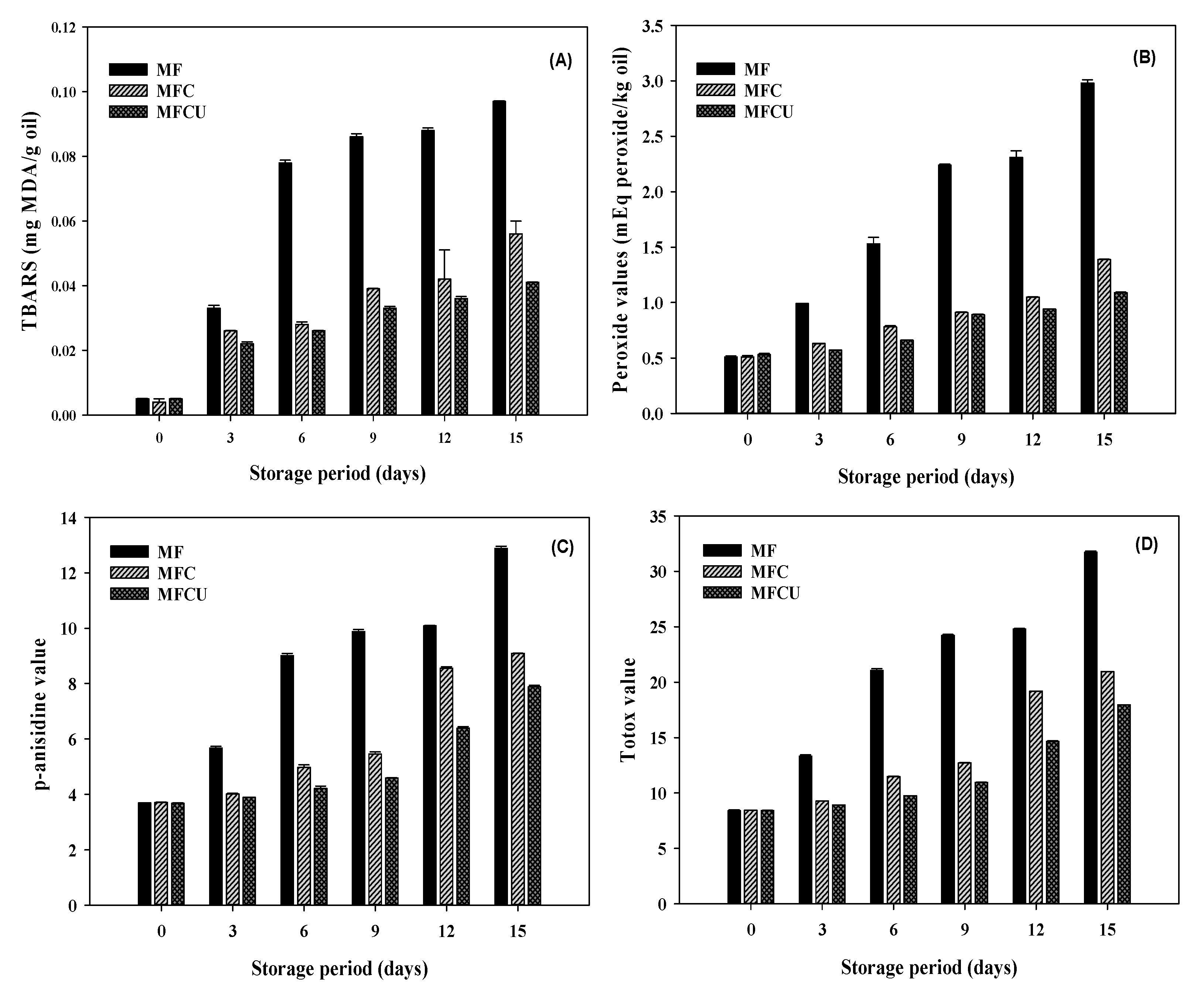
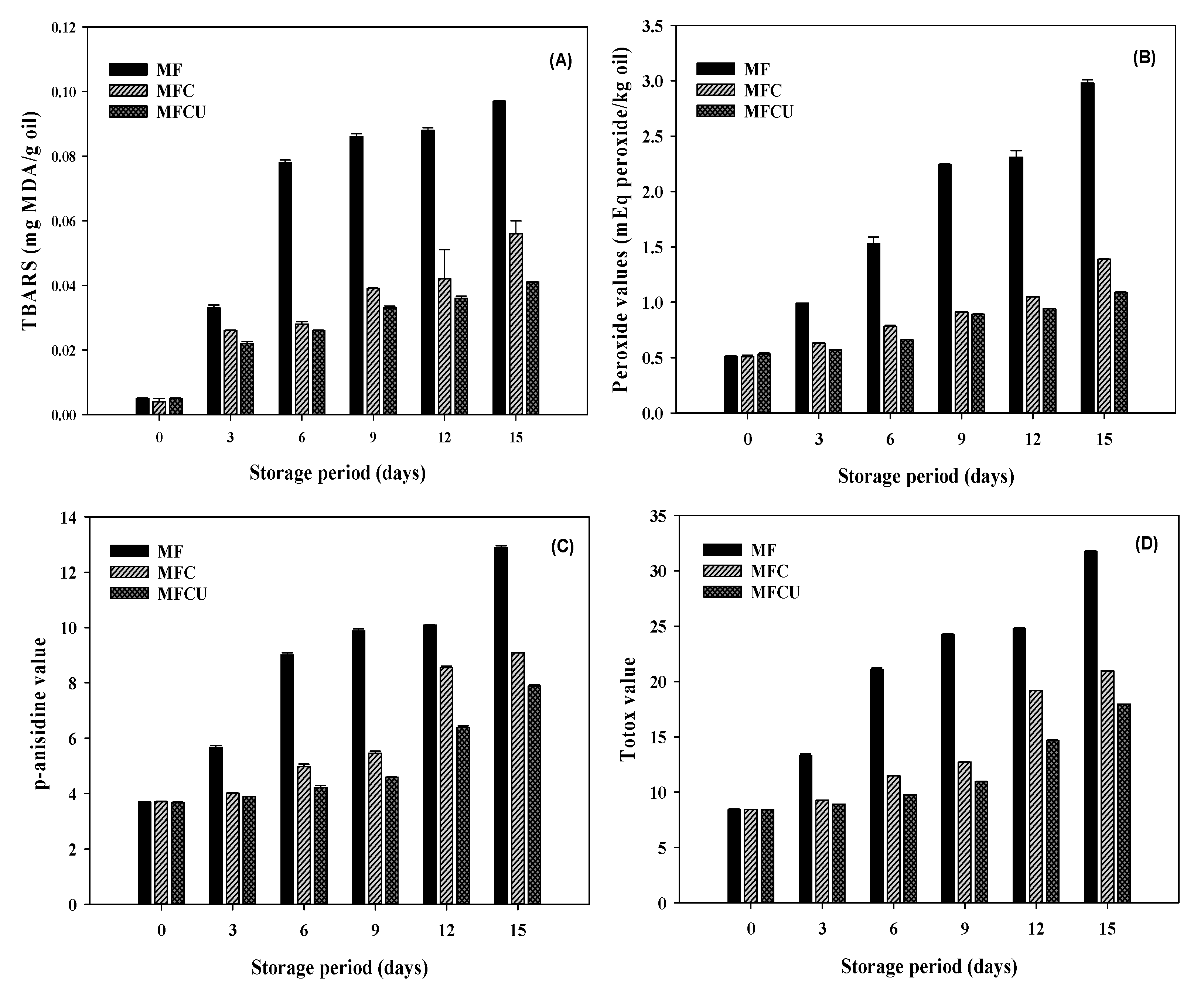
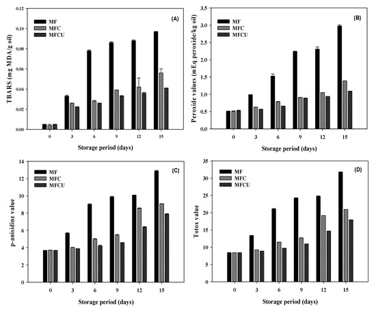
3.6. Lipid Oxidation Scavenging Abilities
4. Conclusions
Author Contributions
Funding
Institutional Review Board Statement
Informed Consent Statement
Data Availability Statement
Acknowledgments
Conflicts of Interest
References
- Montalvo-Paquini, C.; Avila-Sosa, R.; López-Malo, A.; Palou, E. Preparation and characterization of proteinaceous films from seven Mexican common beans (Phaseolus vulgaris L.). J. Food Qual. 2018, 2018, 9782591. [Google Scholar] [CrossRef] [Green Version]
- Venkatachalam, K.; Keawpeng, I.; Thongbour, P. Rheological and functional properties of wheat and green gram composite flours. Carpathian J. Food Sci. Tech. 2017, 9, 75–85. [Google Scholar]
- Moghadam, M.; Salami, M.; Mohammadian, M.; Khodadadi, M.; Emam-Djomeh, Z. Development of antioxidant edible films based on mung bean protein enriched with pomegranate peel. Food Hydrocoll. 2020, 104, 105735. [Google Scholar] [CrossRef]
- Ganesan, K.; Xu, B. A critical review on phytochemical profile and health promoting effects of mungbean (Vigna radiata). Food Sci. Hum. Wellness 2018, 7, 11–33. [Google Scholar] [CrossRef]
- Jom, K.N.; Frank, T.; Engel, K.H. A metabolite profiling approach to follow the sprouting process of mung beans (Vigna radiata). Metabolomics 2010, 7, 102–117. [Google Scholar] [CrossRef]
- Bai, Y.; Xu, Y.; Chang, J.; Wang, Z.Y.; Yu, Z. Bioactives from stems and leaves of mung beans. J. Funct. Foods 2016, 25, 314–322. [Google Scholar] [CrossRef]
- Chandrasiri, S.D.; Liyanage, R.; Vidanarachchi, J.K.; Weththasinghe, P.; Jayawardana, B.C. Does processing have a considerable effect on the nutritional and functional properties of Mung bean (Vigna radiata). Proc. Food Sci. 2016, 6, 352–355. [Google Scholar] [CrossRef] [Green Version]
- Cherng, J.M.; Chiang, W.; Chiang, L.C. Immunomodulatory activities of edible beans and related constituents from soybean. Food Chem. 2007, 104, 613–618. [Google Scholar] [CrossRef]
- Du, M.; Xie, J.; Gong, B.; Xu, X.; Tang, W.; Li, X. Extraction, physicochemical characteristics and functional properties of Mung bean protein. Food Hydrocoll. 2018, 76, 131–140. [Google Scholar] [CrossRef]
- Tharanathan, R.N. Biodegradable films and composite coatings: Past, present and future. Trends Food Sci. Technol. 2003, 14, 71–78. [Google Scholar] [CrossRef]
- Thompson, R.C.; Moore, C.J.; Vom Saal, F.S.; Swan, S.H. Plastics, the environment and human health: Current consensus and future trends. Philos. Trans. R. Soc. B Biol. Sci. 2009, 364, 2153–2166. [Google Scholar] [CrossRef] [PubMed]
- Nazmi, N.N.M.; Isa, M.I.N.; Sarbon, N.M. Characterization of biodegradable protein-based films from gelatin alternative: A review. Int. Food Res. J. 2020, 27, 971–987. [Google Scholar]
- Khodaei, D.; Alvarez, C.; Mullen, A.M. Biodegradable packaging materials from animal processing co-products and wastes: An overview. Polymers 2021, 13, 2561. [Google Scholar] [CrossRef] [PubMed]
- Pirsa, S.; Sharifi, A.K. A review of the application of bioproteins in the preparation of biodegradable films and polymers. J. Chem. Lett. 2020, 47–58. [Google Scholar]
- Venkatachalam, K.; Lekjing, S. A chitosan-based edible film with clove essential oil and nisin for improving the quality and shelf life of pork patties in cold storage. RSC Adv. 2020, 10, 17777–17786. [Google Scholar] [CrossRef]
- Yao, Y.; Wang, H.; Wang, R.; Chai, Y. Preparation and characterization of homogenous and enhanced casein protein-based composite films via incorporating cellulose microgel. Sci. Rep. 2019, 9, 1221. [Google Scholar] [CrossRef] [Green Version]
- Fattahi, R.; Seyedain-Ardabili, M. A comparative study on the effect of homogenization conditions on the properties of the film-forming emulsions and the resultant films. Food Chem. 2021, 352, 129319. [Google Scholar] [CrossRef]
- Yildiz, E.; Ilhan, E.; Kahyaoglu, L.N.; Sumnu, G.; Oztop, H.M. The effects of crosslinking agents on faba bean flour-chitosan-curcumin films and their characterization. Legume Sci. 2021, 4, e121. [Google Scholar] [CrossRef]
- Mohamed, S.A.; El-Sakhawy, M.; El-Sakhawy, M.A.M. Polysaccharides, protein and lipid-based natural edible films in food packaging: A review. Carbohydr. Polym. 2020, 238, 116178. [Google Scholar] [CrossRef]
- Choi, J.E.; Suk Oh, M. Quality characteristics of mung bean starch gels with various hydrocolloids. J. Korean Soc. Food Cult. 2009, 24, 540–551. [Google Scholar] [CrossRef]
- Jancikova, S.; Dordevic, D.; Tesikova, K.; Antonic, B.; Tremlova, B. Active edible films fortified with natural extracts: Case study with fresh-cut apple pieces. Membranes 2021, 11, 684. [Google Scholar] [CrossRef] [PubMed]
- AOAC. Official Methods of Analysis, 17th ed.; Association of Official Analytical Chemists: Washington, DC, USA, 2003. [Google Scholar]
- Aydogdu, A.; Sumnu, G.; Sahin, S. A novel electrospun hydroxypropyl methylcellulose/polyethylene oxide blend nanofibers: Morphology and physicochemical properties. Carbohydr. Polym. 2018, 181, 234–246. [Google Scholar] [CrossRef] [PubMed]
- Ahmed, J.; Hiremath, N.; Jacob, H. Antimicrobial, rheological, thermal properties of plasticized polylactide films incorporated with essential oils to inhibit staphylococcus aureus and campylobacter jejuni. J. Food Sci. 2016, 81, E419–E429. [Google Scholar] [CrossRef] [PubMed]
- Alberti, A.; Zielinski, F.A.A.; Zardo, M.D.; Demiate, M.D.; Nogueira, M.I.; Mafra, I.L. Optimization of the extraction of phenolic compounds from apples using response surface methodology. Food Chem. 2014, 149, 151–158. [Google Scholar] [CrossRef] [Green Version]
- Brand-Williams, W.; Cuvelier, M.E.; Berset, C. Use of a free radical method to evaluate antioxidant activity. LWT Food Sci. Technol. 1995, 28, 25–30. [Google Scholar] [CrossRef]
- Lee, J.H.; Lee, J.; Song, K.B. Development of a chicken feet protein film containing essential oils. Food Hydrocoll. 2015, 46, 208–215. [Google Scholar] [CrossRef]
- Halliwell, N.; Guteridge, J.M.; Aruoma, O.I. The deoxyribose method: A simple “test-tube” assay for determination of rate constant for reactions of hydroxyl radicals. Anal. Biochem. 1987, 165, 215–219. [Google Scholar] [CrossRef]
- Aydogdu, A.; Yildiz, E.; Aydogdu, Y.; Sumnu, G.; Sahin, S.; Ayhan, Z. Enhancing oxidative stability of walnuts by using gallic acid loaded lentil flour based electrospun nanofibers as active packaging material. Food Hydrocoll. 2019, 95, 245–255. [Google Scholar] [CrossRef]
- Ohl, S.; Klaseboer, E.; Khoo, C.B. Bubbles with shock waves and ultrasound: A review. Interface Focus 2015, 5, 20150019. [Google Scholar] [CrossRef]
- Chandrapala, J.; Zisu, B.; Palmer, M.; Kentish, S.; Ashokkumar, M. Effects of ultrasound on the thermal and structural characteristics of proteins in reconstituted whey protein concentrate. Ultrason. Sonochem. 2011, 18, 951–957. [Google Scholar] [CrossRef]
- Aviles-Gaxiola, S.; Chuck-Hernandez, C.; Serna Saldivar, O.S. Inactivation methods of trypsin inhibitor in legumes: A review. J. Food Sci. 2018, 83, 17–29. [Google Scholar] [CrossRef] [PubMed] [Green Version]
- Jafarzadeh, S.; Alias, A.K.; Ariffin, F.; Mahmud, S. Physico-mechanical and microstructural properties of semolina flour films as influenced by different sorbitol/glycerol concentrations. Int. J. Food Prop. 2018, 21, 983–995. [Google Scholar] [CrossRef]
- Borah, P.P.; Das, P.; Badwaik, L.S. Ultrasound treated potato peel and sweet lime pomace-based biopolymer film development. Ultrason. Sonochem. 2017, 36, 11–19. [Google Scholar] [CrossRef] [PubMed]
- Cheng, W.; Chen, J.; Liu, D.; Ye, X.; Ke, F. Impact of ultrasonic treatment on properties of starch film-forming dispersion and the resulting films. Carbohydr. Polym. 2010, 81, 707–711. [Google Scholar] [CrossRef]
- Nascimento, T.A.; Calado, V.; Carvalho, C.W.P. Development and characterization of flexible film based on starch and passion fruit mesocarp flour with nanoparticles. Food Res. Int. 2012, 49, 588–595. [Google Scholar] [CrossRef] [Green Version]
- Stoleru, E.; Vasile, C.; Irimia, A.; Brebu, M. Towards a bioactive food packaging: Poly(lactic acid) surface functionalized by chitosan coating embedding clove and argan oils. Molecules 2021, 26, 4500. [Google Scholar] [CrossRef]
- Kocakulak, S.; Sumnu, G.; Sahin, S. Chickpea flour-based biofilms containing gallic acid to be used as active edible films. J. Appl. Polym. Sci. 2019, 136, 47704. [Google Scholar] [CrossRef]
- Chieng, B.; Ibrahim, N.; Yunus, W.; Hussein, M. Poly(lactic acid)/poly(ethylene glycol) polymer nanocomposites: Effects of graphene nanoplatelets. Polymers 2013, 6, 93. [Google Scholar] [CrossRef] [Green Version]
- Warren, F.J.; Gidley, M.J.; Flanagan, B.M. Infrared spectroscopy as a tool to characterize starch ordered structure-a joint FTIR–ATR, NMR, XRD and DSC study. Carbohydr. Polym. 2016, 139, 35–42. [Google Scholar] [CrossRef] [Green Version]
- Hoque, M.S.; Benjakul, S.; Prodpran, T. Effect of heat treatment of film-forming solution on the properties of film from cuttlefish (Sepia pharaonic) skin gelatin. J. Food Eng. 2020, 96, 66–73. [Google Scholar] [CrossRef]
- Venkatachalam, K.; Nagarajan, M. Physicochemical and sensory properties of savory crackers incorporating green Gram to partially of wholly replace wheat flour. Ital. J. Food Sci. 2017, 29, 1–14. [Google Scholar] [CrossRef]
- Cortes-Rojas, D.F.; Fernandes de Souza, R.C.; Oliveira, P.W. Clove (Syzygium aromaticum): A precious spice. Asian Pac. J. Trop. Biomed. 2014, 4, 90–96. [Google Scholar] [CrossRef] [Green Version]
- Lohani, C.U.; Muthukumarappan, K. Study of continuous flow ultrasonication to improve total phenolic content and antioxidant activity in sorghum flour and its comparison with batch ultrasonication. Ultrason. Sonochem. 2021, 71, 105402. [Google Scholar] [CrossRef] [PubMed]
- Taha, A.; Ahmed, E.; Ismaiel, A.; Ashokkumar, M.; Xu, X.; Pan, S.; Hu, H. Ultrasonic emulsification: An overview on the preparation of different emulsifiers-stabilized emulsions. Trends Food Sci. Technol. 2020, 105, 363–377. [Google Scholar] [CrossRef]
- Shi, Z.; Yao, Y.; Zhu, Y.; Ren, G. Nutritional composition and antioxidant activity of twenty mung bean cultivars in China. Crop J. 2016, 4, 398–406. [Google Scholar] [CrossRef] [Green Version]
- Gul, O.; Saricaoglu, F.T.; Besir, A.; Atalar, I.; Yazici, F. Effect of ultrasound treatment on the properties of nano-emulsion films obtained from hazelnut meal protein and clove essential oil. Ultrason. Sonochem. 2018, 41, 466–474. [Google Scholar] [CrossRef]
- Yi-Shen, Z.; Shuai, S.; FitzGerald, R. Mung bean proteins and peptides: Nutritional, functional and bioactive properties. Food Nutr. Res. 2018, 62, 1290. [Google Scholar] [CrossRef] [Green Version]
- Randhir, R.; Lin, Y.; Shetty, K. Stimulation of phenolics, antioxidant and antimicrobial activities in dark germinated mung bean sprouts in response to peptide and phytochemical elicitors. Process Biochem. 2004, 39, 637–646. [Google Scholar] [CrossRef]
- Hafidh, R.R.; Abdulamir, A.S.; Vern, L.S.; Bakar, A.F.; Abas, F.; Jahanshiri, F.; Sekawi, Z. Novel in-vitro antimicrobial activity of Vigna radiata (L.) R. Wilczek against highly resistant bacterial and fungal pathogens. J. Med. Plants Res. 2011, 5, 3606–3618. [Google Scholar]
- Nazzaro, F.; Fratianni, F.; Martino, D.L.; Coppola, R.; Feo, V. Effect of essential oils on pathogenic bacteria. Pharmaceuticals 2013, 6, 1451–1474. [Google Scholar] [CrossRef]
- Hyldgaard, M.; Mygind, T.; Rikke, T. Essential oils in food preservation: Mode of action, synergies, and interactions with food matrix components. Front. Microbiol. 2012, 3, 1–24. [Google Scholar] [CrossRef] [PubMed] [Green Version]
- Wang, Y.; Xu, Y.; Dong, S.; Wang, P.; Chen, W.; Lu, Z.; Ye, D.; Pan, B.; Wu, D.; Vecitis, D.C.; et al. Ultrasonic activation of inert poly (tetrafluoroethylene) enables piezocatalytic generation of reactive oxygen species. Nat. Commun. 2021, 12, 3508. [Google Scholar] [CrossRef] [PubMed]
- Ji, T.; Zhang, R.; Dong, X.; Sameen, E.D.; Ahmed, S.; Li, S.; Liu, Y. Effect of ultrasonication time on the properties of polyvinyl alcohol/sodium carboxymethyl cellulose/nano-Zno/multilayer graphene nanoplatelet composite films. Nanomaterials 2020, 10, 1797. [Google Scholar] [CrossRef] [PubMed]
- Zeb, A.; Ullah, F. A simple spectrophotometric method for the determination of thiobarbituric acid reactive substances in fried fast foods. J. Anal. Methods Chem. 2016, 2016, 9412767. [Google Scholar] [CrossRef] [Green Version]
- Shahidi, F.; Ambigaipalan, P. Phenolics and polyphenolics in foods, beverages and spices: Antioxidant activity and health effects—A review. J. Func. Foods 2015, 18, 820–897. [Google Scholar] [CrossRef]
- Pirsa, S.; Asadi, S. Innovative smart and biodegradable packaging for margarine based on a nano composite polylactic acid/lycopene film. Food Addit. Contam. Part A 2021, 38, 856–869. [Google Scholar] [CrossRef] [PubMed]



| Treatments | Thickness (mm) | Bulk Density (g/cm3) | Moisture Content (%) | Solubility (%) | WVP10−12 (Kg Pa−1 s−1 m−1) |
|---|---|---|---|---|---|
| MF | 0.191 ± 0.002 a | 0.857 ± 0.015 a | 12.477 ± 0.306 a | 31.0 ± 1.00 a | 6.03 ± 0.074 a |
| MFC | 0.196 ± 0.001 a | 0.943 ± 0.006 a | 10.28 ± 0.605 b | 29.66 ± 0.57 b | 5.60 ± 0.20 b |
| MFCU | 0.198 ± 0.001 a | 0.967 ± 0.015 a | 7.42 ± 0.366 c | 27.66 ± 0.57 c | 5.30 ± 0.10 b |
| Treatments | Tensile Strength (MPa) | Elongation at Break (%) | Young’s Module (MPa) |
|---|---|---|---|
| MF | 6.601 ± 0.193 b | 13.923 ± 0.731 c | 207.91 ± 0.64 c |
| MFC | 6.806 ± 0.047 b | 14.523 ± 0.160 b | 223.55 ± 4.15 b |
| MFCU | 7.285 ± 0.158 a | 15.077 ± 0.227 a | 246.64 ± 2.03 a |
| Treatments | Total Phenolic Content (µg GAE)/G | Total Flavonoid Content (µg CE)/G | Ferric Reducing Antioxidant Power (%) | ABTS + Radical Scavenging Activity (%) | DPPH Radical Scavenging Activity (%) | Hydroxyl Radical Scavenging Activity (%) |
|---|---|---|---|---|---|---|
| MF | 17.90 ± 0.269 c | 13.63 ± 0.068 b | 68.33 ± 1.528 c | 65.00 ± 1.000 c | 55.66 ± 1.155 c | 62.00 ± 2.646 c |
| MFC | 47.57 ± 0.061 b | 29.17 ± 0.055 b | 80.33 ± 1.281 b | 70.00 ± 1.000 b | 75.33 ± 1.528 b | 69.00 ± 1.000 b |
| MFCU | 51.40 ± 0.115 a | 31.87 ± 0.166 a | 84.00 ± 1.000 a | 74.00 ± 2.000 a | 79.66 ± 1.155 a | 72.33 ± 2.082 a |
| Treatments | S. aureus Log (CFU/mL) | C. jejuni Log (CFU/mL) |
|---|---|---|
| MF | 6.820 ± 0.177 a | 7.593 ± 0.163 a |
| MFC | 5.173 ± 0.152 b | 3.747 ± 0.122 b |
| MFCU | 4.440 ± 0.219 c | 3.090 ± 0.070 b |
Publisher’s Note: MDPI stays neutral with regard to jurisdictional claims in published maps and institutional affiliations. |
© 2022 by the authors. Licensee MDPI, Basel, Switzerland. This article is an open access article distributed under the terms and conditions of the Creative Commons Attribution (CC BY) license (https://creativecommons.org/licenses/by/4.0/).
Share and Cite
Keawpeng, I.; Lekjing, S.; Paulraj, B.; Venkatachalam, K. Application of Clove Oil and Sonication Process on the Influence of the Functional Properties of Mung Bean Flour-Based Edible Film. Membranes 2022, 12, 535. https://doi.org/10.3390/membranes12050535
Keawpeng I, Lekjing S, Paulraj B, Venkatachalam K. Application of Clove Oil and Sonication Process on the Influence of the Functional Properties of Mung Bean Flour-Based Edible Film. Membranes. 2022; 12(5):535. https://doi.org/10.3390/membranes12050535
Chicago/Turabian StyleKeawpeng, Ittiporn, Somwang Lekjing, Balaji Paulraj, and Karthikeyan Venkatachalam. 2022. "Application of Clove Oil and Sonication Process on the Influence of the Functional Properties of Mung Bean Flour-Based Edible Film" Membranes 12, no. 5: 535. https://doi.org/10.3390/membranes12050535
APA StyleKeawpeng, I., Lekjing, S., Paulraj, B., & Venkatachalam, K. (2022). Application of Clove Oil and Sonication Process on the Influence of the Functional Properties of Mung Bean Flour-Based Edible Film. Membranes, 12(5), 535. https://doi.org/10.3390/membranes12050535

