Water Sorption in Glassy Polyvinylpyrrolidone-Based Polymers
Abstract
:1. Introduction
2. Materials and Methods
2.1. Materials
2.2. Film Preparation
2.3. Quality of the Films
2.4. Water-Sorption Measurements
3. Theory
3.1. PC-SAFT
3.2. NET-GP
3.3. Water-Sorption Isotherm
3.4. Model Parameters
3.5. Water-Sorption Kinetics
3.6. Maxwell-Stefan Diffusion
3.7. Free-Volume Theory
4. Results
4.1. Water-Sorption Isotherms
4.2. Water-Sorption Kinetics
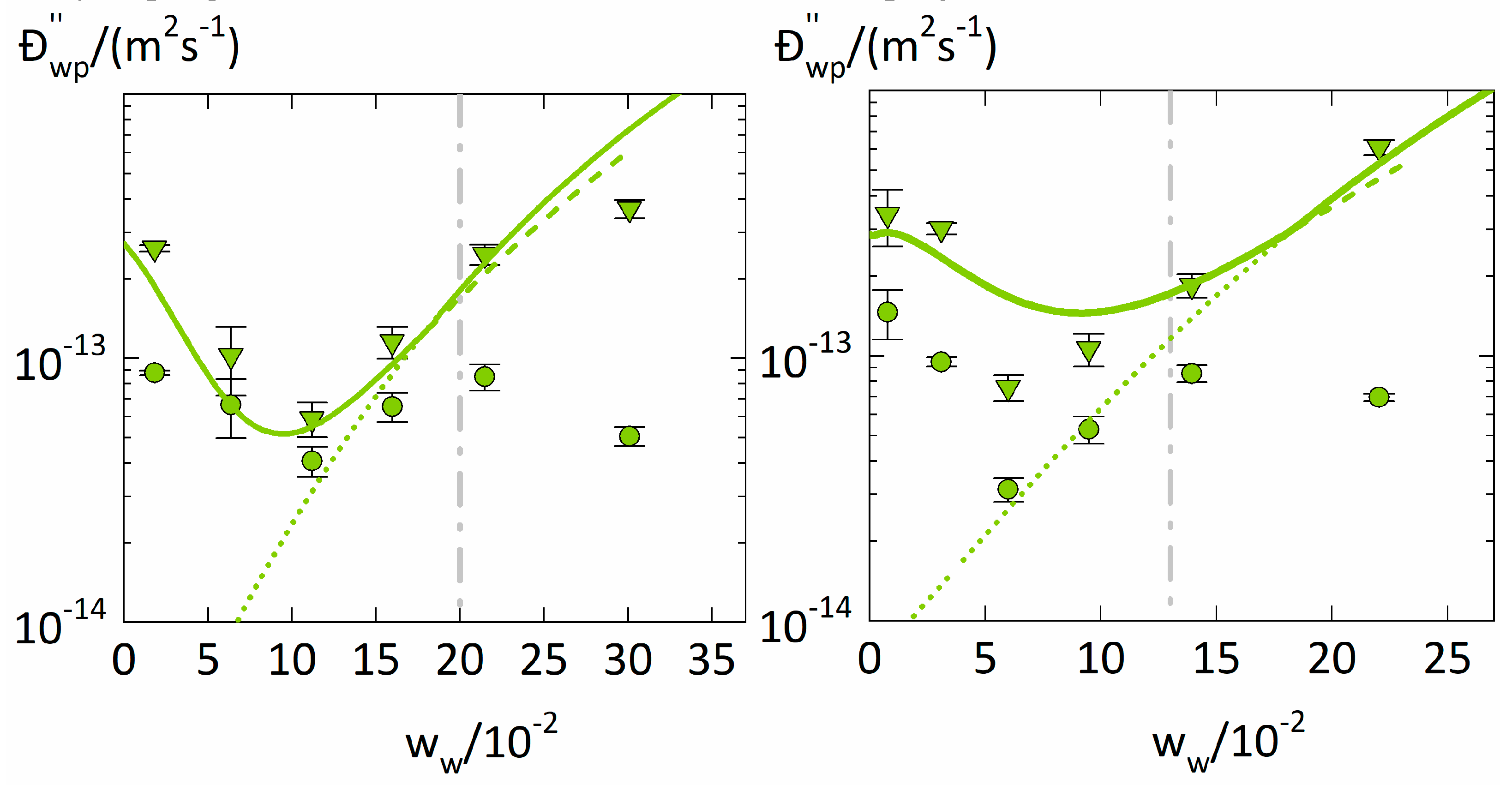
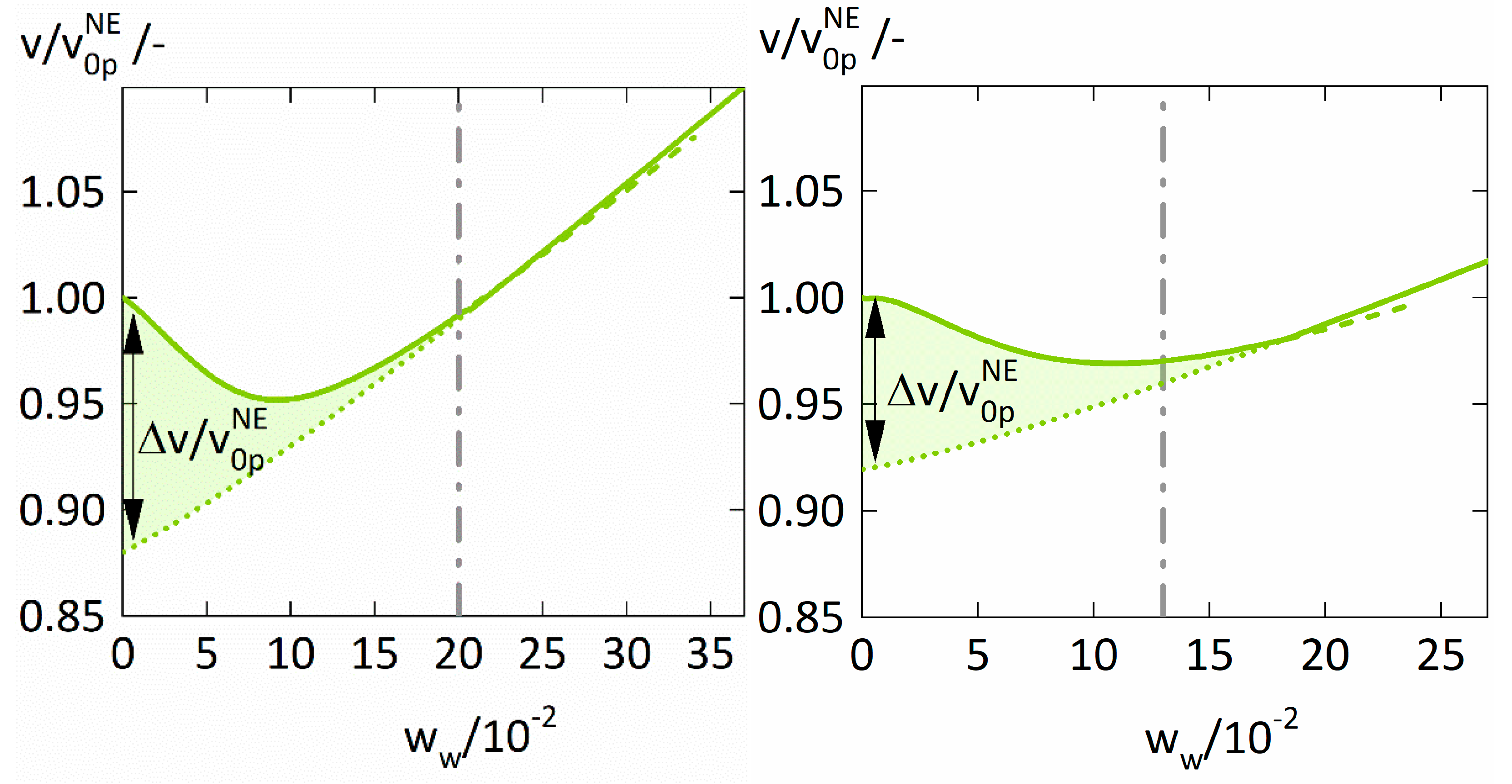
4.3. Concentration Dependency of the Water Diffusion Coefficient
5. Conclusions
Supplementary Materials
Author Contributions
Funding
Institutional Review Board Statement
Informed Consent Statement
Data Availability Statement
Acknowledgments
Conflicts of Interest
References
- Minelli, M.; Sarti, G.C. 110th Anniversary: Gas and Vapor Sorption in Glassy Polymeric Membranes—Critical Review of Different Physical and Mathematical Models. Ind. Eng. Chem. Res. 2020, 59, 341–365. [Google Scholar] [CrossRef]
- Suwandi, M.S.; Stern, S.A. Transport of heavy organic vapors through silicone rubber. J. Polym. Sci. Part A-2 Polym. Phys. 1973, 11, 663–681. [Google Scholar] [CrossRef]
- Matteucci, S.; Yampolskii, Y.; Freeman, B.D.; Pinnau, I. Transport of Gases and Vapors in Glassy and Rubbery Polymers. In Materials Science of Membranes for Gas and Vapor Separation; John Wiley & Sons, Ltd.: Chichester, UK, 2006; pp. 1–47. [Google Scholar]
- Teng, J.; Bates, S.; Engers, D.A.; Leach, K.; Schields, P.; Yang, Y. Effect of Water Vapor Sorption on Local Structure of Poly(vinylpyrrolidone). J. Pharm. Sci. 2010, 99, 3815–3825. [Google Scholar] [CrossRef] [PubMed]
- Chalykh, A.; Gerasimov, V.K.; Shcherbina, A.; Kulagina, G.S.; Khasbiullin, R.R. Sorption and diffusion of water in poly(vinylpyrrolidone). Polym. Sci. Ser. A 2008, 50, 630–639. [Google Scholar] [CrossRef]
- Oksanen, C.A.; Zografi, G. Molecular Mobility in Mixtures of Absorbed Water and Solid Poly(vinylpyrrolidone). Pharm. Res. 1993, 10, 791–799. [Google Scholar] [CrossRef]
- Chalykh, A.E.; Bairamov, D.F.; Gerasimov, V.K.; Chalykh, A.A.; Fel’dshtein, M.M. Diffusion and Thermodynamics of Mixing in a Poly(Vinylpyrrolidone)-Water System. Polym. Sci. Ser. A 2003, 45, 1115–1119. [Google Scholar]
- Davis, E.M.; Elabd, Y.A. Water Clustering in Glassy Polymers. J. Phys. Chem. B 2013, 117, 10629–10640. [Google Scholar] [CrossRef]
- Wonders, A.G.; Paul, D.R. Effect of CO2 Exposure History on Sorption and Transport in Polycarbonate. J. Memb. Sci. 1979, 5, 63–75. [Google Scholar] [CrossRef]
- Apicella, A.; Nicolais, L.; Astarita, G.; Drioli, E. Effect of Thermal History on Water Sorption, Elastic Properties and the Glass Transition of Epoxy Resins. Polymer 1979, 20, 1143–1148. [Google Scholar] [CrossRef]
- Enscore, D.J.; Hopfenberg, H.B.; Stannett, V.T.; Berens, A.R. Effect of Prior Sample History on N-Hexane Sorption in Glassy Polystyrene Microspheres. Polymer 1977, 18, 1105–1110. [Google Scholar] [CrossRef]
- Lee, J.S.; Adams, R.T.; Madden, W.; Koros, W.J. Toluene and N-Heptane Sorption in Matrimid® Asymmetric Hollow Fiber Membranes. Polymer 2009, 50, 6049–6056. [Google Scholar] [CrossRef]
- De Angelis, M.G.; Sarti, G.C. Solubility of Gases and Liquids in Glassy Polymers. Annu. Rev. Chem. Biomol. Eng. 2011, 2, 97–120. [Google Scholar] [CrossRef] [PubMed]
- De Angelis, M.G.; Doghieri, F.; Sarti, G.C.; Freeman, B.D. Modeling Gas Sorption in Amorphous Teflon through the Non Equilibrium Thermodynamics for Glassy Polymers (NET-GP) Approach. Desalination 2006, 193, 82–89. [Google Scholar] [CrossRef]
- Minelli, M.; Doghieri, F. A Predictive Model for Vapor Solubility and Volume Dilation in Glassy Polymers. Ind. Eng. Chem. Res. 2012, 51, 16505–16516. [Google Scholar] [CrossRef]
- De Angelis, M.G.; Merkel, T.C.; Bondar, V.I.; Freeman, B.D.; Doghieri, F.; Sarti, G.C. Hydrocarbon and Fluorocarbon Solubility and Dilation in Poly(Dimethylsiloxane): Comparison of Experimental Data with Predictions of the Sanchez-Lacombe Equation of State. J. Polym. Sci. Part B Polym. Phys. 1999, 37, 3011–3026. [Google Scholar] [CrossRef]
- Sefcik, M.D. Dilation and Plasticization of Polystyrene by Carbon Dioxide. J. Polym. Sci. Part B Polym. Phys. 1986, 24, 957–971. [Google Scholar] [CrossRef]
- Gross, J.; Sadowski, G. Perturbed-Chain SAFT: An Equation of State Based on a Perturbation Theory for Chain Molecules. Ind. Eng. Chem. Res. 2001, 40, 1244–1260. [Google Scholar] [CrossRef]
- Gross, J.; Sadowski, G. Application of the Perturbed-Chain SAFT Equation of State to Associating Systems. Ind. Eng. Chem. Res. 2002, 41, 5510–5515. [Google Scholar] [CrossRef]
- Sarti, G.C.; De Angelis, M.G. Calculation of the Solubility of Liquid Solutes in Glassy Polymers. AIChE J. 2012, 58, 292–301. [Google Scholar] [CrossRef]
- Liu, L.; Kentish, S.E. Modeling of Carbon Dioxide and Water Sorption in Glassy Polymers through PC-SAFT and NET PC-SAFT. Polymer 2016, 104, 149–155. [Google Scholar] [CrossRef]
- Krishna, R.; Wesselingh, J.A. The Maxwell-Stefan Approach to Mass Transfer. Chem. Eng. Sci. 1997, 52, 861–911. [Google Scholar] [CrossRef]
- Wolbach, J.P.; Sandler, S.I. Using Molecular Orbital Calculations To Describe the Phase Behavior of Hydrogen-Bonding Fluids. Ind. Eng. Chem. Res. 1997, 36, 4041–4051. [Google Scholar] [CrossRef]
- Doghieri, F.; Sarti, G.C. Nonequilibrium Lattice Fluids: A Predictive Model for the Solubility in Glassy Polymers. Macromolecules 1996, 29, 7885–7896. [Google Scholar] [CrossRef]
- Sarti, G.C.; Doghieri, F. Predictions of the Solubility of Gases in Glassy Polymers Based on the NELF Model. Chem. Eng. Sci. 1998, 53, 3435–3447. [Google Scholar] [CrossRef]
- Prudic, A.; Ji, Y.; Luebbert, C.; Sadowski, G. Influence of Humidity on the Phase Behavior of API/Polymer Formulations. Eur. J. Pharm. Biopharm. 2015, 94, 352–362. [Google Scholar] [CrossRef]
- Lehmkemper, K.; Kyeremateng, S.O.; Heinzerling, O.; Degenhardt, M.; Sadowski, G. Long-Term Physical Stability of PVP- and PVPVA-Amorphous Solid Dispersions. Mol. Pharm. 2017, 14, 157–171. [Google Scholar] [CrossRef]
- Tumakaka, F.; Gross, J.; Sadowski, G. Modeling of Polymer Phase Equilibria Using Perturbed-Chain SAFT. Fluid Phase Equilib. 2002, 194–197, 541–551. [Google Scholar] [CrossRef]
- Cameretti, L.F.; Sadowski, G. Modeling of Aqueous Amino Acid and Polypeptide Solutions with PC-SAFT. Chem. Eng. Process. Process Intensif. 2008, 47, 1018–1025. [Google Scholar] [CrossRef]
- Wolbert, F.; Stecker, J.; Luebbert, C.; Sadowski, G. Viscosity of ASDs at Humid Conditions. Eur. J. Pharm. Biopharm. 2020, 154, 387–396. [Google Scholar] [CrossRef]
- Crank, J. The Mathematics of Diffusion; Clarendon Press: Oxford, UK, 1975; ISBN 0198533446. [Google Scholar]
- Virtanen, P.; Gommers, R.; Oliphant, T.E.; Haberland, M.; Reddy, T.; Cournapeau, D.; Burovski, E.; Peterson, P.; Weckesser, W.; Bright, J.; et al. SciPy 1.0: Fundamental Algorithms for Scientific Computing in Python. Nat. Methods 2020, 17, 261–272. [Google Scholar] [CrossRef]
- Borrmann, D.; Danzer, A.; Sadowski, G. Measuring and Modeling Water Sorption in Amorphous Indomethacin and Ritonavir. Mol. Pharm. 2022, 19, 998–1007. [Google Scholar] [CrossRef] [PubMed]
- Fornasiero, F.; Prausnitz, J.M.; Radke, C.J. Multicomponent Diffusion in Highly Asymmetric Systems. An Extended Maxwell-Stefan Model for Starkly Different-Sized, Segment-Accessible Chain Molecules. Macromolecules 2005, 38, 1364–1370. [Google Scholar] [CrossRef]
- Ramesh, N.; Davis, P.K.; Zielinski, J.M.; Danner, R.P.; Duda, J.L. Application of Free-Volume Theory to Self Diffusion of Solvents in Polymers below the Glass Transition Temperature: A Review. J. Polym. Sci. Part B Polym. Phys. 2011, 49, 1629–1644. [Google Scholar] [CrossRef]
- Sharma, J.; Arya, R.K.; Tewari, K. Diffusion in Polymeric Systems–A Review on Free Volume Theory. Prog. Org. Coat. 2017, 111, 83–92. [Google Scholar] [CrossRef]
- Hong, S.-U. Prediction of Polymer/Solvent Diffusion Behavior Using Free-Volume Theory. Ind. Eng. Chem. Res. 1995, 34, 2536–2544. [Google Scholar] [CrossRef]
- Stubberud, L. Water Solid Interactions II. Effect of Moisture Sorption and Glass Transition Temperature on Compactibility of Microcrystalline Cellulose Alone or in Binary Mixtures with Polyvinyl Pyrrolidone. Int. J. Pharm. 1996, 134, 79–88. [Google Scholar] [CrossRef]
- Sadeghi, R.; Taghi Zafarani-Moattar, M. Thermodynamics of Aqueous Solutions of Polyvinylpyrrolidone. J. Chem. Thermodyn. 2004, 36, 665–670. [Google Scholar] [CrossRef]
- Taylor, L.S.; Langkilde, F.W.; Zografi, G. Fourier Transform Raman Spectroscopic Study of the Interaction of Water Vapor with Amorphous Polymers. J. Pharm. Sci. 2001, 90, 888–901. [Google Scholar] [CrossRef]
- Sanopoulou, M.; Petropoulos, J.H. Systematic Analysis and Model Interpretation of Micromolecular Non-Fickian Sorption Kinetics in Polymer Films. Macromolecules 2001, 34, 1400–1410. [Google Scholar] [CrossRef]
- Davis, E.M.; Minelli, M.; Baschetti, M.G.; Sarti, G.C.; Elabd, Y.A. Nonequilibrium Sorption of Water in Polylactide. Macromolecules 2012, 45, 7486–7494. [Google Scholar] [CrossRef]
- Borrmann, D.; Danzer, A.; Sadowski, G. Generalized Diffusion–Relaxation Model for Solvent Sorption in Polymers. Ind. Eng. Chem. Res. 2021, 60, 15766–15781. [Google Scholar] [CrossRef]
- Sturm, D.R.; Danner, R.P.; Moser, J.D.; Chiu, S.-W. Application of the Vrentas-Duda Free-Volume Theory of Diffusion below the Glass-Transition Temperature: Application to Hypromellose Acetate Succinate-Solvent Systems. J. Appl. Polym. Sci. 2019, 136, 47351. [Google Scholar] [CrossRef]
- IWADARE, Y. Densities and Water Vapor Permeabilities of Formalized and Acid-Treated PVA Membranes. Kobunshi Ronbunshu 1977, 34, 475–481. [Google Scholar] [CrossRef]
- Benczédi, D.; Tomka, I.; Fischer, F. Thermodynamics of Amorphous Starch - Water Systems. 1. Volume Fluctuations. Macromolecules 1998, 31, 3055–3061. [Google Scholar] [CrossRef]
- Dlubek, G.; Redmann, F.; Krause-Rehberg, R. Humidity-Induced Plasticization and Antiplasticization of Polyamide 6: A Positron Lifetime Study of the Local Free Volume. J. Appl. Polym. Sci. 2002, 84, 244–255. [Google Scholar] [CrossRef]
- Maeda, Y.; Paul, D.R. Effect of Antiplasticization on Gas Sorption and Transport. 1. Polysulfone. J. Polym. Sci. Part B-Polym. Physics. 1987, 25, 957–980. [Google Scholar]
- Mascia, L.; Kouparitsas, Y.; Nocita, D.; Bao, X. Antiplasticization of Polymer Materials: Structural Aspects and Effects on Mechanical and Diffusion-Controlled Properties. Polymers 2020, 12, 769. [Google Scholar] [CrossRef]






| Pure-Component Parameter | Mixing Rule |
|---|---|
| PVP [26] | PVPVA [27] | PVAc [28] | Water [29] | |
|---|---|---|---|---|
| 25,700 | 65,000 | 90,000 | 18.02 | |
| 0.0407 | 0.0372 | 0.0321 | 0.06687 | |
| 2.71 | 2.947 | 3.397 | 2.7971 | |
| 205.992 | 205.271 | 204.650 | 353.94 | |
| 0 | 0 | 0 | 2425.67 | |
| 0.02 | 0.02 | 0.02 | 0.0451 | |
| 231/231 | 653/653 | 1047/1047 | 1/1 | |
| −0.128 a | −0.128 a | −0.131 [30] | N.A | |
| 0.6637 a | 0.7478 a | 0.9174 a | N.A | |
| 0.4279 a | 0.244 a | 0 | N.A | |
| 1250 | 1190 | 1180 | 997 |
| RH /10−2 | /10−2 | /10−2 | /10−15 m2s−1 | /10−15 m2s−1 | /10−15 m2s−1 | /10−15 m2s−1 |
|---|---|---|---|---|---|---|
| 9.24 | 2.61 ± 0.138 | 1.1 ± 0.031 | 88.0 ± 1.99 | 146.0 ± 30.9 | 255.4 ± 7.46 | 340.7 ± 82.4 |
| 29.4 | 7.99 ± 0.134 | 3.95 ± 0.095 | 66.7 ± 16.8 | 94.9 ± 3.74 | 94.7 ± 27.6 | 301.5 ± 15.3 |
| 44.5 | 12.6 ± 0.453 | 6.88 ± 0.12 | 40.9 ± 5.33 | 31.3 ± 3.2 | 57.8 ± 8.34 | 75.9 ± 8.51 |
| 59.9 | 17.4 ± 0.562 | 10.6 ± 0.192 | 65.7 ± 8.25 | 52.7 ± 6.14 | 12.4 ± 16.4 | 106.2 ± 14.9 |
| 73.4 | 23.2 ± 0.692 | 15.4 ± 0.275 | 85.0 ± 9.64 | 85.9 ± 6.34 | 223.6 ± 23.7 | 184.3 ± 18.5 |
| 87.8 | 33.0 ± 0.802 | 24.9 ± 0.43 | 50.7 ± 4.16 | 69.8 ± 2.31 | 345.4 ± 27.7 | 610.6 ± 39.5 |
Publisher’s Note: MDPI stays neutral with regard to jurisdictional claims in published maps and institutional affiliations. |
© 2022 by the authors. Licensee MDPI, Basel, Switzerland. This article is an open access article distributed under the terms and conditions of the Creative Commons Attribution (CC BY) license (https://creativecommons.org/licenses/by/4.0/).
Share and Cite
Borrmann, D.; Danzer, A.; Sadowski, G. Water Sorption in Glassy Polyvinylpyrrolidone-Based Polymers. Membranes 2022, 12, 434. https://doi.org/10.3390/membranes12040434
Borrmann D, Danzer A, Sadowski G. Water Sorption in Glassy Polyvinylpyrrolidone-Based Polymers. Membranes. 2022; 12(4):434. https://doi.org/10.3390/membranes12040434
Chicago/Turabian StyleBorrmann, Dominik, Andreas Danzer, and Gabriele Sadowski. 2022. "Water Sorption in Glassy Polyvinylpyrrolidone-Based Polymers" Membranes 12, no. 4: 434. https://doi.org/10.3390/membranes12040434
APA StyleBorrmann, D., Danzer, A., & Sadowski, G. (2022). Water Sorption in Glassy Polyvinylpyrrolidone-Based Polymers. Membranes, 12(4), 434. https://doi.org/10.3390/membranes12040434

