Evaluating the Feasibility of Forward Osmosis in Diluting RO Concentrate Using Pretreatment Backwash Water
Abstract
1. Introduction
2. Materials and Methods
2.1. Membranes
2.2. Flux Studies with Hollow Fibre Membrane
2.3. Fouling Studies with Flat Sheet Membranes
2.4. Cleaning of FO Set-up to Remove Trace Organic Impurities Prior to Each Fouling Test
- I.
- Recirculation of 0.5% sodium hypochlorite through the FO set-up for 2 h.
- II.
- Removal of trace organic matter by recirculating 5 mM ethylene di-amine tetra-acetic acid (EDTA) at pH 11 through the set-up for 30 min.
- III.
- Additional removal of trace organic matter by recirculating 2 mM sodium dodecyl sulphate (SDS) at pH 11 through the set-up for 30 min.
- IV.
- Sterilisation of the unit by recirculating 95% ethanol through the set-up for 1 h.
- V.
- Rinsing the unit with DI water (several times) to eliminate ethanol residue.
3. Results
3.1. Effect of Re on the Water Flux
3.2. Effect of Sludge Solids Content
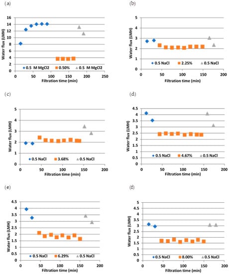
3.3. Fouling Studies with Flat Sheet Membranes
3.3.1. Change in Water Flux
3.3.2. Total Organic Carbon (TOC) Results
3.4. Future Needs to Improve the Performance of FO Membranes
4. Conclusions
Author Contributions
Funding
Conflicts of Interest
References
- Phuntsho, S.; Shon, H.K.; Hong, S.; Lee, S.; Vigneswaran, S. A novel low energy fertilizer driven forward osmosis desalination for direct fertigation: Evaluating the performance of fertilizer draw solutions. J. Membr. Sci. 2011, 375, 172–181. [Google Scholar] [CrossRef]
- Liyanaarachchi, S.; Jegatheesan, V.; Muthukumaran, S.; Gray, S.; Shu, L. Mass balance for a novel RO/FO hybrid system in seawater desalination. J. Membr. Sci. 2016, 501, 199–208. [Google Scholar] [CrossRef]
- Cath, T.Y.; Childress, A.E.; Elimelech, M. Forward osmosis: Principles, applications, and recent developments. J. Membr. Sci. 2006, 281, 70–87. [Google Scholar] [CrossRef]
- Touati, K.; Tadeo, F. Study of the reverse salt diffusion in pressure retarded osmosis: Influence on concentration polarization and effect of the operating conditions. Desalination 2016, 389, 171–186. [Google Scholar] [CrossRef]
- Ray, S.S.; Chen, S.S.; Nguyen, N.C.; Nguyen, H.T.; Dan, N.P.; Thanh, B.X.; Trang, T. Exploration of polyelectrolyte incorporated with Triton-X 114 surfactant based osmotic agent for forward osmosis desalination. J. Environ. Manag. 2018, 209, 346–353. [Google Scholar] [CrossRef]
- Achilli, A.; Cath, T.Y.; Childress, A.E. Selection of inorganic-based draw solutions for forward osmosis applications. J. Membr. Sci. 2010, 364, 233–241. [Google Scholar] [CrossRef]
- Alejo, T.; Arruebo, M.; Carcelen, V.; Monsalvo, V.M.; Sebastian, V. Advances in draw solutes for forward osmosis: Hybrid organic-inorganic nanoparticles and conventional solutes. Chem. Eng. J. 2017, 309, 738–752. [Google Scholar] [CrossRef]
- Ge, Q.; Ling, M.; Chung, T.-S. Draw solutions for forward osmosis processes: Developments, challenges, and prospects for the future. J. Membr. Sci. 2013, 442, 225–237. [Google Scholar] [CrossRef]
- Ge, Q.; Su, J.; Chung, T.-S.; Amy, G. Hydrophilic Superparamagnetic Nanoparticles: Synthesis, Characterization, and Performance in Forward Osmosis Processes. Ind. Eng. Chem. Res. 2011, 50, 382–388. [Google Scholar] [CrossRef]
- Mathew, R.; Paduano, L.; Albright, J.G.; Miller, D.G.; Rard, J.A. Isothermal Diffusion Coefficients for NaCl-MgCl,-H2O at 25 °C. 3. Low MgCl2 Concentrations with a Wide Range of NaCl Concentrations. J. Phys. Chem. 1989, 93, 4370–4374. [Google Scholar] [CrossRef]
- Su, J.; Chung, T.-S.; Helmer, B.J.; De Wit, J.S. Enhanced double-skinned FO membranes with inner dense layer for wastewater treatment and macromolecule recycle using Sucrose as draw solute. J. Membr. Sci. 2012, 396, 92–100. [Google Scholar] [CrossRef]
- Yen, S.K.; Mehnas Haja, N.F.; Su, M.; Wang, K.Y.; Chung, T.-S. Study of draw solutes using 2-methylimidazole-based compounds in forward osmosis. J. Membr. Sci. 2010, 364, 242–252. [Google Scholar] [CrossRef]
- Miller, D.G.; Lee, C.M.; Rard, J.A. Ternary Isothermal Diffusion Coefficients of NaCl-MgCl2-H2O at 25 °C. 7. Seawater Composition. J. Solut. Chem. 2007, 36, 1559–1567. [Google Scholar] [CrossRef]
- Li, G.; Li, X.-M.; He, T.; Jiang, B.; Gao, C. Cellulose triacetate forward osmosis membranes: Preparation and characterization. Desalin. Water Treat. 2013, 51, 2656–2665. [Google Scholar] [CrossRef]
- Lim, S.; Akther, N.; Phuntsho, S.; Shon, H.K. Defect-free outer-selective hollow fiber thin-film composite membranes for forward osmosis applications. J. Membr. Sci. 2019, 586, 281–291. [Google Scholar] [CrossRef]
- Xie, M.; Nghiem, L.D.; Price, W.E.; Elimelech, M. Comparison of the removal of hydrophobic trace organic contaminants by forward osmosis and reverse osmosis. Water Res. 2012, 46, 2683–2692. [Google Scholar] [CrossRef]
- Gao, Y.; Li, W.; Lay, W.C.L.; Coster, H.G.L.; Fane, A.G.; Tang, C.Y. Characterization of forward osmosis membranes by electrochemical impedance spectroscopy. Desalination 2013, 312, 45–51. [Google Scholar] [CrossRef]
- Lotfi, F.; Phuntsho, S.; Majeed, T.; Kim, K.; Han, D.S.; Abdel-Wahab, A.; Shon, H.K. Thin film composite hollow fibre forward osmosis membrane module for the desalination of brackish groundwater for fertigation. Desalination 2015, 364, 108–118. [Google Scholar] [CrossRef]
- Liu, Y.; Mi, B. Combined fouling of forward osmosis membranes: Synergistic foulant interaction and direct observation of fouling layer formation. J. Membr. Sci. 2012, 407–408, 136–144. [Google Scholar] [CrossRef]
- Yoon, H.; Baek, Y.; Yu, J.; Yoon, J. Biofouling occurrence process and its control in the forward osmosis. Desalination 2013, 325, 30–36. [Google Scholar] [CrossRef]
- Li, Z.Y.; Yangali-Quintanilla, V.; Valladares-Linares, R.; Li, Q.; Zhan, T.; Amy, G. Flux patterns and membrane fouling propensity during desalination of seawater by forward osmosis. Water Res. 2012, 46, 195–204. [Google Scholar] [CrossRef] [PubMed]
- Jeong, S.; Kim, S.-J.; Hee Kim, L.; Seop Shin, M.; Vigneswaran, S.; Vinh Nguyen, T.; Kim, I.S. Foulant analysis of a reverse osmosis membrane used pretreated seawater. J. Membr. Sci. 2013, 428, 434–444. [Google Scholar] [CrossRef]
- Kang, G.-D.; Gao, C.-J.; Chen, W.-D.; Jie, X.-M.; Cao, Y.-M.; Yuan, Q. Study on hypochlorite degradation of aromatic polyamide reverse osmosis membrane. J. Membr. Sci. 2007, 300, 165–171. [Google Scholar] [CrossRef]
- Holloway, R.W.; Maltos, R.; Vanneste, J.; Cath, T.Y. Mixed draw solutions for improved forward osmosis performance. J. Membr. Sci. 2015, 491, 121–131. [Google Scholar] [CrossRef]
- Majeed, T.; Phuntsho, S.; Sahebi, S.; Kim, J.E.; Yoon, J.K.; Kim, K.; Shon, H.K. Influence of the process parameters on hollow fiber-forward osmosis membrane performances. Desal. Wat. Treat. 2015, 54, 817–828. [Google Scholar] [CrossRef]
- Mi, B.; Elimelech, M. Chemical and physical aspects of organic fouling of forward osmosis membranes. J. Membr. Sci. 2008, 320, 292–302. [Google Scholar] [CrossRef]
- She, Q.; Jin, X.; Li, Q.; Tang, C.Y. Relating reverse and forward solute diffusion to membrane fouling in osmotically driven membrane processes. Water Res. 2012, 46, 2478–2486. [Google Scholar] [CrossRef]
- Zhao, S.; Zou, L. Relating solution physicochemical properties to internal concentration polarization in forward osmosis. J. Membr. Sci. 2011, 379, 459–467. [Google Scholar] [CrossRef]
- Lee, S.; Boo, C.; Elimelech, M.; Hong, S. Comparison of fouling behavior in forward osmosis (FO) and reverse osmosis (RO). J. Membr. Sci. 2010, 365, 34–39. [Google Scholar] [CrossRef]
- Liyanaarachchi, S.; Jegatheesan, V.; Obagbemi, I.; Muthukumaran, S.; Shu, L. Effect of feed temperature and membrane orientation on pre-treatment sludge volume reduction through forward osmosis. Desalin. Water Treat. 2015, 54, 838–844. [Google Scholar] [CrossRef]
- Valladares Linares, R.; Yangali-Quintanilla, V.; Li, Z.; Amy, G. Rejection of micropollutants by clean and fouled forward osmosis membrane. Water Res. 2011, 45, 6737–6744. [Google Scholar] [CrossRef] [PubMed]
- Cath, T.Y.; Gormly, S.; Beaudry, E.G.; Flynn, M.T.; Adams, V.D.; Childress, A.E. Membrane contactor processes for wastewater reclamation in space: Part I. Direct osmotic concentration as pretreatment for reverse osmosis. J. Membr. Sci. 2005, 257, 85–98. [Google Scholar] [CrossRef]
- Xie, M.; Nghiem, L.D.; Price, W.E.; Elimelech, M. A forward osmosis-membrane distillation hybrid process for direct sewer mining: System performance and limitations. Environ. Sci. Technol. 2013, 47, 13486–13493. [Google Scholar] [CrossRef] [PubMed]
- Cornelissen, E.R.; Harmsen, D.; de Korte, K.F.; Ruiken, C.J.; Qin, J.-J.; Oo, H.; Wessels, L.P. Membrane fouling and process performance of forward osmosis membranes on activated sludge. J. Membr. Sci. 2008, 319, 158–168. [Google Scholar] [CrossRef]
- Achilli, A.; Cath, T.Y.; Marchand, E.A.; Childress, A.E. The forward osmosis membrane bioreactor: A low fouling alternative to MBR processes. Desalination 2009, 239, 10–21. [Google Scholar] [CrossRef]
- Holloway, R.W.; Childress, A.E.; Dennett, K.E.; Cath, T.Y. Forward osmosis for concentration of anaerobic digester centrate. Water Res. 2007, 41, 4005–4014. [Google Scholar] [CrossRef]
- Xie, M.; Nghiem, L.D.; Price, W.E.; Elimelech, M. Toward resource recovery from wastewater: Extraction of phosphorus from digested sludge using a hybrid forward osmosis-membrane distillation process. Environ. Sci. Technol. Lett. 2014, 1, 191–195. [Google Scholar] [CrossRef]
- Sun, W.; Shi, J.; Chen, C.; Li, N.; Xu, Z.; Li, J.; Lv, H.; Qian, X.; Zhao, L. A review on organic–inorganic hybrid nanocomposite membranes: A versatile tool to overcome the barriers of forward osmosis. RSC Adv. 2018, 8, 10040. [Google Scholar] [CrossRef]
- Shaffer, D.L.; Werber, J.R.; Jaramillo, H.; Lin, S.; Elimelech, M. Forward Osmosis: Where are we now? Desalination 2015, 356, 271–284. [Google Scholar] [CrossRef]
- Shan, M.; Kang, H.; Xu, Z.; Li, N.; Jing, M.; Hu, Y.; Teng, K.; Qian, X.; Shi, J.; Liu, L. Decreased cross-linking in interfacial polymerization and heteromorphic support between nanoparticles: Towards high-water and low-solute flux of hybrid forward osmosis membrane. J. Colloid Interface Sci. 2019, 548, 170–183. [Google Scholar] [CrossRef]
- Kang, H.; Wang, W.; Shi, J.; Xu, Z.; Lv, H.; Qian, X.; Liu, L.; Jing, M.; Li, F.; Niu, J. Interlamination restrictive effect of carbon nanotubes for graphene oxide forward osmosis membrane via layer by layer assembly. Appl. Surface Sci. 2019, 465, 1103–1106. [Google Scholar] [CrossRef]











| Draw Solution (1 M) | Density, ρ (kg/m3) | Viscosity, µ (Pa∙s) | Conductivity *, EC (mS/cm) | Osmotic Pressure at 25 °C (bar) | 
|---|---|---|---|---|
| NaCl | 1037.00 | 0.001080 | 81.1 | 46.4 | 
| Na2SO4 | 1557.00 | 0.001120 | 81.9 | 52.0 | 
| MgCl2 | 1072.40 | 0.001490 | 96.7 | 79.9 | 
| CaCl2 | 1085.20 | 0.001330 | 108.6 | 80.0 | 
| ROC | 1023.98 | 0.001004 | 72.3 | 33.0 | 
| Property | Seawater | Sand Filtered Seawater | Draw Solution—ROC | Feed Solution—PSDP Fe(OH)3 Sludge | 
|---|---|---|---|---|
| pH | 8.42 | 7.68 | 7.77 | 8.69 | 
| Turbidity (NTU) | 29.1 | 0.45 | - | - | 
| EC (mS/m) | 4450 | 4470 | 7300 | 5150 | 
| TOC (mg/L) | 1.71 | 0.73 | 3.10 | 17.06 | 
| Alkalinity—mg/L as CaCO3 | 110 | 45 | 68 | 102 | 
| Hardness (EDTA)-mg/L as CaCO3 | 4600 | 6200 | 9550 | 4500 | 
| Solids content (% TS) | - | - | - | 4.04 | 
| Specific gravity | - | - | - | 1.01 | 
© 2020 by the authors. Licensee MDPI, Basel, Switzerland. This article is an open access article distributed under the terms and conditions of the Creative Commons Attribution (CC BY) license (http://creativecommons.org/licenses/by/4.0/).
Share and Cite
Liyanaarachchi, S.; Jegatheesan, V.; Shu, L.; Shon, H.K.; Muthukumaran, S.; Li, C.Q. Evaluating the Feasibility of Forward Osmosis in Diluting RO Concentrate Using Pretreatment Backwash Water. Membranes 2020, 10, 35. https://doi.org/10.3390/membranes10030035
Liyanaarachchi S, Jegatheesan V, Shu L, Shon HK, Muthukumaran S, Li CQ. Evaluating the Feasibility of Forward Osmosis in Diluting RO Concentrate Using Pretreatment Backwash Water. Membranes. 2020; 10(3):35. https://doi.org/10.3390/membranes10030035
Chicago/Turabian StyleLiyanaarachchi, Susanthi, Veeriah Jegatheesan, Li Shu, Ho Kyong Shon, Shobha Muthukumaran, and Chun Qing Li. 2020. "Evaluating the Feasibility of Forward Osmosis in Diluting RO Concentrate Using Pretreatment Backwash Water" Membranes 10, no. 3: 35. https://doi.org/10.3390/membranes10030035
APA StyleLiyanaarachchi, S., Jegatheesan, V., Shu, L., Shon, H. K., Muthukumaran, S., & Li, C. Q. (2020). Evaluating the Feasibility of Forward Osmosis in Diluting RO Concentrate Using Pretreatment Backwash Water. Membranes, 10(3), 35. https://doi.org/10.3390/membranes10030035
 
        





 
       