Abstract
This study focused on bio-guided isolation based on antioxidant activities from Dicranopteris linearis spores and Averrhoa bilimbi branches. The total phenolic content (TPC), total flavonoid content (TFC), and antioxidant activities of the extracts were determined. For D. linearis spores, the ethyl acetate (EA) extract exhibited the highest TPC (120.13 ± 0.04 mg GAE/g) and TFC (21.94 ± 0.30 mg QE/g), along with strong DPPH antioxidant activity (96.3 ± 0.3% inhibition, IC50 of 39.4 ± 0.3 µg/mL). For A. bilimbi branches, the n-hexane–ethyl acetate (HEA) extract showed the highest TPC (165.21 ± 0.24 mg GAE/g) and TFC (26.20 ± 0.01 mg QE/g), with significant DPPH antioxidant activity (89.6 ± 0.7% inhibition, IC50 of 39.7 ± 1.9 µg/mL). Phytochemical investigation led to the identification of ten compounds (D1–D10) from D. linearis spores and twelve compounds (A1–A12) from A. bilimbi branches. Notably, compound A1 was identified as a new natural compound. The chemical structures were elucidated through NMR spectroscopy and comparison with existing literature. The antioxidant activities of selected compounds (D3–D5, D8–D10, and A1–A11) were evaluated using DPPH and ABTS free radical scavenging assays. Among them, compound A3 exhibited the strongest antioxidant activities (IC50 of 7.1 ± 0.1 µg/mL for DPPH and 14.8 ± 0.1 for ABTS, respectively). The results of this study highlight the potential of D. linearis and A. bilimbi for use in natural product-based antioxidant applications.
1. Introduction
Comprehensive reviews have indicated that ferns are well known for their traditional uses, including hepatoprotective, antihyperglycemic, leishmanicidal, and trypanocidal activities [1,2]. Dicranopteris linearis (Burm. F.) Underw., a common fern widely distributed in Vietnam, is traditionally used in East Asian countries to treat various ailments such as fever (in Malaysia) and intestinal worms (in Indochina) [3]. In India, it is used for treating asthma and infertility in women, and in Papua New Guinea, it is used for wound healing [4]. Various pharmacological properties of D. linearis have been reported, including anticancer, antibacterial, antioxidant, analgesic, and anti-HIV activities [4,5,6]. The chemical composition of D. linearis has been thoroughly examined, with more than 40 compounds identified, predominantly in the leaves [4,5,6,7,8]. Several studies have also explored the pharmaceutical properties of D. linearis leaf extracts. For instance, Ponnusamy and colleagues studied the wound healing properties of a polar fraction of D. linearis leaves using a combination of in vitro assays, including DPPH, FRAP, and MTT [4]. The hepatoprotective potential of D. linearis extracts has also been demonstrated using different in vivo models, including CCl4-induced and paracetamol-induced rats [3,7,8]. More recently, the extract of D. linearis leaves was found to be a potent antidepressant agent in an in vivo study [9]. Our previous report indicated that D. linearis leaves might be a potent source of alpha-glucosidase inhibitors [10]. The antioxidant activity of Malaysian D. linearis leaves has been comprehensively studied using the DPPH method [4]. Zakaria and co-workers further demonstrated that both water-soluble and lipid-soluble extracts exhibited potent antioxidant and hepatoprotective activities [6,7,8,11,12].
Averrhoa bilimbi L. is an edible plant with numerous traditional uses. In India, the fruit is used as an antidiabetic agent [13] and for treating obesity [14,15]. It is also employed to treat whooping cough, pimples, and hypertension [15]. The leaves of the plant are used to treat fever and skin infections, and as an antiscorbutic and astringent [14,15]. A decoction prepared from the fruits is used to treat hepatitis, fever, and diarrhea [14]. However, little is known about the chemical constituents of A. bilimbi. The isolation of 14 components, including two new flavonoid glycosides, was previously reported from the leaves of A. bilimbi in Indonesia [16], showing potent inhibition towards cytochrome P450 3A4 and 2D6. Two other studies on the fruits of A. bilimbi in India reported HPLC screening data and the isolation of dihydromyricetin [17,18]. Despite the scarcity of chemical data, a significant number of biological investigations have been conducted on this plant. These include studies on its antioxidant [19,20], antiradical, xanthine oxidase inhibition [21], antibacterial [22,23,24], cytotoxic [14], and thrombolytic activities [24]. In vivo studies have also been conducted on its antidiabetic effect [13] and anti-ulcerative colitis activity [25].
Despite the considerable medicinal value demonstrated by D. linearis leaves and A. bilimbi fruits, the reproductive spores of D. linearis and the branches of A. bilimbi have not yet been thoroughly studied. Both parts of the plants may contain bioactive compounds that could contribute to the development of new therapeutic agents, particularly in the area of antioxidant research, which is crucial for managing oxidative stress-related diseases such as cancer, diabetes, and cardiovascular conditions. The goal of this study is to investigate the chemical composition and antioxidant activities of D. linearis spores and A. bilimbi branches. By employing a bio-guided isolation approach, we aim to identify bioactive compounds from these previously unexplored parts of the plants, thereby expanding the understanding of their potential therapeutic uses. This research will contribute to the growing body of knowledge on natural antioxidants and may offer valuable insights for the development of new pharmacological agents.
2. Materials and Methods
2.1. Chemicals
Thin-layer chromatography (TLC) was performed using precoated silica gel on aluminum plates [silica gel 60, F254 or RP–18 silica gel 60 F254S (Merck, Darmstadt, Germany)]. The spots were visualized by heating after applying a 10% sulfuric acid solution. Silica gel column chromatography (CC) was conducted on a normal-phase silica gel 60 (40–63 µm, Merck). Reverse-phase silica gel CC was performed on a C18 silica gel 60 (23–40 µm, Merck). 1,1-Diphenyl-2-picrylhydrazyl (DPPH), gallic acid, and quercetin were obtained from Sigma-Aldrich Co. (St. Louis, MO, USA).
2.2. Plant Materials
Spores of D. linearis were collected in Binh Thuan province, Vietnam, in November 2022. The scientific name of the plant was authenticated by co-author Van-Son Dang. A voucher specimen (No. UE-P017A) was deposited in the VNM Herbarium, Institute of Tropical Biology, Vietnam Academy of Science and Technology.
The branches of A. bilimbi L. were collected in Uttaradit Province, Thailand, in October 2023. The specimens were identified by Asst. Prof. Dr. Kanit Wangwasit, Department of Biology, Faculty of Science, Mahasarakham University, Thailand, where a voucher specimen (K. Wangwasit 240807-1) was deposited.
2.3. Extraction and Isolation Procedure
The plant samples were dried in an oven at 55 °C for 48 h. Subsequently, the plant materials were ground, milled, and sieved using a 1 mm sieve. The obtained powder was weighed to determine the dry mass of each material before proceeding with the extraction process.
The spores of D. linearis (300 g) were extracted with methanol (1 L × 10, each for 12 h) to yield a methanol extract (19 g). This extract underwent liquid–liquid extraction using n-hexane and ethyl acetate (1:1, v/v) to obtain the extracts of n-hexane (33 g, H), ethyl acetate-n-hexane (46 g, HEA), and ethyl acetate (82 g, EA), and a water-soluble extract (2.2 g). The EA extract was subsequently subjected to silica gel column chromatography (CC) employing a gradient of n-hexane–ethyl acetate (1:3–0:1, v/v), followed by methanol to yield four major fractions (EA1–EA4). Fractionation of EA3 (4.6 g) was performed using silica gel CC with a gradient of n-hexane–ethyl acetate (1:1–0.1, v/v) and subsequently methanol to afford five subfractions (EA3.1–EA3.5). Subfraction EA3.1 (1.2 g) was further purified by silica gel CC using a gradient of n-hexane–ethyl acetate (1.1:1–2:8, v/v) to yield subfractions X1–X3. Subfraction X2 (110 mg) was subjected to silica gel CC using n-hexane–ethyl acetate (1.1:1–2:8, v/v) to yield compounds D1 (32.0 mg) and D2 (15.0 mg). Subfraction EA3.4 (1.5 g) was loaded onto silica gel CC and eluted with ethyl acetate–methanol–water (gradient mode, 95:5:0.2–8:2:0.2, v/v/v) to obtain subfractions S1–S5. Subfraction S1 (210 mg) was purified by silica gel CC, eluting with ethyl acetate–methanol–water (95:5:0.2, v/v/v), to afford compounds D3 (11.0 mg), D4 (15.0 mg), and D5 (15.0 mg). Compounds D8 (3.0 mg) and D9 (21.0 mg) were obtained after the separation of subfraction S2 (285 mg) by silica gel CC using ethyl acetate–methanol–water (9:1:0.2–8:2:0.2, v/v/v), while compounds D6 (11.0 mg), D7 (6.0 mg), and D10 (2.0 mg) were isolated from subfraction S3 (180 mg) using the same solvent system. The detailed isolation procedure of compounds D1–D10 (Figure 1) is provided in Scheme S1.
Figure 1.
Chemical structures of compounds D1–D10 and A1–A12.
The branches of A. bilimbi (17 kg) were extracted with methanol (40 L × 3 each for 12 h) at room temperature, and the filtered solution was evaporated to afford a crude methanol extract (280 g). This extract underwent liquid–liquid partitioning using n-hexane and n-hexane–ethyl acetate (1:1, v/v), followed by ethyl acetate extraction to yield n-hexane (32.5 g, H), n-hexane–ethyl acetate (46.7 g, HEA), ethyl acetate (81.6 g, EA), and water-soluble (112 g) extracts, respectively. The HEA extract was subjected to silica gel CC using a gradient of n-hexane–ethyl acetate (2:1–0:1, v/v), followed by methanol, to afford nine major fractions (HEA1–HEA9). Fraction HEA3 (11.2 g) was further fractionated by Sephadex LH-20 CC using methanol as the mobile phase to yield three subfractions (HEA3.1–HEA3.3). Subfraction HEA3.2 (4.2 g) was isolated by silica gel CC using a gradient of n-hexane–ethyl acetate (4:1–2:8, v/v) to obtain three subfractions (R1–R3). Subfractions R2.1–R2.3 were obtained from subfraction R2 (510 mg) utilizing normal-phase silica gel CC as the stationary phase and n-hexane–ethyl acetate (4:1–2:8, v/v) as the eluent in a gradient mode. Subfraction R2.2 (45 mg) was further purified to afford compounds A4 (2.8 mg), A6 (3.0 mg), and A7 (4.5 mg). Fraction HEA8 (7.6 g) was subjected to Sephadex LH-20 CC with methanol to yield four subfractions (HEA8.1–HEA8.4). Subfraction HEA8.2 (4.5 g) was purified by silica gel CC using a gradient of n-hexane–ethyl acetate (2:1–1:1, v/v) to afford subfractions S1–S4. Further purification of subfraction S1 (210 mg) by silica gel CC was conducted using chloroform–acetone–water (50:2.5:0.1, v/v/v) to afford compounds A3 (8.0 mg) and A5 (15 mg). Subfraction S2 (1.3 g) was subjected to RP-C18 CC using methanol–water (8:1, v/v) to obtain compounds A1 (3.2 mg) and A12 (4.5 mg). Purification of subfraction S3 (180 mg) by silica gel CC employing a gradient mode in a mixture of n-hexane–ethyl acetate (2:1–1:1, v/v) was carried out to obtain compounds A10 (6.0 mg), A11 (2.2 mg), and A9 (11 mg). Subfraction S4 (210 mg) was loaded onto RP-C18 CC using methanol–water (3:1, v/v) to afford subfractions S4.1–S4.3. Compounds A2 (5.0 mg) and A8 (4.9 mg) were isolated from subfraction S4.1 (50 mg). An overview of the isolation procedure of compounds A1–A12 (Figure 1) is provided in Scheme S2.
2.4. Structural Elucidation
Structural elucidation was conducted using NMR data and comparison with the literature. The NMR machine used was a Bruker Avance III (500 MHz) spectrometer with TMS as the internal standard. The Xevo G2 Quadrupole Time of Flight Mass Spectrometer was utilized to elucidate the molecular structures of a select number of compounds.
2.5. Total Phenolic Content (TPC)
The total phenolic content in the A. bilimbi and D. linearis extracts was quantified using the published method [26] with some modifications. Each extract was prepared at a concentration of 10 g/L. A volume of 0.1 mL of each extract was mixed with 0.5 mL of Folin–Ciocalteu reagent (diluted with water with the ratio of 1:10, v/v) for 5 min. Next, 1.5 mL of sodium carbonate (7.5%, w/v) were added. The tube content was incubated for 40 min in the dark, and the absorbance was read at 760 nm. Different concentrations of gallic acid ranging from 0.45 to 28.8 µg/mL were prepared. The TPC of samples was estimated from the standard curve of gallic acid (20–200 µg/mL).
2.6. Total Flavonoid Content (TFC)
The total flavonoid content in the A. bilimbi and D. linearis extracts was evaluated following the method described previously [26] with some modifications. Each extract was prepared at a concentration of 10 g/L. Concentrations of 1 g/L, 1 M, and 1 M of agents AlCl3, NaNO2, and NaOH were prepared, respectively. A volume of 1 mL of each extract was mixed with 4 mL H2O and then 0.3 mL NaNO2 in the dark for 5 min. Next, 0.3 mL AlCl3 and 2 mL NaOH and then 2.4 mL were added to the mixture. The mixture was allowed to stay in the dark for 30 min. Finally, the absorbance was measured at 510 nm. The TFC was evaluated based on the calibration curve of a standard compound, quercetin (20–200 µg/mL).
2.7. DPPH Free Radical Scavenging Activity
The scavenging activity of extracts and compounds towards free radicals 1,1-diphenyl-2-picrylhydrazyl (DPPH) was assessed using the methodology outlined by Ponnusamy et al. [4]. The DPPH 0.2 mM solution in methanol was freshly prepared before the test. For the test samples, 100 µL DPPH 0.2 mM were mixed with A. bilimbi and D. linearis extracts and selected compounds in a 96-well plate and incubated at room temperature in the dark for 30 min. The reference samples contained only DPPH solution, and the prepared blank samples did not contain extracts or compounds. The absorbance was measured at 517 nm, and the radical scavenging activity was calculated using the following equation:
2.8. ABTS Free Radical Scavenging Ability
The 2,2-azino-di-[3-ethylbenzthiazoline sulfonate (ABTS) free radical scavenging ability of extracts and compounds was determined according to Jiang et al. [27]. The solution containing 4.5 mL of ABTS (7 mM) and 4.5 mL of K2S2O8 (2.45 mM) in ammonium acetate buffer (pH 4.5) was kept away from light for 16 h to prepare the ABTS solution. Then, 3.0 mL of the ABTS solution were added to 1.5 mL of compounds and extracts (at a starting concentration of 200 µg/mL) and allowed to react for 6 min in brown tubes. The absorbance was measured at 734 nm, and the radical scavenging activity was calculated using the following equation:
2.9. Statistical Analysis
All samples were analyzed in triplicate. Statistical comparisons were performed using the one-way analysis of variance (ANOVA) test. All the data were expressed as mean values with the standard deviations (mean ± S.D.).
2.10. HPLC Analysis for Extracts and Selected Compounds
The extracts and selected compounds were applied to HPLC-DAD analysis. Compounds and extracts were injected separately through a Luna Phenomenex C18 column (150 mm × 4.6 mm, 5 µm). The mobile phase consisted of (H2O/0.1% HCOOH) as solvent A and (CH3CN/0.1% HCOOH) as solvent B with a gradient of 40–95% B for 45 min and 95–100% B for 5 min. The flow rate was 1 mL/min, and 10 µL of each sample were injected. The HPLC chromatogram showed the presence of compounds in the corresponding extracts (Figure 2). The purities of bioactive compounds D3, D8, D10, A3, and A6 were determined by the same HPLC method. The chromatograms (Figure S6A–E) are presented in the Supplementary Materials.
Figure 2.
HPLC chromatograms of the A. bilimbi HEA extract and the D. linearis EA extract, showing the presence of compounds D1–D10, A3, A4, A6, A9, and the new compound A1.
3. Results
3.1. Analysis of Total Phenolic and Flavonoid Contents, and Antioxidant Activity in A. bilimbi and D. linearis Extracts
The total phenolic content (TPC), total flavonoid content (TFC), and antioxidant activities of the extracts from D. linearis spores and A. bilimbi branches were determined, as summarized in Table 1.
Table 1.
Results of total phenolic content (TPC), total flavonoid content (TFC), and antioxidant activities of A. bilimbi and D. linearis extracts.
For D. linearis spores, the EA extract showed the highest total phenolic content (TPC) of 120.13 ± 0.04 mg GAE/g and total flavonoid content (TFC) of 21.94 ± 0.30 mg QE/g, along with strong antioxidant activity. The extract exhibited 96.3 ± 0.3% inhibition (IC50 of 39.4 ± 0.3 µg/mL) for DPPH and 86.0 ± 0.2% inhibition (IC50 of 88.9 ± 0.7 µg/mL) for ABTS.
For A. bilimbi branches, the HEA extract exhibited the highest TPC of 165.21 ± 0.24 mg GAE/g and TFC of 26.20 ± 0.01 mg QE/g. The extract showed 89.6 ± 0.7% inhibition for DPPH, with an IC50 of 39.7 ± 1.9 µg/mL, and 44.4 ± 0.2% inhibition for another assay (IC50 of 130.8 ± 1.4 µg/mL).
3.2. Phytochemical Investigations of A. bilimbi and D. linearis
From the EA extract of D. linearis spores, eight flavonoids (D1–D8) and two phenolic glycosides (D9 and D10) were isolated, including kaempferol (D1) [10], quercetin (D2) [10], astragalin (D3) [28], afzelin (D4) [29], isoquercetin (D5) [30], quercitrin (D6) [31], rutin (D7) [32], kaempferol 3-O-[3-D-glucopyranosyl)-α-L-rhamnopyranoside (D8) [33], 4-vinyl-phenol-1-O-[α-L-rhamno(1→2)-β-D-glucopyranoside (D9) [4], and 4-vinyl-phenol-1-O-[α-L-rhamno(1→6)-β-D-glucopyranoside (D10) [34]. The chemical structures of all isolated compounds were elucidated through nuclear magnetic resonance (NMR) spectroscopy, high-resolution mass data in both negative and positive modes, and comparison with the corresponding literature data. The NMR data of compounds D3–D6 and D8–D10 are presented below.
Astragalin (D3): 1H-NMR (500 MHz, DMSO-d6, δ ppm, J in Hertz): 12.60 (1H, brs, 5-OH), 8.04 (2H, d, J = 9.0 Hz, H-2′, H-6′), 6.88 (2H, d, J = 9.0 Hz, H-3′, H-5′), 6.42 (1H, d, J = 2.0 Hz, H-8), 6.20 (1H, d, J = 2.0 Hz, H-6), 5.45 (1H, d, J = 7.5 Hz, H-1″), 3.57 (1H, m, H-6″a), 3.20–3.40 (4H, overlap, H-2″, H-3″, H-4″, H-5″), 3.19 (1H, m, H-6″b) [28].
Afzelin (D4): 1H-NMR (500 MHz, DMSO-d6, δ ppm, J in Hertz): 12.64 (1H, s, 5-OH), 10.87 (1H, s, 7-OH), 9.74 (1H, s, 3′-OH), 9.19 (1H, s, 4′-OH), 7.76 (2H, d, J = 8.5 Hz, H-2′, H-6′), 6.92 (2H, d, J = 8.5 Hz, H-3′, H-5′), 6.41 (1H, s, H-8), 6.21 (1H, brs, H-6), 5.30 (1H, s, H-1″), 3.09–3.15 (4H, m, H-2″, H-3″, H-4″, H-5″), 0.80 (1H, d, J = 6.0 Hz, H-6″). 13C-NMR (125 MHz, DMSO-d6, δ ppm): 177.7 (C-4), 164.2 (C-5), 161.3 (C-7), 160.0 (C-2), 157.2 (C-9), 148.3 (C-3′), 144.7 (C-4′), 134.2 (C-3), 121.9 (C-1′), 120.9 (C-6′), 120.0 (C-2′), 116.0 (C-5′), 104.1 (C-10, C-1″), 98.7 (C-6), 93.7 (C-8), 71.1 (C-4″), 70.6 (C-2″), 70.3 (C-3″), 70.0 (C-5″), 17.4 (C-6″) [29]. HRESIMS (positive mode) m/z 449.1091 [M+H]+ (cald. for C21H21O11 449.1081).
Isoquercetin (D5): 1H-NMR (500 MHz, DMSO-d6, δ ppm, J in Hertz): 12.64 (1H, s, 5-OH), 10.87 (1H, s, 7-OH), 9.74 (1H, s, 3′-OH), 9.19 (1H, s, 4′-OH), 7.66 (1H, d, J = 8.5 Hz, H-6′), 7.52 (1H, s, H-2′), 6.81 (1H, d, J = 8.5 Hz, H-5′), 6.40 (1H, s, H-8), 6.20 (1H, s, H-6), 5.37 (1H, d, J = 8.0 Hz, H-1″), 5.29 (1H, brs, 2″-OH), 5.14 (1H, brs, 3″-OH), 4.87 (1H, brs, 4″-OH), 4.44 (1H, brs, 6″-OH), 3.56 (2H, m, H-6″), 3.24 (1H, m, H-2″), 3.23 (1H, m, H-3″), 3.08 (1H, m, H-4″), 3.07 (1H, m, H-5″). 13C-NMR (125 MHz, DMSO-d6, δ ppm): 177.3 (C-4), 164.0 (C-5), 161.1 (C-7), 156.1 (C-2, C-9), 148.3 (C-3′), 144.7 (C-4′), 133.3 (C-3), 121.9 (C-1′), 120.9 (C-6′), 116.0 (C-5′), 115.0 (C-2′), 103.8 (C-10), 101.6 (C-1″), 98.5 (C-6), 75.7 (C-5″), 73.0 (C-3″), 71.0 (C-2″), 67.8 (C-4″), 60.0 (C-6″) [30].
Quercitrin (D6): 1H-NMR (500 MHz, DMSO-d6, δ ppm, J in Hertz): 12.64 (1H, s, 5-OH), 10.87 (1H, s, 7-OH), 9.74 (1H, s, 3′-OH), 9.19 (1H, s, 4′-OH), 7.66 (1H, d, J = 8.5 Hz, H-6′), 7.52 (1H, s, H-2′), 6.92 (1H, d, J = 8.5 Hz, H-5′), 6.38 (1H, d, J = 2.0 Hz, H-6), 6.21 (1H, d, J = 1.5 Hz, H-8), 5.35 (1H, s, H-1″), 4.21 (1H, m, H-2″), 3.23 (1H, m, H-3″), 3.08 (1H, m, H-4″), 3.07 (1H, m, H-5″), 0.95 (1H, d, J = 6.0 Hz, H-6″). 13C-NMR (125 MHz, DMSO-d6, δ ppm): 179.6 (C-4), 165.8 (C-7), 163.1 (C-5), 159.4 (C-2), 158.5 (C-9), 149.7 (C-4′), 146.3 (C-3′), 136.0 (C-3), 122.9 (C-6′), 122.8 (C-1′), 116.9 (C-5′), 116.4 (C-2′), 105.9 (C-10), 103.5 (C-1″), 99.9 (C-6), 94.8 (C-8), 73.2 (C-4″), 73.0 (C-5″), 72.0 (C-3″), 71.9 (C-2″), 17.6 (C-6″) [31].
Kaempferol 3-O-β-D-glucopyranoside-7-O-α-L-rhamnopyranoside (D8): 1H-NMR (500 MHz, methanol-d4, δ ppm, J in Hertz): 7.78 (2H, d, J = 8.5 Hz, H-2′, H-6′), 6.96 (2H, d, J = 9.0 Hz, H-3′, H-5′), 6.41 (1H, d, J = 2.0 Hz, H-8), 6.23 (1H, d, J = 2.0 Hz, H-6), 5.72 (1H, d, J = 1.0 Hz, H-1″), 5.14 (1H, t, J = 9.0 Hz, H-4″), 4.42 (1H, d, J = 8.0 Hz, H-1‴), 4.29 (1H, dd, J = 3.5, 1.5 Hz, H-2″), 3.83 (1H, dd, J = 10.5, 3.5 Hz, H-3″), 3.70 (1H, m, H-6″). 13C-NMR (125 MHz, methanol-d4, δ ppm): 179.6 (C-4), 166.0 (C-7), 163.2 (C-5), 161.7 (C-4′), 159.5 (C-2), 158.6 (C-9), 136.5 (C-3), 132.0 (C-2′, C-6′), 122.6 (C-1′), 116.6 (C-3′, C-5′), 107.1 (C-1‴), 106.0 (C-10), 102.6 (C-1″), 100.0 (C-6), 94.9 (C-8), 82.6 (C-2″), 77.9 (C-3‴, C-5‴), 75.3 (C-2‴), 73.4 (C-4″), 72.0 (C-5″), 71.8 (C-3″), 70.9 (C-4‴), 62.4 (C-6‴), 17.6 (C-6″) [33]. HRESIMS (positive mode) m/z 593.1506 [M-H2O+H]+ (cald. for C27H29O15 593.1533).
4-Vinyl-phenol-1-O-[α-L-rhamno(1→2)-β-D-glucopyranoside (D9): 1H-NMR (DMSO-d6, 500 MHz) 7.40 (2H, d, J = 8.5 Hz, H-3, H-5), 6.99 (2H, d, J = 8.5 Hz, H-2, H-6), 6.67 (1H, dd, J = 18.0, 11.0 Hz, H-7), 5.70 (1H, d, J = 18.0 Hz, H-8a), 5.16 (1H, d, J = 7.0 Hz, H-1′), 5.14 (1H, d, J = 11.5 Hz, H-8b), 4.75 (1H, d, J = 5.5 Hz, 4″-OH), 4.55 (1H, brs, H-1″), 3.85 (1H, d, J = 10.5 Hz, H-6′a), 3.77 (1H, m, H-4′), 3.71 (1H, m, H-2′), 3.67 (1H, m, H-3′), 3.61 (3H, m, H-6′b, H-2″, H-3″), 3.60 (2H, m, H-5′, H-5″), 3.30 (1H, m, H-4″), 1.11 (1H, d, J = 6.0 Hz, H-6″). 13C-NMR (DMSO-d6, 125 MHz) 157.2 (C-1), 136.1 (C-7), 131.2 (C-4), 127.2 (C-3, C-5), 116.4 (C-2, C-6), 112.4 (C-8), 100.7 (C-1″), 100.5 (C-1′), 77.8 (C-3″), 76.6 (C-2′), 72.0 (C-4″), 70.7 (C-3′), 70.4 (C-2″), 70.0 (C-5′), 68.4 (C-5″), 66.7 (C-4′), 61.0 (C-6′), 17.9 (C-6″) [4]. HRESIMS (negative mode) m/z 473.1648 [M+HCO2H-H]− (cald. for C20H29O10 473.1659).
4-Vinyl-phenol-1-O-[α-L-rhamno(1→6)-β-D-glucopyranoside (D10): 1H-NMR (Methanol-d4, 500 MHz) 7.37 (2H, d, J = 9.0 Hz, H-3, H-5), 7.03 (2H, d, J = 8.5 Hz, H-2, H-6), 6.64 (1H, overlap, H-7), 5.66 (1H, dd, J = 17.5, 0.5 Hz, H-8a), 5.11 (1H, dd, J = 11.0, 1.0 Hz, H-8b), 4.85 (1H, overlap, H-1′), 4.70 (1H, d, J = 2.0, H-1″), 4.03 (1H, m, H-6′a), 3.85 (1H, m, H-2″), 3.71 (1H, m, H-3″), 3.69 (1H, m, H-4′), 3.66 (1H, m, H-5″), 3.60 (1H, m, H-6′b), 3.45 (1H, m, H-2′), 3.44 (1H, m, H-5′), 3.36 (1H, m, H-4″), 3.33 (1H, m, H-3′), 1.20 (1H, d, J = 6.0 Hz, H-6″). 13C-NMR (Methanol d4, 125 MHz) 158.8 (C-1), 137.5 (C-7), 133.6 (C-4), 128.3 (C-3, C-5), 117.8 (C-2, C-6), 112.5 (C-8), 102.3 (C-1′), 102.2 (C-1″), 75.1 (C-2′), 74.9 (C-3′), 74.0 (C-4″), 72.4 (C-4′, C-3″), 72.2 (C-2″), 71.6 (C-5′), 69.9 (C-5″), 67.9 (C-6′), 17.9 (C-6″) [34]. HRESIMS (negative mode) m/z 473.1699 [M+HCO2H-H]− (cald. for C20H29O10 473.1659).
From the HEA extract of A. bilimbi, twelve compounds were isolated, including 2-(3-ethyl-2,4-dioxo-3,4-dihydroquinazolin-1(2H)-yl)acetic acid (A1) [35,36], caffeine (A2) [37], scopoletin (A3) [38], vanilin (A4), 3-methoxygallate methyl (A5), 2-dehydroxy-5-O-methylembelin (A6) [39], methyl ferulate (A7) [40], 3,4-dihydroxycinnamic acid (A8), cinnamic acid (A9), ayanin (A10) [41], 3-O-methoxykaempferol (A11) [42], and nobiletin (A12) [43]. The chemical structures of all isolated compounds were elucidated through NMR spectroscopy and comparison with the corresponding literature data. The NMR data of compounds A1-A3, A7, A9, A10, and A12 are presented in the Supplementary Materials.
2-(3-Ethyl-2,4-dioxo-3,4-dihydroquinazolin-1(2H)-yl)acetic acid (A1): 1H-NMR (acetone-d6, 500 MHz) 8.13 (1H, dd, J = 8.0, 1.5 Hz, H-8), 7.77 (1H, ddd, J = 8.5, 7.0, 1.5 Hz, H-6), 7.49 (1H, d, J = 8.5 Hz, H-5), 7.45 (1H, ddd, J = 8.0, 7.0, 1.0 Hz, H-7), 4.21 (2H, q, J = 7.0 Hz, H-1′), 4.12 (2H, s, H-2′), 1.38 (3H, t, J = 7.0 Hz, H-1″), 1.27 (3H, t, J = 7.0 Hz, H-2″″). 13C-NMR (acetone-d6, 125 MHz) 169.0 (C-2″), 161.3 (C-1), 156.7 (C-3), 147.0 (C-10), 135.2 (C-6), 127.5 (C-8), 126.9 (C-7), 126.7 (C-5), 119.7 (C-9), 40.5 (C-1′), 34.9 (C-2′), 14.5 (C-1″).
Caffeine (A2): 1H-NMR (CDCl3, 500 MHz) 7.71 (1H, s, H-6), 3.99 (3H, s, H-3′), 3.59 (3H, s, H-2′), 3.41 (3H, s, H-1′). 13C-NMR (CDCl3, 125 MHz) 155.3 (C-8), 151.4 (C-1), 148.7 (C-3), 141.1 (C-9), 107.4 (C-6), 33.6 (C-3′), 29.7 (C-2′), 27.9 (C-1′) [37].
Scopoletin (A3): 1H-NMR (acetone-d6, 500 MHz) 7.85 (1H, d, J = 9.5 Hz, H-3), 7.20 (1H, s, H-5), 6.80 (1H, s, H-8), 6.18 (1H, d, J = 9.5 Hz, H-2), 3.90 (3H, s, H-10). 13C-NMR (acetone-d6, 125 MHz) 160.8 (C-1), 151.9 (C-7), 146.0 (C-6), 144.7 (C-3), 115.8 (C-2), 113.4 (C-4), 110.1 (C-5), 103.8 (C-8), 56.8 (C-10) [38].
2-Dehydroxy-5-O-methylembelin (A6): 1H-NMR (CDCl3, 500 MHz) 6.48 (1H, s, H-5), 5.87 (1H, s, H-3), 3.82 (3H, s, 2-OMe), 2.42 (2H, m, H-1′), 1.50 (2H, m, H-2′), 1.25 (24H, m, H-3′–H-14′), 0.88 (3H, s, H′-15) [39].
Methyl ferulate (A7): 1H-NMR (CDCl3, 500 MHz) 7.63 (1H, d, J = 16.0 Hz, H-7), 7.08 (1H, dd, J = 8.0, 1.5 Hz, H-6), 7.03 (1H, d, J = 1.5 Hz, H-2), 6.93 (1H, d, J = 8.0 Hz, H-5), 6.30 (1H, d, J = 16.0 Hz, H-8), 3.93 (3H, s, H-11), 3.80 (3H, s, H-10).
Cinnamic acid (A8): 1H-NMR (CDCl3, 500 MHz) 7.79 (1H, d, J = 16.0 Hz, H-3), 7.54–7.56 (4H, m, H-2′, H-6′), 7.39–7.42 (9H, m, H-3′, H-4′, H-5′), 6.46 (1H, d, J = 16.0 Hz, H-2).
Ayanin (A10): 1H-NMR (acetone-d6, 500 MHz) 12.75 (1H, s, 5-OH), 8.49 (1H, s, 3′-OH), 7.72–7.69 (1H, m, H-2′), 7.71 (1H, dd, J = 8.5, 2.0 Hz, H-6′), 7.01 (1H, d, J = 8.5 Hz, H-5′), 6.67 (1H, d, J = 2.0 Hz, H-8), 6.32 (1H, d, J = 2.0 Hz, H-6), 3.94 (3H, s, 4′-OMe), 3.91 (3H, s, 7-OMe), 3.89 (3H, s, 3-OMe).
3-O-Methylkaemperol (A11): 1H-NMR (DMSO-d6, 500 MHz) 11.72 (1H, s, 5-OH), 7.96 (2H, d, J = 9.0 Hz, H-2′, H-6′), 6.86 (2H, d, J = 8.5 Hz, H-3′, H-5′), 6.27 (H, d, J = 2.0 Hz, H-8), 6.22 (H, d, J = 2.0 Hz, H-6), 3.77 (3H, s, 3-OMe).
Nobiletin (A12): 1H-NMR (CDCl3, 500 MHz) 7.58 (1H, dd, J = 8.5, 2.5 Hz, H-6′), 7.42 (1H, d, J = 2.5 Hz, H-2′), 7.0 (1H, d, J = 8.5 Hz, H-5′), 6.62 (1H, s, H-3), 4.10 (3H, s, 8-OMe), 4.02 (3H, s, 7-OMe), 3.96 (6H, s, 3′-OMe, 4′-OMe), 3.95 (6H, s, 5-OMe, 6-OMe).
3.3. Antioxidant Activities of Compounds D3–D5, D8–D10, and A1–A11
Compounds D3–D5, D8–D10, and A1–A11 were evaluated for their DPPH and ABTS free radical scavenging activities. The results are shown in Table 2. The free radical DPPH scavenging activity of the selected compounds, as indicated by their IC50 values, varied significantly. Among the tested compounds, compound A3 demonstrated the strongest DPPH antioxidant activity, with an IC50 of 7.1 ± 0.1 µg/mL, followed by D8 (7.3 ± 0.8 µg/mL) and D3 (14.1 ± 1.4 µg/mL). Compounds D10 and A6 also exhibited notable activity, with IC50 values of 12.3 ± 0.5 and 39.7 ± 1.9 µg/mL, respectively. Other compounds (A1, A2, A4, A5, and A7–A11) had IC50 values greater than 100 µg/mL, indicating no antioxidant activity. For the free radical ABTS scavenging activity, compounds D3, D4, D8, A3, A6, and A9 showed moderate activity, with IC50 values ranging from 14.8 to 133.5 µg/mL (Table 2). Among them, compound A3 exhibited the highest ABTS antioxidant activity, with an IC50; of 14.8 ± 0.1 µg/mL. Other compounds were weak or inactive.
Table 2.
Free radical scavenging activities of selected compounds D3–D5, D8–D10, and A1–A11.
3.4. HPLC-DAD Analysis of A. bilimbi and D. linearis Extracts
HPLC-DAD analysis was applied to A. bilimbi and D. linearis extracts, and the results are shown in Figure 2, Figure S4, and Figure S5. Figure 2 illustrates the presence of compounds D1–D10, A3, A4, A6, A9, and the new compound A1 in the A. bilimbi HEA extract and the D. linearis EA extract. Figures S4 and S5 display the HPLC chromatograms of different extracts derived from A. bilimbi and D. linearis.
4. Discussion
As shown in Table 1, extracts prepared from the spores of D. linearis exhibited high free radical scavenging activity. Previous studies have indicated that D. linearis leaves possess potent antioxidant activity, which is attributed to high TPC and DPPH scavenging activity [6,11,12] (Table 3). A literature review suggests that polar extracts demonstrate stronger activity than the less polar CHCl3 extract, a result that is consistent with our findings. Ponnusamy and co-workers indicated that highly polar fractions exhibit significant antioxidant activity in DPPH and FRAP assays [4]. However, little is known about the TFC and antioxidant ABTS activity in D. linearis. Chemical analysis suggests that flavonoids, flavonoid glycosides, and phenylethanoid glycosides contribute to the strong antioxidant activity of D. linearis.
Table 3.
Results of total phenolic content (TPC), total flavonoid content (TFC), and antioxidant activity of A. bilimbi and D. linearis extracts from literature review.
Compounds such as kaempferol (D1), quercetin (D2), afzelin (D4), isoquercetin (D5), and 4-vinyl-phenol-1-O-[α-L-rhamno(1→2)-β-D-glucopyranoside] (D9) have been previously reported in the leaves of D. linearis from Malaysia [4]. This study reports compounds D3 and D6–D10 in D. linearis for the first time. Flavonoids are generally considered to be key antioxidant components [44], with quercetin, kaempferol, and rutin being well-known examples. Compound D8 exhibited stronger activity than analogs D3–D5, highlighting the importance of the second sugar unit (Table 2). This observation is consistent with findings that rutin has stronger activity compared to quercetin and kaempferol. Compound D3 is stronger than D4 and D5, indicating that either the 3′-OH group (in D5) or the L-rhamnose unit decreases the activity. Even though compounds D9 and D10 have two sugar units, the activity of D10 is stronger than D9, suggesting that the linkage between the two sugars plays an important role in activity.
Although compound D9 has been previously identified in D. linearis leaves [4], its biological activity has not been reported. 4-Vinyl-phenol-1-O-[α-L-rhamno(1→6)-β-D-glucopyranoside] (D10) was isolated from Asplenium trichomanes and has shown moderate estrogenic activity [39].
Several recent studies have reported on TPC, TFC, and DPPH scavenging activity in the fruits and leaves of A. bilimbi [14,18,21,23]. However, little is known about the DPPH and ABTS scavenging activities of A. bilimbi branches. As shown in Table 1, all extracts prepared from A. bilimbi exhibited higher TPC and TFC than those from D. linearis.
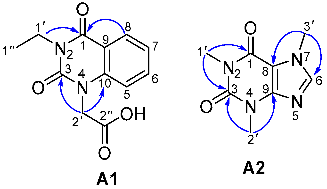
Compounds A1–A7 and A9–A11 were reported in A. bilimbi for the first time. Although compound A1 was synthetically prepared [35,36], it is a new natural compound. Its NMR spectra are provided in the Supplementary Materials (Figure S2A–G). Selected HMBC correlations of A1 and A2 are shown in Figure 3. To date, 17 compounds have been isolated from A. bilimbi sources (Figure S1) [16,18]. Among them, aurantiamide benzoate is an amide-type alkaloid (Figure S1). Compounds A1 and A2 represent a new alkaloid type found in the Averrhoa genus. A comparison of NMR data for compounds A1, A2, and other analogs is provided in Tables S14 and S15.
Figure 3.
Selected heteronuclear multiple bond correlations of compounds A1 and A2.
Although the HEA extract was the most active in terms of DPPH/ABTS scavenging activities, most isolated compounds showed weak activities, except for A3 and A6. Of these, scopoletin (A3) was the most active compound, with an IC50 value of 7.1 ± 0.1 µg/mL. This finding aligns with those reported in the literature [45,46]. 2-Dehydroxy-5-O-methylembelin (A6), previously found in A. carambola [47], has limited biological data available. The antioxidant potential of this compound might be attributed to its quinone skeleton [48]. Scopoletin and 2-dehydroxy-5-O-methylembelin likely contribute to the activity of the HEA extract.
Although compounds D8–D10, A1, and A6 are known, little is known about their biological activity. Flavonoid analogs D1–D7, which share a similar structure to D8, have been reported as promising candidates for anti-diabetic and antimicrobial drugs [28,29,49]. Compound A5 exhibited moderate alpha-glucosidase inhibition and antimicrobial activity against various bacterial strains [50]. Further anti-diabetic and antimicrobial assays should be conducted on compounds D8–D10, A1, and A6.
HPLC-DAD analysis indicated that the EA extract of D. linearis contains compounds D1–D10 in high concentrations (Figure 2). The presence of antioxidant compounds D3–D10 in all crude, HEA, EA, and water-soluble extracts of D. linearis suggests that these are major compounds and could serve as biomarkers for D. linearis spores. Similarly, HPLC-DAD analysis revealed the presence of bioactive compounds A3, A6, and A9 in the HEA extract of A. bilimbi branches. The most active compound (A3) was not detected in the H and EA extracts of A. bilimbi, which might explain the weak activity of these extracts.
5. Conclusions
This study successfully applied bio-guided isolation based on antioxidant activities to D. linearis spores and A. bilimbi branches, leading to the isolation of 22 compounds (D1–D10 and A1–A12). To the best of our knowledge, compound A1 was identified as a new natural compound. Compound A3 demonstrated the most potent antioxidant activities (IC50 values of 7.1 ± 0.1 µg/mL for DPPH, and 14.8 ± 0.1 µg/mL for ABTS, respectively). These findings are significant, as they expand the understanding of the bioactive potential of these previously unexplored plant parts. The results suggest that D. linearis spores and A. bilimbi branches could serve as valuable sources of natural antioxidants, offering promising prospects for their application in developing therapeutic agents aimed at combating oxidative stress-related diseases such as cancer, diabetes, and cardiovascular conditions. This research emphasizes the importance of continuing to explore underutilized plant resources, as they may contribute to the discovery of novel compounds with potent therapeutic properties. However, this study did not investigate the in vivo efficacy of the compounds or their potential side effects. Further research is needed to evaluate the full therapeutic potential of these compounds.
Supplementary Materials
The following supporting information can be downloaded at: https://www.mdpi.com/article/10.3390/antiox13111319/s1, Scheme S1: Isolation procedure of D1–D10 from D. linearis; Scheme S2: Isolation procedure of A1–A12 from A. bilimbi; Table S1: 1H-NMR data (500 MHz) of D3 and astragalin in DMSO-d6; Table S2: NMR data of D4 and afzelin; Table S3: NMR data of D5 and isoquercetin; Table S4: NMR data of D6 and quercetin; Table S5: NMR data of D8 and kaempferol 3-O-β-D-glucopyranoside-7-O-α-L-rhamnopyranoside in methanol-d4; Table S6: NMR data of D9 and 4-vinyl-phenol-1-O-[α-L-rhamno(1→2)-β-D-glucopyranoside; Table S7: NMR data of D10 and 4-vinyl-phenol-1-O-[α-L-rhamno(1→6)-β-D-glucopyranoside in methanol-d4; Table S8: NMR data of A2 and caffeine in CDCl3; Table S9: NMR data of A3 and scopoletin in acetone-d6; Table S10: 1H-NMR data of A7 and methyl ferulate in CDCl3; Table S11: 1H-NMR data (500 MHz) of A9 and cinnamic acid in CDCl3; Table S12: 1H-NMR data (500 MHz) of A10 and ayanin in acetone-d6; Table S13: 1H-NMR data (500 MHz) of A12 and nobiletin; Table S14: Comparison of NMR data of A1 and related analogues; Table S15: NMR data of A1 and A2 in CDCl3; Figure S1: Isolated compounds from A. bilimbi; Figure S2: (A) 1H-NMR spectrum of A1 in acetone-d6; (B) 13C-NMR spectrum of A1 in acetone-d6; (C) HMBC spectrum of A1 in acetone-d6; (D) 1H-NMR spectrum of A1 in chloroform-d; (E) 13C-NMR spectrum of A1 in chloroform-d; (F) HMQC spectrum of A1 in chloroform-d; (G) spectrum of A1 in chloroform-d; Figure S3: (A) HRESI mass spectrum of D4; (B) HRESI mass spectrum of D8; (C) HRESI mass spectrum of D9; (D) HRESI mass spectrum of D10; Figure S4: HPLC chromatograms of A. bilimbi extracts (AB-crude, AB-H, AB-HEA, AB-EA, and the new compound A1; Figure S5: HPLC chromatograms of D. linearis extracts (DL-crude, DL-HEA, DL-EA, and DL-water soluble); Figure S6. (A) HPLC chromatogram of D3; (B) HPLC chromatogram of D8; (C) HPLC chromatogram of D10; (D) HPLC chromatogram of A3; (E) HPLC chromatogram of A6.
Author Contributions
Conceptualization, T.-H.D., J.S. and H.T.L.; methodology, T.-M.-D.T. and J.S.; software, T.-M.-D.T. and T.-P.N.; validation, P.-M.T., N.-H.-N.P. and T.-P.N.; formal analysis, T.-H.D., P.-M.T., T.-M.-D.T. and J.S.; investigation, T.-P.N., T.-H.D. and T.-M.-D.T.; resources, H.T.L., N.-H.-N.P. and P.-M.T.; data curation, N.-H.-N.P., P.-M.T. and T.-P.N.; visualization, J.S.; writing—original draft preparation, T.-H.D. and J.S.; writing—review and editing, T.-H.D., H.T.L. and J.S.; supervision, T.-H.D., H.T.L. and J.S. All authors have read and agreed to the published version of the manuscript.
Funding
This research is supported by the Thailand Science Research and Innovation (TSRI) Fundamental Fund, fiscal year 2024, Thammasat University (Contract No. TUFF24/2567), and by the Vietnam Ministry of Education and Training (B2023-SPS-06).
Institutional Review Board Statement
Not applicable.
Informed Consent Statement
Not applicable.
Data Availability Statement
Data are available upon request.
Acknowledgments
This study was supported by the Thammasat Postdoctoral Fellowship, Thammasat University.
Conflicts of Interest
The authors declare no conflicts of interest.
References
- Cao, H.; Chai, T.-T.; Wang, X.; Morais-Braga, M.F.B.; Yang, J.-H.; Wong, F.-C.; Wang, R.; Yao, H.; Cao, J.; Cornara, L.; et al. Phytochemicals from fern species: Potential for medicine applications. Phytochem. Rev. 2017, 16, 379–440. [Google Scholar] [CrossRef] [PubMed]
- Kumar, A.; Fernández, H.; Revilla, M.A. (Eds.) Working with Ferns: Issues and Applications; Springer: New York, NY, USA, 2010. [Google Scholar]
- Kamisan, F.H.; Yahya, F.; Mamat, S.S.; Kamarolzaman, M.F.F.; Mohtarrudin, N.; Kek, T.L.; Salleh, M.Z.; Hussain, M.K.; Zakaria, Z.A. Effect of methanol extract of Dicranopteris linearis against carbon tetrachloride-induced acute liver injury in rats. BMC Complement. Altern. Med. 2014, 14, 123. [Google Scholar] [CrossRef] [PubMed]
- Ponnusamy, Y.; Chear, N.J.-Y.; Ramanathan, S.; Lai, C.-S. Polyphenols rich fraction of Dicranopteris linearis promotes fibroblast cell migration and proliferation in vitro. J. Ethnopharmacol. 2015, 168, 305–314. [Google Scholar] [CrossRef] [PubMed]
- Chen, J.; Chen, J.-J.; Gao, K. Chemical constituents and biological activities of Dicranopteris linearis. Chem. Nat. Compd. 2014, 49, 1129–1131. [Google Scholar] [CrossRef]
- Zakaria, Z.A.; Sahmat, A.; Azmi, A.H.; Nur Zainol, A.S.; Omar, M.H.; Balan, T.; Sulistyorini, L.; Azizah, R.; Abdullah, M.N.H. Polyphenolics and triterpenes presence in chloroform extract of Dicranopteris linearis leaves attenuated paracetamol-induced liver intoxication in rat. BMC Complement. Med. Ther. 2021, 21, 35. [Google Scholar] [CrossRef]
- Zakaria, Z.A.; Kamisan, F.H.; Omar, M.H.; Mahmood, N.D.; Othman, F.; Abdul Hamid, S.S.; Abdullah, M.N.H. Methanol extract of Dicranopteris linearis L. leaves impedes acetaminophen-induced liver intoxication partly by enhancing the endogenous antioxidant system. BMC Complement. Altern. Med. 2017, 17, 271. [Google Scholar] [CrossRef]
- Zakaria, Z.A.; Kamisan, F.H.; Mohd Nasir, N.; Teh, L.K.; Salleh, M.Z. Aqueous partition of methanolic extract of Dicranopteris linearis leaves protects against liver damage induced by paracetamol. Nutrients 2019, 11, 2945. [Google Scholar] [CrossRef]
- Billah, M.M.; Chowdhury, A.S.; Nawrin, K.; Mostaq, S.; Rayhan, M.A.; Tushar, R.R. Serotonergic and noradrenergic response of ethanol extract; opioidergic response of ethyl acetate extract of Dicranopteris linearis L. leaf. Clin. Phytosci. 2021, 7, 25. [Google Scholar] [CrossRef]
- Duong, T.-H.; Vu, Y.T.; Long, N.P.; Phan, N.-H.-N.; Pham, N.-K.-T.; Sichaem, J.; Kieu, N.-K.-D.; Duong, C.-B.; Nguyen, T.-T.; Dang, V.-S.; et al. Bioactive-guided phytochemical investigations, in vitro and in silico alpha-glucosidase inhibition of two Vietnamese medicinal plants Dicranopteris linearis and Psychotria adenophylla. Pharmaceuticals 2023, 16, 1253. [Google Scholar] [CrossRef]
- Zakaria, Z.A.; Mohamed, A.M.; Jamil, N.S.M.; Rofiee, M.S.; Somchit, M.N.; Zuraini, A.; Arifah, A.K.; Sulaiman, M.R. In vitro cytotoxic and antioxidant properties of the aqueous, chloroform and methanol extracts of Dicranopteris linearis leaves. Afr. J. Biotechnol. 2011, 10, 273–282. [Google Scholar]
- Zakaria, Z.A.; Kamisan, F.H.; Kek, T.L.; Salleh, M.Z. Hepatoprotective and antioxidant activities of Dicranopteris linearis leaf extract against paracetamol-induced liver intoxication in rats. Pharm. Biol. 2020, 58, 478–489. [Google Scholar] [CrossRef] [PubMed]
- Kurup, S.B.; S, M. Protective potential of Averrhoa bilimbi fruits in ameliorating the hepatic key enzymes in streptozotocin-induced diabetic rats. Biomed. Pharmacother. 2017, 85, 725–732. [Google Scholar] [CrossRef] [PubMed]
- Seebaluck-Sandoram, R.; Lall, N.; Fibrich, B.; Blom van Staden, A.; Saleem, H.; Mahomoodally, M.F. Antimicrobial, antioxidant and cytotoxic evaluation of two underutilised food plants: Averrhoa bilimbi L. (Oxalidaceae) and Phyllanthus acidus L. Skeels (Phyllanthaceae). Biocatal. Agric. Biotechnol. 2019, 18, 100998. [Google Scholar] [CrossRef]
- Alhassan, A.; Ahmed, Q. Averrhoa bilimbi Linn.: A review of its ethnomedicinal uses, phytochemistry, and pharmacology. J. Pharm. Bioall. Sci. 2016, 8, 265. [Google Scholar]
- Auw, L.; Subehan; Sukrasno; Kadota, S.; Tezuka, Y. Constituents of Indonesian medicinal plant Averrhoa bilimbi and their cytochrome P450 3A4 and 2D6 inhibitory activities. Nat. Prod. Commun. 2015, 10, 57–62. [Google Scholar] [CrossRef]
- Kurian, A.J.; Geetha, G.; Thavamani, B.S. Isolation and characterisation of an isolated flavonoid from Averrhoa bilimbi. AJOCS 2018, 5, 1–8. [Google Scholar] [CrossRef]
- Chau, T.P.; Muthusamy, M.; Chinnathambi, A.; Alahmadi, T.A.; Kuppusamy, S. Optimization of extraction and quantification of flavonoids from Averrhoa bilimbi fruits using RP-HPLC and its correlation between total flavonoids content against antimicrobial activity. Appl. Nanosci. 2023, 13, 1293–1300. [Google Scholar] [CrossRef]
- Rosyada, F.F.A.; Agustina, E.; Faizah, H. The effect of fermentation on the characteristics and antioxidant activity of Wuluh starfruit leaf kombucha tea (Averrhoa bilimbi Linn.). Indo. J. Chem. Res. 2023, 11, 29–36. [Google Scholar] [CrossRef]
- Fidrianny, I.; Rahmawati, A.; Hartati, R. Comparison profile of different extracts of Averrhoa bilimbi L. in antioxidant properties and phytochemical content. Rasayan J. Chem. 2018, 11, 1628–1634. [Google Scholar] [CrossRef]
- Ahmed, Q.U.; Alhassan, A.M.; Khatib, A.; Shah, S.A.A.; Hasan, M.M.; Sarian, M.N. Antiradical and xanthine oxidase inhibitory activity evaluations of Averrhoa bilimbi L. leaves and tentative identification of bioactive constituents through LC-QTOF-MS/MS and molecular docking approach. Antioxidants 2018, 7, 137. [Google Scholar] [CrossRef]
- Mohammed Atiyah, M.; Shnawa Jasim, H.; Mohammed Atiyah, H. Phytochemical screening and anti-bacterial activities aqueous & alcoholic extracts of Averrhoa bilimbi leaf against bacteria isolated from oral cavity. Arch. Razi Inst. 2022, 70, 923–928. [Google Scholar]
- Iwansyah, A.C.; Desnilasari, D.; Agustina, W.; Pramesti, D.; Indriati, A.; Mayasti, N.K.I.; Andriana, Y.; Kormin, F.B. Evaluation on the physicochemical properties and mineral contents of Averrhoa bilimbi L. leaves dried extract and its antioxidant and antibacterial capacities. Food Sci. Technol. 2021, 41, 987–992. [Google Scholar] [CrossRef]
- Siddique, K.I.; Uddin, M.M.; Islam, M.S.; Parvin, S.; Shahriar, M. Phytochemical screenings, thrombolytic activity and antimicrobial properties of the bark extracts of Averrhoa bilimbi. J. Appl. Pharm. Sci. 2013, 3, 94–96. [Google Scholar]
- Suluvoy, J.K.; Sakthivel, K.M.; Guruvayoorappan, C.; Berlin Grace, V.M. Protective effect of Averrhoa bilimbi L. fruit extract on ulcerative colitis in Wistar rats via regulation of inflammatory mediators and cytokines. Biomed. Pharmacother. 2017, 91, 1113–1121. [Google Scholar] [CrossRef] [PubMed]
- Molole, G.J.; Gure, A.; Abdissa, N. Determination of total phenolic content and antioxidant activity of Commiphora mollis (Oliv.) Engl. resin. BMC Chem. 2022, 16, 48. [Google Scholar] [CrossRef]
- Jiang, B.; Yue, H.; Fu, X.; Wang, J.; Feng, Y.; Li, D.; Liu, C.; Feng, Z. One-step high efficiency separation of prolyl endopeptidase from Aspergillus niger and its application. Int. J. Biol. Macromol. 2024, 271, 132582. [Google Scholar] [CrossRef]
- Ha, K.-N.; Nguyen, T.-V.-A.; Mai, D.-T.; Tran, N.-M.-A.; Nguyen, N.-H.; Vo, G.V.; Duong, T.-H.; Truong Nguyen, H. Alpha-glucosidase inhibitors from Nervilia concolor, Tecoma stans, and Bouea macrophylla. Saudi J. Biol. Sci. 2021, 29, 1029–1042. [Google Scholar] [CrossRef]
- Ngoc Mai, T.T.; Minh, P.N.; Phat, N.T.; Duong, T.H.; Minh An, T.N.; Dang, V.S.; Van Hue, N.; Tri, M.D. Antimicrobial and alpha-glucosidase inhibitory flavonoid glycosides from the plant Mussaenda recurvata: In vitro and in silico approaches. RSC Adv. 2024, 14, 9326–9338. [Google Scholar] [CrossRef]
- Zhang, Y.; Wang, D.; Yang, L.; Zhou, D.; Zhang, J. Purification and characterization of flavonoids from the leaves of Zanthoxylum bungeanum and correlation between their structure and antioxidant activity. PLoS ONE 2014, 9, e105725. [Google Scholar] [CrossRef]
- Napolitano, J.G.; Lankin, D.C.; Chen, S.; Pauli, G.F. Complete 1H NMR spectral analysis of ten chemical markers of Ginkgo biloba. Magn. Reson. Chem. 2012, 50, 569–575. [Google Scholar] [CrossRef]
- Loc, T.V.; Ninh, P.T.; Luu, N.T.; Chien, T.V.; Anh, T.T.; Dung, N.T.; Thao, T.T.P. Chemical composition of Euphorbia hirta L. collected in Dan Phuong, Hanoi. Nat. Sci. Technol. 2022, 38, 55–62. [Google Scholar] [CrossRef]
- Hasler, A.; Gross, G.-A.; Meier, B.; Sticher, O. Complex flavonol glycosides from the leaves of Ginkgo biloba. Phytochemistry 1992, 31, 1391–1394. [Google Scholar] [CrossRef] [PubMed]
- Dall’Acqua, S.; Tomè, F.; Vitalini, S.; Agradi, E.; Innocenti, G. In vitro estrogenic activity of Asplenium trichomanes L. extracts and isolated compounds. J. Ethnopharmacol. 2009, 122, 424–429. [Google Scholar] [CrossRef] [PubMed]
- Abdelmonsef, A.H. Design, synthetic approach, in silico molecular docking and antibacterial activity of quinazolin-2,4-dione hybrids bearing bioactive scaffolds. RSC Adv. 2023, 13, 292–309. [Google Scholar] [CrossRef]
- Boshta, N.M.; El-Essawy, F.A.; Alshammari, M.B.; Noreldein, S.G.; Darwesh, O.M. Discovery of quinazoline-2,4(1H,3H)-dione derivatives as potential antibacterial agent: Design, synthesis, and their antibacterial activity. Molecules 2022, 27, 3853. [Google Scholar] [CrossRef] [PubMed]
- Sitkowski, J.; Webb, G.A. Complete assignments of the 1H, 13C and 15N NMR spectra of caffeine. Spectrochim. Acta 1995, 51A, 839–841. [Google Scholar] [CrossRef]
- Octaviana, L.; Hakim, E.H. Two arylpropanoid derivatives from the leaves of Morus cathayana. In Proceedings of the International Seminar on Chemistry 2008, Jatinangor, Indonesia, 30–31 October 2008; pp. 262–264. [Google Scholar]
- König, W.A.; Faasch, H.; Heitsch, H.; Colberg, C.; Hausen, B.M. Synthesis of side-chain-modified analogues of the allergen primin. Z. Naturforsch. B 1993, 48, 387–393. [Google Scholar] [CrossRef]
- Ramadan, A.M.A.; Zidan, S.A.H.; Shehata, R.M.; El-Sheikh, H.H.; Ameen, F.; Stephenson, S.L.; Al-Bedak, O.A.-H.M. Antioxidant, antibacterial, and molecular docking of methyl ferulate and oleic acid produced by Aspergillus pseudodeflectus AUMC 15761 utilizing wheat bran. Sci. Rep. 2024, 14, 3183–3205. [Google Scholar] [CrossRef]
- Ngoc, D.T.B.; Dieu, N.T.H.; Huy, D.T. Some flavonoids from the leaves of Combretum quadrangulare growing in Vietnam. HCMC Univ. Educ. J. Sci. 2021, 18, 1359–1367. [Google Scholar] [CrossRef]
- Gao, H. Preparative separation of 3-O-methylkaempferol from Caragana leucophloea by high-speed counter-current chromatography and its antimicrobial activity. J. Med. Plants Res. 2012, 6, 2081–2087. [Google Scholar]
- Nguyen, N.; Duong, T.; Truong Nguyen, H.; Vu, Y.T.; Tran, T.; Ho, T.; Mai, C.; Mai, D.; Nguyen, H.; Thuy Le, H.; et al. New halogenated flavonoids from Adenosma bracteosum and Vitex negundo and their α-glucosidase inhibition. Chem. Biodivers. 2023, 20, e202300390. [Google Scholar] [CrossRef] [PubMed]
- Panche, A.N.; Diwan, A.D.; Chandra, S.R. Flavonoids: An overview. J. Nutr. Sci. 2016, 5, e47. [Google Scholar] [CrossRef] [PubMed]
- Çakır, D.K.; Zannou, O.; Koca, I. Scopoletin contents and antioxidant properties of some edible plants of Black Sea regions. Discov. Food 2022, 2, 7. [Google Scholar] [CrossRef]
- Antika, L.D.; Tasfiyati, A.N.; Hikmat, H.; Septama, A.W. Scopoletin: A review of its source, biosynthesis, methods of extraction, and pharmacological activities. Z. Naturforsch. C 2022, 77, 303–316. [Google Scholar] [CrossRef]
- Chakthong, S.; Chiraphan, C.; Jundee, C.; Chaowalit, P.; Voravuthikunchai, S.P. Alkyl phenols from the wood of Averrhoa carambola. Chin. Chem. Lett. 2010, 21, 1094–1096. [Google Scholar] [CrossRef]
- Joshi, R.; Kamat, J.P.; Mukherjee, T. Free radical scavenging reactions and antioxidant activity of embelin: Biochemical and pulse radiolytic studies. Chem.-Biol. Interact. 2007, 167, 125–134. [Google Scholar] [CrossRef]
- Ngoc Mai, T.T.; Minh, P.N.; Phat, N.T.; Chi, M.T.; Duong, T.H.; Nhi Phan, N.H.; Minh An, T.N.; Dang, V.S.; Van Hue, N.; Hong Anh, N.T.; et al. In vitro and in silico docking and molecular dynamic of antimicrobial activities, alpha-glucosidase, and anti-inflammatory activity of compounds from the aerial parts of Mussaenda saigonensis. RSC Adv. 2024, 14, 12081–12095. [Google Scholar] [CrossRef]
- Mai, T.T.N.; Minh, P.N.; Phat, N.T.; Thanh Chi, M.; Chi Hien, D.; Nguyen, V.-K.; Duong, T.H.; Nha, T.T.; Minh An, T.N.; Huyen Tran, N.N.; et al. In vitro and in silico studies of alpha-glucosidase inhibition and antifungal activity of Coffea canephora husk. RSC Adv. 2024, 14, 27252–27264. [Google Scholar] [CrossRef]
Disclaimer/Publisher’s Note: The statements, opinions and data contained in all publications are solely those of the individual author(s) and contributor(s) and not of MDPI and/or the editor(s). MDPI and/or the editor(s) disclaim responsibility for any injury to people or property resulting from any ideas, methods, instructions or products referred to in the content. |
© 2024 by the authors. Licensee MDPI, Basel, Switzerland. This article is an open access article distributed under the terms and conditions of the Creative Commons Attribution (CC BY) license (https://creativecommons.org/licenses/by/4.0/).


