Comprehensive Analysis of Antioxidant and Hepatoprotective Properties of Morus nigra L.
Abstract
1. Introduction
2. Materials and Methods
2.1. Chemicals
2.2. Plant Material and Extraction Procedure
2.3. Chemical Characterization of Black Mulberry Extracts
2.3.1. Determination of Total Phenolic, Tannin, Flavonoid, Anthocyanin and Procyanidin Content in Black Mulberry Extracts
2.3.2. HPLC Analysis of Black Mulberry Extracts
2.3.3. GC Analysis of Black Mulberry Seeds Oil
2.4. In Vitro Antioxidant Activity of Black Mulberry Extracts
2.4.1. DPPH Radical Scavenging Activity
2.4.2. Ferric-Reducing Antioxidant Power (FRAP)
2.5. Experimental Design and Animal Treatment
2.6. Determination of Markers of Levels of Oxidative Stress
2.7. Histopathology Analysis
2.8. Statistical Analysis
3. Results
3.1. Chemical Analysis
3.1.1. Chemical Analysis of Black Mulberry Extracts (Leaves, Bark, Juice and Fruit)
3.1.2. Chemical Analysis of Black Mulberry Seed Oil
3.2. Antioxidant Activity of Black Mulberry Extracts (Leaves, Bark, Fruit) Juice and Seed Oil—In Vitro
3.3. Antioxidant Activity of Black Mulberry Extracts (Leaves, Bark, Fruit) Juice and Seed Oil—In Vivo
3.3.1. Hepatosomatic Index
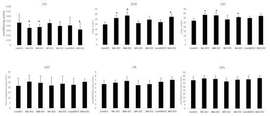
3.3.2. Activity of Antioxidant Enzymes
3.3.3. Histopathology Analysis
4. Discussion
5. Conclusions
Author Contributions
Funding
Institutional Review Board Statement
Informed Consent Statement
Data Availability Statement
Conflicts of Interest
References
- Youssef, F.S.; Labib, R.M.; Eldahshan, O.A.; Singab, A.N.B. Synergistic Hepatoprotective and Antioxidant Effect of Artichoke, Fig, Blackberry Herbal Mixture on HepG2 Cells and Their Metabolic Profiling Using NMR Coupled with Chemometrics. Chem. Biodivers. 2017, 14, e1700206. [Google Scholar] [CrossRef]
- Rašković, A.; Bukumirović, N.; Paut Kusturica, M.; Milić, N.; Čabarkapa, V.; Borišev, I.; Čapo, I.; Miljković, D.; Stilinović, N.; Mikov, M. Hepatoprotective and antioxidant potential of Pycnogenol® in acetaminophen-induced hepatotoxicity in rats. Phytother. Res. 2019, 33, 631–639. [Google Scholar] [CrossRef]
- Stilinović, N.; Čapo, I.; Vukmirović, S.; Rašković, A.; Tomas, A.; Popović, M.; Sabo, A. Chemical composition, nutritional profile and in vivo antioxidant properties of the cultivated mushroom Coprinus comatus. R. Soc. Open Sci. 2020, 7, 200900. [Google Scholar] [CrossRef] [PubMed]
- Tiwary, B.K.; Dutta, S.; Dey, P.; Hossain, M.; Kumar, A.; Bihani, S.; Nanda, A.K.; Chaudhuri, T.K.; Chakraborty, R. Radical Scavenging Activities of Lagerstroemia speciosa (L.) Pers. Petal Extracts and its hepato-protection in CCl(4)-intoxicated mice. BMC Complement. Altern. Med. 2017, 17, 55. [Google Scholar] [CrossRef] [PubMed]
- Deniz, G.Y.; Laloglu, E.; Koc, K.; Nadaroglu, H.; Geyikoglu, F. The effect of black mulberry (Morus nigra) extract on carbon tetrachloride-induced liver damage. Arch. Biol. Sci. 2018, 70, 371–378. [Google Scholar] [CrossRef]
- Martić, N.; Zahorec, J.; Stilinović, N.; Andrejić-Višnjić, B.; Pavlić, B.; Kladar, N.; Šoronja-Simović, D.; Šereš, Z.; Vujčić, M.; Horvat, O.; et al. Hepatoprotective Effect of Carob Pulp Flour (Ceratonia siliqua L.) Extract Obtained by Optimized Microwave-Assisted Extraction. Pharmaceutics 2022, 14, 657. [Google Scholar] [CrossRef]
- Nile, S.H.; Park, S.W. Edible berries: Bioactive components and their effect on human health. Nutrition 2014, 30, 134–144. [Google Scholar] [CrossRef] [PubMed]
- Mehta, M.; Kumar, A. Nutrient composition, phytochemical profile and antioxidant properties of Morus nigra: A Review. Int. J. Innov. Sci. Res. Technol. 2021, 6, 424–432. [Google Scholar]
- Vijayan, K.; Chauhan, S.; Das, N.; Chakraborti, S.; Roy, B. Leaf yield component combining abilities in mulberry (Morus spp.). Euphytica 1997, 98, 47–52. [Google Scholar] [CrossRef]
- Radojković, M.; Moreira, M.M.; Soares, C.; Fátima Barroso, M.; Cvetanović, A.; Švarc-Gajić, J.; Morais, S.; Delerue-Matos, C. Microwave-assisted extraction of phenolic compounds from Morus nigra leaves: Optimization and characterization of the antioxidant activity and phenolic composition. J. Chem. Technol. Biotechnol. 2018, 93, 1684–1693. [Google Scholar] [CrossRef]
- Lim, S.H.; Choi, C.I. Pharmacological Properties of Morus nigra L. (Black Mulberry) as A Promising Nutraceutical Resource. Nutrients 2019, 11, 437. [Google Scholar] [CrossRef]
- Skrovankova, S.; Ercisli, S.; Ozkan, G.; Ilhan, G.; Sagbas, H.I.; Karatas, N.; Jurikova, T.; Mlcek, J. Diversity of Phytochemical and Antioxidant Characteristics of Black Mulberry (Morus nigra L.) Fruits from Turkey. Antioxidants 2022, 11, 1339. [Google Scholar] [CrossRef] [PubMed]
- Lourenço, S.C.; Moldão-Martins, M.; Alves, V.D. Antioxidants of Natural Plant Origins: From Sources to Food Industry Applications. Molecules 2019, 24, 4132. [Google Scholar] [CrossRef]
- Sánchez-Salcedo, E.M.; Mena, P.; García-Viguera, C.; Hernández, F.; Martínez, J.J. (Poly) phenolic compounds and antioxidant activity of white (Morus alba) and black (Morus nigra) mulberry leaves: Their potential for new products rich in phytochemicals. J. Funct. Foods 2015, 18, 1039–1046. [Google Scholar] [CrossRef]
- Gundogdu, M.; Canan, I.; Gecer, M.K.; Kan, T.; Ercisli, S. Phenolic compounds, bioactive content and antioxidant capacity of the fruits of mulberry (Morus spp.) germplasm in Turkey. Folia Hortic. 2017, 29, 251–262. [Google Scholar] [CrossRef]
- Kostiæ, D.; Dimitrijeviæ, D.; Mitiæ, S.; Mitiæ, M.; Stojanoviæ, G.; Živanoviæ, A. Phenolic content and antioxidant activities of fruit extracts of Morus nigra L (Moraceae) from Southeast Serbia. Trop. J. Pharm. Res. 2013, 12, 105–110. [Google Scholar] [CrossRef]
- Cheng, K.C.; Wang, C.J.; Chang, Y.C.; Hung, T.W.; Lai, C.J.; Kuo, C.W.; Huang, H.P. Mulberry fruits extracts induce apoptosis and autophagy of liver cancer cell and prevent hepatocarcinogenesis in vivo. J Food Drug Anal 2020, 28, 84–93. [Google Scholar] [CrossRef]
- Eyduran, S.P.; Ercisli, S.; Akin, M.; Beyhan, O.; Geçer, M.K.; Eyduran, E.; Erturk, Y. Organic acids, sugars, vitamin C, antioxidant capacity, and phenolic compounds in fruits of white (Morus alba L.) and black (Morus nigra L.) mulberry genotypes. J. Appl. Bot. Food Qual. 2015, 88, 134–138. [Google Scholar]
- Polumackanycz, M.; Wesolowski, M.; Viapiana, A. Morus alba L. and Morus nigra L. Leaves as a Promising Food Source of Phenolic Compounds with Antioxidant Activity. Plant Foods Hum Nutr 2021, 76, 458–465. [Google Scholar] [CrossRef]
- Sánchez-Salcedo, E.M.; Tassotti, M.; Del Rio, D.; Hernández, F.; Martínez, J.J.; Mena, P. (Poly)phenolic fingerprint and chemometric analysis of white (Morus alba L.) and black (Morus nigra L.) mulberry leaves by using a non-targeted UHPLC-MS approach. Food Chem 2016, 212, 250–255. [Google Scholar] [CrossRef]
- Chang, Y.-C.; Yang, M.-Y.; Chen, S.-C.; Wang, C.-J. Mulberry leaf polyphenol extract improves obesity by inducing adipocyte apoptosis and inhibiting preadipocyte differentiation and hepatic lipogenesis. J. Funct. Foods 2016, 21, 249–262. [Google Scholar] [CrossRef]
- Abbas, G.M.; Abdel Bar, F.M.; Baraka, H.N.; Gohar, A.A.; Lahloub, M.F. A new antioxidant stilbene and other constituents from the stem bark of Morus nigra L. Nat. Prod. Res. 2014, 28, 952–959. [Google Scholar] [CrossRef] [PubMed]
- Thabti, I.; Elfalleh, W.; Tlili, N.; Ziadi, M.; Campos, M.G.; Ferchichi, A. Phenols, flavonoids, and antioxidant and antibacterial activity of leaves and stem bark of Morus species. Int. J. Food Prop. 2014, 17, 842–854. [Google Scholar] [CrossRef]
- Rösler, F.; Kreyenschmidt, J.; Ritter, G. Recommendation of Good Practice in the Food-Processing Industry for Preventing and Handling Food Loss and Waste. Sustainability 2021, 13, 9569. [Google Scholar] [CrossRef]
- Lins, M.; Puppin Zandonadi, R.; Raposo, A.; Ginani, V.C. Food Waste on Foodservice: An Overview through the Perspective of Sustainable Dimensions. Foods 2021, 10, 1175. [Google Scholar] [CrossRef]
- Council of Europe. European Pharmacopoeia 9th Edition: (Ph. Eur. MMXVII); Council of Europe: Strasbourg, France, 2017. [Google Scholar]
- Zizovic, I.; Stamenić, M.; Orlović, A.; Skala, D. Supercritical carbon dioxide extraction of essential oils from plants with secretory ducts: Mathematical modelling on the micro-scale. J. Supercrit. Fluids 2007, 39, 338–346. [Google Scholar] [CrossRef]
- Tadić, V.M.; Nešić, I.; Martinović, M.; Rój, E.; Brašanac-Vukanović, S.; Maksimović, S.; Žugić, A. Old Plant, New Possibilities: Wild Bilberry (Vaccinium myrtillus L., Ericaceae) in Topical Skin Preparation. Antioxidants 2021, 10, 465. [Google Scholar] [CrossRef] [PubMed]
- Ivanovic, J.; Tadic, V.; Dimitrijevic, S.; Stamenic, M.; Petrovic, S.; Zizovic, I. Antioxidant properties of the anthocyanin-containing ultrasonic extract from blackberry cultivar “Čačanska Bestrna”. Ind. Crops Prod. 2014, 53, 274–281. [Google Scholar] [CrossRef]
- National Research Council (US) Committee for the Update of the Guide for the Care and Use of Laboratory Animals. Guide for the Care and Use of Laboratory Animals; National Academies Press (US): Washington, DC, USA, 2011. [Google Scholar]
- Beers, R.F., Jr.; Sizer, I.W. A spectrophotometric method for measuring the breakdown of hydrogen peroxide by catalase. J. Biol. Chem. 1952, 195, 133–140. [Google Scholar] [CrossRef]
- McCord, J.M.; Fridovich, I. Superoxide dismutase. An enzymic function for erythrocuprein (hemocuprein). J Biol Chem 1969, 244, 6049–6055. [Google Scholar] [CrossRef]
- Feng, R.; Lu, Y.; Bowman, L.L.; Qian, Y.; Castranova, V.; Ding, M. Inhibition of activator protein-1, NF-κB, and MAPKs and induction of phase 2 detoxifying enzyme activity by chlorogenic acid. J. Biol. Chem. 2005, 280, 27888–27895. [Google Scholar] [CrossRef] [PubMed]
- Beutler, E. Red cell metabolism: A manual of biochemical methods. Grune & Stratton. Inc. Orlando FL 1984, 32887, 248–251. [Google Scholar]
- Bergmeyer, H.U. Methods of Enzymatic Analysis (2); Elsevier: Amsterdam, The Netherlands, 1974; pp. 1176–1179. [Google Scholar]
- Li, A.N.; Li, S.; Zhang, Y.J.; Xu, X.R.; Chen, Y.M.; Li, H.B. Resources and biological activities of natural polyphenols. Nutrients 2014, 6, 6020–6047. [Google Scholar] [CrossRef] [PubMed]
- Connor, A.M.; Finn, C.E.; Alspach, P.A. Genotypic and environmental variation in antioxidant activity and total phenolic content among blackberry and hybridberry cultivars. J. Am. Soc. Hortic. Sci. 2005, 130, 527–533. [Google Scholar] [CrossRef]
- Dalmagro, A.P.; Camargo, A.; da Silva Filho, H.H.; Valcanaia, M.M.; de Jesus, P.C.; Zeni, A.L.B. Seasonal variation in the antioxidant phytocompounds production from the Morus nigra leaves. Ind. Crops Prod. 2018, 123, 323–330. [Google Scholar] [CrossRef]
- Kiokias, S.; Proestos, C.; Oreopoulou, V. Phenolic Acids of Plant Origin-A Review on Their Antioxidant Activity In Vitro (O/W Emulsion Systems) Along with Their in Vivo Health Biochemical Properties. Foods 2020, 9, 534. [Google Scholar] [CrossRef]
- Memon, A.A.; Memon, N.; Luthria, D.L.; Bhanger, M.I.; Pitafi, A.A. Phenolic acids profiling and antioxidant potential of mulberry (Morus laevigata W., Morus nigra L., Morus alba L.) leaves and fruits grown in Pakistan. Pol. J. Food Nutr. Sci. 2010, 60, 25–32. [Google Scholar]
- Ghorbani, A.; Hooshmand, S. Protective Effects of Morus nigra and Its Phytochemicals against Hepatotoxicity: A Review of Preclinical Studies. Pharmacology 2021, 106, 233–243. [Google Scholar] [CrossRef] [PubMed]
- Kamiloglu, S.; Serali, O.; Unal, N.; Capanoglu, E. Antioxidant activity and polyphenol composition of black mulberry (Morus nigra L.) products. J. Berry Res. 2013, 3, 41–51. [Google Scholar] [CrossRef]
- Du, Q.-Z.; Zheng, J.-f.; Xu, Y. Composition of anthocyanins in mulberry and their antioxidant activity. J. Food Compos. Anal. 2008, 21, 390–395. [Google Scholar] [CrossRef]
- Lee, Y.M.; Yoon, Y.; Yoon, H.; Park, H.M.; Song, S.; Yeum, K.J. Dietary Anthocyanins against Obesity and Inflammation. Nutrients 2017, 9, 1089. [Google Scholar] [CrossRef]
- Chen, H.; Pu, J.; Liu, D.; Yu, W.; Shao, Y.; Yang, G.; Xiang, Z.; He, N. Anti-Inflammatory and Antinociceptive Properties of Flavonoids from the Fruits of Black Mulberry (Morus nigra L.). PLoS ONE 2016, 11, e0153080. [Google Scholar] [CrossRef]
- Gecgel, U.; Velioglu, S.D.; Velioglu, H.M. Investigating some physicochemical properties and fatty acid composition of native black mulberry (Morus nigra L.) seed oil. J. Am. Oil Chem. Soc. 2011, 88, 1179–1187. [Google Scholar] [CrossRef]
- Yılmaz, M.A.; Durmaz, G. Mulberry Seed Oil: A Rich Source of δ-Tocopherol. J. Am. Oil Chem. Soc. 2015, 92, 553–559. [Google Scholar] [CrossRef]
- Punín Crespo, M.O.; Lage Yusty, M.A. Comparison of supercritical fluid extraction and Soxhlet extraction for the determination of PCBs in seaweed samples. Chemosphere 2005, 59, 1407–1413. [Google Scholar] [CrossRef] [PubMed]
- Majinda, R.; Mazimba, O.; Motlhanka, D. Antioxidant and antibacterial constituents from Morus nigra. Afr. J. Pharm. Pharmacol. 2011, 5, 751–754. [Google Scholar]
- Souza, G.; Oliveira-Junior, R.G.d.; Diniz, T.C.; Branco, A.; Lima-Saraiva, S.R.G.; Guimarães, A.; Oliveira, A.P.; Pacheco, A.; Silva, M.; Moraes-Filho, M.O.d. Assessment of the antibacterial, cytotoxic and antioxidant activities of Morus nigra L.(Moraceae). Braz. J. Biol. 2017, 78, 248–254. [Google Scholar] [CrossRef] [PubMed]
- Dimitrova, M.P.; Petkova, N.T.; Denev, P.P.; Aleksieva, I.N. Carbohydrate composition and antioxidant activity of certain Morus species. Int. J. Pharmacogn. Phytochem. Res. 2015, 7, 621–627. [Google Scholar]
- Montenote, M.C.; Wajsman, V.Z.; Konno, Y.T.; Ferreira, P.C.; Silva, R.M.G.; Therezo, A.L.S.; Silva, L.P.; Martins, L.P.A. Antioxidant effect of Morus nigra on Chagas disease progression. Rev. Inst. Med. Trop. Sao Paulo 2017, 59, e73. [Google Scholar] [CrossRef]
- Velderrain-Rodríguez, G.R.; Torres-Moreno, H.; Villegas-Ochoa, M.A.; Ayala-Zavala, J.F.; Robles-Zepeda, R.E.; Wall-Medrano, A.; González-Aguilar, G.A. Gallic Acid Content and an Antioxidant Mechanism Are Responsible for the Antiproliferative Activity of ’Ataulfo’ Mango Peel on LS180 Cells. Molecules 2018, 23, 695. [Google Scholar] [CrossRef] [PubMed]
- Badhani, B.; Sharma, N.; Kakkar, R. Gallic acid: A versatile antioxidant with promising therapeutic and industrial applications. Rsc Adv. 2015, 5, 27540–27557. [Google Scholar] [CrossRef]
- Liang, N.; Kitts, D.D. Role of Chlorogenic Acids in Controlling Oxidative and Inflammatory Stress Conditions. Nutrients 2016, 8, 16. [Google Scholar] [CrossRef]
- Park, J.Y.; Han, X.; Piao, M.J.; Oh, M.C.; Fernando, P.M.D.J.; Kang, K.A.; Ryu, Y.S.; Jung, U.; Kim, I.G.; Hyun, J.W. Hyperoside induces endogenous antioxidant system to alleviate oxidative stress. J. Cancer Prev. 2016, 21, 41. [Google Scholar] [CrossRef] [PubMed]
- Gao, Y.; Fang, L.; Wang, X.; Lan, R.; Wang, M.; Du, G.; Guan, W.; Liu, J.; Brennan, M.; Guo, H.; et al. Antioxidant Activity Evaluation of Dietary Flavonoid Hyperoside Using Saccharomyces Cerevisiae as a Model. Molecules 2019, 24, 788. [Google Scholar] [CrossRef]
- Li, X.; Jiang, Q.; Wang, T.; Liu, J.; Chen, D. Comparison of the Antioxidant Effects of Quercitrin and Isoquercitrin: Understanding the Role of the 6″-OH Group. Molecules 2016, 21, 1246. [Google Scholar] [CrossRef]
- Baum, S.J.; Kris-Etherton, P.M.; Willett, W.C.; Lichtenstein, A.H.; Rudel, L.L.; Maki, K.C.; Whelan, J.; Ramsden, C.E.; Block, R.C. Fatty acids in cardiovascular health and disease: A comprehensive update. J. Clin. Lipidol. 2012, 6, 216–234. [Google Scholar] [CrossRef] [PubMed]
- Elagbar, Z.A.; Naik, R.R.; Shakya, A.K.; Bardaweel, S.K. Fatty acids analysis, antioxidant and biological activity of fixed oil of Annona muricata L. seeds. J. Chem. 2016, 2016, 6948098. [Google Scholar] [CrossRef]
- Richard, D.; Kefi, K.; Barbe, U.; Bausero, P.; Visioli, F. Polyunsaturated fatty acids as antioxidants. Pharm. Res. 2008, 57, 451–455. [Google Scholar] [CrossRef]
- Rustan, A.C.; Drevon, C.A. Fatty acids: Structures and properties. Encycl. Life Sci. 2001. [Google Scholar] [CrossRef]
- Raza, H.; Prabu, S.K.; John, A.; Avadhani, N.G. Impaired mitochondrial respiratory functions and oxidative stress in streptozotocin-induced diabetic rats. Int. J. Mol. Sci. 2011, 12, 3133–3147. [Google Scholar] [CrossRef]
- Raza, H.; John, A. Streptozotocin-induced cytotoxicity, oxidative stress and mitochondrial dysfunction in human hepatoma HepG2 cells. Int J Mol Sci 2012, 13, 5751–5767. [Google Scholar] [CrossRef] [PubMed]
- Raza, H.; Ahmed, I.; John, A. Tissue specific expression and immunohistochemical localization of glutathione S-transferase in streptozotocin induced diabetic rats: Modulation by Momordica charantia (karela) extract. Life Sci. 2004, 74, 1503–1511. [Google Scholar] [CrossRef] [PubMed]
- Grieb, P. Intracerebroventricular streptozotocin injections as a model of Alzheimer’s disease: In search of a relevant mechanism. Mol. Neurobiol. 2016, 53, 1741–1752. [Google Scholar] [CrossRef] [PubMed]
- Nazari, M.; Hajizadeh, M.; Eftekhar, A.; Fattahpour, S.; Ziaaddini, H.; Hassanshahi, G.; Mahmoodi, M.; Rezaeian, M. Comparative regulatory effects of Morus alba leaf extracts on hepatic enzymes in streptozotocin-induced diabetic and non-diabetic rats. Med. Chem. S 2014, 1, 2161-0444. [Google Scholar] [CrossRef]
- Chaudhry, J.; Ghosh, N.N.; Roy, K.; Chandra, R. Antihyperglycemic effect of a new thiazolidinedione analogue and its role in ameliorating oxidative stress in alloxan-induced diabetic rats. Life Sci. 2007, 80, 1135–1142. [Google Scholar] [CrossRef]
- Can, S.; Cigsar, G.; Gur Ozabacigil, F.; Aksak Karamese, S.; Selli, J.; Bacak, G.; Gedikli, S.; Sahin, G.Z.; Yigit, S.; Can, I.; et al. Hepatoprotective effect of 17β-estradiol as antioxidant modulators against stress damage. Hepat. Mon. 2015, 15, e22633. [Google Scholar] [CrossRef]
- Ighodaro, O.; Akinloye, O. First line defence antioxidants-superoxide dismutase (SOD), catalase (CAT) and glutathione peroxidase (GPX): Their fundamental role in the entire antioxidant defence grid. Alex. J. Med. 2018, 54, 287–293. [Google Scholar] [CrossRef]
- Weydert, C.J.; Cullen, J.J. Measurement of superoxide dismutase, catalase and glutathione peroxidase in cultured cells and tissue. Nat. Protoc. 2010, 5, 51–66. [Google Scholar] [CrossRef] [PubMed]
- Nandi, A.; Yan, L.J.; Jana, C.K.; Das, N. Role of Catalase in Oxidative Stress- and Age-Associated Degenerative Diseases. Oxidative Med. Cell. Longev. 2019, 2019, 9613090. [Google Scholar] [CrossRef]
- Araujo, C.M.; Lúcio Kde, P.; Silva, M.E.; Isoldi, M.C.; de Souza, G.H.; Brandão, G.C.; Schulz, R.; Costa, D.C. Morus nigra leaf extract improves glycemic response and redox profile in the liver of diabetic rats. Food Funct. 2015, 6, 3490–3499. [Google Scholar] [CrossRef]
- Saxena, P.N.; Rathor, S.; Mahour, K.; Saxena, N.; Bajaj, P. Alterations in hepatosomatic index and behaviour under Stress of arsenic trioxide and their modulation by curcuma Aromatica plant extract in albino rats (berkenhout). Pharm. Online 2010, 1, 243–251. [Google Scholar]
- Mallhi, T.H.; Qadir, M.I.; Khan, Y.H.; Ali, M. Hepatoprotective activity of aqueous methanolic extract of Morus nigra against paracetamol-induced hepatotoxicity in mice. Bangladesh J. Pharmacol. 2014, 9, 60–66. [Google Scholar] [CrossRef]
- Agha, F.; Fyiad, A.; El Safi, H. Comparative study of the protective role of black berry juice and silymarin against liver damage induced by carbon tetrachloride in rats. J. Appl. Sci. Res. 2012, 8, 727–738. [Google Scholar]
- Radojković, M.M.; Zeković, Z.P.; Vidović, S.S.; Kočar, D.D.; Mašković, P.Z. Free radical scavenging activity and total phenolic and flavonoid contents of mulberry (Morus spp. L., Moraceae) extracts. Hem. Ind. 2012, 66, 547–552. [Google Scholar] [CrossRef]
- Katsube, T.; Imawaka, N.; Kawano, Y.; Yamazaki, Y.; Shiwaku, K.; Yamane, Y. Antioxidant flavonol glycosides in mulberry (Morus alba L.) leaves isolated based on LDL antioxidant activity. Food Chem. 2006, 97, 25–31. [Google Scholar] [CrossRef]
- Mukherjee, S.; Ghosh, S.; Choudhury, S.; Adhikary, A.; Manna, K.; Dey, S.; Sa, G.; Das, T.; Chattopadhyay, S. Pomegranate reverses methotrexate-induced oxidative stress and apoptosis in hepatocytes by modulating Nrf2-NF-κB pathways. J. Nutr. Biochem. 2013, 24, 2040–2050. [Google Scholar] [CrossRef] [PubMed]
- Feng, R.-Z.; Wang, Q.; Tong, W.-Z.; Xiong, J.; Wei, Q.; Zhou, W.-H.; Yin, Z.-Q.; Yin, X.-Y.; Wang, L.-Y.; Chen, Y.-Q. Extraction and antioxidant activity of flavonoids of Morus nigra. Int. J. Clin. Exp. Med. 2015, 8, 22328. [Google Scholar]
- Hsieh, Y. Supercritical fluids and green bioanalysis. Bioanalysis 2010, 2, 1–4. [Google Scholar] [CrossRef]
- Ye, X.; Xue, S.J.; Shi, J. Green separation technology in food processing: Supercritical-CO2 fluid extraction. In Advances in Food Processing Technology; Springer: Berlin/Heidelberg, Germany, 2019; pp. 73–99. [Google Scholar]
- Singh, S.; Verma, D.K.; Thakur, M.; Tripathy, S.; Patel, A.R.; Shah, N.; Utama, G.L.; Srivastav, P.P.; Benavente-Valdés, J.R.; Chávez-González, M.L.; et al. Supercritical fluid extraction (SCFE) as green extraction technology for high-value metabolites of algae, its potential trends in food and human health. Food Res. Int. 2021, 150, 110746. [Google Scholar] [CrossRef]









| Extract | Extraction Procedure | Extraction Yield | Ref. |
|---|---|---|---|
| Black mulberry leaf extract (MLEE) | Soxhlet ethanol extraction procedure—milled dry black mulberry leaves (Braun Aromatic KS2 mill) and 70% v/v ethanol (ethanol:distilled water 70:30). The extract was prepared using 70 g of dry leaves and 1000 mL of ethanol. After five-day extraction, the extract was filtered and evaporated to dry on a rotary evaporator at 50 °C (Buchi, Switzerland) | 52.13% | [26] |
| Black mulberry tree bark extract (MBEE) | Soxhlet ethanol extraction procedure—milled dry black mulberry leaves (Braun Aromatic KS2 mill) and 70% v/v ethanol (ethanol:distilled water 70:30). The extract was obtained by treating 70 g dry tree bark with 1000 mL of 70% ethanol. After seven-day extraction, the extract was filtered and evaporated to dry on a rotary evaporator at 50 °C (Buchi, Switzerland). | 23.63% | [26] |
| Black mulberry fruit extract (MFEE) | Soxhlet ethanol extraction procedure. The extract was prepared with 300 g of defrosted fruit and 450 mL of 70% v/v ethanol (ethanol:distilled water 70:30). After seven-day extraction, the extract was filtered and evaporated to dry on a rotary evaporator at 50 °C (Buchi, Switzerland). | 60.17% | [26] |
| Black mulberry juice (MJ) | The juice was prepared manually by squeezing the fresh mature black mulberry fruit through a sieve. The fresh juice was frozen at −21 °C until the beginning of the study. | - | |
| Black mulberry seed oil (MSO) | Black mulberry seeds were obtained from fruit pulp after squeezing out the juice from the fruit. The seeds were air-dried at room temperature to constant mass. The seed oil was extracted using a supercritical CO2 extraction procedure in an Autoclave Engineers Screening system. The plant material (60 g) was placed in the extractor vessel and the system was heated to the desired temperature. Afterward, CO2 was introduced using a liquid metering pump until the required pressure was obtained. The extract was collected in the separator and its mass was measured at certain time intervals to determine the extraction yield. The oil extraction was performed at 300 bar pressure and 40 °C temperature. The CO2 consumption during extraction was 50 kg CO2/kg with a constant flow rate of 0.5 kg/h. After extraction, the oil was stored at −20 °C until analyzed. | 17.10% | [27] |
| Compounds | MLEE | MBEE | MJ | MFEE | |
|---|---|---|---|---|---|
| Total Tannins (%) | 0.4 ± 0.1 | 1.8 ± 0.1 | 0.05 ± 0.01 | 0.52 ± 0.01 | |
| Anthocyanins (%) | / | / | 0.84 ± 0.01 | 0.11 ± 0.01 | |
| Procyanidin content (%) | / | / | - | 1.88 ± 0.02 | |
| Total flavonoids (%) | 1.7 ± 0.1 | 0.5 ± 0.1 | / | / | |
| Content of polyphenol (mgGAE/g dry residue) * | 23.4 ± 0.5 1 | 68.3 ± 0.7 1 | 14.69 ± 0.09 1 | 18.68 ± 0.11 1 | |
| Compound (mg/g extract) | |||||
| 1 | chlorogenic acid | 40.7 ± 0.7 | 142.1 ± 2.1 | / | 0.51 ± 0.06 |
| 2 | vanillic acid | 1.3 ± 0.1 | 13.9 ± 0.2 | / | / |
| 3 | p-coumaric acid | / | 2.8 ± 0.1 | / | / |
| 4 | rutin | 2.7 ± 0.1 | / | / | |
| 5 | hyperoside | 25.9 ± 0.2 | 0.1 ± 0.01 | 0.03 ± 0.00 | |
| 6 | isoquercetin | 34.8 ± 0.5 | 2.6 ± 0.1 | 0.07 ± 0.01 | 0.02 ± 0.00 |
| 7 | ellagic acid | 0.8 ± 0.1 | / | / | |
| 8 | kaempferol-3-O-glucoside | 4.2 ± 0.1 | 0.5 ± 0.1 | / | / |
| 9 | phloridzin | t | / | / | / |
| 10 | Morin | / | 0.9 ± 0.1 | / | / |
| 11 | resveratrol | 1.0 ± 0.1 | / | / | |
| 12 | quercetin | 2.4 ± 0.1 | 0.01 ± 0.00 | / | |
| 13 | luteolin | 0.3 ± 0.0 | 2.2 ± 0.1 | / | / |
| 14 | kaempferol | / | 2.1 ± 0.1 | / | / |
| 15 | gallic acid | / | 66.2 ± 0.9 | / | / |
| 16 | cyanidin chloride | / | / | 7.96 ± 0.61 | / |
| 17 | cynanidin-3-O-glucoside | / | / | 7.04 ± 0.54 | / |
| 18 | cyanidin-3-O-rutinoside | / | / | 2.10 ± 0.11 | / |
| 19 | procyanidin B1 | / | / | / | 13.81 ± 0.12 |
| 20 | protocatechuic acid | / | / | / | 1.33 ± 0.11 |
| 21 | p-hydroxybenzoic acid | / | / | / | 0.1 ± 0.00 |
| 22 | epicatechin | / | / | 3.04 ± 0.02 | 0.1 ± 0.00 |
| 23 | protocatechuic acid ethyl ester | / | 0.03 ± 0.01 | ||
| Total phenolics by HPLC | 136.4 ± 0.6 1 | 307.1 ± 1.2 1 | 35.9 ± 0.3 1 | 18.44 ± 0.4 1 |
| Compound | RI—Retention Index | % |
|---|---|---|
| Methyl palmitate | 1925 | 8.6 |
| Methyl linoleate, ω-6 | 2085 | 87.1 |
| Methyl oleate, ω-9 | 2101 | 1.4 |
| Methyl stearate (methyl octadecanoate) | 2123 | 2.5 |
| Eicosanoic acid methyl ester (methyl arachidonate) | 2134 | 0.1 |
| Total | 99.7 |
| Sample | DPPH IC50 (µg/mL) | FRAP mmolFe (II)/g of Extract |
|---|---|---|
| Ascorbic acid | 4.69 ± 0.4 1,2,3,4 | 1.389 ± 0.1 1,3 |
| MLEE | 7.64 ± 0.68 1,2 | 0.97 ± 0.21 |
| MBEE | 8.62 ± 0.72 1,2 | 0.989 ± 0.20 |
| MFEE | 17.99 ± 0.99 | 0.784 ± 0.30 |
| MJ | 10.49 ± 0.93 1,2 | 0.499 ± 0.45 |
| MSO | 24.19 ± 1.15 | 0.96 ± 0.21 |
| Group | x ± SD |
|---|---|
| ConSTZ | 0.058 ± 0.01 |
| ML-STZ | 0.057 ± 0.02 |
| MB-STZ | 0.052 ± 0.005 |
| MF-STZ | 0.055 ± 0.006 |
| MJ-STZ | 0.053 ± 0.002 |
| ConOilSTZ | 0.062 ± 0.006 |
| MO-STZ | 0.059 ± 0.013 |
Disclaimer/Publisher’s Note: The statements, opinions and data contained in all publications are solely those of the individual author(s) and contributor(s) and not of MDPI and/or the editor(s). MDPI and/or the editor(s) disclaim responsibility for any injury to people or property resulting from any ideas, methods, instructions or products referred to in the content. |
© 2023 by the authors. Licensee MDPI, Basel, Switzerland. This article is an open access article distributed under the terms and conditions of the Creative Commons Attribution (CC BY) license (https://creativecommons.org/licenses/by/4.0/).
Share and Cite
Vukmirović, S.; Ilić, V.; Tadić, V.; Čapo, I.; Pavlović, N.; Tomas, A.; Paut Kusturica, M.; Tomić, N.; Maksimović, S.; Stilinović, N. Comprehensive Analysis of Antioxidant and Hepatoprotective Properties of Morus nigra L. Antioxidants 2023, 12, 382. https://doi.org/10.3390/antiox12020382
Vukmirović S, Ilić V, Tadić V, Čapo I, Pavlović N, Tomas A, Paut Kusturica M, Tomić N, Maksimović S, Stilinović N. Comprehensive Analysis of Antioxidant and Hepatoprotective Properties of Morus nigra L. Antioxidants. 2023; 12(2):382. https://doi.org/10.3390/antiox12020382
Chicago/Turabian StyleVukmirović, Saša, Vladimirka Ilić, Vanja Tadić, Ivan Čapo, Nebojša Pavlović, Ana Tomas, Milica Paut Kusturica, Nataša Tomić, Svetolik Maksimović, and Nebojša Stilinović. 2023. "Comprehensive Analysis of Antioxidant and Hepatoprotective Properties of Morus nigra L." Antioxidants 12, no. 2: 382. https://doi.org/10.3390/antiox12020382
APA StyleVukmirović, S., Ilić, V., Tadić, V., Čapo, I., Pavlović, N., Tomas, A., Paut Kusturica, M., Tomić, N., Maksimović, S., & Stilinović, N. (2023). Comprehensive Analysis of Antioxidant and Hepatoprotective Properties of Morus nigra L. Antioxidants, 12(2), 382. https://doi.org/10.3390/antiox12020382

