Abstract
The S1fa transcription factor is part of a small family involved in plant growth and development and abiotic stress tolerance. However, the roles of the S1fa genes in abiotic stress tolerance in Chinese cabbage are still unclear. In this study, four S1fa genes in the Chinese cabbage genome were identified and characterized for abiotic stress tolerance. Tissue-specific expression analysis suggested that three of these four S1fa genes were expressed in all tissues of Chinese cabbage, while Bra006994 was only expressed in the silique. Under Hg and Cd stresses, the S1fa genes were significantly expressed but were downregulated under NaCl stresses. The Bra034084 and Bra029784 overexpressing yeast cells exhibited high sensitivity to NaCl stresses, which led to slower growth compared with the wild type yeast cells (EV) under 1 M NaCl stress. In addition, the growth curve of the Bra034084 and Bra029784 overexpressing cells shows that the optical density was reduced significantly under salt stresses. The activities of the antioxidant enzymes, SOD, POD and CAT, were decreased, and the MDA, H2O2 and O2− contents were increased under salt stresses. The expression levels of cell wall biosynthesis genes Ccw14p, Cha1p, Cwp2p, Sed1p, Rlm1p, Rom2p, Mkk1p, Hsp12p, Mkk2p, Sdp1p and YLR194c were significantly enhanced, while Bck1p, and Ptc1p were downregulated under salt stresses. These results suggest that the Bra034084 and Bra029784 genes regulate cell wall biosynthesis and the defense regulatory system under salt stresses. These findings provide a fundamental basis for the further investigation of crop genetic modification to improve crop production and abiotic stress tolerance in Chinese cabbage.
1. Introduction
Chinese cabbage (Brassica rapa) is a winter vegetable crop that originated in China and is mainly cultivated in north China [1,2]. It is the largest vegetable crop that is produced throughout the year, and because of its excellent nutritional value, it is highly consumed [3]. As a leafy vegetable, Chinese cabbage is more sensitive to environmental influences, including NaCl, heavy metals, low and high temperature, etc., which cause a series of physiological, molecular and biochemical changes that negatively affect plant growth and production [4,5]. To cope with different environmental influences, molecular, cellular and biochemical responses are regulated through many series of pathways, inducing antioxidant enzymes, hormones and transcription factors (TFs), to reduce the detrimental effects of stresses [6]. Under abiotic stresses, the plant produces ROS (reactive oxygen species), which is highly toxic and reactive, and hence causes oxidative damage and cell death [7]. Plant cells exhibit high efficiencies in scavenging ROS through the well-established coordination of antioxidant enzymes (SOD, POD, CAT, GS, APX and GR) and non-enzymatic antioxidants (ascorbic acid and glutathione) [8]. The overproduction of ROS initially causes damaged cells, hormonal imbalance and decreased metabolic and enzymatic activities, and thus interferes with signaling pathways that are involved in carbohydrate, protein, lipid, chlorophyll and photosynthetic machinery [6,7,8].
Plants have established a wide range of physiological and biochemical mechanisms to avoid the harmful effects of environmental influences [9,10]. The overproduction of ROS is diminished through the regulation of gene and protein expression levels in the mitochondria, nucleus, chloroplast and cell wall [11]. The cell wall is a complex structure, which is the first and central protective barrier for abiotic stress [11]. A number of signaling cascades have been reported to be involved in the regulation of stress responses in cell walls, including cell wall integrity (CWI), high-osmolality glycerol (HOG) and protein kinase A (PKA) [11]. AtMyb41 regulates osmotic and salinity stresses through the activation of cell wall biosynthesis genes [12]. Rice R2R3-type MYB transcription factor, OsMPS, negatively regulates the expression of hormone signaling genes, EXPANSIN and biosynthesis genes in the cell wall to enhance NaCl stress tolerance [13]. Wall-associated kinases (WAKs), a potential sensor for the cell wall, regulate the pectic signaling network of the cell wall under abiotic stresses [14].
Transcription factors are crucial regulators of plant abiotic stresses, and are involved in the regulation of the defense system to stabilize ROS production [9,15,16]. Among different transcription factors, the S1fa transcription factor is highly conserved and belongs to the smallest family of the plant kingdom [17]. The members in this family have a small molecular weight (7 to 9 KD) and an average length of 70 to 80 aa, and are mainly localized in the nucleus [17]. Although usually no more than five S1fa proteins are found in most plants, such as maize, rice, tomato, soybean, Arabidopsis and Chinese cabbage, Arachis duranensis has 126 S1fa proteins [18]. Chinese cabbage has four members of the S1fa proteins, including Bra003132, Bra034084, Bra006994 and Bra029784, which bind to the cis-element of the site 1 binding site, one of the three highly conserved binding sites (site 1, 2 and 3) located in the promoter region. Previous studies have reported that spinach S1fa has a nuclear localization signal peptide and a DNA recognition motif, which may function as a transcription factor [19]. The S1fa genes are mainly expressed in roots and etiolated seedlings rather than leaves, indicating their involvement in growth and development [17,18]. The S1fa gene plays a key role in abiotic stress tolerance. Under abiotic stresses, the S1fa genes are the most downregulated genes in cotton [17]. Moreover, in Chinese cabbage, the S1fa gene shows significant responses to salinity stress, suggesting that it may act as the upstream gene for salt responsive genes. Two genes of the S1fa family, PtS1Fa1 and PtS1Fa2, have been characterized in Populous trichocarpa [17]. The results show that the PtS1Fa2 overexpression lines of P. trichocarpa increase in fresh weight, root length and chlorophyll accumulation under drought stresses. However, the overexpression of PtS1Fa1 has no obvious effect on the drought stress response. These findings suggest that PtS1Fa2 plays a key role in the activation of antioxidant enzymes such as SOD and POD to reduce the MDA, H2O2 and O2− contents, and induces drought tolerance. The OsS1fa gene in rice confirms drought stress tolerance in Arabidopsis [18]. These results demonstrate that the OsS1fa gene is highly expressed in the leaf, culm and root. Drought tolerance-related genes, such as LEA, GRF7, YODA, RD29A and CPK6, are significantly expressed in the OsS1fa overexpression line under drought stresses, suggesting that OsS1fa plays a fundamental role in plant development and abiotic stress responses.
In this study, four members of the S1fa family were identified and characterized through the investigation of phylogeny, motif, gene structure, cis-element and miRNA in Chinese cabbage. Furthermore, the functions of the S1fa genes in response to abiotic stresses (Hg, Cd, Al, Co, Cu, mannitol (osmotic stress), salt and cold and heat stress) were investigated in yeast, which showed that two S1fa genes were highly sensitive to NaCl stress. The TPM value of the S1fa genes was measured in different plant tissues, such as the root, leaf, stem, flower, callus, silique and specific leaves of Chinese cabbage. The pRS416-GFP vector was used to test the subcellular localization of the S1fa genes under salinity stress in yeast. The significance of this study will be helpful for the understanding of the S1fa gene’s function and boost the genetic modification of Chinese cabbage, which can improve crop production and adaptation to environmental cues. It will be more interesting to explore the role of S1fa genes in the hormone signaling pathway, interaction and crosstalk to identify novel genes in Chinese cabbage. Future research on S1fa will offer the possibility of genetic engineering of crop varieties with enhanced crop production.
2. Results
2.1. Identification and Characterization of the S1fa Family Genes in Chinese Cabbage
To identify and characterize the S1fa transcription factor genes in Chinese cabbage, we performed BLASTP searches against the Chinese cabbage genome database (http://brassicadb.cn (accessed on 22 March 2022)) using three Arabidopsis S1fa protein sequences (AT2G37120, AT3G53370 and AT3G09735) as query sequences, and confirmed four candidate genes of the S1fa family in Chinese cabbage, including Bra003132, Bra034084, Bra006994 and Bra029784. The S1fa family genes are distributed on different chromosomes of Chinese cabbage; Bra034084, Bra029784, Bra003132 and Bra006994 are located on A01, A05, A07 and A09, respectively (Figure 1A). The protein 3D structure of S1fa gene showed similar structural homology in Chinese cabbage (Figure 1B). The length of the S1fa genes is between 70–-88 aa, with a molecular weight ranging from 7.8 to 9.3 kDa (Table 1). The isoelectric point of Chinese cabbage S1fa proteins is relatively high (pI > 10.38), indicating that they are rich in alkaline amino acids (Table 1). Subcellular location analysis showed that all S1fa genes were localized in the nucleus.

Figure 1.
Chromosomal localization of the S1fa genes in Chinese cabbage and protein 3D structures. (A) Chinese cabbage has ten chromosomes, and the chromosome number (A01 to A10) is shown on the top of each chromosome. The position marked on the chromosome represents the location of the S1fa genes. (B) Protein 3D structure of Chinese cabbage S1fa genes.
Table 1.
The characteristics of the S1fa genes in Chinese cabbage.
2.2. Phylogenetic Analysis of the S1fa Genes in Chinese Cabbage
The phylogenetic analysis was used to investigate the evolution of the S1fa genes in Chinese cabbage. The S1fa proteins were compared with those in other species, including tomato, pepper, cotton, rice, Arabidopsis, cucumber, watermelon and rice, to investigate and explore the evolutionary relationships. A total of 27 S1fa proteins were clustered into three groups (I, II and III), which consisted of 6, 9 and 12 members, respectively. Bra003132 was clustered into group I, while Bra034084, Bra006994 and Bra029784 were clustered into group II, indicating that Chinese cabbage S1fa genes have high homology with those in rice, cucumber and pepper (Figure 2A). Additionally, low bootstrap values in the phylogenetic tree are due to the divergence of the protein sequences that occur between Chinese cabbage and Arabidopsis, cotton and tomato during the evaluation. Multiple sequence alignments show that the amino acid sequences of the S1fa genes are highly conserved between Chinese cabbage and Arabidopsis (Figure 2B). The conserved domain of S1fa is highlighted in Figure 2B.
Figure 2.
Phylogenetic analysis and multiple sequence alignment of the S1fa proteins. (A) Phylogenetic tree of the S1fa genes in Chinese cabbage, tomato, pepper, cotton, rice, Arabidopsis, cucumber, watermelon and rice. The neighbor-joining tree was generated using the MEGA7 software with 100 bootstrap replicates. The different colored dots represent different plant species. (B) Multiple sequence alignment of S1fa proteins from Chinese cabbage and Arabidopsis. Multiple sequence alignment was performed using the MEGA7 software. The highlighted amino acids are highly conserved.
2.3. Cis-Element Analysis of S1fa
Cis-elements are the regions of non-coding DNA that regulate the transcription of the neighboring genes. The cis-elements of Chinese cabbage S1fa genes were identified in the promoter region as presented in Figure 3. The results show that the Bra034084 gene is located on chromosome A07, which has 1 GATA-motif, 1 LTR, 1 TC-rich repeat, 1 TCA-element, 1 CGTCA-motif, 1 GT1-motif, 1 TGACG-motif, 2 AE-box, 3 AREs and 3 TCT-motifs. Bra003132 has 1 LTR, 1 MBS, 1 AE-box, 1 CAT-box, 1 TCCC-motif, 1 TCT-motif, 1 LAMP-element, 2 CGTCA-motifs, 2 TGACG-motifs, 2 TGA-elements, 3 AREs, 3 MBSs, 4 ABREs and 6 G-boxes (Supplementary Table S1). Bra006994 has 1 LTR, 1 TCA-element, 1 ARE, 1 Box II, 1 CAT-box, 1 TC-rich repeats, 2 TCT-motifs, 2 ABREs, 2 TCT-motifs and 3 O2-sites. Bra029784 has 1 TCA-element, 1 ARE, 1 AE-box, 1 G-box, 1 Box-II, 1 chs-Unit 1 m1, 2 TC-rich repeats, 2 MBSs, 2 ABREs and 2 TCT-motifs, which are involved in facilitating a plant’s physiological and biochemical mechanisms under abiotic stresses.
Figure 3.
Cis-element analysis of the S1fa genes in Chinese cabbage. Different colors represent different cis-elements in the promoter region of the S1fa family genes in Chinese cabbage.
2.4. Structure and Motif Analysis of the S1fa Genes
To explore the features of the S1fa genes, the conserved motifs of the genes in Chinese cabbage were analyzed. The results show that S1fa consists of three common motifs, namely, motif 1, 2 and 3, as presented in Figure 4. Motif 1 is the largest motif with a length of 55 aa, which is localized in the middle of the S1fa gene, followed by motif 2 and motif 3, respectively. Similarly, the exon–intron structures of the S1fa genes were analyzed (Figure 4). Bra006994, Bra003132 and Bra029784 have the same structure, while Bra034084 has a different structure. The coding sequence of Bra006994, Bra003132 and Bra029784 is localized on the left and right borders of the UTR, and shares a similar gene structure, but Bra034084 does not have a UTR.

Figure 4.
Analysis of motifs and gene structures of S1fa proteins in Chinese cabbage. (A) Protein motifs, location and phylogenetic trees in the S1fa family members. (B) The sequence of three identified motifs in Chinese cabbage. (C) Gene structure of the S1fa family member in Chinese cabbage.
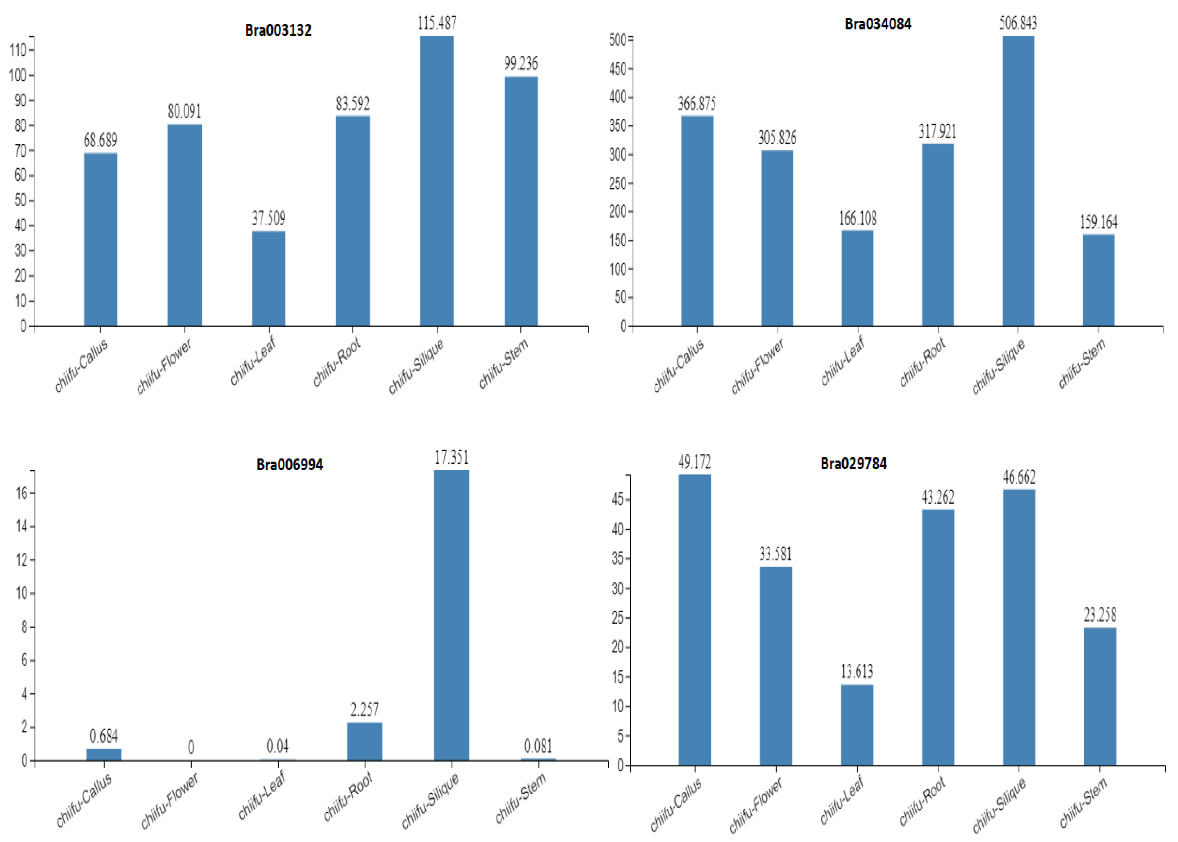
2.5. Expression Profiles of the S1fa Genes in Different Tissues
To explore the potential functions of the S1fa genes in growth and development, the tissue-specific characteristics were obtained from the Chinese cabbage database (http://brassicadb.cn/#/ (accessed on 22 March 2022)). The results show that the TPM (Transcript per million) values of the S1fa genes varied in different plant tissues. The S1fa genes were highly expressed in the silique of Chinese cabbage (Figure 5), while the expression level was the lowest in the leaf tissue. Comparative analyses of the S1fa genes show that Bra034084 had the highest expression, followed by Bra003132 and Bra006994, respectively. Bra029784 had the least expression in all tissues except the silique tissues compared with other members of the S1fa genes. Moreover, the expression of the S1fa genes was downregulated in the leaf and flower tissues, while Bra006994 showed no expression in the leaf and flower tissues. Taken together, these findings indicate that the S1fa genes are actively expressed in Chinese cabbage, which could play vital roles in Chinese cabbage growth and developmental process. Thus, it is necessary to investigate the functions of the S1fa genes in abiotic stress tolerance.
Figure 5.
The transcription levels of the S1fa genes in different tissues, including root, leaves, flower, stem, callus and silique of Chinese cabbage. Data were obtained from Chinese cabbage database.
2.6. Expression Patterns of the S1fa Genes under Abiotic Stress
The S1fa transcription factor plays an important role in regulating plant growth and development, and abiotic stress tolerance. However, the involvement of the S1fa genes in response to abiotic stresses is not clear. To confirm the molecular mechanism of the S1fa genes in response to abiotic stresses, their transcript abundance was investigated under Hg, Cd and NaCl stresses (Figure 6). The expression levels of all four S1fa genes were investigated 24 h after the stress treatments. The S1fa genes were significantly expressed under abiotic stresses. Under Hg stress, the expressions of the Bra034084 and Bra029784 genes were significantly elevated compared with the control (CK) treatment, followed by Bra003132. Likewise, under Cd stress, the Bra003132 and Bra006994 genes showed high expression levels compared with CK, while NaCl stress significantly reduced the expression of the S1fa genes (Figure 6). These findings suggest that the S1fa genes are involved in and positively induced by various abiotic stresses in Chinese cabbage.
Figure 6.
The expression levels of the S1fa genes under NaCl, Cd and Hg stresses. Different colors indicate different stresses and the letters above error bars represent significant differences at p > 0.05.
2.7. Prediction of miRNAs Targeting the S1fa Genes in Chinese Cabbage
miRNAs are a class of non-coding single strand RNA molecules of approximately 22 nucleotides, which are encoded by endogenous genes and may be involved in the activation of genes in response to abiotic stresses. A total of 39 miRNAs targeting the S1fa genes in Chinese cabbage are presented in Table 2, including 5 miRNAs targeting Bra003132 (ath-miR5661, ptc-miR397c, mtr-miR2641, hvu-miR6214 and hme-miR-278), 11 miRNAs targeting Bra006994 (ptc-miR397c, zma-miR399e-5p, aly-miR160c-3p, ath-miR5661, osa-miR160a-3p, osa-miR160b-3p, zma-miR160b-3p, zma-miR160g-3p, bdi-miR160b-3p, bdi-miR160c-3p and ata-miR160c-3p), 11 miRNAs targeting Bra029784 (aly-miR838-3p, zma-miR399e-5p, ath-miR838, osa-miR3982-3p, bdi-miR398b, osa-miR2095-3p, aly-miR4248a, aly-miR4248b, aly-miR4248c, gma-miR4363 and bdi-miR7757-3p.1) and 12 miRNAs targeting Bra034084 (aly-miR838-3p, zma-miR399e-5p, ath-miR838, mtr-miR2673a, mtr-miR2673b, gma-miR4363, bdi-miR398b, osa-miR2055, osa-miR3982-3p, cca-miR6116-3p, stu-miR8050-3p and gma-miR9752).
Table 2.
Prediction of miRNAs targeting the S1fa genes of Chinese cabbage.
2.8. S1fa Overexpression in Response to Abiotic Stresses in Yeast
To elucidate the function of the S1fa genes in abiotic stress tolerance, we generated an overexpression model of yeast using the pRS416 vector. The yeast cells with S1fa overexpression were exposed to abiotic stresses (75 μM-Cd, 75 mM-Hg, 100 mM-Al, 50 mM-Cu, 100 mM-Co, 1M-NaCl, 2M-Mannitol, and cold and heat stresses (24 h stress followed by two days with the normal temperature)) (Figure 7a(A,B)). The overexpression of Bra034084, Bra003132, Bra029784 and Bra006994 and EV (empty vector) showed no effects on Al, Mannitol, Co and cold stresses, However, the cells were sensitive to NaCl, Hg and Cd stresses, compared with EV (Figure 7a(C,F,H)). Under NaCl stress, Bra006994 and Bra029784 were highly sensitive, when compared to EV (Figure 7a(H)). Likewise, under heat stress (38 °C) and cold stress (4 °C), all cells with the overexpression of Chinese cabbage S1fa genes grew slightly slower than EV (Figure 7b(A,B)). Cells overexpressed with Bra006994 and Bra029784 were more sensitive to these stresses (Figure 7b(A,B)). These results indicate that the Bra006994 and Bra029784 genes play an important role in response to salt stresses.

Figure 7.
(a) Responses to abiotic stresses through yeast dilution bioassay with the wild type strain, S1fa transformed with pRS-416-GFP. Yeast wild type (EV) strain and S1fa overexpressing cells were grown in the URA liquid medium for 24 h at 28 °C. The cell solutions were diluted to an OD600 value of 0.3 and exposed to different types of abiotic stresses. (A) URA (control), (B) 50 mM Cu, (C) 75 mM Hg, (E) 100 mM Al, (D) 100 mM Co, (F) 75 μM Cd, (G) 2 M mannitol, (H) 1 M NaCl. Triangles represent the 10-fold serial dilutions (the starting OD600 is 0.3). (b) Responses to temperature stress tolerance through yeast dilution bioassay with the wild type strain, S1fa transformed with pRS-416-GFP. The yeast cells were exposed to (A) low temperature (4 °C) and (B) high temperature (38 °C) for 24 h, and then transferred to a place with the normal temperature (28 °C). Triangles represent the 10-fold serial dilutions (the starting OD600 is 0.3).
2.9. Growth Curve
To confirm the responses of the S1fa-overexpressing yeast cells to salinity, we conducted the growth curve of the yeast cells under salt stresses. The yeast cells were incubated under 28 °C until OD600 reached 0.3, and then were treated with 1 M NaCl in liquid URA medium. The OD600 values were observed after 12, 14, 16, 18, 20, 22 and 24 h, respectively. The results indicate that Bra034084 and Bra029784 overexpressing yeast cells were highly sensitive to NaCl stresses (Figure 8). Under normal conditions, the growth rate of the S1fa expressing cells was the same as that of EV, whereas under NaCl stresses, the optical density was significantly decreased compared with that of EV. The growth rate of the Bra003132 and Bra006994 overexpressing yeast cells showed no difference compared with that of EV, but was significantly higher than those of the Bra034084 and Bra029784 overexpressing yeast cells (Figure 8). These findings suggest that salinity stresses had detrimental effects on the growth of the Bra034084 and Bra029784 overexpressing yeast cells.
Figure 8.
Growth curves of the S1fa gene overexpressing yeast cells under 1 M NaCl stress. EV (empty vector (yeast WT)) and cells with the overexpression of Bra003132, Bra006994, Bra034084 and Bra029784 were grown at 28 °C. Cell density was monitored after 12, 14, 16, 18, 20, 22 and 24 h after the treatment. The error bar represents the deviation of three independent replications.
2.10. Subcellular Localization of the S1Fa Genes
Subcellular localization is considered a key parameter for transcription factor responses to abiotic stresses. However, no evidence was found to support the translocation of the S1fa genes into the nucleus under salt stresses.
To confirm the subcellular localization, the S1fa genes were transiently expressed in the fusion of GFP in yeast, and the fluorescence was observed using a confocal microscopy. Without salt stress, the S1fa genes were observed in the nucleus as dot-like structures as presented in Figure 9. When treated with salt, Bra034084 and Bra029784 were translocated into the cell wall.
Figure 9.
The subcellular localization of the S1fa genes and the empty vector (EV) tagged with GFP and transiently expressed in yeast cells treated with 1 M NaCl. The images were obtained from GFP, merged and bright channels. Scale bar: 10 μm.
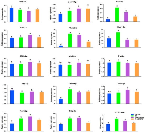
2.11. Responses of Cell Wall Biosynthesis Genes to NaCl Stresses
In eukaryotic organisms, the biological integrity depends on the cell wall, which is considered an essential structure that not only maintains the morphology, but also participates in protecting the cell from environmental influences. Here, in this study, we investigated the expression levels of cell wall biosynthesis genes as presented in Figure 10. The results suggest that the S1fa genes Bra034084 and Bra029784 significantly enhanced the expression levels of cell wall biosynthesis genes compared with EV-Ck (no stress) and EV (with stress). The expression levels of cell wall biosynthesis genes, including Ccw14p, Cha1p, Cwp2p, Sed1p, Rlm1p, Rom2p, Mkk1p, Hsp12p, Mkk2p, Sdp1p and YLR194c, were significantly enhanced, while the expression levels of Bck1p and Ptc1p were downregulated under salt stresses in Bra034084 and Bra029784 overexpressing yeast cells. The expression of the Pst1p gene showed no significant difference. These findings suggest that Bra034084 and Bra029784 activate the signaling pathways regulating cell wall integrity by stimulating transcriptional and post-transcriptional genes in response to salt stresses.
Figure 10.
Quantitative reverse transcription polymerase chain reaction (qRT-PCR) analysis was used to assess the expression levels of cell wall biosynthesis genes under NaCl stresses. The error bar represents the deviation of three independent replications. The letters above the error bar represent significant differences at p > 0.05.
2.12. Antioxidant Enzyme Activities and ROS Accumulation under NaCl Stresses
The antioxidant enzyme activities, the MDA content and the ROS accumulations in the Bra034084 and Bra029784 overexpressing cells were analyzed after 14 h of exposure to NaCl stresses. The results suggest that the antioxidant enzyme activities were greatly reduced by NaCl stresses compared with EV, as presented in Figure 11. The activities of SOD and POD were reported to be significantly higher in the Bra029784 overexpressing cells than those in the Bra034084 overexpressing cells, whereas the activity of CAT was enhanced in the Bra034084 overexpressing cells. Moreover, the activities of CAT, SOD and POD were significantly higher under NaCl stress than those in the control. The MDA content was higher in the Bra034084 overexpressing cells, while the contents of H2O2 and O2− were not affected but were significantly higher than those of EV. The contents of ROS and MDA of NaCl stress were significantly higher than the control, as presented in Figure 11. These findings suggest that salinity stress negatively affected the activities of antioxidant enzymes but promoted the accumulation of ROS and MDA, which may activate the biosynthesis of the cell wall, and hence increase salt stress sensitivity.
Figure 11.
The effect of salt stress on antioxidant enzyme activities, MDA and ROS accumulations of Bra034084 and Bra029784 overexpressing yeast cells. Bra034084 and Bra029784 overexpressing cells were exposed to 1 M salt stress and control (without stress) for 14 h at 28 °C. Superoxide dismutase (SOD), peroxidase (POD), catalase (CAT), malondialdehyde (MDA), hydrogen peroxide (H2O2), and superoxide radicals (O2−). Different letters indicate significant differences at p < 0.05.
3. Discussion
Environmental influence impairs plant growth and development through oxidative stresses, which may change genome stability [10,20]. Plants have evolved a number of pathways to cope with ROS production and reduce the detrimental effects of abiotic stresses, including antioxidant enzymes, hormonal responses, the activation of transcription factors [8] and regulation of downstream genes [9,21].
Transcription factors (such as MYB, WRKY, ERF and NAC) play a crucial role in abiotic stress tolerance, and are involved in the transcriptional regulation of plant genes [22,23,24,25]. The S1fa transcription factor belongs to the smallest family of plants that are involved in plant growth and development [18]. However, no study has reported on their regulatory effects on abiotic stresses in Chinese cabbage. The present study was designed to investigate the physiological and molecular mechanism of the S1fa genes in abiotic stress tolerance. We identified and characterized four S1fa proteins in Chinese cabbage at the whole genome level, which were also compared with three Arabidopsis S1fa proteins. Systematic analyses including phylogenetic trees, gene and protein structures, motifs, physiochemical properties, miRNAs and cis-elements were conducted in the promoter region of the S1fa genes, and the effects of the S1fa genes on abiotic stress tolerance were investigated in yeast models. These findings provide novel insights into the functional characterization of the S1fa genes, which can be used in molecular breeding to enhance crop production and abiotic stress tolerance.
Based on phylogenetic analyses, the S1fa proteins were divided into three groups. Chinese cabbage S1fa proteins were classified in groups I and II, which share a high similarity with those in rice, pepper, cucumber and watermelon (Figure 2). The difference between these groups demonstrates that these proteins underwent great genetic variation after divergence, probably due to environmental influences, and that some gene fragments might have been lost during the evolutionary process [26]. The analysis of gene structure and motif suggested that the S1fa genes shared a similar exon–intron and motif structure, indicating there is a closer evolutionary relationship among the members in the same group but a functionally diversified relationship among the other group members [27,28,29,30]. The structure and motif analysis of Chinese cabbage S1fa genes showed a similar structure, which has three common motifs (Figure 4). Interestingly, based on motif analysis, the S1fa genes in Chinese cabbage can be divided into two subgroups, with Bra003132 and Bra006994 in one group, and Bra029784 and Bra034084 in the other (Figure 4). Protein analysis shows that motif 1 is highly conserved, which may be involved in or required for recognizing abiotic stress responsive cis-elements in response to stresses [31,32,33].
A gene’s expression pattern can provide important indications for its biological functions. In the current study, the expression patterns of the S1fa genes were analyzed under abiotic stresses in Chinese cabbage (Figure 6). The S1fa genes showed different expression patterns in different tissues. The S1fa genes had the lowest expression in the leaves and the highest expression in the silique (Figure 5). Bra006994 showed a minimum expression level in the leaf, flower and callus. The expression level of the S1fa genes was significantly different under different abiotic stresses (Figure 6). Under NaCl stress, Bra034084 and Bra029784 were significantly expressed compared with the other two S1fa genes. However, their expressions were significantly downregulated under Cd and Hg stresses (Figure 6). Taken together, these results suggest that the S1fa transcription factors are potentially involved in salinity stress tolerance, as well as plant growth and development [17,18].
The cis-element is a specific sequence on the promoter region of a given gene, which influences the expression of protein-coding and long non-coding RNA genes. Activation of the expression of the gene by binding with the cis-element is a common way of regulating developmental and physiological processes [33]. In plants, miRNAs act as a positive regulator in regulating related genes. Many studies have shown that miRNAs are involved in response to abiotic stresses [34]. miR398b negatively regulates the defense system in cotton and causes an adverse effect on plant growth. miR1885 regulates plant growth and tolerance to viral infection through targeting BraTNL1 and BraCP24 genes in Brassica [35]. Bra034084 and Bra029784 were targeted by miRNAs including miR398b and miR1885, which might be involved in salt stress responses (Figure 7a and Figure 7b). Under abiotic stresses, the cis-elements are involved in controlling the transcriptional regulation of the core gene network [31]. The S1fa genes of Chinese cabbage contain a number of cis-elements including light and abiotic stress responsive elements, ABA, GA, methyl jasmonate (MeJA), and low and high temperature responsive elements (Figure 3). Previous studies have reported that hormonal cis-elements, such as O2-site, TGA-element, TGACG-motif, CGTCA-motif, TCA-element and ABRE motifs, are the key cis-regularity modules that stimulate the hormone signaling pathways under abiotic stresses [31,33]. The cis-elements activate specific transcription factors and their downstream genes, acting as a key cellular regulator in response to abiotic stresses [33]. These cis-elements may also be involved in salinity stress tolerance by regulating the specific hormonal signal transduction pathways [33].
The S1fa transcription factors have been reported to be involved in photomorphogenesis and abiotic stress tolerance [17]. However, their function has yet to be fully understood. Here, four Chinese cabbage S1fa genes were identified and cloned to investigate their function in abiotic stress tolerance using a yeast model (Figure 7a and Figure 7b). The results suggest that the S1fa genes did not respond to any abiotic stress. However, Bra034084 and Bra029784 were highly sensitive to NaCl stress (Figure 7a(H)), suggesting that the S1fa transcription factors are involved in salinity stress tolerance. These findings are in line with a previous study, which shows that OsS1fa improves drought stress tolerance in Arabidopsis and increases the expression of the drought stress-related genes [18].
Plants exposed to abiotic stresses generate an excessive amount of ROS (H2O2 and O2−), which is highly toxic and detrimental to proteins, lipids, DNA and carbohydrates, eventually leading to cell death [6,36,37]. The plant possesses an antioxidant enzyme defense system to normalize the overproduction of ROS. In this study, the overexpression of Bra034084 and Bra029784 significantly decreased the activities of antioxidant enzymes including SOD, POD and CAT under salinity stresses in yeast (Figure 11). On the other hand, the overexpression of Bra034084 and Bra029784 enhanced the accumulation of H2O2, O2− and MDA in the S1fa overexpressing yeast cells compared with the wild type (EV) (Figure 11). These findings suggest that Bra034084 and Bra029784 inhibit the antioxidant enzyme activities, thereby leading to a higher hypersensitivity to salt stresses. PsS1Fa2 overexpression in Populus trichocarp enhanced drought stress tolerance by increasing the activities of antioxidant enzymes (SOD and POD) and reducing the accumulation of MDA, H2O2 and O2− [17]. A similar report has been conducted, which shows CaDHN4 can protect against cold and salt stresses by activating the antioxidant enzyme defense system [38].
In eukaryotic organisms, the cell wall plays a dominant role in the protection of the cell from environmental influences [11]. In yeast, transcriptional re-programing can alter the expression of key genes for cell wall biosynthesis, energy generation, signal transduction and stress [11,39]. Several signaling pathway cascades such as MAPK, MAPKK1, MAPKK2 and Slt2 have been reported to be involved in cell wall biosynthesis [40,41]. In this study, the overexpressed S1fa genes, Bra034084 and Bra029784, were located in the cytoplasm, and were translocated under NaCl stresses (Figure 7a and Figure 7b), and they significantly enhanced the expression level of cell wall biosynthesis genes (Figure 11). The PKC1 (protein kinase C) pathway plays an important role in cell wall biogenesis, maintenance and cell integrity [41], and is regulated by Bck1p, Mkk1p, Slt2p and Rom2p [11,41]. Our study showed that the expression of these factors was significantly increased in the S1fa overexpressing yeast cells under salinity stresses, as presented in Figure 10. Additionally, the overexpression of Bra034084 and Bra029784 enhanced the transcript level of Bck1p, Ptc1p Ccw14p, Crh1p, Mkk1p, Mkk2p, Rlm2 and Rom2, which are involved in the signaling pathway regulating cell wall integrity [11,39,40]. Subcellular localization analysis suggests that the S1fa gene was translocated from the cytoplasm to the cell wall under salt stresses, as presented in Figure 9, which in turn might promote the expression of many cell wall biosynthesis genes. These findings are consistent with previous studies, which show that abiotic stress induces a significant reduction in the activities of antioxidant enzymes and increases the contents of ROS and MDA [11,14], thereby regulating the expression of the genes controlling cell wall integrity [11]. In summary, it can be concluded that the S1fa transcription factors activate genes involved in cell wall integrity under salinity stresses. Future studies are required to investigate the linkage between cell wall integrity and S1fa genes under abiotic stresses, especially salinity stresses.
4. Materials and Method
Chinese cabbage (Cv. Guangdongzao) seeds were soaked with 1% sodium hypochlorite for 3 min and then washed at least five times with ddH2O to remove the excessive sodium hypochlorite. Then, the seeds were germinated in ½MS media in a controlled growth chamber as described previously [42]. The uniform seedlings were transferred to a hydroponic culture and incubated for five more days before treated with 75 μM Cd, 75 mM Hg and 1 M NaCl, respectively. The samples were collected and ground in liquid nitrogen to extract the total RNA [43].
4.1. Identification of the S1fa Genes in Chinese Cabbage
In order to identify the S1fa genes in Chinese cabbage, the protein sequences of three S1fa genes from TAIR (www.Arabidopsis.org (accessed on 22 March 2022)) were downloaded and used as queries in Chinese cabbage genome database (http://brassicadb.cn (accessed on 22 March 2022)) with the BLASTP program [42]. All predicted Chinese cabbage S1fa proteins were confirmed through Pfam (http://pfam.xfam.org/ (accessed on 22 March 2022)) and SMART database. The physicochemical parameters including protein isoelectric point (pl), molecular weight (kDa) and length were calculated using the tools on the ExPASy server (http://web.expasy.org/compute_pi/ (accessed on 22 March 2022)). The chromosomal locations and strand directions were obtained from the BRAD database (http://brassicadb.cn (accessed on 22 March 2022)), and the subcellular location of each protein was investigated using CELLO 2.5 (http://cello.life.nctu.edu.tw/ (accessed on 22 March 2022)) [29].
4.2. Phylogenetic Trees and Sequence Alignment
The full length protein sequences from Chinese cabbage, tomato, pepper, cotton, Arabidopsis, cucumber, watermelon and rice were obtained from the genome database and aligned using MUSCLE (https://www.ebi.ac.uk/Tools/msa/muscle (accessed on 22 March 2022)), which were used to construct the evolutionary tree using the MAGA7 software by the neighbor-joining method, and protein sequence alignment was performed as described previously [29].
4.3. S1fa Structure and Conserved Motif
The S1fa gene structure was analyzed using the online MEME program (http://meme-suite.org/tools/meme(accessed on 22 March 2022)), and the maximum number of motifs was set at 10. The structures of the S1fa genes were designed by using the online program GSDS 2.0 (http://gsds.cbi.pku.edu.cn/ (accessed on 22 March 2022)) [29]. The online tool PlantCARE (http://bioinformatics.psb.ugent.be/webtools/plantcare/html/ (accessed on 22 March 2022)) was used to analyze the cis-elements as described previously [28,29,44].
4.4. S1fa Gene Promoter Analysis and miRNA Prediction
The promoter sequences of Chinese cabbage S1fa genes (2000 bp upstream) were obtained from Chinese cabbage genome database (http://brassicadb.cn (accessed on 22 March 2022)). The online tool PlantCARE (https://bioinformatics.psb.ugent.be/webtools/plantcare/html/ (accessed on 22 March 2022)) was used to analyze the cis-elements in the promoter sequence [17]. To predict the miRNAs, the coding sequence of the S1fa genes was submitted to the psRNATarget server (https://www.zhaolab.org/psRNATarget/ (accessed on 22 March 2022)) as the targeted candidate as described previously [32].
4.5. Total RNA Extraction and qRT-PCR Analysis
The total RNA was extracted for Chinese cabbage tissues using TRIzol, while yeast RNA was extracted using the M5 EASYspin yeast RNA rapid extraction kit, MF158-01 (Mei5 Biotechnology, Co., Ltd. Beijing China). For yeast RNA extraction, the cells were grown until the OD600 value reached 0.3 at 28 °C, and then treated with 1 M NaCl for 12 h before the total RNA was harvested [45]. The first-stand cDNA was synthesized using a PrimeScript and RT reagent kit with gDNA Eraser (TAKARA). The SYBR Premix Ex-Taq Kit (TAKARA) was used for quantitative real-time PCR. All experiments were performed with three independent biological replications. The transcript levels were calculated using the 2∆∆-CT method. The TMP values of Chinese cabbage tissues were obtained from the Chinese cabbage database (http://brassicadb.cn (accessed on 22 March 2022)) for each S1fa gene. The primers used for qRT-PCR are presented in Supplementary Table S1.
4.6. Yeast Constructs
To construct the yeast (Saccharomyces cerevisiae) overexpression vectors, the coding sequences of Chinese cabbage genes, Bra034084, Bra003132, Bra029784 and Bra006994, were cloned separately into the pRS-416-GFP vector. The coding sequences of the S1fa genes were amplified from Chinese cabbage cDNA with specific primers (Supplementary Table S1) and then inserted into the SPE1 site on pRS-416-GFP using the infusion cloning kit (Catalog no. 011614; Clontech) [46]. The sequence insertions were confirmed through SANGER sequencing and then used for the investigation of abiotic stress tolerance in yeast. To determine the subcellular localization of the S1fa proteins, the S1fa genes were inserted into pRS-416-GFP. The subcellular localization of the fusion proteins was observed under a Zeiss Axiophot fluorescence microscope as described previously [45].
4.7. Tolerance Assay and Growth Curve
The final pRS-416-GFP vectors cultured in URA medium were diluted until the OD600 value was 0.1, and were incubated again until the OD600 reached 0.3. The cell culture was then five-fold diluted and treated with 75 μM Cd, 75 mM Hg, 100 mM Al, 50 mM Cu, 100 mM Co, 1 M NaCl and 2 M mannitol, respectively, and was incubated at 28 °C for five days [45]. No treatment was added for the control. The cold and heat stresses were applied at 4 °C and 38 °C, respectively, for 2 days before being transferred to a place at 28 °C to for 3 more days. The photos were taken after five days of incubation, and the experiment was repeated three times. The S1fa overexpressing yeast cells without and with the 1 M NaCl treatment were grown at 28 °C in liquid URA culture medium, and diluted until the OD600 value was about 0.1. The cells were incubated again, and when OD600 value reached 0.3, the OD600 was recorded every 2 h to prepare the growth curve of the cells [45].
4.8. Determination of Antioxidant Enzyme Activities and ROS Contents
To determine the antioxidant enzyme activities and ROS contents, the yeast cells were harvested 14 h after the NaCl treatment at 28 °C and stored at −80 °C. The antioxidant enzyme activities and ROS and MDA contents were analyzed using the service provided by Nanjing Ruiyuan Biotechnology company (https://bestofbest.top/).
5. Statistical Analysis
Three independent biological replications were used for each treatment, and the whole experiment was repeated three times. The data were statistically analyzed using an analysis of variance, and compared with the control using the LSD test (p > 0.05) by using the Statistix 8.1 software (https://www.statistix.com/). The Graphpad Prism 5 software was used for graphical presentation.
6. Conclusions
In this study, four S1fa family proteins were identified in Chinese cabbage, and the chromosomal location, structure, phylogenetic tree and physiochemical properties were analyzed, and molecular characterization performed in yeast, to understand their involvement in abiotic stress tolerance. The S1fa proteins have three highly conserved motifs. Moreover, the cis-elements and miRNAs targeting S1fa genes were predicted to understand the regulatory mechanism. The expression patterns of the S1fa gene in different tissues and their responses to abiotic stresses show that these genes may play a significant role in the growth and development of Chinese cabbage. In yeast, Bra034084 and Bra029784 was highly sensitive to salt stresses and might activate the expression of cell wall biosynthesis genes. For the first time, we elucidate the functions of the S1fa genes in Chinese cabbage and confirm their responses to salt stresses. The comprehensive understanding of the physiological and molecular mechanisms of Bra034084 and Bra029784 can serve as an important genetic resource for the improvement in salinity stress tolerance and the yield of Chinese cabbage.
Supplementary Materials
The following supporting information can be downloaded at: https://www.mdpi.com/article/10.3390/antiox11091782/s1, Table S1: Chinese cabbage S1fa family genes cis-elements.
Author Contributions
A.A., J.G. and S.Z. conceived and designed the study. A.A. and S.Z. performed the experiment and wrote the manuscript. L.H., F.W. and L.-X.W. helped to collect the materials and revise the manuscript. J.G. reviewed the manuscript. All authors have read and agreed to the published version of the manuscript.
Funding
This study was supported by the Natural Science Foundation of Shandong Province (ZR2020MC145); the Natural Science Foundation of China (32172591); the Key R & D Program of Shandong Province, China (2019GHZ014); Modern Agricultural Industrial Technology System Funding of Shandong Province, China (SDAIT-02-022-04); Agricultural Science and Technology Innovation Project of SAAS (CXGC2022E08); the Agricultural Science and Technology Innovation Project of SAAS, China (CXGC2022D01).
Institutional Review Board Statement
Not applicable.
Informed Consent Statement
Not applicable.
Data Availability Statement
Not applicable.
Conflicts of Interest
The authors declare no conflict of interest.
References
- Mabuchi, R.; Tanaka, M.; Nakanishi, C.; Takatani, N.; Tanimoto, S. Analysis of Primary Metabolites in Cabbage (Brassica oleracea var. capitata) Varieties Correlated with Antioxidant Activity and Taste Attributes by Metabolic Profiling. Molecules 2019, 24, 4282. [Google Scholar] [CrossRef] [PubMed]
- Gu, M.; Li, N.; Ty, S.; Xh, L.; Brestic, M.; Shao, H.; Li, J.; Rki, S. Accumulation capacity of ions in cabbage (Brassica oleracea L.) supplied with sea water. Plant Soil Environ. 2016, 62, 314–320. [Google Scholar]
- Park, S.; Valan Arasu, M.; Lee, M.K.; Chun, J.H.; Seo, J.M.; Lee, S.W.; Al-Dhabi, N.A.; Kim, S.J. Quantification of glucosinolates, anthocyanins, free amino acids, and vitamin C in inbred lines of cabbage (Brassica oleracea L.). Food Chem. 2014, 145, 77–85. [Google Scholar] [CrossRef] [PubMed]
- Yang, L.; Wu, Y.; Wang, X.; Lv, J.; Tang, Z.; Hu, L.; Luo, S.; Wang, R.; Ali, B.; Yu, J. Physiological Mechanism of Exogenous 5-Aminolevulinic Acid Improved the Tolerance of Chinese Cabbage (Brassica pekinensis L.) to Cadmium Stress. Front. Plant Sci. 2022, 13, 845396. [Google Scholar] [CrossRef] [PubMed]
- Wang, A.; Hu, J.; Gao, C.; Chen, G.; Wang, B.; Lin, C.; Song, L.; Ding, Y.; Zhou, G. Genome-wide analysis of long non-coding RNAs unveils the regulatory roles in the heat tolerance of Chinese cabbage (Brassica rapa ssp. chinensis). Sci. Rep. 2019, 9, 5002. [Google Scholar] [CrossRef]
- Anwar, A.; Kim, J.K. Transgenic Breeding Approaches for Improving Abiotic Stress Tolerance: Recent Progress and Future Perspectives. Int. J. Mol. Sci. 2020, 21, 2695. [Google Scholar] [CrossRef]
- Anwar, A.; Liu, Y.; Dong, R.; Bai, L.; Yu, X.; Li, Y. The physiological and molecular mechanism of brassinosteroid in response to stress: A review. Biol. Res. 2018, 51, 46. [Google Scholar] [CrossRef]
- Gill, S.S.; Tuteja, N. Reactive oxygen species and antioxidant machinery in abiotic stress tolerance in crop plants. Plant Physiol. Biochem 2010, 48, 909–930. [Google Scholar] [CrossRef]
- Jiang, J.; Ma, S.; Ye, N.; Jiang, M.; Cao, J.; Zhang, J. WRKY transcription factors in plant responses to stresses. J. Integr. Plant Biol. 2017, 59, 86–101. [Google Scholar] [CrossRef]
- Yang, Y.; Guo, Y. Unraveling salt stress signaling in plants. J. Integr. Plant Biol. 2018, 60, 796–804. [Google Scholar] [CrossRef]
- Sanz, A.B.; García, R.; Rodríguez-Peña, J.M.; Arroyo, J. The CWI Pathway: Regulation of the Transcriptional Adaptive Response to Cell Wall Stress in Yeast. J. Fungi 2017, 4, 1. [Google Scholar] [CrossRef] [Green Version]
- Lippold, F.; Sanchez, D.H.; Musialak, M.; Schlereth, A.; Scheible, W.R.; Hincha, D.K.; Udvardi, M.K. AtMyb41 regulates transcriptional and metabolic responses to osmotic stress in Arabidopsis. Plant Physiol. 2009, 149, 1761–1772. [Google Scholar] [CrossRef] [PubMed]
- Schmidt, R.; Schippers, J.H.; Mieulet, D.; Obata, T.; Fernie, A.R.; Guiderdoni, E.; Mueller-Roeber, B. MULTIPASS, a rice R2R3-type MYB transcription factor, regulates adaptive growth by integrating multiple hormonal pathways. Plant J. 2013, 76, 258–273. [Google Scholar] [CrossRef] [PubMed]
- Zagorchev, L.; Kamenova, P.; Odjakova, M. The Role of Plant Cell Wall Proteins in Response to Salt Stress. Sci. World J. 2014, 2014, 764089. [Google Scholar] [CrossRef]
- Ambawat, S.; Sharma, P.; Yadav, N.R.; Yadav, R.C. MYB transcription factor genes as regulators for plant responses: An overview. Physiol. Mol. Biol. Plants 2013, 19, 307–321. [Google Scholar] [CrossRef] [PubMed]
- Nuruzzaman, M.; Sharoni, A.M.; Kikuchi, S. Roles of NAC transcription factors in the regulation of biotic and abiotic stress responses in plants. Front. Microbiol. 2013, 4, 248. [Google Scholar] [CrossRef] [PubMed]
- Zhao, H.; Niu, Y.; Dong, H.; Jia, Y.; Wang, Y. Characterization of the Function of Two S1Fa-Like Family Genes From Populus trichocarpa. Front. Plant Sci. 2021, 12, 753099. [Google Scholar] [CrossRef]
- Kim, S.-I.; Lee, K.H.; Kwak, J.S.; Kwon, D.H.; Song, J.T.; Seo, H.S. Overexpression of Rice OsS1Fa1 Gene Confers Drought Tolerance in Arabidopsis. Plants 2021, 10, 2181. [Google Scholar] [CrossRef] [PubMed]
- Zhou, D.X.; Li, Y.F.; Rocipon, M.; Mache, R. Sequence-specific interaction between S1F, a spinach nuclear factor, and a negative cis-element conserved in plastid-related genes. J. Biol. Chem. 1992, 267, 23515–23519. [Google Scholar] [CrossRef]
- Van Zelm, E.; Zhang, Y.; Testerink, C. Salt Tolerance Mechanisms of Plants. Annu. Rev. Plant Biol. 2020, 71, 403–433. [Google Scholar] [CrossRef]
- Choudhury, F.K.; Rivero, R.M.; Blumwald, E.; Mittler, R. Reactive oxygen species, abiotic stress and stress combination. Plant J. 2017, 90, 856–867. [Google Scholar] [CrossRef] [PubMed]
- Wang, C.; Deng, P.; Chen, L.; Wang, X.; Ma, H.; Hu, W.; Yao, N.; Feng, Y.; Chai, R.; Yang, G.; et al. A wheat WRKY transcription factor TaWRKY10 confers tolerance to multiple abiotic stresses in transgenic tobacco. PLoS ONE 2013, 8, e65120. [Google Scholar] [CrossRef] [PubMed]
- Bo, W.; Zhaohui, Z.; Huanhuan, Z.; Xia, W.; Binglin, L.; Lijia, Y.; Xiangyan, H.; Deshui, Y.; Xuelian, Z.; Chunguo, W.; et al. Targeted Mutagenesis of NAC Transcription Factor Gene, OsNAC041, Leading to Salt Sensitivity in Rice. Rice Sci. 2019, 26, 98–108. [Google Scholar] [CrossRef]
- Ohnishi, T.; Sugahara, S.; Yamada, T.; Kikuchi, K.; Yoshiba, Y.; Hirano, H.Y.; Tsutsumi, N. OsNAC6, a member of the NAC gene family, is induced by various stresses in rice. Genes Genet. Syst. 2005, 80, 135–139. [Google Scholar] [CrossRef]
- Wei, Z.-Z.; Hu, K.-D.; Zhao, D.-L.; Tang, J.; Huang, Z.-Q.; Jin, P.; Li, Y.-H.; Han, Z.; Hu, L.-Y.; Yao, G.-F.; et al. MYB44 competitively inhibits the formation of the MYB340-bHLH2-NAC56 complex to regulate anthocyanin biosynthesis in purple-fleshed sweet potato. BMC Plant Biol. 2020, 20, 258. [Google Scholar] [CrossRef]
- Quan, X.; Liu, J.; Zhang, N.; Xie, C.; Li, H.; Xia, X.; He, W.; Qin, Y. Genome-Wide Association Study Uncover the Genetic Architecture of Salt Tolerance-Related Traits in Common Wheat (Triticum aestivum L.). Front. Genet. 2021, 12, 663941. [Google Scholar] [CrossRef] [PubMed]
- Wang, Y.; Zhang, Y.; Zhou, R.; Dossa, K.; Yu, J.; Li, D.; Liu, A.; Mmadi, M.A.; Zhang, X.; You, J. Identification and characterization of the bZIP transcription factor family and its expression in response to abiotic stresses in sesame. PLoS ONE 2018, 13, e0200850. [Google Scholar] [CrossRef]
- Liu, H.; Wang, Y.X.; Li, H.; Teng, R.M.; Wang, Y.; Zhuang, J. Genome-Wide Identification and Expression Analysis of Calcineurin B-Like Protein and Calcineurin B-Like Protein-Interacting Protein Kinase Family Genes in Tea Plant. DNA Cell Biol. 2019, 38, 824–839. [Google Scholar] [CrossRef] [PubMed]
- Li, S.; Miao, L.; Huang, B.; Gao, L.; He, C.; Yan, Y.; Wang, J.; Yu, X.; Li, Y. Genome-Wide Identification and Characterization of Cucumber BPC Transcription Factors and Their Responses to Abiotic Stresses and Exogenous Phytohormones. Int J Mol Sci 2019, 20, 5048. [Google Scholar] [CrossRef]
- Liu, Q.-L.; Xu, K.-D.; Pan, Y.-Z.; Jiang, B.-B.; Liu, G.-L.; Jia, Y.; Zhang, H.-Q. Functional Analysis of a Novel Chrysanthemum WRKY Transcription Factor Gene Involved in Salt Tolerance. Plant Mol. Biol. Rep. 2014, 32, 282–289. [Google Scholar] [CrossRef]
- Marand, A.P.; Schmitz, R.J. Single-cell analysis of cis-regulatory elements. Curr. Opin. Plant Biol. 2022, 65, 102094. [Google Scholar] [CrossRef] [PubMed]
- Davoudi, M.; Chen, J.; Lou, Q. Genome-Wide Identification and Expression Analysis of Heat Shock Protein 70 (HSP70) Gene Family in Pumpkin (Cucurbita moschata) Rootstock under Drought Stress Suggested the Potential Role of these Chaperones in Stress Tolerance. Int. J. Mol. Sci. 2022, 23, 1918. [Google Scholar] [CrossRef] [PubMed]
- Schmitz, R.J.; Grotewold, E.; Stam, M. Cis-regulatory sequences in plants: Their importance, discovery, and future challenges. Plant Cell 2022, 34, 718–741. [Google Scholar] [CrossRef] [PubMed]
- Miao, Y.; Chen, K.; Deng, J.; Zhang, L.; Wang, W.; Kong, J.; Klosterman, S.J.; Zhang, X.; Aierxi, A.; Zhu, L. miR398b negatively regulates cotton immune responses to Verticillium dahliae via multiple targets. Crop J. 2022, 10, 1026–1036. [Google Scholar] [CrossRef]
- Cui, C.; Wang, J.J.; Zhao, J.H.; Fang, Y.Y.; He, X.F.; Guo, H.S.; Duan, C.G. A Brassica miRNA Regulates Plant Growth and Immunity through Distinct Modes of Action. Mol. Plant 2020, 13, 231–245. [Google Scholar] [CrossRef]
- Collin, A.; Daszkowska-Golec, A.; Szarejko, I. Updates on the Role of ABSCISIC ACID INSENSITIVE 5 (ABI5) and ABSCISIC ACID-RESPONSIVE ELEMENT BINDING FACTORs (ABFs) in ABA Signaling in Different Developmental Stages in Plants. Cells 2021, 10, 1996. [Google Scholar] [CrossRef]
- Nath, M.; Bhatt, D.; Jain, A.; Saxena, S.C.; Saifi, S.K.; Yadav, S.; Negi, M.; Prasad, R.; Tuteja, N. Salt stress triggers augmented levels of Na+, Ca2+ and ROS and alter stress-responsive gene expression in roots of CBL9 and CIPK23 knockout mutants of Arabidopsis thaliana. Environ. Exp. Bot. 2019, 161, 265–276. [Google Scholar] [CrossRef]
- Zhang, H.-f.; Liu, S.-y.; Ma, J.-h.; Wang, X.-k.; Haq, S.U.; Meng, Y.-c.; Zhang, Y.-m.; Chen, R.-g. CaDHN4, a Salt and Cold Stress-Responsive Dehydrin Gene from Pepper Decreases Abscisic Acid Sensitivity in Arabidopsis. Int. J. Mol. Sci. 2020, 21, 26. [Google Scholar] [CrossRef]
- Gerik, K.J.; Donlin, M.J.; Soto, C.E.; Banks, A.M.; Banks, I.R.; Maligie, M.A.; Selitrennikoff, C.P.; Lodge, J.K. Cell wall integrity is dependent on the PKC1 signal transduction pathway in Cryptococcus neoformans. Mol. Microbiol. 2005, 58, 393–408. [Google Scholar] [CrossRef]
- He, Y.; Chen, Y.; Song, W.; Zhu, L.; Dong, Z.; Ow, D.W. A Pap1–Oxs1 signaling pathway for disulfide stress in Schizosaccharomyces pombe. Nucleic Acids Res. 2017, 45, 106–114. [Google Scholar] [CrossRef]
- Techo, T.; Charoenpuntaweesin, S.; Auesukaree, C. Involvement of the Cell Wall Integrity Pathway of Saccharomyces cerevisiae in Protection against Cadmium and Arsenate Stresses. Appl. Environ. Microbiol. 2020, 86, e01339-20. [Google Scholar] [CrossRef]
- Zhang, Y.; Li, J.; Zhou, D.; Song, J.; Gao, J. Nitrogen Uptake and Distribution in Different Chinese Cabbage Genotypes under Low Nitrogen Stress. Int. J. Mol. Sci. 2022, 23, 1573. [Google Scholar] [CrossRef] [PubMed]
- Ying, S.; Zhang, D.F.; Fu, J.; Shi, Y.S.; Song, Y.C.; Wang, T.Y.; Li, Y. Cloning and characterization of a maize bZIP transcription factor, ZmbZIP72, confers drought and salt tolerance in transgenic Arabidopsis. Planta 2012, 235, 253–266. [Google Scholar] [CrossRef] [PubMed]
- Ma, W.; Ren, Z.; Zhou, Y.; Zhao, J.; Zhang, F.; Feng, J.; Liu, W.; Ma, X. Genome-Wide Identification of the Gossypium hirsutum NHX Genes Reveals that the Endosomal-Type GhNHX4A is Critical for the Salt Tolerance of Cotton. Int. J. Mol. Sci. 2020, 21, 7712. [Google Scholar] [CrossRef] [PubMed]
- Jing, Y.; Shi, L.; Li, X.; Zheng, H.; Gao, J.; Wang, M.; He, L.; Zhang, W. OXS2 is Required for Salt Tolerance Mainly through Associating with Salt Inducible Genes, CA1 and Araport11, in Arabidopsis. Sci. Rep. 2019, 9, 20341. [Google Scholar] [CrossRef] [PubMed]
- He, L.; Jing, Y.; Shen, J.; Li, X.; Liu, H.; Geng, Z.; Wang, M.; Li, Y.; Chen, D.; Gao, J.; et al. Mitochondrial Pyruvate Carriers Prevent Cadmium Toxicity by Sustaining the TCA Cycle and Glutathione Synthesis. Plant Physiol. 2019, 180, 198–211. [Google Scholar] [CrossRef] [Green Version]
Publisher’s Note: MDPI stays neutral with regard to jurisdictional claims in published maps and institutional affiliations. |
© 2022 by the authors. Licensee MDPI, Basel, Switzerland. This article is an open access article distributed under the terms and conditions of the Creative Commons Attribution (CC BY) license (https://creativecommons.org/licenses/by/4.0/).













