Stabilization of PE with Pomegranate Extract: Contradictions and Possible Mechanisms
Abstract
:1. Introduction
2. Materials and Methods
2.1. Materials
2.2. Sample Preparation
2.3. Characterization
3. Results
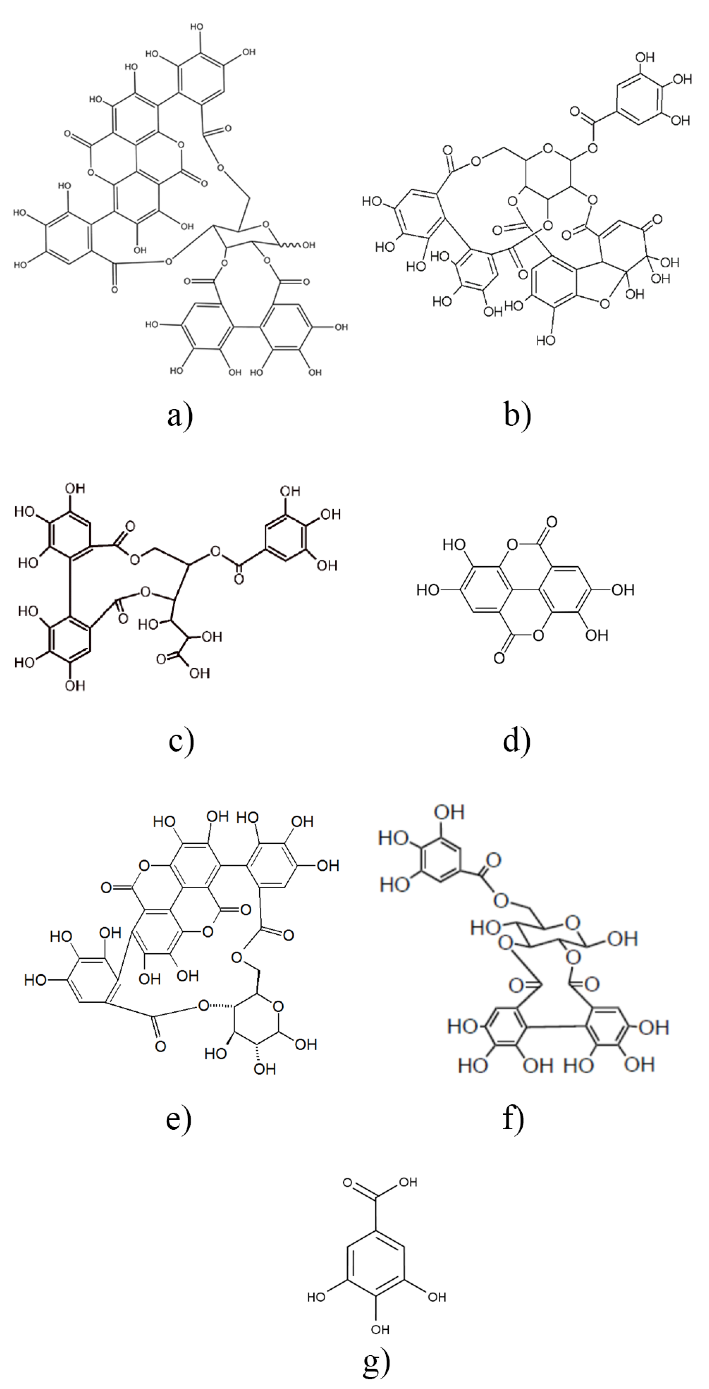
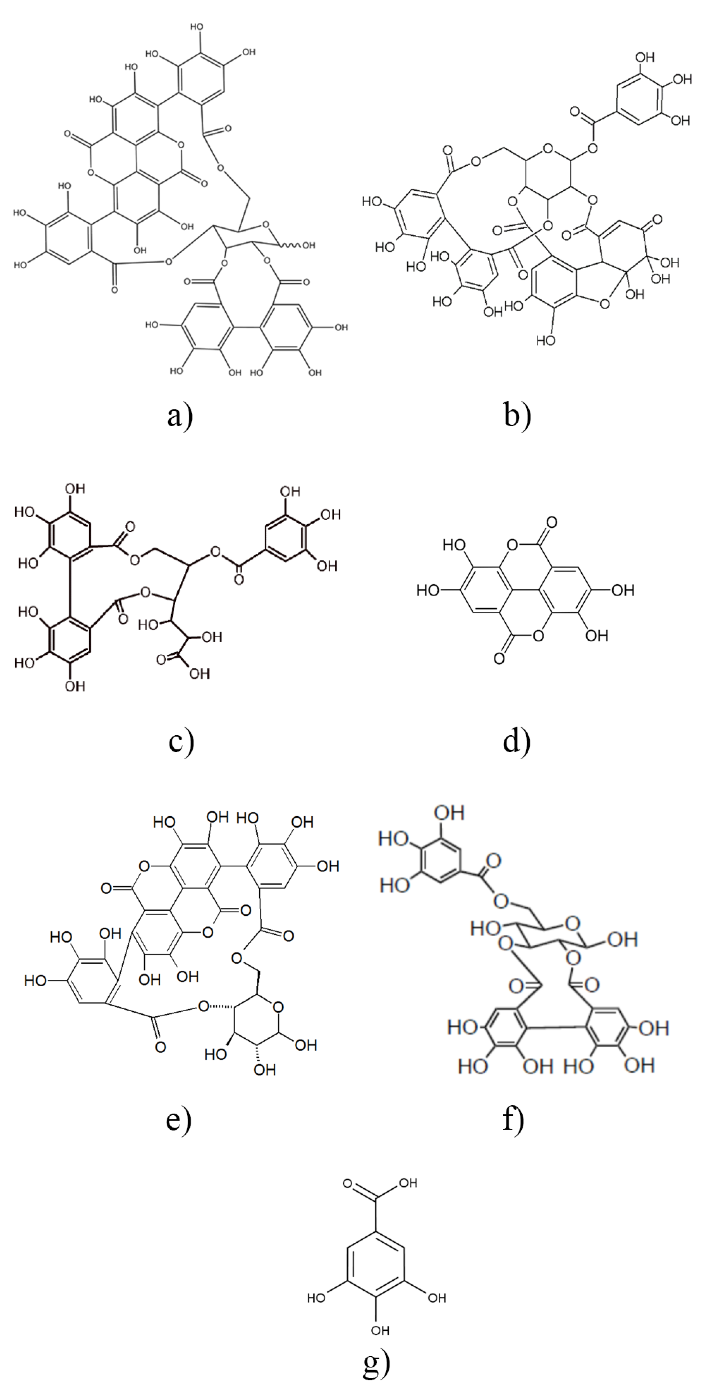
3.1. Composition, Main Components, and Activity
3.2. The Controversy
3.3. Composition Dependence
3.4. Structure, Solubility, Interactions
4. Discussion
5. Conclusions
Author Contributions
Funding
Institutional Review Board Statement
Informed Consent Statement
Data Availability Statement
Conflicts of Interest
References
- Kirschweng, B.; Tátraaljai, D.; Földes, E.; Pukánszky, B. Natural antioxidants as stabilizers for polymers. Polym. Degrad. Stab. 2017, 145, 25–40. [Google Scholar] [CrossRef] [Green Version]
- Samper, M.; Fages, E.; Fenollar, O.; Boronat, T.; Balart, R. The potential of flavonoids as natural antioxidants and UV light stabilizers for polypropylene. J. Appl. Polym. Sci. 2013, 129, 1707–1716. [Google Scholar] [CrossRef]
- Kirschweng, B.; Bencze, K.; Sárközi, M.; Hégely, B.; Samu, G.; Hári, J.; Tátraaljai, D.; Földes, E.; Kállay, M.; Pukánszky, B. Melt stabilization of polyethylene with dihydromyricetin, a natural antioxidant. Polym. Degrad. Stab. 2016, 133, 192–200. [Google Scholar] [CrossRef] [Green Version]
- Tátraaljai, D.; Földes, E.; Pukánszky, B. Efficient melt stabilization of polyethylene with quercetin, a flavonoid type natural antioxidant. Polym. Degrad. Stab. 2014, 102, 41–48. [Google Scholar] [CrossRef] [Green Version]
- Kirschweng, B.; Vörös, B.; Tátraaljai, D.; Zsuga, M.; Földes, E.; Pukánszky, B. Natural antioxidants as melt stabilizers for PE: Comparison of silymarin and quercetin. Eur. Polym. J. 2017, 90, 456–466. [Google Scholar] [CrossRef] [Green Version]
- Tátraaljai, D.; Major, L.; Földes, E.; Pukánszky, B. Study of the effect of natural antioxidants in polyethylene: Performance of β-carotene. Polym. Degrad. Stab. 2014, 102, 33–40. [Google Scholar] [CrossRef] [Green Version]
- Al-Malaika, S.; Ashley, H.; Issenhuth, S. The antioxidant role of α-tocopherol in polymers. I. The nature of transformation products of α-tocopherol formed during melt processing of LDPE. J. Polym. Sci. A Polym. Chem. 1994, 32, 3099–3113. [Google Scholar] [CrossRef]
- Al-Malaika, S.; Goodwin, C.; Issenhuth, S.; Burdick, D. The antioxidant role of α-tocopherol in polymers II. Melt stabilising effect in polypropylene. Polym. Degrad. Stab. 1999, 64, 145–156. [Google Scholar] [CrossRef]
- Al-Malaika, S.; Issenhuth, S. Antioxidant role of α-tocopherol in polymers. III. Nature of transformation products during polyolefins extrusion. Polym. Degrad. Stab. 1999, 65, 143–151. [Google Scholar] [CrossRef]
- Chodák, I.; Brezny, R.; Rychla, L. Blends of polypropylene with lignin. 1. Influence of a lignin addition on cross-linking and thermooxidation stability of polypropylene. Chem. Pap. 1986, 40, 461–470. [Google Scholar]
- Levon, K.; Huhtala, J.; Malm, B.; Lindberg, J.J. Improvement of the thermal stabilization of polyethylene with lignosulphonate. Polymer 1987, 28, 745–750. [Google Scholar] [CrossRef]
- Kosikova, B.; Kacurakova, M.; Demianova, V. Photooxidation of the composite lignin/polypropylene films. Chem. Pap. 1993, 47, 132–136. [Google Scholar]
- Akhtar, S.; Ismail, T.; Fraternale, D.; Sestili, P. Pomegranate peel and peel extracts: Chemistry and food features. Food Chem. 2015, 174, 417–425. [Google Scholar] [CrossRef]
- Singh, B.; Singh, J.P.; Kaur, A.; Singh, N. Phenolic compounds as beneficial phytochemicals in pomegranate (Punica granatum L.) peel: A review. Food Chem. 2018, 261, 75–86. [Google Scholar] [CrossRef]
- Ambigaipalan, P.; de Camargo, A.C.; Shahidi, F. Phenolic Compounds of Pomegranate Byproducts (Outer Skin, Mesocarp, Divider Membrane) and Their Antioxidant Activities. J. Agric. Food Chem. 2016, 64, 6584–6604. [Google Scholar] [CrossRef] [PubMed]
- Fischer, U.A.; Carle, R.; Kammerer, D.R. Identification and quantification of phenolic compounds from pomegranate (Punica granatum L.) peel, mesocarp, aril and differently produced juices by HPLC-DAD–ESI/MSn. Food Chem. 2011, 127, 807–821. [Google Scholar] [CrossRef]
- Zarfeshany, A.; Asgary, S.; Javanmard, S.H. Potent health effects of pomegranate. Adv. Biomed. Res. 2014, 3, 100. [Google Scholar] [CrossRef]
- Bassiri-Jahromi, S. Punica granatum (Pomegranate) activity in health promotion and cancer prevention. Oncol. Rev. 2018, 12, 345. [Google Scholar] [CrossRef]
- Li, R.; Chen, X.G.; Jia, K.; Liu, Z.P.; Peng, H.Y. A systematic determination of polyphenols constituents and cytotoxic ability in fruit parts of pomegranates derived from five Chinese cultivars. SpringerPlus 2016, 5, 914. [Google Scholar] [CrossRef] [Green Version]
- Xia, H.; Sui, K.; Ge, T.; Wu, F.; Sun, Q.; Wang, Z.; Song, L.; Huang, X.; Yu, Q. Natural compounds from Punica granatum peel as multiple stabilizers for polyethylene. Polym. Eng. Sci. 2020, 60, 2761–2769. [Google Scholar] [CrossRef]
- Tátraaljai, D.; Tang, Y.; Pregi, E.; Vági, E.; Pukánszky, B. Pomegranate extract for the processing stabilization of polyethylene. J. Vinyl Addit. Technol. 2021, 1–10. [Google Scholar] [CrossRef]
- Molyneux, P. The use of the stable free radical diphenylpicrylhydrazyl (DPPH) for estimating antioxidant activity. Songklanakarin J. Sci. Technol. 2004, 26, 211–219. [Google Scholar]
- Singleton, V.L.; Orthofer, R.; Lamuela-Raventós, R.M. Analysis of total phenols and other oxidation substrates and antioxidants by means of Folin-Ciocalteu reagent. Methods Enzymol. 1999, 299, 152–178. [Google Scholar] [CrossRef]
- Lu, J.; Ding, K.; Yuan, Q. Determination of Punicalagin Isomers in Pomegranate Husk. Chromatographia 2008, 68, 303–306. [Google Scholar] [CrossRef] [Green Version]
- Peršurić, Ž.; Saftić Martinović, L.; Malenica, M.; Gobin, I.; Pedisić, S.; Dragović-Uzelac, V.; Kraljević Pavelić, S. Assessment of the Biological Activity and Phenolic Composition of Ethanol Extracts of Pomegranate (Punica granatum L.) Peels. Molecules 2020, 25, 5916. [Google Scholar] [CrossRef]
- Oudane, B.; Boudemagh, D.; Bounekhel, M.; Sobhi, W.; Vidal, M.; Broussy, S. Isolation, characterization, antioxidant activity, and protein-precipitating capacity of the hydrolyzable tannin punicalagin from pomegranate yellow peel (Punica granatum). J. Mol. Struct. 2018, 1156, 390–396. [Google Scholar] [CrossRef]
- Abid, M.; Yaich, H.; Cheikhrouhou, S.; Khemakhem, I.; Bouaziz, M.; Attia, H.; Ayadi, M.A. Antioxidant properties and phenolic profile characterization by LC–MS/MS of selected Tunisian pomegranate peels. J. Food Sci. Technol. 2017, 54, 2890–2901. [Google Scholar] [CrossRef]
- Feng, L.; Yin, Y.; Fang, Y.; Yang, X. Quantitative Determination of Punicalagin and Related Substances in Different Parts of Pomegranate. Food Anal. Methods 2017, 10, 3600–3606. [Google Scholar] [CrossRef]
- Khalil, A.A. In vitro antioxidant activity and punicalagin content quantification of pomegranate peel obtained as agro-waste after juice extraction. Pak. J. Agric. Sci. 2018, 55, 197–201. [Google Scholar] [CrossRef]
- Sabraoui, T.; Khider, T.; Nasser, B.; Eddoha, R.; Moujahid, A.; Benbachir, M.; Essamadi, A. Determination of Punicalagins Content, Metal Chelating, and Antioxidant Properties of Edible Pomegranate (Punica granatum L) Peels and Seeds Grown in Morocco. Int. J. Food Sci. 2020, 2020, 8885889. [Google Scholar] [CrossRef]
- Rongai, D.; Pulcini, P.; Di Lernia, G.; Nota, P.; Preka, P.; Milano, F. Punicalagin Content and Antifungal Activity of Different Pomegranate (Punica granatum L.) Genotypes. Horticulturae 2019, 5, 52. [Google Scholar] [CrossRef] [Green Version]
- Çam, M.; Hışıl, Y. Pressurised water extraction of polyphenols from pomegranate peels. Food Chem. 2010, 123, 878–885. [Google Scholar] [CrossRef]
- Hoàng, E.M.; Allen, N.S.; Liauw, C.M.; Fontán, E.; Lafuente, P. The thermo-oxidative degradation of metallocene polyethylenes: Part 2: Thermal oxidation in the melt state. Polym. Degrad. Stab. 2006, 91, 1363–1372. [Google Scholar] [CrossRef]
- Kriston, I.; Orbán-Mester, Á.; Nagy, G.; Staniek, P.; Földes, E.; Pukánszky, B. Melt stabilisation of Phillips type polyethylene, Part I: The role of phenolic and phosphorous antioxidants. Polym. Degrad. Stab. 2009, 94, 719–729. [Google Scholar] [CrossRef]
- Holmström, A.; Sörvik, E.M. Thermal degradation of polyethylene in a nitrogen atmosphere of low oxygen content. II. Structural changes occuring in low-density polyethylene at an oxygen content less than 0.0005%. J. Appl. Polym. Sci. 1974, 18, 761–778. [Google Scholar] [CrossRef]
- Epacher, E.; Tolvéth, J.; Kröhnke, C.; Pukánszky, B. Processing stability of high density polyethylene: Effect of adsorbed and dissolved oxygen. Polymer 2000, 41, 8401–8408. [Google Scholar] [CrossRef]
- Bravo, A.; Hotchkiss, J. Identification of volatile compounds resulting from the thermal oxidation of polyethylene. J. Appl. Polym. Sci. 1993, 47, 1741–1748. [Google Scholar] [CrossRef]
- Zweifel, H. Stabilization of Polymeric Materials, 1st ed.; Springer: Berlin, Germany, 1998; pp. 1–42. [Google Scholar] [CrossRef]
- Pushpa, S.; Goonetilleke, P.; Billingham, N. Solubility of antioxidants in rubber. Rubber Chem. Technol. 1996, 69, 885–896. [Google Scholar] [CrossRef]
- Swinehart, D.F. The Beer-Lambert Law. J. Chem. Educ. 1962, 39, 333. [Google Scholar] [CrossRef]
- Webber, T.G. Coloring of Plastics, 1st ed.; John Wiley & Sons: New York, NY, USA; Chichester, UK; Brisbane, Australia; Toronto, ON, Canada, 1979; pp. 1–36. [Google Scholar]
- Denisov, E. (Ed.) Handbook of Antioxidants, 1st ed.; CRC Press: Boca Raton, FL, USA, 1995; pp. 1–10. [Google Scholar]
- Catalina, F.; Peinado, C.; Allen, N.S.; Corrales, T. Chemiluminescence of polyethylene: The comparative antioxidant effectiveness of phenolic stabilizers in low-density polyethylene. J. Polym. Sci. A Polym. Chem. 2002, 40, 3312–3326. [Google Scholar] [CrossRef]
- Allen, N.S.; Edge, M. Perspectives on additives for polymers. 1. Aspects of stabilization. J. Vinyl Addit. Technol. 2021, 27, 5–27. [Google Scholar] [CrossRef]













| Author | Solvent | Extract | Ref. | |
|---|---|---|---|---|
| Components (a) | Amount (b) (mg/g) | |||
| Fisher, U.A. | MeOH/water | punicalagin (a) | 15.5 | [16] |
| granatin B (b) | 4.4 | |||
| galloyl-HHDP-glucose (c) | 3.8 | |||
| Li, R. | MeOH/EtOH/ acetone/water | punicalagin | 62.0–103.6 | [19] |
| ellagic acid (d) | 2.7–7.1 | |||
| punicalin (e) | 1.7–3.9 | |||
| Lu, J. | EtOH/water | punicalagin | 39.8–120.5 | [24] |
| Prešurić, Ž. | EtOH/water/ formic acid | punicalagin | n.a. | [25] |
| granatin | ||||
| Oudane, B. | MeOH | punicalagin | 105.8 | [26] |
| Abid, M. | water EtOH, acetone | punicalagin | n.a. | [27] |
| galloyl-HHDP-hexoside (f) | ||||
| granatin B | ||||
| Feng, L. | EtAc | punicalagin | 138.2 | [28] |
| gallic acid (g) | 18.5 | |||
| ellagic acid | 12.7 | |||
| Khalil, A.A. | MeOH | punicalagin | 110.0 | [29] |
| EtOH | 96.5 | |||
| EtAc | 88.7 | |||
| Sabraoui, T. | MeOH | punicalagin | 121.7–196.8 | [30] |
| Rongai, D. | water/EtOH | punicalagin | 1.6–476.0 | [31] |
| Çam, M. | pressurized water | punicalagin | 116.6 | [32] |
| Tátraaljai, D. | acetone | punicalagin | 79 ± 5.2 | this work |
| ellagic acid | 15.3 ± 0.002 | |||
Publisher’s Note: MDPI stays neutral with regard to jurisdictional claims in published maps and institutional affiliations. |
© 2022 by the authors. Licensee MDPI, Basel, Switzerland. This article is an open access article distributed under the terms and conditions of the Creative Commons Attribution (CC BY) license (https://creativecommons.org/licenses/by/4.0/).
Share and Cite
Tátraaljai, D.; Tang, Y.; Pregi, E.; Vági, E.; Horváth, V.; Pukánszky, B. Stabilization of PE with Pomegranate Extract: Contradictions and Possible Mechanisms. Antioxidants 2022, 11, 418. https://doi.org/10.3390/antiox11020418
Tátraaljai D, Tang Y, Pregi E, Vági E, Horváth V, Pukánszky B. Stabilization of PE with Pomegranate Extract: Contradictions and Possible Mechanisms. Antioxidants. 2022; 11(2):418. https://doi.org/10.3390/antiox11020418
Chicago/Turabian StyleTátraaljai, Dóra, Yun Tang, Emese Pregi, Erika Vági, Viola Horváth, and Béla Pukánszky. 2022. "Stabilization of PE with Pomegranate Extract: Contradictions and Possible Mechanisms" Antioxidants 11, no. 2: 418. https://doi.org/10.3390/antiox11020418
APA StyleTátraaljai, D., Tang, Y., Pregi, E., Vági, E., Horváth, V., & Pukánszky, B. (2022). Stabilization of PE with Pomegranate Extract: Contradictions and Possible Mechanisms. Antioxidants, 11(2), 418. https://doi.org/10.3390/antiox11020418

