Alpha-Tocopherol Metabolites (The Vitamin E Metabolome) and Their Interindividual Variability during Supplementation
Abstract
1. Introduction
2. Materials and Methods
2.1. Study Design
2.2. Reagents and Standards
2.3. Sample Preparation for Analysis of Tocopherol, PUFAs, and Their Metabolites
2.4. LC-MS/MS Analysis
2.5. Immunoblot
2.6. Statistical Analysis
3. Results
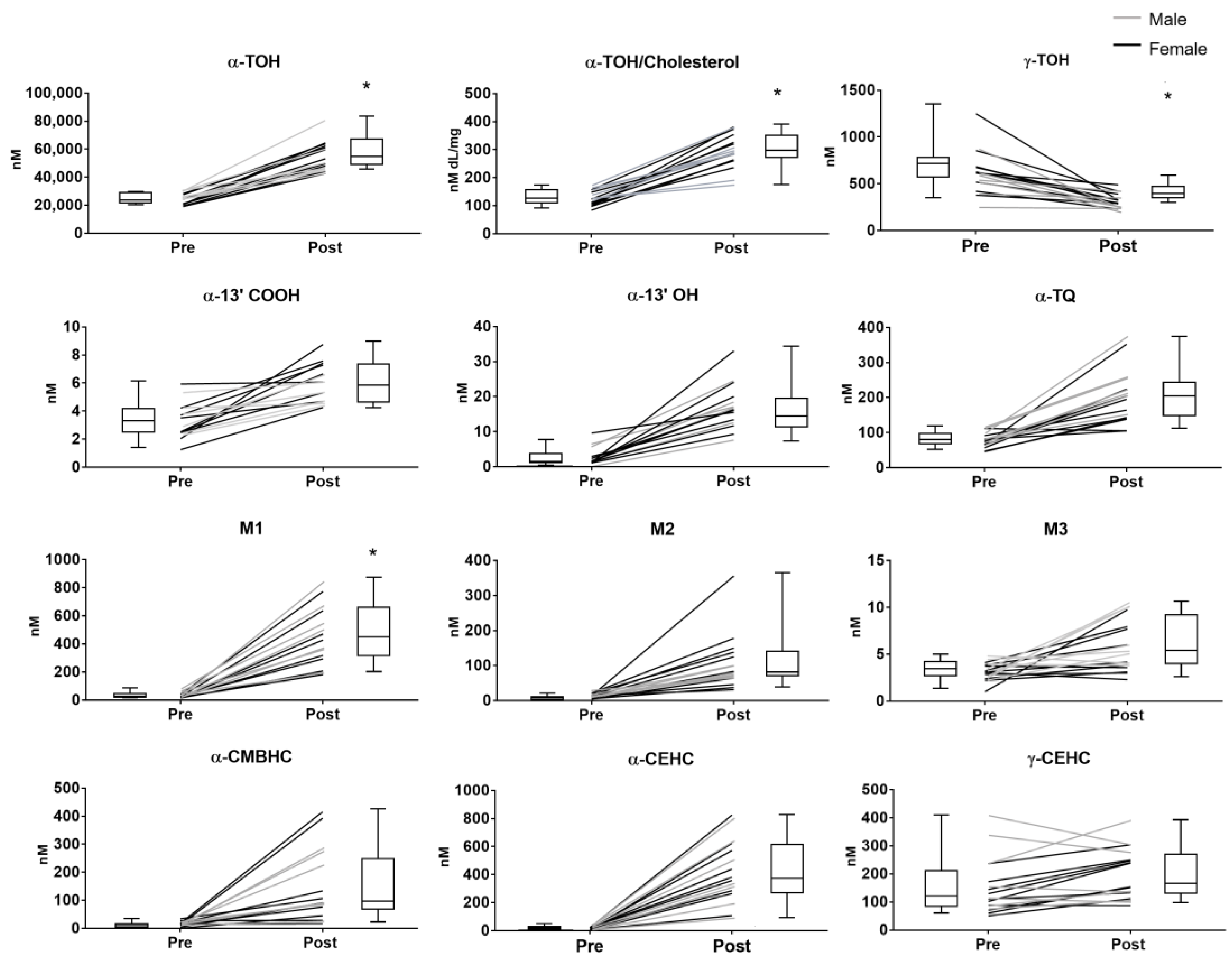
3.1. Levels and Interindividual Variability of α-Tocopherol, γ-Tocopherol and Their Metabolites
3.2. Confounding Variables and Correlations
3.3. PUFA Analysis
3.4. Molecular Studies
4. Discussion
5. Conclusions
Supplementary Materials
Author Contributions
Funding
Institutional Review Board Statement
Informed Consent Statement
Data Availability Statement
Acknowledgments
Conflicts of Interest
Abbreviations
| CEHC | 2-(20 carboxyethyl)-6-hydroxychromans |
| CMBHC | 2,7,8-trimethyl-2-(δ-carboxymethylbutyl)-6-hydroxychroman |
| LC-MS/MS | liquid chromatography/tandem mass spectrometry, |
| LCM | Long-chain metabolites, |
| VE | Vitamin E |
| PBML | Peripheral blood mononuclear cells Leukocyte, |
| PXR | pregnane X receptor |
| PUFA | Polyunsaturated fatty acids |
| SCMs | short chain metabolites |
| TOH | tocopherol |
| α-TTP | α-TOH transport protein |
References
- Azzi, A. Tocopherols, tocotrienols and tocomonoenols: Many similar molecules but only one vitamin E. Redox Biol. 2019, 26, 101259. [Google Scholar] [CrossRef] [PubMed]
- Buettner, G. The Pecking Order of Free Radicals and Antioxidants: Lipid Peroxidation, α-Tocopherol, and Ascorbate. Arch. Biochem. Biophys. 1993, 300, 535–543. [Google Scholar] [CrossRef] [PubMed]
- Vivekananthan, D.P.; Penn, M.S.; Sapp, S.K.; Hsu, A.; Topol, E.J. Use of antioxidant vitamins for the prevention of cardiovascular disease: Meta-analysis of randomised trials. Lancet 2003, 361, 2017–2023. [Google Scholar] [CrossRef]
- Azzi, A. Many tocopherols, one vitamin E. Mol. Asp. Med. 2018, 61, 92–103. [Google Scholar] [CrossRef]
- Galli, F.; Azzi, A.; Birringer, M.; Cook-Mills, J.M.; Eggersdorfer, M.; Frank, J.; Cruciani, G.; Lorkowski, S.; Ozer, N.K. Vitamin E: Emerging aspects and new directions. Free Radic. Biol. Med. 2017, 102, 16–36. [Google Scholar] [CrossRef]
- Roxborough, H.E.; Burton, G.W.; Kelly, F. Inter- and intra-individual variation in plasma and red blood cell vitamin E after supplementation. Free Radic. Res. 2000, 33, 437–445. [Google Scholar] [CrossRef]
- Galmés, S.; Serra, F.; Palou, A. Vitamin E Metabolic Effects and Genetic Variants: A Challenge for Precision Nutrition in Obesity and Associated Disturbances. Nutrition 2018, 10, 1919. [Google Scholar] [CrossRef]
- Griffiths, H.R. Biomarkers. Mol. Asp. Med. 2002, 23, 101–208. [Google Scholar] [CrossRef]
- Dieber-Rotheneder, M.; Puhl, H.; Waeg, G.; Striegl, G.; Esterbauer, H. Effect of oral supplementation with D-alpha-tocopherol on the vitamin E content of human low density lipoproteins and resistance to oxidation. J. Lipid Res. 1991, 32, 1325–1332. [Google Scholar] [CrossRef]
- Robinson, I.; De Serna, D.G.; Gutierrez, A.; Schade, D.S. Vitamin E in Humans: An Explanation Of Clinical Trial Failure. Endocr. Pr. 2006, 12, 576–582. [Google Scholar] [CrossRef]
- Khadangi, F.; Azzi, A. Vitamin E—The Next 100 Years. IUBMB Life 2019, 71, 411–415. [Google Scholar] [CrossRef] [PubMed]
- Stocker, A.; Zimmer, S.; Sarbolouki, M.N.; Spycher, S.E.; Sassoon, J.; Azzi, A. A Novel Human Tocopherol-associated Protein: Cloning, in-Vitro Expression and Characterization. Biochem. Soc. Trans. 2000, 28, A252. [Google Scholar] [CrossRef]
- Wright, M.E.; Peters, U.; Gunter, M.J.; Moore, S.C.; Lawson, K.A.; Yeager, M.; Weinstein, S.J.; Snyder, K.; Virtamo, J.; Albanes, D. Association of Variants in Two Vitamin E Transport Genes with Circulating Vitamin E Concentrations and Prostate Cancer Risk. Cancer Res. 2009, 69, 1429–1438. [Google Scholar] [CrossRef]
- Sontag, T.J.; Parker, R.S. Cytochrome P450 omega-hydroxylase pathway of tocopherol catabolism. Novel mechanism of regulation of vitamin E status. J. Biol. Chem. 2002, 277, 25290–25296. [Google Scholar] [CrossRef]
- Birringer, M.; Drogan, D.; Brigelius-Flohé, R. Tocopherols are metabolized in HepG2 cells by side chain omega-oxidation and consecutive beta-oxidation. Free. Radic. Biol. Med. 2001, 31, 226–232. [Google Scholar] [CrossRef]
- Döring, F.; Rimbach, G.; Lodge, J.K. In Silico Search for Single Nucleotide Polymorphisms in Genes Important in Vitamin E Homeostasis. IUBMB Life 2004, 56, 615–620. [Google Scholar] [CrossRef] [PubMed]
- Plant, N.J. The human cytochrome P450 sub-family: Transcriptional regulation, inter-individual variation and interaction networks. Biochim. Biophys. Acta Gen. Subj. 2007, 1770, 478–488. [Google Scholar] [CrossRef] [PubMed]
- Gibson, G.G.; Plant, N.J.; Swales, K.E.; Ayrton, A.; El-Sankary, W. Receptor-dependent transcriptional activation of cytochrome P4503A genes: In-duction mechanisms, species differences and interindividual variation in man. Xenobiotica 2002, 32, 165–206. [Google Scholar] [CrossRef] [PubMed]
- Traber, M.G. Vitamin E, nuclear receptors and xenobiotic metabolism. Arch. Biochem. Biophys. 2004, 423, 6–11. [Google Scholar] [CrossRef]
- Lee, R.; Kelly, F.J. Quantification of urinary metabolites of alpha-tocopherol and gamma-tocopherol in normal European subjects. Free Radic. Biol. Med. 1999, 27, 333–340. [Google Scholar]
- Kelly, F.; Lee, R.; Mudway, I.S. Inter- and Intra-Individual Vitamin E Uptake in Healthy Subjects Is Highly Repeatable across a Wide Supplementation Dose Range. Ann. N. Y. Acad. Sci. 2004, 1031, 22–39. [Google Scholar] [CrossRef] [PubMed]
- Galli, F.; Lee, R.; Atkinson, J.; Floridi, A.; Kelly, F.J. Gamma-tocopherol biokinetics and transformation in humans. Free Radic. Res. 2003, 37, 1225–1233. [Google Scholar] [CrossRef] [PubMed]
- Torquato, P.; Giusepponi, D.; Galarini, R.; Bartolini, D.; Piroddi, M.; Galli, F. Analysis of Vitamin E Metabolites. In Vitamin E: Chemistry and Nutritional Benefits; Niki, E., Ed.; The Royal Society of Chemistry: London, UK, 2019. [Google Scholar]
- Galli, F.; Polidori, M.C.; Stahl, W.; Mecocci, P.; Kelly, F.J. Vitamin E Biotransformation in Humans. Vitam. Horm. 2007, 76, 263–280. [Google Scholar] [PubMed]
- Mazzini, F.; Betti, M.; Netscher, T.; Galli, F.; Salvadori, P. Configuration of the vitamin E analogue garcinoic acid extracted from garcinia kola seeds. Chirality 2009, 21, 519–524. [Google Scholar] [CrossRef] [PubMed]
- Torquato, P.; Marinelli, R.; Bartolini, D.; Giusepponi, D.; Cruciani, G.; Siragusa, L.; Galarini, R.; Sebastiani, B.; Gioiello, A.; Galli, F. Vitamin E: Metabolism and Molecular Aspects. In Molecular Nutrition: Vitamins; Patel, V.B., Ed.; Elsevier: Amsterdam, The Netherlands, 2020; pp. 487–518. [Google Scholar]
- Schubert, M.; Kluge, S.; Schmölz, L.; Wallert, M.; Galli, F.; Birringer, M.; Lorkowski, S. Long-Chain Metabolites of Vitamin E: Metabolic Activation as a General Concept for Lipid-Soluble Vitamins? Antioxidants 2018, 7, 10. [Google Scholar] [CrossRef]
- Wallert, M.; Schmölz, L.; Galli, F.; Birringer, M.; Lorkowski, S. Regulatory metabolites of vitamin E and their putative relevance for atherogenesis. Redox Biol. 2014, 2, 495–503. [Google Scholar] [CrossRef]
- Jiang, Q.; Yin, X.; Lill, M.A.; Danielson, M.L.; Freiser, H.; Huang, J. Long-chain carboxychromanols, metabolites of vitamin E, are potent inhibitors of cyclooxygenases. Proc. Natl. Acad. Sci. USA 2008, 105, 20464–20469. [Google Scholar] [CrossRef]
- Giusepponi, D.; Galarini, R.; Barola, C.; Torquato, P.; Bartolini, D.; Moretti, S.; Saluti, G.; Gioiello, A.; Libetta, C.; Galli, F. LC-MS/MS assay for the simultaneous determination of tocopherols, polyun-saturated fatty acids and their metabolites in human plasma and serum. Free Radic. Biol. Med. 2019, 144, 134–143. [Google Scholar] [CrossRef]
- Torquato, P.; Ripa, O.; Giusepponi, D.; Galarini, R.; Bartolini, D.; Wallert, M.; Pellegrino, R.; Cruciani, G.; Lorkowski, S.; Birringer, M.; et al. Analytical strategies to assess the functional metabolome of vitamin E. J. Pharm. Biomed. Anal. 2016, 124, 399–412. [Google Scholar] [CrossRef]
- Giusepponi, D.; Torquato, P.; Bartolini, D.; Piroddi, M.; Birringer, M.; Lorkowski, S.; Libetta, C.; Cruciani, G.; Moretti, S.; Saluti, G.; et al. Determination of tocopherols and their metabolites by liquid-chromatography coupled with tandem mass spectrometry in human plasma and serum. Talanta 2017, 170, 552–561. [Google Scholar] [CrossRef]
- Bartolini, D.; De Franco, F.; Torquato, P.; Marinelli, R.; Cerra, B.; Ronchetti, R.; Schon, A.; Fallarino, F.; De Luca, A.; Bellezza, G.; et al. Garcinoic Acid Is a Natural and Selective Agonist of Pregnane X Receptor. J. Med. Chem. 2020, 63, 3701–3712. [Google Scholar] [CrossRef] [PubMed]
- Morinobu, T.; Yoshikawa, S.; Hamamura, K.; Tamai, H. Measurement of vitamin E metabolites by high-performance liquid chromatography during high-dose administration of α-tocopherol. Eur. J. Clin. Nutr. 2003, 57, 410–414. [Google Scholar] [CrossRef] [PubMed]
- Raederstorff, D.; Wyss, A.; Calder, P.C.; Weber, P.; Eggersdorfer, M. Vitamin E function and requirements in relation to PUFA. Br. J. Nutr. 2015, 114, 1113–1122. [Google Scholar] [CrossRef] [PubMed]
- Torquato, P.; Bartolini, D.; Giusepponi, D.; Piroddi, M.; Sebastiani, B.; Saluti, G.; Galarini, R.; Galli, F. Increased plasma levels of the lipoperoxyl radical-derived vitamin E metabolite α-tocopheryl quinone are an early indicator of lipotoxicity in fatty liver subjects. Free Radic. Biol. Med. 2019, 131, 115–125. [Google Scholar] [CrossRef] [PubMed]
- Johnson, C.H.; Bonzo, J.A.; Cheng, J.; Krausz, K.W.; Kang, D.W.; Luecke, H.; Idle, J.R.; Gonzalez, F.J. Cytochrome P450 Regulation by α-Tocopherol in Pxr-Null and PXR-Humanized Mice. Drug Metab. Dispos. 2012, 41, 406–413. [Google Scholar] [CrossRef] [PubMed]
- Taylor, L.; Krueger, N.; Malysheva, O.; Atkinson, J.; Parker, R.S. ω-Hydroxylation of α-tocopheryl quinone reveals a dual function for cytochrome P450-4F2 in vitamin E metabolism. Bioorg. Med. Chem. 2018, 26, 5555–5565. [Google Scholar] [CrossRef]
- Galli, F.; Polidori, M.C.; Stahl, W.; Mecocci, P.; Kelly, F.J. Vitamin E biotransformation in humans. In Vitamin E: Vitamins and Hormones Advances in Research and Applications; Litwack, G., Ed.; Elsevier: Amsterdam, The Netherlands, 2007; pp. 263–280. [Google Scholar]
- Schultz, M.; Leist, M.; Petrzika, M.; Gassmann, B.; Brigelius-Flohé, R. Novel urinary metabolite of alpha-tocopherol, 2,5,7,8-tetramethyl-2(2′-carboxyethyl)-6-hydroxychroman, as an indicator of an adequate vitamin E supply? Am. J. Clin. Nutr. 1995, 62, 1527S–1534S. [Google Scholar] [CrossRef]
- Galli, F.; Lee, R.; Dunster, C.; Kelly, F.J. Gas chromatography mass spectrometry analysis of carboxyethyl-hydroxychroman metabolrres of alpha- and gamma-tocopherol in human plasma. Free Radic. Biol. Med. 2002, 32, 333–340. [Google Scholar] [CrossRef]
- Ciffolilli, S.; Wallert, M.; Bartolini, D.; Krauth, V.; Werz, O.; Piroddi, M.; Sebastiani, B.; Torquato, P.; Lorkowski, S.; Birringer, M.; et al. Human serum determination and in vitro anti-inflammatory activity of the vitamin E metabolite α-(13′-hydroxy)-6-hydroxychroman. Free Radic. Biol. Med. 2015, 89, 952–962. [Google Scholar] [CrossRef]
- Torquato, P.; Bartolini, D.; Giusepponi, D.; Saluti, G.; Russo, A.; Barola, C.; Birringer, M.; Galarini, R.; Galli, F. Alpha-13′-OH is the main product of a-tocopherol metabolism and influences CYP4F2 and PPAR gamma gene expression in HepG2 human hepatocarcinoma cells. Free Radic. Biol. Med. 2016, 96, S19–S20. [Google Scholar] [CrossRef]
- Marinelli, R.; Torquato, P.; Bartolini, D.; Mas-Bargues, C.; Bellezza, G.; Gioiello, A.; Borras, C.; De Luca, A.; Fallarino, F.; Sebastiani, B.; et al. Garcinoic acid prevents β-amyloid (Aβ) deposition in the mouse brain. J. Biol. Chem. 2020, 295, 11866–11876. [Google Scholar] [CrossRef] [PubMed]
- Pein, H.; Ville, A.; Pace, S.; Temml, V.; Garscha, U.; Raasch, M.; Alsabil, K.; Viault, G.; Dinh, C.-P.; Guilet, D.; et al. Endogenous metabolites of vitamin E limit inflammation by targeting 5-lipoxygenase. Nat. Commun. 2018, 9, 3834. [Google Scholar] [CrossRef] [PubMed]
- Ulatowski, L.M.; Manor, D. Vitamin E and neurodegeneration. Neurobiol. Dis. 2015, 84, 78–83. [Google Scholar] [CrossRef] [PubMed]
- Traber, M.G.; Mah, E.; Leonard, S.W.; Bobe, G.; Bruno, R.S. Metabolic syndrome increases dietary α-tocopherol requirements as assessed using urinary and plasma vitamin E catabolites: A double-blind, crossover clinical trial. Am. J. Clin. Nutr. 2017, 105, 571–579. [Google Scholar] [CrossRef]
- Violet, P.-C.; Ebenuwa, I.C.; Wang, Y.; Niyyati, M.; Padayatty, S.J.; Head, B.; Wilkins, K.; Chung, S.; Thakur, V.; Ulatowski, L.; et al. Vitamin E sequestration by liver fat in humans. JCI Insight 2020, 5. [Google Scholar] [CrossRef]
- Bartolini, D.; Torquato, P.; Barola, C.; Russo, A.; Rychlicki, C.; Giusepponi, D.; Belleza, G.; Sidoni, A.; Glarini, R.; Svegliati-Baroni, G.; et al. Nonalcoholic fatty liver disease impairs the cytochrome P-450-dependent metabo-lism of α-tocopherol (vitamin E). J. Nutr. Biochem. 2017, 47, 120–131. [Google Scholar] [CrossRef]
- Devaraj, S.; Leonard, S.; Traber, M.G.; Jialal, I. Gamma-tocopherol supplementation alone and in combination with alpha-tocopherol alters biomarkers of oxidative stress and inflammation in subjects with metabolic syndrome. Free Radic. Biol. Med. 2008, 44, 1203–1208. [Google Scholar] [CrossRef]
- Eichhorn, J.C.; Lee, R.; Dunster, C.; Basu, S.; Kelly, F. J Alpha- and gamma-tocopherol plasma and urinary biokinetics following al-pha-tocopherol supplementation. Ann. N. Y. Acad. Sci. 2004, 1031, 339–340. [Google Scholar] [CrossRef]
- Galli, F.; Lee, R.; Dunster, C.; Atkinson, J.; Floridi, A.; Kelly, F.J. gamma-Tocopherol metabolism and its relationship with alpha-tocopherol in humans: A stable isotope supplementation study. BioFactors 2001, 15, 65–69. [Google Scholar] [CrossRef]
- Handelman, G.J.; Epstein, W.L.; Peerson, J.; Spiegelman, D.; Machlin, L.J.; Dratz, E.A. Human adipose alpha-tocopherol and gamma-tocopherol kinetics during and after 1 y of alpha-tocopherol supplementation. Am. J. Clin. Nutr. 1994, 59, 1025–1032. [Google Scholar] [CrossRef]
- Sundl, I.; Resch, U.; Bergmann, A.R.; Roob, J.M.; Winklhofer-Roob, B.M. The decrease in gamma-tocopherol in plasma and lipoprotein fractions levels off within two days of vitamin E supplementation. Ann. N. Y. Acad. Sci. 2004, 1031, 378–380. [Google Scholar] [CrossRef] [PubMed]
- Russo, A.; Bartolini, D.; Torquato, P.; Giusepponi, D.; Barola, C.; Galarini, R.; Birringer, M.; Lorkowski, S.; Galli, F. CYP4F2 repression and a modified alpha-tocopherol (vitamin E) metabolism are two independent consequences of ethanol toxicity in human hepatocytes. Toxicol. Vitr. 2017, 40, 124–133. [Google Scholar] [CrossRef] [PubMed]




| Mean | SD | Median | Range | Variance | Coefficient of Variation (%) | Fold Increase | ||
|---|---|---|---|---|---|---|---|---|
| α-TOH (nM) | Pre | 23,483.4 | 3450.9 | 22,434.6 | 19,181–28,618 | 11,208,207.3 | 14% | 2.27 |
| Post | 53,237.9 | 10,530.0 | 49,653.6 | 40,656–78,248 | 104,358,536.9 | 43% | ||
| α -TOH/Cho # | Pre | 123 | 24.8 | 119 | 84–166 | 577.5 | 20% | 2.36 |
| Post | 291 | 60.9 | 288 | 167–381 | 3486.61 | 20% | ||
| γ-TOH (nM) | Pre | 615.2 | 228.1 | 614.5 | 254–1250 | 48,968.6 | 38% | 0.51 |
| Post | 315.6 | 79.2 | 297.4 | 200–489 | 5909.1 | 13% | ||
| α-TQ (nM) | Pre | 75.8 | 20.1 | 73.5 | 45–111 | 380.0 | 26% | 2.63 |
| Post | 199.7 | 74.9 | 196.6 | 104–366 | 5275.1 | 97% | ||
| α-13’COOH (nM) | Pre | 3.5 | 1.8 | 3.1 | 1–8 | 3.0 | 49% | 1.66 |
| Post | 5.8 | 1.4 | 5.6 | 4–8 | 2.0 | 39% | ||
| M1 (nM) § | Pre | 35.1 | 20.4 | 25.6 | 14.3–85 | 390.8 | 56% | 15.65 |
| Post | 549.2 | 329.6 | 471.4 | 182–1363.3 | 102,250.2 | 58% | ||
| M2 (nM) § | Pre | 11.5 | 6.3 | 11.2 | 4.5–24.7 | 37.2 | 53% | 8.89 |
| Post | 102.3 | 76.8 | 73.9 | 31.5–355.9 | 5556.7 | 73% | ||
| α-13’OH (nM) | Pre | 2.6 | 2.1 | 1.7 | 0.4–6.9 | 4.1 | 86% | 7.23 |
| Post | 18.8 | 8.7 | 16.8 | 8–41.5 | 70.6 | 46% | ||
| M3 (nM) * | Pre | 3.0 | 0.9 | 3.0 | 1–4.6 | 0.8 | 31% | 1.97 |
| Post | 5.9 | 2.8 | 5.1 | 2.3–10.3 | 7.2 | 46% | ||
| α-CMBHC (nM) | Pre | 11.0 | 7.3 | 11.6 | 0.6–27.6 | 49.9 | 66% | 11.29 |
| Post | 124.2 | 107.4 | 84.8 | 15.7–392.8 | 10,818.2 | 86% | ||
| α-CEHC (nM) | Pre | 20.3 | 11.6 | 19.0 | 6.2–44.6 | 126.7 | 57% | 20.83 |
| Post | 422.8 | 224.2 | 371.0 | 93–824.7 | 47,121.9 | 53% | ||
| γ-CEHC (nM) | Pre | 102.1 | 37.5 | 102.2 | 50.9–172.9 | 1297.7 | 37% | 1.69 |
| Post | 172.7 | 77.1 | 153.1 | 87.4–303.5 | 5571.9 | 45% | ||
| PXR | Pre | 0.6 | 0.3 | 0.57 | 0–1.14 | 0.09 | 53% | 1.20 |
| Post | 0.72 | 0.29 | 0.82 | 0.2–1.0 | 0.07 | 39% | ||
| CYP4F2 | Pre | 1.30 | 0.88 | 1.09 | 0.2–3.2 | 0.73 | 68% | 0.9 |
| Post | 1.17 | 0.75 | 1.18 | 0–2.2 | 0.52 | 64% | ||
Publisher’s Note: MDPI stays neutral with regard to jurisdictional claims in published maps and institutional affiliations. |
© 2021 by the authors. Licensee MDPI, Basel, Switzerland. This article is an open access article distributed under the terms and conditions of the Creative Commons Attribution (CC BY) license (http://creativecommons.org/licenses/by/4.0/).
Share and Cite
Bartolini, D.; Marinelli, R.; Giusepponi, D.; Galarini, R.; Barola, C.; Stabile, A.M.; Sebastiani, B.; Paoletti, F.; Betti, M.; Rende, M.; et al. Alpha-Tocopherol Metabolites (The Vitamin E Metabolome) and Their Interindividual Variability during Supplementation. Antioxidants 2021, 10, 173. https://doi.org/10.3390/antiox10020173
Bartolini D, Marinelli R, Giusepponi D, Galarini R, Barola C, Stabile AM, Sebastiani B, Paoletti F, Betti M, Rende M, et al. Alpha-Tocopherol Metabolites (The Vitamin E Metabolome) and Their Interindividual Variability during Supplementation. Antioxidants. 2021; 10(2):173. https://doi.org/10.3390/antiox10020173
Chicago/Turabian StyleBartolini, Desirée, Rita Marinelli, Danilo Giusepponi, Roberta Galarini, Carolina Barola, Anna Maria Stabile, Bartolomeo Sebastiani, Fabiola Paoletti, Michele Betti, Mario Rende, and et al. 2021. "Alpha-Tocopherol Metabolites (The Vitamin E Metabolome) and Their Interindividual Variability during Supplementation" Antioxidants 10, no. 2: 173. https://doi.org/10.3390/antiox10020173
APA StyleBartolini, D., Marinelli, R., Giusepponi, D., Galarini, R., Barola, C., Stabile, A. M., Sebastiani, B., Paoletti, F., Betti, M., Rende, M., & Galli, F. (2021). Alpha-Tocopherol Metabolites (The Vitamin E Metabolome) and Their Interindividual Variability during Supplementation. Antioxidants, 10(2), 173. https://doi.org/10.3390/antiox10020173

