Exploring the Acquisition of Social Communication Skills in Children with Autism: Preliminary Findings from Applied Behavior Analysis (ABA), Parent Training, and Video Modeling
Abstract
1. Introduction
2. Materials and Methods
2.1. Professional Training and Development of Materials for Parental Training
2.2. Measurements
2.3. Parental Training by Video Modeling Based on ABA
2.4. Statistical Analysis
3. Results
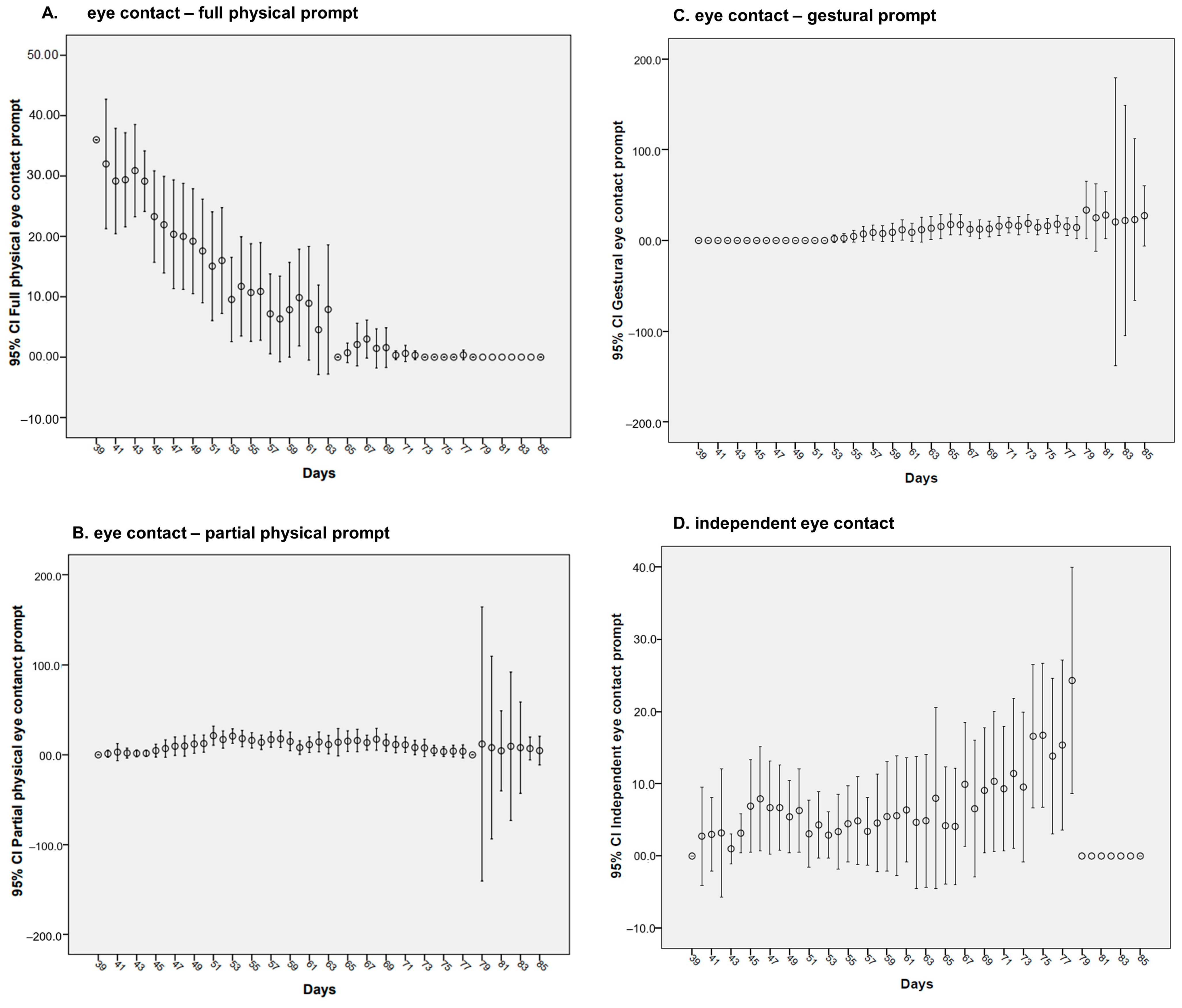
4. Discussion
4.1. Parental Intervention in Eye Contact and Joint Attention Acquisition
4.2. Association between Intervention, Joint Attention, and Predictors of Prognosis
4.3. Main Aspects of This Intervention: Video Modeling, Record Sheets, and Short-Term Parental Intervention
4.4. Limitations
4.5. Future Directions
5. Conclusions
Supplementary Materials
Author Contributions
Funding
Institutional Review Board Statement
Informed Consent Statement
Data Availability Statement
Acknowledgments
Conflicts of Interest
References
- Lord, C.; Elsabbagh, M.; Baird, G.; Veenstra-Vanderweele, J. Autism spectrum disorder. Lancet 2018, 392, 508–520. [Google Scholar] [CrossRef]
- Association, A.P. DSM-5: Manual Diagnóstico e Estatístico de Transtornos Mentais, 5th ed.; Artmed: Guelph, ON, Canada, 2014. [Google Scholar]
- Mundy, P. A review of joint attention and social-cognitive brain systems in typical development and autism spectrum disorder. Eur. J. Neurosci. 2018, 47, 497–514. [Google Scholar] [CrossRef]
- Clifford, S.M.; Dissanayake, C. The early development of joint attention in infants with autistic disorder using home video observations and parental interview. J. Autism Dev. Disord. 2008, 38, 791–805. [Google Scholar] [CrossRef]
- Monlux, K.; Pelaez, M.; Holth, P. Joint attention and social referencing in children with autism: A behavior-analytic approach. Eur. J. Behav. Anal. 2019, 20, 186–203. [Google Scholar] [CrossRef]
- Pelaez, M.; Monlux, K. Development of Communication in Infants: Implications for Stimulus Relations Research. Perspect. Behav. Sci. 2018, 41, 175–188. [Google Scholar] [CrossRef] [PubMed]
- Dawson, G.; Bernier, R.; Ring, R.H. Social attention: A possible early indicator of efficacy in autism clinical trials. J. Neurodev. Disord. 2012, 4, 11. [Google Scholar] [CrossRef] [PubMed]
- Mundy, P.; Burnette, C. Joint attention and neurodevelopmental models of autism. Handb. Autism Pervasive Dev. Disord. 2005, 1, 659–681. [Google Scholar]
- Eckes, T.; Buhlmann, U.; Holling, H.D.; Möllmann, A. Comprehensive ABA-based interventions in the treatment of children with autism spectrum disorder—A meta-analysis. BMC Psychiatry 2023, 23, 133. [Google Scholar] [CrossRef] [PubMed]
- Reichow, B.; Servili, C.; Yasamy, M.T.; Barbui, C.; Saxena, S. Non-Specialist Psychosocial Interventions for Children and Adolescents with Intellectual Disability or Lower-Functioning Autism Spectrum Disorders: A Systematic Review. PLoS Med. 2013, 10, e1001572. [Google Scholar] [CrossRef] [PubMed]
- Steinbrenner, J.R.; Hume, K.; Odom, S.L.; Morin, K.L.; Nowell, S.W.; Tomaszewski, B.; Szendrey, S.; Mcintyre, N.S. Evidence-Based Practices for Children, Youth, and Young Adults with Autism; National Clearinghouse on Autism Evidence and Practice Review Team, Frank Porter Graham Child Development Institute, The University of North Carolina at Chapel Hill: Chapel Hill, NC, USA, 2020; pp. 1–140. [Google Scholar]
- Beaudoin, A.J.; Sébire, G.; Couture, M. Parent Training Interventions for Toddlers with Autism Spectrum Disorder. Autism Res. Treat. 2014, 2014, 839890. [Google Scholar] [CrossRef] [PubMed]
- Cerasuolo, M.; Simeoli, R.; Nappo, R.; Gallucci, M.; Iovino, L.; Frolli, A.; Rega, A. Examining Predictors of Different ABA Treatments: A Systematic Review. Behav. Sci. 2022, 12, 267. [Google Scholar] [CrossRef]
- Rega, A.; Somma, F.; Iovino, L. Development of emotional skills through videomodeling: A case study with a non-verbal participant. Technol. Disabil. 2020, 32, 211–218. [Google Scholar] [CrossRef]
- Green, G. Behavior Analytic Instruction for Learners with Autism: Advances in Stimulus Control Technology. Focus Autism Other Dev. Disabl. 2001, 16, 72–85. [Google Scholar] [CrossRef]
- Johnston, J.M.; Pennypacker, H.S.; Green, G. Strategies and Tactics of Behavioral Research and Practice; Routledge: New York, NY, USA, 2019; pp. 1–525. [Google Scholar]
- Linstead, E.; Dixon, D.R.; Hong, E.; Burns, C.O.; French, R.; Novack, M.N.; Granpeesheh, D. An evaluation of the effects of intensity and duration on outcomes across treatment domains for children with autism spectrum disorder. Transl. Psychiatry 2017, 7, e1234. [Google Scholar] [CrossRef]
- Council of Autism Service Providers. Tiered Service-Delivery Models and Behavior Technicians. In Applied Behavior Analysis Treatment of Autism Spectrum Disorder: Practice Guidelines for Healthcare Funders and Managers; Council of Autism Service Providers: Boston, MA, USA, 2020; pp. 27–36. [Google Scholar]
- Lee, J.D.; Meadan, H. Parent-Mediated Interventions for Children with ASD in Low-Resource Settings: A Scoping Review. Rev. J. Autism Dev. Disord. 2021, 8, 285–298. [Google Scholar] [CrossRef]
- Dawson-Squibb, J.J.; Davids, E.L.; Harrison, A.J.; Molony, M.A.; de Vries, P.J. Parent Education and Training for autism spectrum disorders: Scoping the evidence. Autism 2020, 24, 7–25. [Google Scholar] [CrossRef]
- Dai, Y.G.; Brennan, L.; Como, A.; Hughes-Lika, J.; Dumont-Mathieu, T.; Carcani-Rathwell, I.; Minxhozi, O.; Aliaj, B.; Fein, D.A. A video parent-training program for families of children with autism spectrum disorder in Albania. Res. Autism Spectr. Disord. 2018, 56, 36–49. [Google Scholar] [CrossRef] [PubMed]
- Frolli, A.; Ricci, M.C.; Bosco, A.; Lombardi, A.; Cavallaro, A.; Operto, F.F.; Rega, A. Video modeling and social skills learning in asd-hf. Children 2020, 7, 279. [Google Scholar] [CrossRef] [PubMed]
- Law, G.C.; Neihart, M.; Dutt, A. The use of behavior modeling training in a mobile app parent training program to improve functional communication of young children with autism spectrum disorder. Autism 2018, 22, 424–439. [Google Scholar] [CrossRef] [PubMed]
- McGarry, E.; Vernon, T.; Baktha, A. Brief Report: A Pilot Online Pivotal Response Treatment Training Program for Parents of Toddlers with Autism Spectrum Disorder. J. Autism Dev. Disord. 2020, 50, 3424–3431. [Google Scholar] [CrossRef] [PubMed]
- Vismara, L.A.; McCormick, C.; Young, G.S.; Nadhan, A.; Monlux, K. Preliminary findings of a telehealth approach to parent training in Autism. J. Autism Dev. Disord. 2013, 43, 2953–2969. [Google Scholar] [CrossRef]
- Wainer, A.L.; Ingersoll, B.R. Increasing Access to an ASD Imitation Intervention Via a Telehealth Parent Training Program. J. Autism Dev. Disord. 2015, 45, 3877–3890. [Google Scholar] [CrossRef]
- Wetherby, A.M.; Woods, J.; Guthrie, W.; Delehanty, A.; Brown, J.A.; Morgan, L.; Holland, R.D.; Schatschneider, C.; Lord, C. Changing Developmental Trajectories of Toddlers With Autism Spectrum Disorder: Strategies for Bridging Research to Community Practice. J. Speech Lang. Hear. Res. 2018, 61, 2615–2628. [Google Scholar] [CrossRef] [PubMed]
- Bagaiolo, L.F.; Mari, J.d.J.; Bordini, D.; Ribeiro, T.C.; Martone, M.C.C.; Caetano, S.C.; Brunoni, D.; Brentani, H.; Paula, C.S. Procedures and compliance of a video modeling applied behavior analysis intervention for Brazilian parents of children with autism spectrum disorders. Autism 2017, 21, 603–610. [Google Scholar] [CrossRef] [PubMed]
- Bordini, D.; Paula, C.S.; Cunha, G.R.; Caetano, S.C.; Bagaiolo, L.F.; Ribeiro, T.C.; Martone, M.C.C.; Portolese, J.; Moya, A.C.; Brunoni, D.; et al. A randomised clinical pilot trial to test the effectiveness of parent training with video modelling to improve functioning and symptoms in children with autism spectrum disorders and intellectual disability. J. Intellect. Disabil. Res. 2020, 64, 629–643. [Google Scholar] [CrossRef] [PubMed]
- Becker, M.M.; Wagner, M.B.; Bosa, C.A.; Schmidt, C.; Longo, D.; Papaleo, C.; Riesgo, R.S. Translation and validation of Autism Diagnostic Interview-Revised (ADI-R) for autism diagnosis in Brazil. Arq. Neuropsiquiatr. 2012, 70, 185–190. [Google Scholar] [CrossRef][Green Version]
- American Psychiatric Association. Diagnostic and Statistical Manual of Mental Disorders, 5th ed.; American Psychiatric Association: Washington, DC, USA, 2013; ISBN 0890425558. [Google Scholar]
- ABEP. Critério de Classificação Econômica Brasil. 2022. Available online: http://www.abep.org/Servicos/Download.aspx?id=11&p=en (accessed on 7 June 2023).
- Sparrow, S.; Balla, D.; Cicchetti, D. Vineland Adaptive Behavior Scales; American Guidance Service: Circle Pines, MN, USA, 1984. [Google Scholar]
- Gabriels, R.L.; Ivers, B.J.; Hill, D.E.; Agnew, J.A.; McNeill, J. Stability of adaptive behaviors in middle-school children with autism spectrum disorders. Res. Autism Spectr. Disord. 2007, 1, 291–303. [Google Scholar] [CrossRef]
- Laros, J.A.; Reis, R.F.; Tellegen, P.J. Indicações da validade convergente do teste não-verbal de inteligência son-r 2½-7[a]. Aval. Psicol. 2010, 9, 43. [Google Scholar]
- IBM Corp. IBM SPSS Statistics for Windows; Version 24; IBM: Armonk, NY, USA, 2016. [Google Scholar]
- Bearss, K.; Johnson, C.; Smith, T.; Lecavalier, L.; Swiezy, N.; Aman, M.; McAdam, D.B.; Butter, E.; Stillitano, C.; Minshawi, N.; et al. Effect of parent training vs parent education on behavioral problems in children with autism spectrum disorder: A randomized clinical trial. JAMA—J. Am. Med. Assoc. 2015, 313, 1524–1533. [Google Scholar] [CrossRef]
- Hansen, B.D.; Orton, E.L.; Adams, C.; Knecht, L.; Rindlisbaker, S.; Jurtoski, F.; Trajkovski, V. A pilot study of a behavioral parent training in the Republic of Macedonia. J. Autism Dev. Disord. 2017, 47, 1878–1889. [Google Scholar] [CrossRef]
- Hardan, A.Y.; Gengoux, G.W.; Berquist, K.L.; Libove, R.A.; Ardel, C.M.; Phillips, J.; Frazier, T.W.; Minjarez, M.B. A randomized controlled trial of Pivotal Response Treatment Group for parents of children with autism. J. Child Psychol. Psychiatry 2015, 56, 884–892. [Google Scholar] [CrossRef]
- Karst, J.S.; van Hecke, A.V. Parent and Family Impact of Autism Spectrum Disorders: A Review and Proposed Model for Intervention Evaluation. Clin. Child Fam. Psychol. Rev. 2012, 15, 247–277. [Google Scholar] [CrossRef]
- O’Donovan, K.L.; Armitage, S.; Featherstone, J.; McQuillin, L.; Longley, S.; Pollard, N. Group-Based Parent Training Interventions for Parents of Children with Autism Spectrum Disorders: A Literature Review. Rev. J. Autism Dev. Disord. 2019, 6, 85–95. [Google Scholar] [CrossRef]
- Parsons, D.; Cordier, R.; Vaz, S.; Lee, H.C. Parent-mediated intervention training delivered remotely for children with autism spectrum disorder living outside of urban areas: Systematic review. J. Med. Internet Res. 2017, 19, e198. [Google Scholar] [CrossRef] [PubMed]
- Stahmer, A.C.; Dababnah, S.; Rieth, S.R. Considerations in implementing evidence-based early autism spectrum disorder interventions in community settings. Pediatr. Med. 2019, 2, 18. [Google Scholar] [CrossRef] [PubMed]
- Tellegen, C.L.; Sanders, M.R. A randomized controlled trial evaluating a brief parenting program with children with autism spectrum disorders. J. Consult. Clin. Psychol. 2014, 82, 1193–1200. [Google Scholar] [CrossRef]
- Cengher, M.; Shamoun, K.; Moss, P.; Roll, D.; Feliciano, G.; Fienup, D.M. A Comparison of the Effects of Two Prompt-Fading Strategies on Skill Acquisition in Children with Autism Spectrum Disorders. Behav. Anal. Pract. 2016, 9, 115–125. [Google Scholar] [CrossRef][Green Version]
- Gulsrud, A.C.; Hellemann, G.S.; Freeman, S.F.N.; Kasari, C. Two to Ten Years: Developmental Trajectories of Joint Attention in Children With ASD Who Received Targeted Social Communication Interventions. Autism Res. 2014, 7, 207–215. [Google Scholar] [CrossRef]
- Magán-Maganto, M.; Bejarano-Martín, Á.; Fernández-Alvarez, C.; Narzisi, A.; García-Primo, P.; Kawa, R.; Posada, M.; Canal-Bedia, R. Early Detection and Intervention of ASD: A European Overview. Brain Sci. 2017, 7, 159. [Google Scholar] [CrossRef]
- Narzisi, A.; Costanza, C.; Umberto, B.; Filippo, M. Non-Pharmacological Treatments in Autism Spectrum Disorders: An Overview on Early Interventions for Pre-Schoolers. Curr. Clin. Pharmacol. 2014, 9, 17–26. [Google Scholar] [CrossRef]
- Rogers, J.C.; Gonzalez-Madruga, K.; Kohls, G.; Baker, R.H.; Clanton, R.L.; Pauli, R.; Birch, P.; Chowdhury, A.I.; Kirchner, M.; Andersson, J.L.R.; et al. White Matter Microstructure in Youths With Conduct Disorder: Effects of Sex and Variation in Callous Traits. J. Am. Acad. Child Adolesc. Psychiatry 2019, 58, 1184–1196. [Google Scholar] [CrossRef]
- Wong, C.; Odom, S.L.; Hume, K.A.; Cox, A.W.; Fettig, A.; Kucharczyk, S.; Brock, M.E.; Plavnick, J.B.; Fleury, V.P.; Schultz, T.R. Evidence-Based Practices for Children, Youth, and Young Adults with Autism Spectrum Disorder: A Comprehensive Review. J. Autism Dev. Disord. 2015, 45, 1951–1966. [Google Scholar] [CrossRef]
- Billstedt, E.; Gillberg, C.; Gillberg, C. Autism after adolescence: Population-based 13- to 22-year follow-up study of 120 individuals with autism diagnosed in childhood. J. Autism Dev. Disord. 2005, 35, 351–360. [Google Scholar] [CrossRef] [PubMed]
- Farley, M.A.; McMahon, W.M.; Fombonne, E.; Jenson, W.R.; Miller, J.; Gardner, M.; Block, H.; Pingree, C.B.; Ritvo, E.R.; Ritvo, R.A.; et al. Twenty-year outcome for individuals with autism and average or near-average cognitive abilities. Autism Res. 2009, 2, 109–118. [Google Scholar] [CrossRef] [PubMed]
- Fountain, C.; Winter, A.S.; Bearman, P.S. Six developmental trajectories characterize children with autism. Pediatrics 2012, 129, e1112-20. [Google Scholar] [CrossRef] [PubMed]
- Howlin, P.; Goode, S.; Hutton, J.; Rutter, M. Adult outcome for children with autism. J. Child Psychol. Psychiatry 2004, 45, 212–229. [Google Scholar] [CrossRef] [PubMed]
- Howlin, P.; Moss, P.; Savage, S.; Rutter, M. Social outcomes in mid- to later adulthood among individuals diagnosed with autism and average nonverbal IQ as children. J. Am. Acad. Child Adolesc. Psychiatry 2013, 52, 572–581.e1. [Google Scholar] [CrossRef] [PubMed]
- Kirby, A.V.; Baranek, G.T.; Fox, L. Longitudinal predictors of outcomes for adults with autism spectrum disorder: Systematic review. OTJR Occup. Particip. Health 2016, 36, 55–64. [Google Scholar] [CrossRef] [PubMed]
- Lai, M.-C.; Lombardo, M.V.; Baron-Cohen, S. Autism. Lancet 2013, 383, 896–910. [Google Scholar] [CrossRef] [PubMed]
- Ben-Itzchak, E.; Zachor, D.A. The effects of intellectual functioning and autism severity on outcome of early behavioral intervention for children with autism. Res. Dev. Disabil. 2007, 28, 287–303. [Google Scholar] [CrossRef]
- Tiura, M.; Kim, J.; Detmers, D.; Baldi, H. Predictors of longitudinal ABA treatment outcomes for children with autism: A growth curve analysis. Res. Dev. Disabil. 2017, 70, 185–197. [Google Scholar] [CrossRef] [PubMed]
- Scahill, L.; Bearss, K.; Lecavalier, L.; Smith, T.; Swiezy, N.; Aman, M.G.; Sukhodolsky, D.G.; McCracken, C.; Minshawi, N.; Turner, K.; et al. Effect of Parent Training on Adaptive Behavior in Children With Autism Spectrum Disorder and Disruptive Behavior: Results of a Randomized Trial. J. Am. Acad. Child Adolesc. Psychiatry 2016, 55, 602–609.e3. [Google Scholar] [CrossRef] [PubMed]
- Granpeesheh, D.; Dixon, D.R.; Tarbox, J.; Kaplan, A.M.; Wilke, A.E. The effects of age and treatment intensity on behavioral intervention outcomes for children with autism spectrum disorders. Res. Autism Spectr. Disord. 2009, 3, 1014–1022. [Google Scholar] [CrossRef]
- Eikeseth, S.; Smith, T.; Jahr, E.; Eldevik, S. Outcome for ChildrenWith Autism Who BeganIntensive BehavioralTreatment Between Ages 4 and 7A Comparison Controlled Study. Behav. Modif. 2007, 31, 247–363. [Google Scholar] [CrossRef] [PubMed]
- Piven, J.; Elison, J.T.; Zylka, M.J. Toward a conceptual framework for early brain and behavior development in Autism. Mol. Psychiatry 2017, 22, 1385–1394. [Google Scholar] [CrossRef] [PubMed]
- Muzammal, M.S.; Jones, E.A. Social-Communication Intervention for Toddlers with Autism Spectrum Disorder: Effects on Initiating Joint Attention and Interactions with Mother. J. Dev. Phys. Disabil. 2017, 29, 203–221. [Google Scholar] [CrossRef]
- Leaf, J.B.; Leaf, J.A.; Alcalay, A.; Kassardjian, A.; Tsuji, K.; Dale, S.; Ravid, D.; Taubman, M.; McEachin, J.; Leaf, R. Comparison of Most-to-Least Prompting to Flexible Prompt Fading for Children with Autism Spectrum Disorder. Exceptionality 2016, 24, 109–122. [Google Scholar] [CrossRef]
- Kryzak, L.A.; Jones, E.A. The Effect of Prompts within Embedded Circumscribed Interests to Teach Initiating Joint Attention in Children with Autism Spectrum Disorders. J. Dev. Phys. Disabil. 2015, 27, 265–284. [Google Scholar] [CrossRef]
- Hartley, S.L.; Sikora, D.M. Sex differences in Autism spectrum disorder: An examination of developmental functioning, Autistic symptoms, and coexisting behavior problems in toddlers. J. Autism Dev. Disord. 2009, 39, 1715–1722. [Google Scholar] [CrossRef]
- Idring, S.; Rai, D.; Dal, H.; Dalman, C.; Sturm, H.; Zander, E.; Lee, B.K.; Serlachius, E.; Magnusson, C. Autism spectrum disorders in the Stockholm youth cohort: Design, prevalence and validity. PLoS ONE 2012, 7, e41280. [Google Scholar] [CrossRef]
- Lord, C.; Schopler, E. Brief report: Differences in sex ratios in autism as a function of measured intelligence. J. Autism Dev. Disord. 1985, 15, 185–193. [Google Scholar] [CrossRef] [PubMed]
- Volkmar, F.R.; Szatmari, P.; Sparrow, S.S. Sex differences in pervasive developmental disorders. J. Autism Dev. Disord. 1993, 23, 579–591. [Google Scholar] [CrossRef] [PubMed]
- Zwaigenbaum, L.; Bryson, S.E.; Szatmari, P.; Brian, J.; Smith, I.M.; Roberts, W.; Vaillancourt, T.; Roncadin, C. Sex differences in children with autism spectrum disorder identified within a high-risk infant cohort. J. Autism Dev. Disord. 2012, 42, 2585–2596. [Google Scholar] [CrossRef]
- Mattila, M.-L.; Kielinen, M.; Linna, S.-L.; Jussila, K.; Ebeling, H.; Bloigu, R.; Joseph, M.R.; Irma, M. Autism spectrum disorders according to DSM-IV-TR and comparison with DSM-5 draft criteria: An epidemiological study. J. Am. Acad. Child Adolesc. Psychiatry 2011, 50, 583–592. [Google Scholar] [CrossRef] [PubMed]
- Hong, E.R.; Ganz, J.B.; Mason, R.; Morin, K.; Davis, J.L.; Ninci, J.; Neely, L.C.; Boles, M.B.; Gilliland, W.D. The effects of video modeling in teaching functional living skills to persons with ASD: A meta-analysis of single-case studies. Res. Dev. Disabil. 2016, 57, 158–169. [Google Scholar] [CrossRef] [PubMed]
- Smith, T. What is evidence-based behavior analysis? Behav. Anal. 2013, 36, 7–33. [Google Scholar] [CrossRef]
- De Vries, P.J. Thinking globally to meet local needs: Autism spectrum disorders in Africa and other low-resource environments. Curr. Opin. Neurol. 2016, 29, 130–136. [Google Scholar] [CrossRef] [PubMed]
- Volkmar, F.; Siegel, M.; Woodbury-Smith, M.; King, B.; McCracken, J.; State, M. Practice Parameter for the Assessment and Treatment of Children and Adolescents With Autism Spectrum Disorder. J. Am. Acad. Child Adolesc. Psychiatry 2014, 53, 237–257. [Google Scholar] [CrossRef]
- Hopwood, C.J.; Bleidorn, W.; Wright, A.G.C. Connecting Theory to Methods in Longitudinal Research. Perspect. Psychol. Sci. 2022, 17, 884–894. [Google Scholar] [CrossRef]
- Koerner, T.K.; Zhang, Y. Application of linear mixed-effects models in human neuroscience research: A comparison with pearson correlation in two auditory electrophysiology studies. Brain Sci. 2017, 7, 26. [Google Scholar] [CrossRef]
- Yu, Z.; Guindani, M.; Grieco, S.F.; Chen, L.; Holmes, T.C.; Xu, X. Beyond t test and ANOVA: Applications of mixed-effects models for more rigorous statistical analysis in neuroscience research. Neuron 2022, 110, 21–35. [Google Scholar] [CrossRef] [PubMed]
- Sullivan, K.; Stone, W.L.; Dawson, G. Potential neural mechanisms underlying the effectiveness of early intervention for children with autism spectrum disorder. Res. Dev. Disabil. 2014, 35, 2921–2932. [Google Scholar] [CrossRef] [PubMed]
- Marotta, R.; Risoleo, M.C.; Messina, G.; Parisi, L.; Carotenuto, M.; Vetri, L.; Roccella, M. The Neurochemistry of Autism. Brain Sci. 2020, 10, 163. [Google Scholar] [CrossRef] [PubMed]
- Green, J.; Garg, S. Annual Research Review: The state of autism intervention science: Progress, target psychological and biological mechanisms and future prospects. J. Child Psychol. Psychiatry Allied Discip. 2018, 59, 424–443. [Google Scholar] [CrossRef]



| Measures | Minimum/ Maximum | Mean | SD | Mean | SD | |||
|---|---|---|---|---|---|---|---|---|
| N | Baseline | Baseline | Baseline | Post | Post | |||
| Outcomes | ABC total score | 34 | 46/139 | 94.94 | 22.29 | 70.55 | 22.74 | |
| IQ | 34 | 50/76 | 60.21 | 9.08 | 66.65 | 19.47 | ||
| Vineland communication standard score | 27 | 32/65 | 47.48 | 7.78 | 45.86 | 9.41 | ||
| Vineland socialization standard score | 27 | 37/92 | 58.89 | 13.37 | 56.04 | 11.09 | ||
| Covariates | Age Socio-economic level | 34 | 3/7 | 4.76 | 1.23 | - | - | |
| 34 | 15/37 | 24.91 | 5.32 | - | - | |||
| Hamilton’s Caregiver | 34 | 0/23 | 10.18 | 7.86 | - | - | ||
| ADI Sex (male) | 32 | 31/60 | 47.53 | 6.61 | - | - | ||
| 24 | - | 70.60% | - | - | - | |||
| Covariates | Eye Contact Full Physical Prompt | Eye Contact Partial Physical Prompt | Eye Contact Gestural Prompt | Independent Eye Contact | ||||||||||||
|---|---|---|---|---|---|---|---|---|---|---|---|---|---|---|---|---|
| Estimate | 95% Confidence Interval | p | Estimate | 95% Confidence Interval | p | Estimate | 95% Confidence Interval | p | Estimate | 95% Confidence Interval | p | |||||
| Male | −3.255 | −9.297 | 2.786 | 0.291 | −5.562 | −8.684 | −2.440 | <0.001 | 1.636 | −1.940 | 5.123 | 0.370 | 5.957 | −0.290 | 12.204 | 0.062 |
| Vineland | −0.107 | −0.281 | 0.066 | 0.225 | 0.010 | −0.161 | 0.180 | 0.911 | 0.028 | −0.186 | 0.242 | 0.801 | 0.135 | −0.303 | 0.572 | 0.547 |
| IQ | −0.195 | −0.532 | 0.142 | 0.256 | −0.243 | −0.514 | 0.029 | 0.080 | 0.442 | 0.231 | 0.654 | <0.001 | 0.059 | −0.334 | 0.452 | 0.770 |
| Age | 0.038 | −0.135 | 0.210 | 0.668 | −0.174 | −0.377 | 0.028 | 0.091 | 0.277 | 0.140 | 0.415 | <0.001 | −0.076 | −0.485 | 0.334 | 0.717 |
| Training | −0.015 | −0.156 | 0.126 | 0.838 | 0.132 | 0.072 | 0.193 | <0.001 | −0.076 | −0.233 | 0.080 | 0.339 | 0.055 | −0.172 | 0.281 | 0.635 |
| Time | −0.862 | −0.987 | −0.736 | <0.001 | 0.079 | −0.069 | 0.228 | 0.294 | 0.537 | 0.340 | 0.734 | <0.001 | 0.249 | −0.051 | 0.549 | 0.104 |
| Covariates | Joint Attention Full Physical Prompt | Joint Attention Partial Physical Prompt | Joint Attention Gestural Prompt | Independent Joint Attention | ||||||||||||
|---|---|---|---|---|---|---|---|---|---|---|---|---|---|---|---|---|
| Estimate | 95% Confidence Interval | p | Estimate | 95% Confidence Interval | p | Estimate | 95% Confidence Interval | p | Estimate | 95% Confidence Interval | p | |||||
| Male | 1.415 | −4.206 | 7.035 | 0.622 | 1.379 | −6.053 | 8.810 | 0.716 | 0.911 | −4.822 | 6.644 | 0.756 | −1.820 | −5.574 | 1.934 | P |
| Vineland | −0.057 | −0.349 | 0.236 | 0.705 | 0.001 | −0.316 | 0.319 | 0.993 | −0.007 | −0.277 | 0.262 | 0.957 | 0.218 | 0.061 | 0.375 | 0.342 |
| IQ | −0.222 | −0.723 | 0.280 | 0.386 | −0.471 | −0.962 | 0.020 | 0.060 | 0.282 | −0.200 | 0.763 | 0.252 | 0.354 | 0.093 | 0.614 | 0.006 |
| Age | −0.023 | −0.344 | 0.298 | 0.888 | −0.246 | −0.495 | 0.004 | 0.054 | 0.057 | −0.245 | 0.359 | 0.712 | 0.242 | 0.072 | 0.412 | 0.008 |
| Training | −0.022 | −0.202 | 0.158 | 0.811 | 0.022 | −0.175 | 0.219 | 0.825 | 0.047 | −0.138 | 0.233 | 0.616 | 0.080 | −0.028 | 0.188 | 0.005 |
| Time | −0.449 | −0.584 | −0.315 | <0.001 | −0.066 | −0.181 | 0.049 | 0.258 | 0.162 | −0.035 | 0.359 | 0.107 | 0.251 | 0.046 | 0.457 | 0.017 |
Disclaimer/Publisher’s Note: The statements, opinions and data contained in all publications are solely those of the individual author(s) and contributor(s) and not of MDPI and/or the editor(s). MDPI and/or the editor(s) disclaim responsibility for any injury to people or property resulting from any ideas, methods, instructions or products referred to in the content. |
© 2024 by the authors. Licensee MDPI, Basel, Switzerland. This article is an open access article distributed under the terms and conditions of the Creative Commons Attribution (CC BY) license (https://creativecommons.org/licenses/by/4.0/).
Share and Cite
Bordini, D.; Moya, A.C.; Asevedo, G.R.d.C.; Paula, C.S.; Brunoni, D.; Brentani, H.; Caetano, S.C.; Mari, J.d.J.; Bagaiolo, L. Exploring the Acquisition of Social Communication Skills in Children with Autism: Preliminary Findings from Applied Behavior Analysis (ABA), Parent Training, and Video Modeling. Brain Sci. 2024, 14, 172. https://doi.org/10.3390/brainsci14020172
Bordini D, Moya AC, Asevedo GRdC, Paula CS, Brunoni D, Brentani H, Caetano SC, Mari JdJ, Bagaiolo L. Exploring the Acquisition of Social Communication Skills in Children with Autism: Preliminary Findings from Applied Behavior Analysis (ABA), Parent Training, and Video Modeling. Brain Sciences. 2024; 14(2):172. https://doi.org/10.3390/brainsci14020172
Chicago/Turabian StyleBordini, Daniela, Ana Cláudia Moya, Graccielle Rodrigues da Cunha Asevedo, Cristiane Silvestre Paula, Décio Brunoni, Helena Brentani, Sheila Cavalcante Caetano, Jair de Jesus Mari, and Leila Bagaiolo. 2024. "Exploring the Acquisition of Social Communication Skills in Children with Autism: Preliminary Findings from Applied Behavior Analysis (ABA), Parent Training, and Video Modeling" Brain Sciences 14, no. 2: 172. https://doi.org/10.3390/brainsci14020172
APA StyleBordini, D., Moya, A. C., Asevedo, G. R. d. C., Paula, C. S., Brunoni, D., Brentani, H., Caetano, S. C., Mari, J. d. J., & Bagaiolo, L. (2024). Exploring the Acquisition of Social Communication Skills in Children with Autism: Preliminary Findings from Applied Behavior Analysis (ABA), Parent Training, and Video Modeling. Brain Sciences, 14(2), 172. https://doi.org/10.3390/brainsci14020172

