Semantic Clustering during Verbal Episodic Memory Encoding and Retrieval in Older Adults: One Cognitive Mechanism of Superaging
Abstract
1. Introduction
2. Materials and Methods
2.1. Participants
2.2. California Verbal Learning Test (CVLT) and Chance-Adjusted Semantic Clustering Score
2.3. Hypotheses and Data Analysis
2.3.1. Hypothesis 1. The Production of a Semantic Clustering Strategy Will Improve Encoding
2.3.2. Hypothesis 2. The Utilization of a Semantic Clustering Strategy Will Improve Short- and Long-Delay Free Recall
2.3.3. Hypothesis 3. Superagers Will Produce and Utilize a Semantic-Clustering Strategy during Encoding and Recall to a Greater Degree Than Typical Older Adults
3. Results
3.1. Participant Characteristics
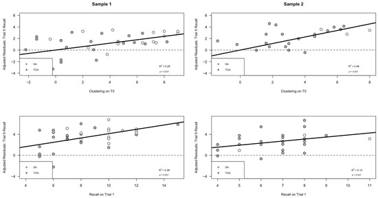
3.2. The Production of a Semantic Clustering Strategy Improves Encoding
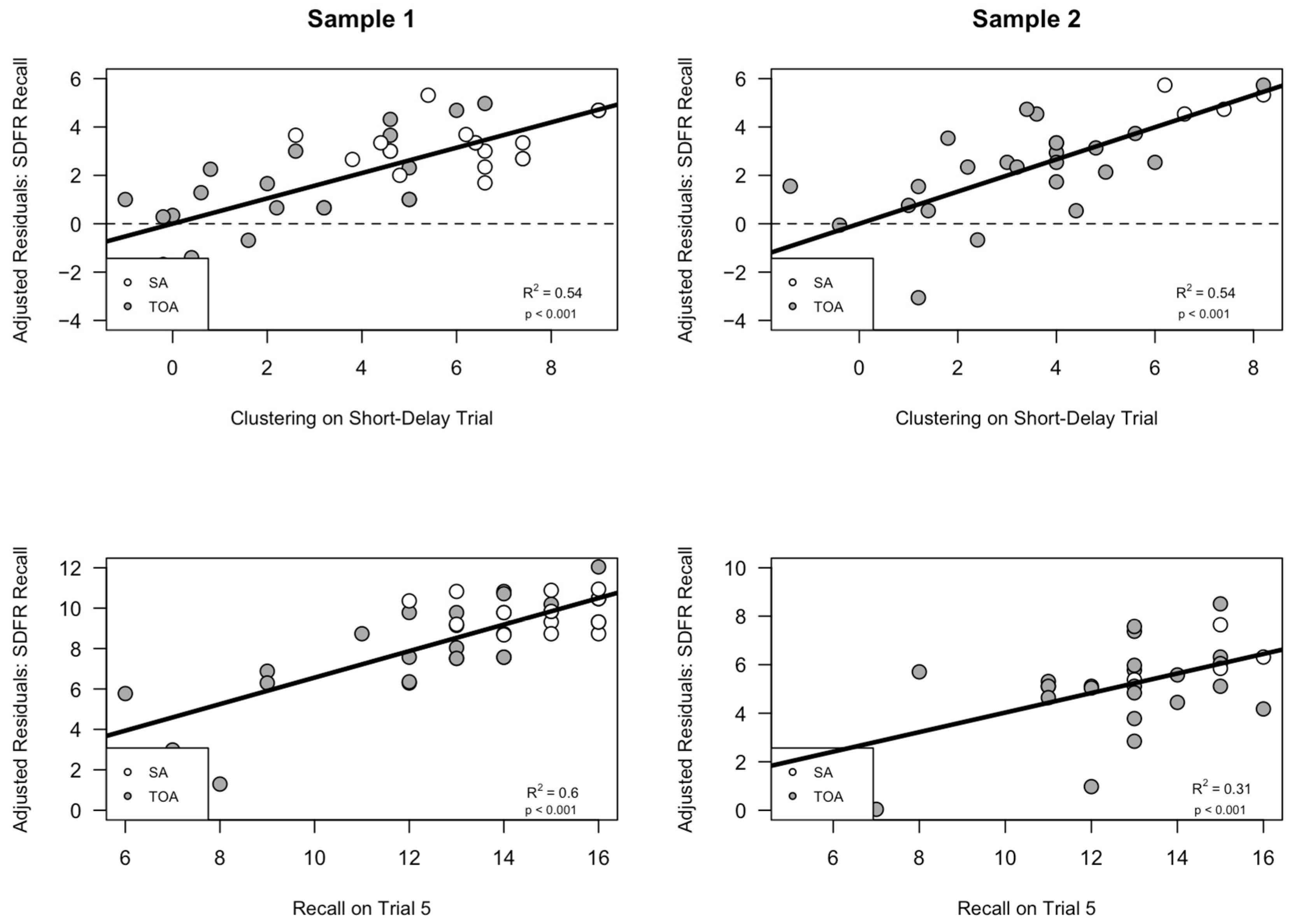
3.3. The Utilization of a Semantic Clustering Strategy Improves Short- and Long-Delay Free Recall
3.3.1. Results from Semantic Clustering Strategy Utilization during Short-Delay Free Recall
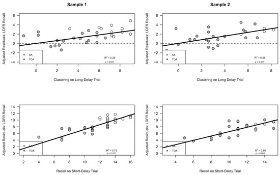
3.3.2. Results from Semantic Clustering Strategy Utilization during Long-Delay Free Recall
3.4. Superagers Produce and Utilize a Semantic-Clustering Strategy during Encoding and Recall to a Greater Degree Than Typical Older Adults
4. Discussion
5. Conclusions
Supplementary Materials
Author Contributions
Funding
Institutional Review Board Statement
Informed Consent Statement
Data Availability Statement
Acknowledgments
Conflicts of Interest
References
- Park, D.C.; Lautenschlager, G.; Hedden, T.; Davidson, N.S.; Smith, A.D.; Smith, P.K. Models of Visuospatial and Verbal Memory across the Adult Life Span. Psychol. Aging 2002, 17, 299–320. [Google Scholar] [CrossRef]
- Hedden, T.; Gabrieli, J.D.E. Insights into the Ageing Mind: A View from Cognitive Neuroscience. Nat. Rev. Neurosci. 2004, 5, 87–96. [Google Scholar] [CrossRef]
- Nyberg, L.; Lövdén, M.; Riklund, K.; Lindenberger, U.; Bäckman, L. Memory Aging and Brain Maintenance. Trends Cogn. Sci. 2012, 16, 292–305. [Google Scholar] [CrossRef]
- Gefen, T.; Shaw, E.; Whitney, K.; Martersteck, A.; Stratton, J.; Rademaker, A.; Weintraub, S.; Mesulam, M.-M.; Rogalski, E. Longitudinal Neuropsychological Performance of Cognitive SuperAgers. J. Am. Geriatr. Soc. 2014, 62, 1598–1600. [Google Scholar] [CrossRef]
- Gefen, T.; Peterson, M.; Papastefan, S.T.; Martersteck, A.; Whitney, K.; Rademaker, A.; Bigio, E.H.; Weintraub, S.; Rogalski, E.; Mesulam, M.-M.; et al. Morphometric and Histologic Substrates of Cingulate Integrity in Elders with Exceptional Memory Capacity. J. Neurosci. 2015, 35, 1781–1791. [Google Scholar] [CrossRef]
- Harrison, T.M.; Weintraub, S.; Mesulam, M.-M.; Rogalski, E. Superior Memory and Higher Cortical Volumes in Unusually Successful Cognitive Aging. J. Int. Neuropsychol. Soc. 2012, 18, 1081–1085. [Google Scholar] [CrossRef]
- Rogalski, E.J.; Gefen, T.; Shi, J.; Samimi, M.; Bigio, E.; Weintraub, S.; Geula, C.; Mesulam, M.-M. Youthful Memory Capacity in Old Brains: Anatomic and Genetic Clues from the Northwestern SuperAging Project. J. Cogn. Neurosci. 2013, 25, 29–36. [Google Scholar] [CrossRef] [PubMed]
- Dang, C.; Harrington, K.D.; Lim, Y.Y.; Ames, D.; Hassenstab, J.; Laws, S.M.; Yassi, N.; Hickey, M.; Rainey-Smith, S.R.; Robertson, J.; et al. Superior Memory Reduces 8-Year Risk of Mild Cognitive Impairment and Dementia But Not Amyloid β-Associated Cognitive Decline in Older Adults. Arch. Clin. Neuropsychol. 2019, 34, 585–598. [Google Scholar] [CrossRef] [PubMed]
- Harrison, T.M.; Maass, A.; Baker, S.L.; Jagust, W.J. Brain Morphology, Cognition, and β-Amyloid in Older Adults with Superior Memory Performance. Neurobiol. Aging 2018, 67, 162–170. [Google Scholar] [CrossRef] [PubMed]
- Sun, F.W.; Stepanovic, M.R.; Andreano, J.; Barrett, L.F.; Touroutoglou, A.; Dickerson, B.C. Youthful Brains in Older Adults: Preserved Neuroanatomy in the Default Mode and Salience Networks Contributes to Youthful Memory in Superaging. J. Neurosci. 2016, 36, 9659–9668. [Google Scholar] [CrossRef] [PubMed]
- Maher, A.C.; Makowski-Woidan, B.; Kuang, A.; Zhang, H.; Weintraub, S.; Mesulam, M.M.; Rogalski, E. Neuropsychological Profiles of Older Adults with Superior versus Average Episodic Memory: The Northwestern “SuperAger” Cohort. J. Int. Neuropsychol. Soc. 2022, 28, 563–573. [Google Scholar] [CrossRef] [PubMed]
- Brunet, H.E.; Kramer, J.H.; Lupas, G.J.; Foley, J.M. Strategy Use and Verbal Memory in Older Adults: The Role of Intellectual Functioning and the Preferential Impact of Semantic Clustering. Clin. Neuropsychol. 2020, 34, 204–216. [Google Scholar] [CrossRef] [PubMed]
- Bryan, J.; Luszcz, M.A.; Pointer, S. Executive Function and Processing Resources as Predictors of Adult Age Differences in the Implementation of Encoding Strategies. Aging Neuropsychol. Cogn. 1999, 6, 273–287. [Google Scholar] [CrossRef]
- Wegesin, D.J.; Jacobs, D.M.; Zubin, N.R.; Ventura, P.R.; Stern, Y. Source Memory and Encoding Strategy in Normal Aging. J. Clin. Exp. Neuropsychol. 2000, 22, 455–464. [Google Scholar] [CrossRef]
- Chevalère, J.; Lemaire, P.; Camos, V. Age-Related Changes in Verbal Working Memory Strategies. Exp. Aging Res. 2020, 46, 93–127. [Google Scholar] [CrossRef] [PubMed]
- Hultsch, D.F.; Hertzog, C.; Dixon, R.A. Ability Correlates of Memory Performance in Adulthood and Aging. Psychol. Aging 1990, 5, 356–368. [Google Scholar] [CrossRef] [PubMed]
- Murphy, M.D.; Schmitt, F.A.; Caruso, M.J.; Sanders, R.E. Metamemory in Older Adults: The Role of Monitoring in Serial Recall. Psychol. Aging 1987, 2, 331–339. [Google Scholar] [CrossRef] [PubMed]
- Sanders, R.E.; Murphy, M.D.; Schmitt, F.A.; Walsh, K.K. Age Differences in Free Recall Rehearsal Strategies. J. Gerontol. 1980, 35, 550–558. [Google Scholar] [CrossRef]
- Dunlosky, J.; Hertzog, C.; Powell-Moman, A. The Contribution of Mediator-Based Deficiencies to Age Differences in Associative Learning. Dev. Psychol. 2005, 41, 389–400. [Google Scholar] [CrossRef]
- Froger, C.; Taconnat, L.; Landré, L.; Beigneux, K.; Isingrini, M. Effects of Level of Processing at Encoding and Types of Retrieval Task in Mild Cognitive Impairment and Normal Aging. J. Clin. Exp. Neuropsychol. 2009, 31, 312–321. [Google Scholar] [CrossRef]
- Naveh-Benjamin, M.; Brav, T.K.; Levy, O. The Associative Memory Deficit of Older Adults: The Role of Strategy Utilization. Psychol. Aging 2007, 22, 202–208. [Google Scholar] [CrossRef]
- Schmitt, F.A.; Murphy, M.D.; Sanders, R.E. Training Older Adult Free Recall Rehearsal Strategies1. J. Gerontol. 1981, 36, 329–337. [Google Scholar] [CrossRef]
- Woo, E.; Schmitter-Edgecombe, M. Aging and Semantic Cueing during Learning and Retention of Verbal Episodic Information. Aging Neuropsychol. Cogn. 2008, 16, 103–119. [Google Scholar] [CrossRef]
- Dunlosky, J.; Hertzog, C. Aging and Deficits in Associative Memory: What Is the Role of Strategy Production? Psychol. Aging 1998, 13, 597–607. [Google Scholar] [CrossRef]
- Dunlosky, J.; Hertzog, C. Measuring Strategy Production during Associative Learning: The Relative Utility of Concurrent versus Retrospective Reports. Mem. Cogn. 2001, 29, 247–253. [Google Scholar] [CrossRef] [PubMed]
- Kuhlmann, B.G.; Touron, D.R. Aging and Memory Improvement through Semantic Clustering: The Role of List-Presentation Format. Psychol. Aging 2016, 31, 771–785. [Google Scholar] [CrossRef] [PubMed]
- Brum, P.; Yassuda, M.; Forlenza, O. Subjective Memory and Strategy Use in Mild Cognitive Impairment and Healthy Aging. Psychol. Neurosci. 2013, 6, 89–94. [Google Scholar] [CrossRef]
- Gross, A.L.; Rebok, G.W.; Brandt, J.; Tommet, D.; Marsiske, M.; Jones, R.N. Modeling Learning and Memory Using Verbal Learning Tests: Results from ACTIVE. J. Gerontol. Ser. B Psychol. Sci. Soc. Sci. 2013, 68, 153–167. [Google Scholar] [CrossRef] [PubMed]
- Bair, J.L.; Patrick, S.D.; Noyes, E.T.; Hale, A.C.; Campbell, E.B.; Wilson, A.M.; Ransom, M.T.; Spencer, R.J. Semantic Clustering on Common List-Learning Tasks: A Systematic Review of the State of the Literature and Recommendations for Future Directions. J. Clin. Exp. Neuropsychol. 2023, 45, 1–41. [Google Scholar] [CrossRef] [PubMed]
- Blatt-Eisengart, I.; Lachman, M.E. Attributions for Memory Performance in Adulthood: Age Differences and Mediation Effects. Aging Neuropsychol. Cogn. 2004, 11, 68–79. [Google Scholar] [CrossRef]
- West, R.L.; Dark-Freudeman, A.; Bagwell, D.K. Goals-Feedback Conditions and Episodic Memory: Mechanisms for Memory Gains in Older and Younger Adults. Memory 2009, 17, 233–244. [Google Scholar] [CrossRef] [PubMed]
- Ford, J.; Zheng, B.; Hurtado, B.; de Jager, C.A.; Udeh-Momoh, C.; Middleton, L.; Price, G. Strategy or Symptom: Semantic Clustering and Risk of Alzheimer’s Disease-Related Impairment. J. Clin. Exp. Neuropsychol. 2020, 42, 849–856. [Google Scholar] [CrossRef]
- Delis, D.C.; Kramer, J.H.; Kaplan, E.; Ober, B.A. California Verbal Learning Test: Adult Version. Manual; The Psychological Corporation: San Antonio, TX, USA, 1987. [Google Scholar]
- Wolk, D.A.; Dickerson, B.C. Fractionating Verbal Episodic Memory in Alzheimer’s Disease. Neuroimage 2011, 54, 1530–1539. [Google Scholar] [CrossRef]
- Craik, F.I.M.; Lockhart, R.S. Levels of Processing: A Framework for Memory Research. J. Verbal Learn. Verbal Behav. 1972, 11, 671–684. [Google Scholar] [CrossRef]
- Goldblum, M.C.; Gomez, C.M.; Dalla Barba, G.; Boller, F.; Deweer, B.; Hahn, V.; Dubois, B. The Influence of Semantic and Perceptual Encoding on Recognition Memory in Alzheimer’s Disease. Neuropsychologia 1998, 36, 717–729. [Google Scholar] [CrossRef]
- Tombaugh, T.N. Trail Making Test A and B: Normative Data Stratified by Age and Education. Arch. Clin. Neuropsychol. 2004, 19, 203–214. [Google Scholar] [CrossRef]
- Stricker, J.L.; Brown, G.G.; Wixted, J.; Baldo, J.V.; Delis, D.C. New Semantic and Serial Clustering Indices for the California Verbal Learning Test–Second Edition: Background, Rationale, and Formulae. J. Int. Neuropsychol. Soc. 2002, 8, 425–435. [Google Scholar] [CrossRef] [PubMed]
- Sheather, S. A Modern Approach to Regression with R; Springer Texts in Statistics Series; Springer: New York, NY, USA, 2009; ISBN 978-0-387-09607-0. [Google Scholar]
- Rosenthal, R. Meta-Analytic Procedures for Social Research; SAGE Publications, Inc.: Thousand Oaks, CA, USA, 1991; ISBN 978-0-8039-4246-2. [Google Scholar]
- Kirchhoff, B.A.; Anderson, B.A.; Barch, D.M.; Jacoby, L.L. Cognitive and Neural Effects of Semantic Encoding Strategy Training in Older Adults. Cereb. Cortex 2012, 22, 788–799. [Google Scholar] [CrossRef] [PubMed]
- Kirchhoff, B.A.; Gordon, B.A.; Head, D. Prefrontal Gray Matter Volume Mediates Age Effects on Memory Strategies. Neuroimage 2014, 90, 326–334. [Google Scholar] [CrossRef]
- Taconnat, L.; Raz, N.; Toczé, C.; Bouazzaoui, B.; Sauzéon, H.; Fay, S.; Isingrini, M. Ageing and Organisation Strategies in Free Recall: The Role of Cognitive Flexibility. Eur. J. Cogn. Psychol. 2009, 21, 347–365. [Google Scholar] [CrossRef]
- Hazlett, E.A.; Buchsbaum, M.S.; Mohs, R.C.; Spiegel–Cohen, J.; Wei, T.-C.; Azueta, R.; Haznedar, M.M.; Singer, M.B.; Shihabuddin, L.; Luu–Hsia, C.; et al. Age-Related Shift in Brain Region Activity during Successful Memory Performance. Neurobiol. Aging 1998, 19, 437–445. [Google Scholar] [CrossRef]
- Verhaeghen, P.; Marcoen, A. Production Deficiency Hypothesis Revisited: Adult Age Differences in Strategy Use as a Function of Processing Resources. Aging Neuropsychol. Cogn. 1994, 1, 323–338. [Google Scholar] [CrossRef]
- Bouazzaoui, B.; Isingrini, M.; Fay, S.; Angel, L.; Vanneste, S.; Clarys, D.; Taconnat, L. Aging and Self-Reported Internal and External Memory Strategy Uses: The Role of Executive Functioning. Acta Psychol. 2010, 135, 59–66. [Google Scholar] [CrossRef]
- Glisky, E.L.; Rubin, S.R.; Davidson, P.S. Source Memory in Older Adults: An Encoding or Retrieval Problem? J. Exp. Psychol. Learn. Mem. Cogn. 2001, 27, 1131–1146. [Google Scholar] [CrossRef] [PubMed]
- Stuss, D.T.; Robertson, I.H.; Craik, F.I.M.; Levine, B.; Alexander, M.P.; Black, S.; Dawson, D.; Binns, M.A.; Palmer, H.; Downey-Lamb, M.; et al. Cognitive Rehabilitation in the Elderly: A Randomized Trial to Evaluate a New Protocol. J. Inter. Neuropsych. Soc. 2007, 13, 120–131. [Google Scholar] [CrossRef]
- Krasny-Pacini, A.; Chevignard, M.; Evans, J. Goal Management Training for Rehabilitation of Executive Functions: A Systematic Review of Effectiveness in Patients with Acquired Brain Injury. Disabil. Rehabil. 2014, 36, 105–116. [Google Scholar] [CrossRef]
- Craik, F.I.M.; Winocur, G.; Palmer, H.; Binns, M.A.; Edwards, M.; Bridges, K.; Glazer, P.; Chavannes, R.; Stuss, D.T. Cognitive Rehabilitation in the Elderly: Effects on Memory. J. Inter. Neuropsych. Soc. 2007, 13, 132–142. [Google Scholar] [CrossRef] [PubMed]
- McCarrey, A.C.; An, Y.; Kitner-Triolo, M.H.; Ferrucci, L.; Resnick, S.M. Sex Differences in Cognitive Trajectories in Clinically Normal Older Adults. Psychol. Aging 2016, 31, 166–175. [Google Scholar] [CrossRef]
- Brunet, H.E.; Caldwell, J.Z.K.; Brandt, J.; Miller, J.B. Influence of Sex Differences in Interpreting Learning and Memory within a Clinical Sample of Older Adults. Neuropsychol. Dev. Cogn. B Aging Neuropsychol. Cogn. 2020, 27, 18–39. [Google Scholar] [CrossRef]
- Bloomberg, M.; Dugravot, A.; Dumurgier, J.; Kivimaki, M.; Fayosse, A.; Steptoe, A.; Britton, A.; Singh-Manoux, A.; Sabia, S. Sex Differences and the Role of Education in Cognitive Ageing: Analysis of Two UK-Based Prospective Cohort Studies. Lancet Public. Health 2021, 6, e106–e115. [Google Scholar] [CrossRef] [PubMed]
- Maccora, J.; Peters, R.; Anstey, K.J. Gender Differences in Superior-Memory SuperAgers and Associated Factors in an Australian Cohort. J. Appl. Gerontol. 2021, 40, 433–442. [Google Scholar] [CrossRef] [PubMed]







| Sample 1 | Sample 2 | |||
|---|---|---|---|---|
| Neuropsychological Measures | Superagers Mean (SD) | Typical Older Adults Mean (SD) | Superagers Mean (SD) | Typical Older Adults Mean (SD) |
| N | 17 | 23 | 4 | 25 |
| Age | 67.47 (6.49) | 66.44 (4.70) | 79.50 (6.80) | 68.48 (6.20) |
| Sex (% female) | 71% | 35% | 50% | 64% |
| Education (years) | 17.21 (2.23) | 16.22 (1.98) | 18.00 (2.83) | 19.76 (12.78) |
| Trail Making Test A (log) | 1.45 (0.11) | 1.43 (0.14) | 1.92 (0.33) | 1.82 (0.17) |
| Trail Making Test B (log) | 1.76 (0.09) | 1.78 (0.19) | 2.07 (0.86) | 1.95 (0.37) |
| CVLT Trial 1 (max 16) | 9.71 (1.65) | 7.27 (2.53) | 8.00 (2.45) | 6.72 (1.54) |
| CVLT Trial 5 (max 16) | 14.71 (1.21) | 12.00 (2.64) | 14.75 (1.26) | 12.36 (2.64) |
| CVLT Total Learning (Recall on Trials 1–5) | 66.00 (5.16) | 52.09 (10.99) | 63.25 (7.09) | 50.92 (7.55) |
| CVLT Short Delay Free Recall (max 16) | 13.88 (1.72) | 10.17 (3.28) | 14.25 (0.96) | 10.16 (2.70) |
| CVLT Long Delay Free Recall (max 16) | 15.06 (0.97) | 10.46 (3.16) | 14.25 (0.50) | 10.16 (2.78) |
Disclaimer/Publisher’s Note: The statements, opinions and data contained in all publications are solely those of the individual author(s) and contributor(s) and not of MDPI and/or the editor(s). MDPI and/or the editor(s) disclaim responsibility for any injury to people or property resulting from any ideas, methods, instructions or products referred to in the content. |
© 2024 by the authors. Licensee MDPI, Basel, Switzerland. This article is an open access article distributed under the terms and conditions of the Creative Commons Attribution (CC BY) license (https://creativecommons.org/licenses/by/4.0/).
Share and Cite
Shaffer, C.; Andreano, J.M.; Touroutoglou, A.; Barrett, L.F.; Dickerson, B.C.; Wong, B. Semantic Clustering during Verbal Episodic Memory Encoding and Retrieval in Older Adults: One Cognitive Mechanism of Superaging. Brain Sci. 2024, 14, 171. https://doi.org/10.3390/brainsci14020171
Shaffer C, Andreano JM, Touroutoglou A, Barrett LF, Dickerson BC, Wong B. Semantic Clustering during Verbal Episodic Memory Encoding and Retrieval in Older Adults: One Cognitive Mechanism of Superaging. Brain Sciences. 2024; 14(2):171. https://doi.org/10.3390/brainsci14020171
Chicago/Turabian StyleShaffer, Clare, Joseph M. Andreano, Alexandra Touroutoglou, Lisa Feldman Barrett, Bradford C. Dickerson, and Bonnie Wong. 2024. "Semantic Clustering during Verbal Episodic Memory Encoding and Retrieval in Older Adults: One Cognitive Mechanism of Superaging" Brain Sciences 14, no. 2: 171. https://doi.org/10.3390/brainsci14020171
APA StyleShaffer, C., Andreano, J. M., Touroutoglou, A., Barrett, L. F., Dickerson, B. C., & Wong, B. (2024). Semantic Clustering during Verbal Episodic Memory Encoding and Retrieval in Older Adults: One Cognitive Mechanism of Superaging. Brain Sciences, 14(2), 171. https://doi.org/10.3390/brainsci14020171

