Understanding Exercise Adherence: The Predictability of Past Experience and Motivational Determinants
Abstract
1. Introduction
1.1. Theoretical Framework in the Exercise Context
1.2. Intention and Past Behavior
1.3. Past limitations and Agenda for Future Research
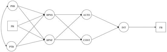
2. Materials and Methods
2.1. Measures
2.2. Statistical Analysis
3. Results
3.1. Preliminary Analysis
3.2. Main Analysis
4. Discussion
Limitations and Agenda for Future Research
5. Conclusions
Author Contributions
Funding
Conflicts of Interest
References
- WHO. Global Action Plan on Physical Activity 2018–2030; WHO: Geneva, Switzerland, 2019; pp. 1–104. [Google Scholar]
- Andersen, L.; Mota, J.; Di Pietro, L. Update on the global pandemic of physical inactivity. Lancet 2016, 388, 1255–1256. [Google Scholar] [CrossRef]
- European Comission. Special Eurobarometer 472—Sport and Physical Activity; European Comission: Brussels, Belgium, 2018; pp. 1–133. [Google Scholar]
- European Comission. Eurobarometer 334—Sport and Physical Activity; European Comission: Brussels, Belgium, 2009; pp. 1–321. [Google Scholar]
- IHRSA. Nutrition & Fitness Report; IHRSA: Boston, MA, USA, 2018; p. 2018. [Google Scholar]
- Prochaska, J.; DiClemente, C. Transtheoretical therapy: Toward a more integrative model of change. Psychother. TheoryRes. Pract. 1982, 19, 276–288. [Google Scholar] [CrossRef]
- Hagger, M. Habit and physical activity: Theoretical advances, practical implications, and agenda for future research. Psychol. Sport Exerc. 2019, 42, 118–129. [Google Scholar] [CrossRef]
- Edmunds, J.; Ntoumanis, N.; Duda, J. Testing a self-determination theory-based teaching style intervention in the exercise domain. Eur. J. Soc. Psychol. 2008, 38, 375–388. [Google Scholar] [CrossRef]
- Ryan, R.; Deci, E. Self-Determination Theory. Basic Psychological Needs in Motivation, Development, and Wellness; Guildford Press: New York, NY, USA, 2017. [Google Scholar]
- Rodrigues, F.; Bento, T.; Cid, L.; Pereira Neiva, H.; Teixeira, D.; Moutão, J.; Almeida Marinho, D.; Monteiro, D. Can Interpersonal Behavior Influence the Persistence and Adherence to Physical Exercise Practice in Adults? A Systematic Review. Front. Psychol. 2018, 9, 2141. [Google Scholar] [CrossRef]
- Gomes, A.R.; Goncalves, A.M.; Maddux, J.E.; Carneiro, L. The intention-behaviour gap: An empirical examination of an integrative perspective to explain exercise behaviour. Int. J. Sport Exerc. Psychol. 2017, 16, 607–621. [Google Scholar] [CrossRef]
- Ntoumanis, N.; Thøgersen-Ntoumani, C.; Quested, E.; Hancox, J. The effects of training group exercise class instructors to adopt a motivationally adaptive communication style. Scand. J. Med. Sci. Sports 2017, 27, 1026–1034. [Google Scholar] [CrossRef]
- Teixeira, P.J.; Carraca, E.V.; Markland, D.; Silva, M.N.; Ryan, R.M. Exercise, physical activity, and self-determination theory: A systematic review. Int. J. Behav. Nutr. Phys. Act. 2012, 9, 78. [Google Scholar] [CrossRef]
- Deci, E.; Ryan, R. Self-determination theory: Macrotheory of human motivation, development, and health. Can. J. Psychol. 2008, 49, 182–185. [Google Scholar] [CrossRef]
- Chen, B.; Vansteenkiste, M.; Beyers, W.; Boone, L.; Deci, E.L.; der Kaap-Deeder, J.V.; Duriez, B.; Lens, W.; Matos, L.; Mouratidis, A.; et al. Basic psychological need satisfaction, need frustration, and need strength across four cultures. Motiv. Emot. 2015, 39, 216–236. [Google Scholar] [CrossRef]
- Vansteenkiste, M.; Ryan, R.M. On psychological growth and vulnerability: Basic psychological need satisfaction and need frustration as a unifying principle. J. Psychother. Integr. 2013, 23, 263–280. [Google Scholar] [CrossRef]
- Sarrazin, P.; Vallerand, R.J.; descas Emma, G.; Pelletier, L.; Cury, F. Motivation and dropout in female handballers: A 21-month prospective study. Eur. J. Soc. Psychol. 2002, 32, 395–418. [Google Scholar] [CrossRef]
- Almagro, B.; Sáenz-López, P.; Moreno, J. Prediction of sport adherence through the influence of autonomy supportive coaching among Spanish adolescent athletes. J. Sports Sci. Med. 2010, 9, 8–14. [Google Scholar]
- Bartholomew, K.; Ntoumanis, N.; Ryan, R.M.; Bosch, J.A.; Thøgersen-Ntoumani, C. Self-determination theory and diminished functioning: The role of interpersonal control and psychological need thwarting. Personal. Soc. Psychol. Bull. 2011, 37, 1459–1473. [Google Scholar] [CrossRef]
- Moreno-Murcia, J.; Huescar Hernandez, E.; Ruiz, L. Perceptions of controlling teaching behaviors and the effects on the motivation and behavior of high school physical education students. Int. J. Environ. Res. Public Health 2018, 15, 2288. [Google Scholar] [CrossRef]
- Ajzen, I. The Theory of Planned Behavior. Organ. Behav. Hum. Decis. Process. 1991, 50, 179–211. [Google Scholar] [CrossRef]
- Hagger, M.; Chatzisarantis, N. Integrating the theory of planned behaviour and self-determination theory in health behaviour: A meta-analysis. Br. J. Health Psychol. 2009, 14, 275–302. [Google Scholar] [CrossRef]
- Hagger, M.; Chatzisarantis, N.; Biddle, S. A Meta-Analytic Review of the Theories of Reasoned Action and Planned Behavior in Physical Activity: Predictive Validity and the Contribution of Additional Variables. J. Sport Exerc. Psychol. 2002, 24, 3–32. [Google Scholar] [CrossRef]
- Sommer, L. The Theory Of Planned Behaviour and the impact of Past Behaviour. Int. Bus. Econ. Res. J. 2011, 10. [Google Scholar] [CrossRef]
- Hagger, M.; Hardcastle, S.J.; Chater, A.; Mallett, C.; Pal, S.; Chatzisarantis, N.L. Autonomous and controlled motivational regulations for multiple health-related behaviors: Between- and within-participants analyses. Health Psychol. Behav. Med. 2014, 2, 565–601. [Google Scholar] [CrossRef]
- Hagger, M. Advances in Motivation in Exercise and Physical Activity. In The Oxford Handbook of Human Motivation; Ryan, R., Ed.; Oxford University Press: New York, NY, USA, 2019; pp. 462–486. [Google Scholar]
- Puente, R.; Anshel, M. Exercisers’ perceptions of their fitness instructor’s interacting style, perceived competence, and autonomy as a function of self-determined regulation to exercise, enjoyment, affect, and exercise frequency. Scand. J. Psychol. 2010, 51, 38–45. [Google Scholar] [CrossRef] [PubMed]
- Buckworth, J.; Dishman, R.; O’Connor, P.; Tomporowski, P. Exercise Psychology, 2nd ed.; Human Kinetics: Champaign, IL, USA, 2013. [Google Scholar]
- Rodrigues, F.; Pelletier, L.; Neiva, H.P.; Teixeira, D.S.; Cid, L.; Monteiro, D. Initial validation of the Portuguese version of the Interpersonal Behavior Questionnaire (IBQ & IBQ-Self) in the context of exercise: Measurement invariance and latent mean differences. Curr. Psychol. 2019, 1–12. [Google Scholar] [CrossRef]
- Rocchi, M.; Pelletier, L. How does coaches’ reported interpersonal behavior align with athletes’ perceptions? Consequences for female athletes’ psychological needs in sport. SportExerc. Perform. Psychol. 2018, 7, 141–154. [Google Scholar] [CrossRef]
- Rocchi, M.; Pelletier, L.; Cheung, S.; Baxter, D.; Beaudry, S. Assessing need-supportive and need-thwarting interpersonal behaviours: The Interpersonal Behaviours Questionnaire (IBQ). Personal. Individ. Differ. 2017, 104, 423–433. [Google Scholar] [CrossRef]
- Rodrigues, F.; Joseph, F.H., Jr.; Neiva, H.P.; Teixeira, D.S.; Cid, L.; Monteiro, D. The Basic Psychological Need Satisfaction and Frustration Scale in Exercise (BPNSFS-E): Validity, Reliability, and Gender Invariance in Portuguese Exercisers. Percept. Mot. Ski. 2019. [Google Scholar] [CrossRef]
- Teixeira, D.; Silva, M.; Palmeira, A. How does frustration make you feel? A motivational analysis in exercise context. Motiv. Emot. 2018, 42, 419–428. [Google Scholar] [CrossRef]
- Cid, L.; Monteiro, D.; Teixeira, D.; Teques, P.; Alves, S.; Moutão, J.; Silva, M.; Palmeira, A. The Behavioral Regulation in Exercise Questionnaire (BREQ-3) Portuguese-Version: Evidence of Reliability, Validity and Invariance Across Gender. Front. Psychol. 2018, 9, 1940. [Google Scholar] [CrossRef]
- Jowett, S.; Adie, J.W.; Bartholomew, K.J.; Yang, S.X.; Gustafsson, H.; Lopez-Jiménez, A. Motivational processes in the coach-athlete relationship: A multi-cultural self-determination approach. Psychol. Sport Exerc. 2017, 32, 143–152. [Google Scholar] [CrossRef]
- Ajzen, I. Constructing a TPB Questionnaire: Conceptual and Methodological Considerations. 2006. Available online: http://www-unix.oit.umass.edu/~aizen (accessed on 14 March 2019).
- Byrne, B. Structural Equation Modeling with AMOS. Basic Concepts, Applications, and Programming, 3rd ed.; Taylor & Francis Group, LLC.: New York, NY, USA, 2016. [Google Scholar]
- Raykov, T. Estimation of Composite Reliability for congeneric measures. Appl. Psychol. Meas. 1997, 21, 173–184. [Google Scholar] [CrossRef]
- Kline, R. Principles and Practice of Structural Equation Modelling, 3rd ed.; The Guildford Press: New York, NY, USA, 2016. [Google Scholar]
- Muthén, L.; Muthén, B. Mplus User’s Guide; Muthén & Muthén: Los Angeles, CA, USA, 2010. [Google Scholar]
- Yuan, K.; Bentler, P. Structural Equation Modeling with Robust Covariances. Sociol. Methodol. 2002, 28. [Google Scholar] [CrossRef]
- Hair, J.; Babin, B.J.; Anderson, R.E.; Black, W.C. Multivariate Data Analysis, 8th ed.; Pearson Educational, Inc.: Hoboken, NJ, USA, 2019. [Google Scholar]
- Hair, J.; Babin, B.J.; Blank, W.C. Multivariate Data Analysis, 7th ed.; Pearson Educational, Inc.: Hoboken, NJ, USA, 2014. [Google Scholar]
- Marsh, H.; Hau, K.; Wen, Z. In search of Golden Rules: Comment on hypothesis-testing approaches to setting cutoff values for fit indexes and dangers in overgeneralizing Hu and Bentler’s (1999) Findings. Struct. Equ. Modeling A Multidiscip. J. 2004, 11, 320–341. [Google Scholar] [CrossRef]
- Williams, J.; Mackinnon, D. Resampling and Distribution of the Product Methods for Testing Indirect Effects in Complex Models. Struct. Equ. Modeling 2008, 15, 23–51. [Google Scholar] [CrossRef] [PubMed]
- Rodrigues, F.; Teixeira, D.S.; Cid, L.; Machado, S.; Monteiro, D. The role of dark-side of motivation and intention to continue in exercise: A self-determination theory approach. Scand. J. Psychol. 2019, 60, 585–595. [Google Scholar] [CrossRef]
- Hagger, M.; Polet, J.; Lintunen, T. The reasoned action approach applied to health behavior: Role of past behavior and tests of some key moderators using meta-analytic structural equation modeling. Soc. Sci. Med. 2018, 213, 85–94. [Google Scholar] [CrossRef] [PubMed]
- Monteiro, D.; Pelletier, L.; Moutaol, J.; Cid, L. Examining the motivational determinants of enjoyment and the intention to continue of persistent competitive swimmers. Int. J. Sport Psychol. 2018, 49, 484–504. [Google Scholar]
- Wilson, P.; Rodgers, W. The relationship between perceived autonomy support, exercise regulations and behavioral intentions in women. Psychol. Sport Exerc. 2004, 5, 229–242. [Google Scholar] [CrossRef]
- Gunnell, K.; Crocker, P.R.E.; Wilson, P.M.; Mack, D.E.; Zumbo, B.D. Psychological need satisfaction and thwarting: A test of Basic Psychological Needs Theory in Phys. activity contexts. Psychol. Sport Exerc. 2013, 14, 599–607. [Google Scholar] [CrossRef]
- Lally, P.; van Jaarsveld, C.H.M.; Potts, H.W.W.; Wardle, J. How are habits formed: Modelling habit formation in the real world. Eur. J. Soc. Psychol. 2010, 40, 998–1009. [Google Scholar] [CrossRef]
- Zhuang, C.; Zhang, R.; Schwarzer, R.; Hagger, H. A meta-analysis of the health action process approach. Health Psychol. 2018, 38, 623–637. [Google Scholar] [CrossRef]




| M | SD | S | K | CR | Correlation Matrix | |||||||||
|---|---|---|---|---|---|---|---|---|---|---|---|---|---|---|
| 1 | 2 | 3 | 4 | 5 | 6 | 7 | 8 | 9 | ||||||
| 1. Perceived Supportive Behaviors | 5.02 | 0.79 | −0.18 | 0.04 | 0.80 | 1 | ||||||||
| 2. Perceived Thwarting Behaviors | 2.49 | 0.87 | 0.28 | −0.11 | 0.72 | −0.66 ** | 1 | |||||||
| 3. BPN Satisfaction | 4.04 | 0.51 | −0.58 | 1.6 | 0.75 | 0.63 ** | −0.25 ** | 1 | ||||||
| 4. BPN Frustration | 1.80 | 0.57 | 0.74 | 0.41 | 0.76 | −0.46 ** | 0.58 ** | −0.81 ** | 1 | |||||
| 5. Autonomous Motivation | 3.32 | 0.49 | −0.57 | 0.46 | 0.77 | 0.52 ** | −0.35 ** | 0.56 ** | −0.54 ** | 1 | ||||
| 6. Controlled Motivation | 0.04 | 0.34 | 0.67 | −0.17 | 0.70 | −0.31 ** | 0.57 ** | −0.30 ** | 0.61 ** | −0.61 ** | 1 | |||
| 7. Intention | 4.46 | 0.71 | −1.58 | 2.21 | 0.94 | 0.27 ** | −0.23 ** | 0.37 ** | −0.30 ** | 0.45 ** | −0.35 ** | 1 | ||
| 8. Past Behavior | 69.52 | 29.74 | 0.67 | −0.02 | - | 0.10 ** | 0.07 | 0.11 * | −0.14 * | 0.28 ** | −0.17 ** | 0.21 ** | 1 | |
| 9. Future Exercise Adherence | 67.59 | 31.58 | 0.47 | −0.29 | - | 0.11 ** | 0.05 | 0.10 * | −0.10 * | 0.27 ** | −0.16 ** | 0.24 ** | 0.86 ** | 1 |
| χ2 | df | CFI | NFI | SRMR | RMSEA | 90% CI | |
|---|---|---|---|---|---|---|---|
| Figure 1 | 1209.663 * | 198 | 0.63 | 0.57 | 0.13 | 0.13 | 0.12, 0.14 |
| Figure 2 | 1100.716 * | 197 | 0.67 | 0.61 | 0.09 | 0.12 | 0.11, 0.13 |
| Figure 3 | 1091.767 * | 197 | 0.67 | 0.62 | 0.09 | 0.12 | 0.11, 0.13 |
| Figure 4 | 456.379 * | 197 | 0.91 | 0.89 | 0.07 | 0.07 | 0.06, 0.08 |
| β | SE | CI95% | ||
|---|---|---|---|---|
| Lower | Upper | |||
| Supportive Behaviors → BPN Satisfaction | 0.72 | 0.20 | 0.38 | 0.89 |
| Supportive Behaviors → BPN Frustration | −0.31 | 0.19 | −0.63 | 0.02 |
| Thwarting Behaviors → BPN Satisfaction | 0.14 | 0.21 | −0.21 | 0.49 |
| Thwarting Behaviors → BPN Frustration | 0.41 | 0.20 | 0.08 | 0.74 |
| BPN Satisfaction → Autonomous Motivation | 0.36 | 0.12 | 0.16 | 0.56 |
| BPN Satisfaction → Controlled Motivation | 0.07 | 0.16 | −0.20 | 0.34 |
| BPN Frustration → Autonomous Motivation | −0.43 | 0.09 | −0.59 | −0.27 |
| BPN Frustration → Controlled Motivation | 0.73 | 0.13 | 0.52 | 0.94 |
| Autonomous Motivation → Intention | 0.36 | 0.08 | 16 | 0.56 |
| Controlled Motivation → Intention | −0.14 | 0.11 | −0.34 | −0.05 |
| Intention → Future Behavior | 0.04 | 0.02 | 0.04 | 0.08 |
| Past Behavior → Intention | 0.12 | 0.05 | 0.03 | 0.20 |
| Past Behavior → Future Exercise Adherence | 0.92 | 0.01 | 0.89 | 0.95 |
| β | SE | CI95% | ||
|---|---|---|---|---|
| Lower | Upper | |||
| Supportive Behaviors → BPNS → AUTO → INT → FEA | 0.09 | 0.01 | 0.04 | 0.18 |
| Supportive Behaviors → BPNS → CONT → INT → FEA | 0.01 | 0.01 | −0.01 | 0.03 |
| Supportive Behaviors → BPNF → AUTO → INT → FEA | −0.01 | 0.00 | −0.01 | 0.03 |
| Supportive Behaviors → BPNF → CONT → INT → FEA | 0.01 | 0.01 | −0.01 | 0.02 |
| Thwarting Behaviors → BPNS → AUTO → INT → FEA | 0.01 | 0.01 | −0.02 | 0.03 |
| Thwarting Behaviors → BPNS → CONT → INT → FEA | −0.02 | 0.01 | −0.13 | 0.09 |
| Thwarting Behaviors → BPNF → AUTO → INT → FEA | −0.11 | 0.00 | −0.31 | −0.09 |
| Thwarting Behaviors → BPNF → CONT → INT → FEA | −0.08 | 0.02 | −0.20 | −0.02 |
| Supportive Behaviors → BPNS → AUTO → INT | 0.10 | 0.05 | 0.02 | 0.17 |
| Supportive Behaviors → BPNS → CONT → INT | 0.05 | 0.04 | −0.01 | 0.11 |
| Supportive Behaviors → BPNF → AUTO → INT | −0.01 | 0.02 | −0.04 | 0.02 |
| Supportive Behaviors → BPNF → CONT → INT | 0.03 | 0.03 | −0.02 | 0.09 |
| Thwarting Behaviors → BPNS → AUTO → INT | 0.02 | 0.03 | −0.03 | 0.07 |
| Thwarting Behaviors → BPNS → CONT → INT | −0.07 | 0.04 | −0.13 | −0.01 |
| Thwarting Behaviors → BPNF → AUTO → INT | 0.00 | 0.00 | −0.01 | 0.01 |
| Thwarting Behaviors → BPNF → CONT → INT | −0.09 | 0.04 | −0.10 | −0.02 |
| Supportive Behaviors → BPNS → AUTO | 0.25 | 0.11 | 0.08 | 0.43 |
| Supportive Behaviors → BPNS → CONT | 0.05 | 0.07 | −0.15 | 0.25 |
| Supportive Behaviors → BPNF → AUTO | 0.13 | 0.09 | 0.02 | 0.29 |
| Supportive Behaviors → BPNF → CONT | −0.22 | 0.08 | −0.48 | −0.09 |
| Thwarting Behaviors → BPNS → AUTO | 0.05 | 0.12 | −0.07 | 0.17 |
| Thwarting Behaviors → BPNS → CONT | 0.01 | 0.03 | −0.04 | 0.07 |
| Thwarting Behaviors → BPNF → AUTO | −0.18 | 0.15 | −0.32 | −0.03 |
| Thwarting Behaviors → BPNF → CONT | 0.30 | 0.16 | 0.04 | 0.56 |
| BPNS → AUTO → INT → FEA | 0.11 | 0.02 | 0.02 | 0.21 |
| BPNS → CONT → INT → FEA | −0.02 | 0.01 | −0.01 | 0.01 |
| BPNF → AUTO → INT → FEA | −0.04 | 0.02 | −0.07 | −0.01 |
| BPNF → CONT → INT → FEA | −0.03 | 0.02 | −0.06 | −0.01 |
| BPNS → AUTO → INT | 0.14 | 0.05 | 0.05 | 0.23 |
| BPNS → CONT → INT | −0.01 | 0.02 | −0.05 | 0.03 |
| BPNF → AUTO → INT | −0.11 | 0.05 | −0.23 | −0.01 |
| BPNF → CONT → INT | −0.16 | 0.08 | −0.25 | −0.08 |
| AUTO → INT → FEA | 0.09 | 0.03 | 0.04 | 0.14 |
| CONT → INT → FEA | −0.04 | 0.03 | −0.08 | 0.01 |
| PB → INT → FEA | 0.10 | 0.01 | 0.02 | 0.19 |
© 2020 by the authors. Licensee MDPI, Basel, Switzerland. This article is an open access article distributed under the terms and conditions of the Creative Commons Attribution (CC BY) license (http://creativecommons.org/licenses/by/4.0/).
Share and Cite
Rodrigues, F.; Teixeira, D.S.; Neiva, H.P.; Cid, L.; Monteiro, D. Understanding Exercise Adherence: The Predictability of Past Experience and Motivational Determinants. Brain Sci. 2020, 10, 98. https://doi.org/10.3390/brainsci10020098
Rodrigues F, Teixeira DS, Neiva HP, Cid L, Monteiro D. Understanding Exercise Adherence: The Predictability of Past Experience and Motivational Determinants. Brain Sciences. 2020; 10(2):98. https://doi.org/10.3390/brainsci10020098
Chicago/Turabian StyleRodrigues, Filipe, Diogo S. Teixeira, Henrique P. Neiva, Luís Cid, and Diogo Monteiro. 2020. "Understanding Exercise Adherence: The Predictability of Past Experience and Motivational Determinants" Brain Sciences 10, no. 2: 98. https://doi.org/10.3390/brainsci10020098
APA StyleRodrigues, F., Teixeira, D. S., Neiva, H. P., Cid, L., & Monteiro, D. (2020). Understanding Exercise Adherence: The Predictability of Past Experience and Motivational Determinants. Brain Sciences, 10(2), 98. https://doi.org/10.3390/brainsci10020098

