A Hybrid Crow Search Algorithm for Solving Permutation Flow Shop Scheduling Problems
Abstract
:1. Introduction
2. Background Knowledge and Related Works
- Nawaz–Enscore–Ham heuristic (NEH);
- Crow search algorithm (CSA);
- Simulated annealing (SA);
- Variable neighborhood search (VNS).
2.1. NEH Heuristic
| Algorithm 1 Standard Nawaz–Enscore–Ham (NEH) algorithm. | ||
| Input: | n jobs, s machines, and the processing time of each job on each machine | |
| Output: | A solution with a minimized makespan | |
| Step: | Description: | |
| 1. | Obtain a permutation of n jobs such that each job is in a descending order of its processing time on the machines. | |
| 2. | Choose the first two jobs from job sequence , and obtain the superior order according to the makespan values | |
| 3. | Generate a new job permutation by inserting the q-th job (q = 3, …, n) in job sequence in every possible slot of job sequence , and choose the order with the minimum makespan. | |
| 4. | Finally, output the current best solution—the one with the minimum makespan value. | |
2.2. Crow Search Algorithm (CSA)
- Crows live in flocks;
- Crows recall where their caches are;
- Crows pursue each other and opportunistically burglarize food caches;
- Crows protect their hiding spaces from attackers with a probability in the interval [0, 1].
| Algorithm 2 Standard crow search algorithm (CSA). | ||
| Input: | Number of crows N, flight length , awareness probability | |
| Output: | The best solution | |
| Step: | Description: | |
| 1. | Randomly initialize the position of all crows. | |
| 2. | Initialize the memory of all crows. | |
| 3. | Obtain the fitness value of all crows. | |
| 4. | Obtain the memory of all crows. | |
| 5. | Update the position of all crows according to Equation (2). | |
| 6. | Repeat Steps 3 to 5 until the termination criterion is reached. | |
| 7. | Output the best solution. | |
2.3. Simulated Annealing (SA)
| Algorithm 3 A standard simulated annealing (SA) algorithm. | ||
| Input: | Initial temperature T, cooling rate , and frozen temperature | |
| Output: | The best solution | |
| Step: | Description: | |
| 1. | Initialize with a random solution. | |
| 2. | Generate a new solution by using the perturbation method and computing a fitness function. | |
| 3. | Calculate the energy change . | |
| 4. | If , the new solution will be accepted and adopted as the best solution. | |
| 5. | If , calculate the probability of accepting the solution according to . | |
| 6. | Adjust temperature T using . | |
| 7. | Repeat Steps 2 to 6 until temperature T reaches the freezing point, . | |
| 8. | Finally, the best solution is found. | |
| In the above, is the new solution object value, is the current best solution value, and is a uniform random variable in the interval [0, 1]. | ||
2.4. Variable Neighborhood Search
- Pair-swap: Randomly select two different positions from the permutation sequence and swap these positions;
- Inversion: Invert the subsequence between two random positions from the permutation sequence;
- Insertion: Randomly select two different positions from the permutation sequence and insert the front position before the back position;
- Displacement: Randomly choose a position and a subsequence; then, insert the subsequence before the chosen position.
3. Problem Definition
4. Proposed Algorithm
4.1. Solution Representation
4.2. Initial Population
4.3. SA-VNS Local Search
4.4. The Proposed HCSA Algorithm
5. Experimental Results
5.1. Environment Setting
5.2. Parameter Setting
5.3. Comparison of CSA Algorithms Incorporated with Variants of the NEH
5.4. Comparison of CSA Algorithms Incorporated with the SA-Based Local Search
5.5. Comparison of Meta-Heuristic Algorithms
6. Conclusions
Author Contributions
Funding
Conflicts of Interest
References
- Fournier-Viger, P.; Lin, J.C.W.; Kiran, R.U.; Koh, Y.S.; Thomas, R. A survey of sequential pattern mining. Data Sci. Pattern Recognit. 2017, 1, 54–77. [Google Scholar]
- Gan, W.; Lin, J.C.W.; Fournier-Viger, P.; Chao, H.C.; Philip, S.Y. HUOPM: High-Utility Occupancy Pattern Mining. IEEE Trans. Cybern. 2019, 1–14. [Google Scholar] [CrossRef] [PubMed]
- Lin, J.C.W.; Zhang, Y.; Zhang, B.; Fournier-Viger, P.; Djenouri, Y. Hiding sensitive itemsets with multiple objective optimization. Soft Comput. 2019, 1–19. [Google Scholar] [CrossRef]
- Lin, J.C.W.; Yang, L.; Fournier-Viger, P.; Hong, T.P. Mining of skyline patterns by considering both frequent and utility constraints. Eng. Appl. Artif. Intell. 2019, 77, 229–238. [Google Scholar] [CrossRef]
- Huang, K.W.; Chen, J.L.; Yang, C.S.; Tsai, C.W. A memetic particle swarm optimization algorithm for solving the DNA fragment assembly problem. Neural Comput. Appl. 2014, 26, 495–506. [Google Scholar] [CrossRef]
- Allaoui, M.; Ahiod, B.; El Yafrani, M. A hybrid crow search algorithm for solving the DNA fragment assembly problem. Expert Syst. Appl. 2018, 102, 44–56. [Google Scholar] [CrossRef]
- Zhu, Z.; Zhou, J.; Ji, Z.; Shi, Y.H. DNA Sequence Compression Using Adaptive Particle Swarm Optimization-Based Memetic Algorithm. IEEE Trans. Evol. Comput. 2011, 15, 643–658. [Google Scholar] [CrossRef]
- Fan, Q.; Ansari, N. Application aware workload allocation for edge computing-based IoT. IEEE Internet Things J. 2018, 5, 2146–2153. [Google Scholar] [CrossRef]
- Lin, J.C.W.; Wu, J.M.T.; Fournier-Viger, P.; Djenouri, Y.; Chen, C.H.; Zhang, Y. A Sanitization Approach to Secure Shared Data in an IoT Environment. IEEE Access 2019. [Google Scholar] [CrossRef]
- López, L.F.M.; Blas, N.G.; Albert, A.A. Multidimensional knapsack problem optimization using a binary particle swarm model with genetic operations. Soft Comput. 2018, 22, 2567–2582. [Google Scholar] [CrossRef]
- De Mingo López, L.F.; Gómez Blas, N.; Arteta, A. Optimal Performance: Underlying Octahedron Graph of Evolutionary Processors. Comput. Inform. 2016, 34, 858–876. [Google Scholar]
- Kadri, R.L.; Boctor, F.F. An efficient genetic algorithm to solve the resource-constrained project scheduling problem with transfer times: The single mode case. Eur. J. Oper. Res. 2018, 265, 454–462. [Google Scholar] [CrossRef]
- Chen, W.N.; Chung, H.S.H.; Zhong, W.L.; Wu, W.G.; Shi, Y.H. A Novel Set-Based Particle Swarm Optimization Method for Discrete Optimization Problems. IEEE Trans. Evol. Comput. 2010, 14, 278–300. [Google Scholar] [CrossRef]
- Johnson, S.M. Optimal two and three-stage production schedules with setup times included. Naval Res. Logist. Q. 1954, 1, 61–68. [Google Scholar] [CrossRef]
- Rinnooy Kan, A.H.G. Machine Scheduling Problems: Classification, Complexity And Computations; Martinus Nijhoff: The Hague, The Netherlands, 1976. [Google Scholar]
- Nawaz, M.; Enscore, E.E., Jr.; Ham, I. A heuristic algorithm for the m-machine, n-job flow-shop sequencing problem. Omega 1983, 11, 91–95. [Google Scholar] [CrossRef]
- Dong, X.; Huang, H.; Chen, P. An improved NEH-based heuristic for the permutation flowshop problem. Comput. Oper. Res. 2008, 35, 3962–3968. [Google Scholar] [CrossRef]
- Kalczynski, P.J.; Kamburowski, J. An improved NEH heuristic to minimize makespan in permutation flow shops. Comput. Oper. Res. 2008, 35, 3001–3008. [Google Scholar] [CrossRef]
- Kalczynski, P.J.; Kamburowski, J. An empirical analysis of the optimality rate of flow shop heuristics. Eur. J. Oper. Res. 2009, 198, 93–101. [Google Scholar] [CrossRef]
- Ying, K.C.; Lin, S.W. A high-performing constructive heuristic for minimizing makespan in permutation flowshops. J. Ind. Prod. Eng. 2013, 30, 355–362. [Google Scholar] [CrossRef]
- Xiong, F.; Xing, K.; Wang, F. Scheduling a hybrid assembly-differentiation flowshop to minimize total flow time. Eur. J. Oper. Res. 2015, 240, 338–354. [Google Scholar] [CrossRef]
- Liu, W.; Jin, Y.; Price, M. A new improved NEH heuristic for permutation flowshop scheduling problems. Int. J. Prod. Econ. 2017, 193, 21–30. [Google Scholar] [CrossRef]
- Gendreau, M.; Potvin, J.Y. Handbook of Metaheuristics, 2nd ed.; Springer: New York, NY, USA, 2010. [Google Scholar]
- Karaboga, D. An Idea Based on Honey Bee Swarm for Numerical Optimization; Technical Report TR06; Erciyes University: Kayseri, Turkey, 2005. [Google Scholar]
- Dorigo, M.; Maniezzo, V.; Colorni, A. Ant system: Optimization by a colony of cooperating agents. IEEE Trans. Syst. Man Cybern. Part B 1996, 26, 29–41. [Google Scholar] [CrossRef] [PubMed]
- Yang, X.S. Chapter 9—Cuckoo Search. In Nature-Inspired Optimization Algorithms; Yang, X.S., Ed.; Elsevier: Oxford, UK, 2014; pp. 129–139. [Google Scholar]
- Das, S.; Suganthan, P. Differential Evolution: A Survey of the State-of-the-Art. IEEE Trans. Evol. Comput. 2011, 15, 4–31. [Google Scholar] [CrossRef]
- Yang, X.S. Firefly Algorithms for Multimodal Optimization. In Stochastic Algorithms: Foundations and Applications; Watanabe, O., Zeugmann, T., Eds.; Lecture Notes in Computer Science; Springer: Berlin/Heidelberg, Germany, 2009; Volume 5792, pp. 169–178. [Google Scholar]
- Rashedi, E.; Nezamabadi-pour, H.; Saryazdi, S. GSA: A Gravitational Search Algorithm. Inf. Sci. 2009, 179, 2232–2248. [Google Scholar] [CrossRef]
- Kennedy, J.; Eberhart, R. Particle swarm optimization. In Proceedings of the IEEE International Conference on Neural Networks, Perth, Australia, 27 November–1 December 1995; Volume 4, pp. 1942–1948. [Google Scholar]
- Mirjalili, S.; Lewis, A. The whale optimization algorithm. Adv. Eng. Softw. 2016, 95, 51–67. [Google Scholar] [CrossRef]
- Chiang, M.C.; Tsai, C.W.; Yang, C.S. A time-efficient pattern reduction algorithm for k-means clustering. Inf. Sci. 2011, 181, 716–731. [Google Scholar] [CrossRef]
- Fong, S.; Lou, H.L.; Zhuang, Y.; Deb, S.; Hanne, T. Solving the Permutation Flow Shop Problem with Firefly Algorithm. In Proceedings of the 2014 2nd International Symposium on Computational and Business Intelligence (ISCBI), New Delhi, India, 7–8 December 2014; pp. 25–29. [Google Scholar]
- Ding, J.Y.; Song, S.; Gupta, J.N.; Zhang, R.; Chiong, R.; Wu, C. An improved iterated greedy algorithm with a Tabu-based reconstruction strategy for the no-wait flowshop scheduling problem. Appl. Soft Comput. 2015, 30, 604–613. [Google Scholar] [CrossRef]
- Marichelvam, M.; Tosun, Ö.; Geetha, M. Hybrid monkey search algorithm for flow shop scheduling problem under makespan and total flow time. Appl. Soft Comput. 2017, 55, 82–92. [Google Scholar] [CrossRef]
- Abdel-Basset, M.; Manogaran, G.; El-Shahat, D.; Mirjalili, S. A hybrid whale optimization algorithm based on local search strategy for the permutation flow shop scheduling problem. Future Gener. Comput. Syst. 2018, 85, 129–145. [Google Scholar] [CrossRef]
- Sanjeev Kumar, R.; Padmanaban, K.; Rajkumar, M. Minimizing makespan and total flow time in permutation flow shop scheduling problems using modified gravitational emulation local search algorithm. Proc. Inst. Mech. Eng. Part B J. Eng. Manuf. 2018, 232, 534–545. [Google Scholar] [CrossRef]
- Askarzadeh, A. A novel metaheuristic method for solving constrained engineering optimization problems: Crow search algorithm. Comput. Struct. 2016, 169, 1–12. [Google Scholar] [CrossRef]
- Abdelaziz, A.Y.; Fathy, A. A novel approach based on crow search algorithm for optimal selection of conductor size in radial distribution networks. Eng. Sci. Technol. 2017, 20, 391–402. [Google Scholar] [CrossRef]
- Jain, M.; Rani, A.; Singh, V. An improved Crow Search Algorithm for high-dimensional problems. J. Intell. Fuzzy Syst. 2017, 33, 3597–3614. [Google Scholar] [CrossRef]
- Kirkpatrick, S.; Gelatt, C.D.; Vecchi, M.P. Optimization by simulated annealing. Science 1983, 220, 671–680. [Google Scholar] [CrossRef]
- Taillard, E. Some efficient heuristic methods for the flow shop sequencing problem. Eur. J. Oper. Res. 1990, 47, 65–74. [Google Scholar] [CrossRef]
- Prior, H.; Schwarz, A.; Güntürkün, O. Mirror-Induced Behavior in the Magpie (Pica pica): Evidence of Self-Recognition. PLoS Biol. 2008, 6, 1–9. [Google Scholar] [CrossRef]
- Osman, I.H.; Potts, C.N. Simulated annealing for permutation flow-shop scheduling. Omega 1989, 17, 551–557. [Google Scholar] [CrossRef]
- Low, C.; Yeh, J.Y.; Huang, K.I. A robust simulated annealing heuristic for flow shop scheduling problems. Int. J. Adv. Manuf. Technol. 2004, 23, 762–767. [Google Scholar] [CrossRef]
- Low, C. Simulated annealing heuristic for flow shop scheduling problems with unrelated parallel machines. Comput. Oper. Res. 2005, 32, 2013–2025. [Google Scholar] [CrossRef]
- Dai, M.; Tang, D.; Giret, A.; Salido, M.A.; Li, W. Energy-efficient scheduling for a flexible flow shop using an improved genetic-simulated annealing algorithm. Robot. Comput. Integr. Manuf. 2013, 29, 418–429. [Google Scholar] [CrossRef]
- Bean, J.C. Genetic Algorithms and Random Keys for Sequencing and Optimization. ORSA J. Comput. 1994, 6, 154–160. [Google Scholar] [CrossRef]
- Tasgetiren, M.F.; Liang, Y.C.; Sevkli, M.; Gencyilmaz, G. A particle swarm optimization algorithm for makespan and total flowtime minimization in the permutation flowshop sequencing problem. Eur. J. Oper. Res. 2007, 177, 1930–1947. [Google Scholar] [CrossRef]
- Taillard, E. Benchmarks for basic scheduling problems. Eur. J. Oper. Res. 1993, 64, 278–285. [Google Scholar] [CrossRef]
- Liu, B.; Wang, L.; Jin, Y. An Effective PSO-Based Memetic Algorithm for Flow Shop Scheduling. IEEE Trans. Syst. Man Cybern. Part B 2007, 37, 18–27. [Google Scholar] [CrossRef]




| Dimension d | Position Value | Job Permutation |
|---|---|---|
| 1 | 1.35 | 2 |
| 2 | −2.46 | 6 |
| 3 | −1.52 | 3 |
| 4 | 2.31 | 5 |
| 5 | 0.52 | 1 |
| 6 | −1.68 | 4 |
| Dimension d | Job Permutation from NEH Heuristic | Initial Value | Remapped Values |
|---|---|---|---|
| 1 | 2 | −1.02 | 1.31 |
| 2 | 6 | 0.45 | −1.02 |
| 3 | 3 | 1.31 | 0.45 |
| 4 | 5 | −0.76 | 2.87 |
| 5 | 1 | 2.87 | 0.56 |
| 6 | 4 | 0.56 | −0.76 |
| Problem | Jobs | Machines |
|---|---|---|
| ta01 | 20 | 5 |
| ta11 | 20 | 10 |
| ta21 | 20 | 20 |
| ta31 | 50 | 5 |
| ta41 | 50 | 10 |
| ta51 | 50 | 20 |
| ta61 | 100 | 5 |
| ta71 | 100 | 10 |
| ta81 | 100 | 20 |
| ta91 | 200 | 10 |
| ta101 | 200 | 20 |
| ta111 | 500 | 20 |
| Algorithm | Parameter | Value |
|---|---|---|
| CSA | ||
| Number of crows | 20 | |
| Number of iterations | 1000 | |
| Number of independent runs R | 20 | |
| Flight length | 10 | |
| Awareness probability | 0.25 | |
| SA | ||
| Initial temperature T | 100 | |
| cooling coefficient | 0.99 |
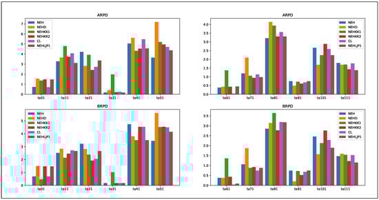
| NEH | NEHD | NEHKK1 | NEHKK2 | CL | NEHLJP1 | ||
|---|---|---|---|---|---|---|---|
| Problem | |||||||
| ta01 | BRPD | 0.70 | 1.49 | 0.47 | 1.48 | 0.70 | 1.48 |
| ARPD | 0.73 | 1.55 | 1.36 | 1.48 | 0.71 | 1.48 | |
| ta11 | BRPD | 2.52 | 2.84 | 2.14 | 2.46 | 2.72 | 2.66 |
| ARPD | 3.28 | 3.66 | 4.79 | 3.73 | 4.08 | 3.12 | |
| ta21 | BRPD | 3.22 | 2.82 | 2.39 | 1.92 | 2.05 | 2.66 |
| ARPD | 4.22 | 2.82 | 3.93 | 2.42 | 2.73 | 3.37 | |
| ta31 | BRPD | 0.18 | 0.00 | 1.02 | 0.18 | 0.18 | 0.18 |
| ARPD | 0.18 | 0.39 | 1.98 | 0.21 | 0.25 | 0.18 | |
| ta41 | BRPD | 4.74 | 3.81 | 3.51 | 4.54 | 4.54 | 3.51 |
| ARPD | 5.05 | 5.62 | 4.33 | 4.54 | 5.48 | 4.57 | |
| ta51 | BRPD | 3.45 | 5.61 | 4.52 | 4.55 | 4.50 | 4.16 |
| ARPD | 3.65 | 7.20 | 5.21 | 4.96 | 4.71 | 4.38 | |
| ta61 | BRPD | 0.38 | 0.38 | 1.36 | 0.43 | 0.04 | 0.09 |
| ARPD | 0.38 | 0.43 | 1.37 | 0.43 | 0.04 | 0.45 | |
| ta71 | BRPD | 1.06 | 1.87 | 0.88 | 0.92 | 0.74 | 0.88 |
| ARPD | 1.19 | 2.10 | 1.06 | 0.94 | 1.14 | 0.98 | |
| ta81 | BRPD | 2.85 | 3.14 | 3.64 | 2.77 | 3.19 | 3.17 |
| ARPD | 3.21 | 4.14 | 3.93 | 3.31 | 3.56 | 3.31 | |
| ta91 | BRPD | 0.74 | 0.20 | 0.72 | 0.52 | 0.68 | 0.75 |
| ARPD | 0.75 | 0.49 | 0.72 | 0.61 | 0.68 | 0.75 | |
| ta101 | BRPD | 2.46 | 1.57 | 2.13 | 2.76 | 2.28 | 1.89 |
| ARPD | 2.66 | 1.69 | 2.24 | 2.88 | 2.59 | 2.24 | |
| ta111 | BRPD | 1.47 | 1.59 | 1.54 | 1.22 | 1.52 | 1.15 |
| ARPD | 1.79 | 1.69 | 1.70 | 1.43 | 1.77 | 1.38 | |
| Average | BRPD | 1.98 | 2.11 | 2.03 | 1.98 | 1.93 | 1.88 |
| ARPD | 2.26 | 2.65 | 2.72 | 2.25 | 2.31 | 2.18 |
| 1000 | |||
|---|---|---|---|
| Problem | |||
| ta01 | BRPD | 0.00 | 0.00 |
| ARPD | 0.00 | 0.00 | |
| 1.43 | 1.43 | ||
| ta11 | BRPD | 0.00 | 0.00 |
| ARPD | 0.06 | 0.00 | |
| 1.67 | 1.65 | ||
| ta21 | BRPD | 0.00 | 0.00 |
| ARPD | 0.27 | 0.18 | |
| 2.26 | 2.23 | ||
| ta31 | BRPD | 0.00 | 0.00 |
| ARPD | 0.00 | 0.00 | |
| 3.08 | 3.21 | ||
| ta41 | BRPD | 1.47 | 1.24 |
| ARPD | 2.29 | 1.70 | |
| 3.75 | 3.82 | ||
| ta51 | BRPD | 2.18 | 1.95 |
| ARPD | 2.42 | 2.25 | |
| 5.22 | 5.31 | ||
| Average | BRPD | 0.61 | 0.54 |
| ARPD | 0.84 | 0.69 | |
| 2.90 | 2.94 |
| 1000 | |||
|---|---|---|---|
| Problem | |||
| ta61 | BRPD | 0.00 | 0.00 |
| ARPD | 0.02 | 0.02 | |
| 6.02 | 6.22 | ||
| ta71 | BRPD | 0.26 | 0.23 |
| ARPD | 0.51 | 0.50 | |
| 7.32 | 7.56 | ||
| ta81 | BRPD | 1.72 | 1.59 |
| ARPD | 2.11 | 2.10 | |
| 10.28 | 10.32 | ||
| ta91 | BRPD | 0.16 | 0.16 |
| ARPD | 0.48 | 0.56 | |
| 14.70 | 15.32 | ||
| ta101 | BRPD | 1.08 | 1.26 |
| ARPD | 1.41 | 1.39 | |
| 19.88 | 20.79 | ||
| ta111 | BRPD | 1.47 | 0.89 |
| ARPD | 1.79 | 1.06 | |
| 54.14 | 55.92 | ||
| Average | BRPD | 0.69 | 0.69 |
| ARPD | 0.94 | 0.94 | |
| 18.72 | 19.36 |
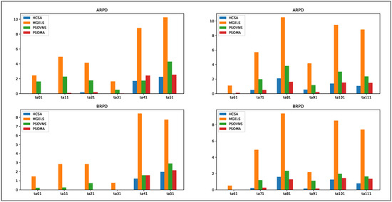
| HCSA | MGELS | PSOVNS | PSOMA | ||
|---|---|---|---|---|---|
| Problem | |||||
| ta01 | BRPD | 0.00 | 1.48 | 0.23 | 0.00 |
| ARPD | 0.00 | 2.45 | 1.63 | 0.00 | |
| ta11 | BRPD | 0.00 | 2.84 | 0.26 | 0.00 |
| ARPD | 0.00 | 4.95 | 2.28 | 0.10 | |
| ta21 | BRPD | 0.00 | 2.84 | 0.74 | 0.00 |
| ARPD | 0.18 | 4.14 | 1.77 | 0.20 | |
| ta31 | BRPD | 0.00 | 0.77 | 0.00 | 0.00 |
| ARPD | 0.00 | 1.65 | 0.51 | 0.04 | |
| ta41 | BRPD | 1.24 | 8.42 | 1.61 | 1.61 |
| ARPD | 1.70 | 8.82 | 1.75 | 2.43 | |
| ta51 | BRPD | 1.98 | 7.74 | 2.91 | 2.15 |
| ARPD | 2.25 | 10.26 | 4.31 | 2.54 | |
| ta61 | BRPD | 0.00 | 0.52 | 0.00 | 0.00 |
| ARPD | 0.02 | 1.10 | 0.02 | 0.11 | |
| ta71 | BRPD | 0.23 | 4.92 | 1.19 | 0.26 |
| ARPD | 0.50 | 5.70 | 1.98 | 0.50 | |
| ta81 | BRPD | 1.59 | 9.38 | 2.33 | 1.29 |
| ARPD | 2.10 | 10.51 | 3.82 | 1.62 | |
| ta91 | BRPD | 0.16 | 2.17 | 1.12 | 0.16 |
| ARPD | 0.56 | 4.17 | 1.17 | 0.21 | |
| ta101 | BRPD | 1.26 | 8.50 | 1.96 | 1.45 |
| ARPD | 1.39 | 9.47 | 3.03 | 1.53 | |
| ta111 | BRPD | 0.80 | 7.40 | 1.64 | 1.35 |
| ARPD | 1.06 | 8.82 | 2.37 | 1.48 | |
| Average | BRPD | 0.61 | 4.75 | 1.15 | 0.69 |
| ARPD | 0.81 | 6.00 | 2.05 | 0.90 |
© 2019 by the authors. Licensee MDPI, Basel, Switzerland. This article is an open access article distributed under the terms and conditions of the Creative Commons Attribution (CC BY) license (http://creativecommons.org/licenses/by/4.0/).
Share and Cite
Huang, K.-W.; Girsang, A.S.; Wu, Z.-X.; Chuang, Y.-W. A Hybrid Crow Search Algorithm for Solving Permutation Flow Shop Scheduling Problems. Appl. Sci. 2019, 9, 1353. https://doi.org/10.3390/app9071353
Huang K-W, Girsang AS, Wu Z-X, Chuang Y-W. A Hybrid Crow Search Algorithm for Solving Permutation Flow Shop Scheduling Problems. Applied Sciences. 2019; 9(7):1353. https://doi.org/10.3390/app9071353
Chicago/Turabian StyleHuang, Ko-Wei, Abba Suganda Girsang, Ze-Xue Wu, and Yu-Wei Chuang. 2019. "A Hybrid Crow Search Algorithm for Solving Permutation Flow Shop Scheduling Problems" Applied Sciences 9, no. 7: 1353. https://doi.org/10.3390/app9071353
APA StyleHuang, K.-W., Girsang, A. S., Wu, Z.-X., & Chuang, Y.-W. (2019). A Hybrid Crow Search Algorithm for Solving Permutation Flow Shop Scheduling Problems. Applied Sciences, 9(7), 1353. https://doi.org/10.3390/app9071353

