Theoretical Investigations on the Mechanical, Magneto-Electronic Properties and Half-Metallic Characteristics of ZrRhTiZ (Z = Al, Ga) Quaternary Heusler Compounds
Abstract
1. Introduction
2. Method of Calculations
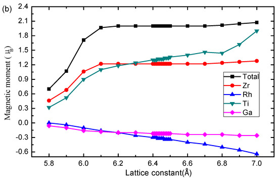
3. Results and Discussions
4. Summary
Author Contributions
Funding
Conflicts of Interest
References
- Groot, R.A.D.; Mueller, F.M.; Engen, P.G.V.; Buschow, K.H.J. New class of materials—Half-metallic ferromagnets. Phys. Rev. Lett. 1983, 50, 2024–2027. [Google Scholar] [CrossRef]
- Wurmehl, S.; Fecher, G.H.; Kandpal, H.C.; Ksenofontov, V.; Felser, C.; Lin, H.J. Investigation of Co2FeSi: The Heusler compound with highest Curie temperature and magnetic moment. Appl. Phys. Lett. 2006, 88, 032503. [Google Scholar] [CrossRef]
- Bainsla, L.; Mallick, A.I.; Raja, M.M.; Coelho, A.A.; Nigam, A.K.; Johnson, D.D.; Suresh, K.G. Origin of spin gapless semiconductor behavior in CoFeCrGa: Theory and Experiment. Phys. Rev. B 2015, 92, 045201. [Google Scholar] [CrossRef]
- Guo, R.K.; Liu, G.D.; Wang, X.T.; Rozale, H.; Wang, L.Y.; Khenata, R.; Wu, Z.M.; Dai, X.F. First-principles study on quaternary Heusler compounds ZrFeVZ (Z = Al, Ga, In) with large spin-flip gap. RSC Adv. 2016, 6, 109394–109400. [Google Scholar] [CrossRef]
- Wang, X.T.; Cheng, Z.X.; Wang, J.L.; Wang, L.Y.; Yu, Z.Y.; Fang, C.S.; Yang, J.T.; Liu, G.D. Origin of the half-metallic band-gap in newly designed quaternary Heusler compounds ZrVTiZ (Z = Al, Ga). RSC Adv. 2016, 6, 57041–57047. [Google Scholar] [CrossRef]
- Berri, S.; Ibrir, M.; Maouche, D.; Attallah, M. Robust half-metallic ferromagnet of quaternary Heusler compounds ZrCoTiZ (Z = Si, Ge, Ga and Al). Comput. Conden. Matter. 2014, 1, 26–31. [Google Scholar] [CrossRef]
- Berri, S.; Ibrir, M.; Maouche, D.; Attallah, M. First principles study of structural, electronic and magnetic properties of ZrFeTiAl, ZrFeTiSi, ZrFeTiGe and ZrNiTiAl. J. Magn. Magn. Mater. 2014, 371, 106–111. [Google Scholar] [CrossRef]
- Wang, J.X.; Chen, Z.B.; Gao, Y.C. Phase stability, magnetic, electronic, half-metallic and mechanical properties of a new equiatomic quaternary Heusler compound ZrRhTiIn: A first-principles investigation. J. Phys. Chem. Solids. 2018, 116, 72–78. [Google Scholar] [CrossRef]
- Wang, X.T.; Zhao, W.Q.; Cheng, Z.X.; Dai, X.F.; Khenata, R. Electronic, magnetic, half-metallic and mechanical properties of a new quaternary Heusler compound ZrRhTiTl: Insights from first-principles studies. Solid State Commun. 2018, 269, 125–130. [Google Scholar] [CrossRef]
- Segall, M.D.; Lindan, P.L.D.; Probert, M.J.; Pickard, C.J.; Hasnip, P.J.; Clark, S.J.; Payne, M.C. First-principles simulation: Ideas, illustrations and the CASTEP code. J. Phys. Condens. Matter. 2002, 14, 2717. [Google Scholar] [CrossRef]
- Payne, M.C.; Teter, M.P.; Allan, D.C.; Arias, T.A.; Joannopoulos, J.D. Iterative Minimization Techniques for ab Initio Total-Energy Calculations: Molecular Dynamics and Conjugate Gradients. Rev. Mod. Phys. 1992, 64, 1045. [Google Scholar] [CrossRef]
- Perdew, J.P.; Chevary, J.A.; Vosko, S.H.; Jackson, K.A.; Pederson, M.R.; Singh, D.J.; Fiolhais, C. Atoms, Molecules, Solids, and Surfaces: Applications of the Generalized Gradient Approximation for Exchange and Correlation. Phys. Rev. B 1992, 46, 6671. [Google Scholar] [CrossRef]
- Perdew, J.P.; Burke, K.; Ernzerhof, M. Generalized Gradient Approximation Made Simple. Phys. Rev. Lett. 1996, 77, 3865. [Google Scholar] [CrossRef] [PubMed]
- Wang, X.T.; Lin, T.T.; Rozale, H.; Dai, X.F.; Liu, G.D. Robust half-metallic properties in inverse Heusler alloys composed of4d transition metal elements: Zr2RhZ (Z = Al, Ga, In). J. Magn. Magn. Mater. 2016, 402, 190–195. [Google Scholar] [CrossRef]
- Zhang, L.; Wang, X.T.; Rozale, H.; Lu, J.W.; Wang, L.Y. Half-Metallicity and Tetragonal Deformation of Ti2RhAl, Ti2RhGa, and Ti2RhIn: A First-Principle Study. J. Supercond. Nov. Magn. 2016, 29, 349–356. [Google Scholar] [CrossRef]
- Kang, X.H.; Zhang, J.M. The structural, electronic and magnetic properties of a novel quaternary Heusler alloy TiZrCoSn. J. Phys. Chem. Solids 2017, 105, 9–15. [Google Scholar] [CrossRef]
- Yan, P.L.; Zhang, J.M.; Xu, K.W. The structural, electronic and magnetic properties of quaternary Heusler alloy TiZrCoIn. Solid State Commun. 2016, 231, 64–67. [Google Scholar] [CrossRef]
- Berri, S. Electronic structure and half-metallicity of the new Heusler alloys PtZrTiAl, PdZrTiAl and Pt0.5Pd0.5ZrTiAl. Chin. J. Phys. 2017, 55, 195–202. [Google Scholar] [CrossRef]
- Ahmad, M.; Murtaza, G.; Khenata, R.; Omran, S.B.; Bouhemadou, A. Structural, elastic, electronic, magnetic and optical properties of RbSrX(C, SI, Ge) half-Heusler compounds. J. Magn. Magn. Mater. 2015, 377, 204–210. [Google Scholar] [CrossRef]
- Wang, X.T.; Cheng, Z.X.; Wang, J.L.; Liu, G.D. A full spectrum of spintronic properties demonstrated by a C1b-type Heusler compound Mn2Sn subjected to strain engineering. J. Mater. Chem. C 2016, 4, 8535–8544. [Google Scholar] [CrossRef]
- Pugh, S.F. XCII. Relations between the elastic moduli and the plastic properties of polycrystalline pure metals. Lond. Edinb. Dublin Philos. Mag. J. Sci. 1954, 45, 823–843. [Google Scholar] [CrossRef]
- Bhat, T.M.; Gupta, D.C. Effect of on-site Coulomb interaction on electronic and transport properties of 100% spin polarized CoMnVAs. J. Magn. Magn. Mater. 2017, 435, 173–178. [Google Scholar] [CrossRef]
- Jain, R.; Jain, V.K.; Chandra, A.R.; Jain, V.; Lakshmi, N. Study of the Electronic Structure, Magnetic and Elastic Properties and Half-Metallic Stability on Variation of Lattice Constants for CoFeCrZ (Z = P, As, Sb) Heusler Alloys. J. Supercond. Nov. Magn. 2018, 31, 2399. [Google Scholar] [CrossRef]
- Zhang, L.; Gao, Y.C. Electronic structures, magnetic properties and half-metallicity in the Heusler alloy Hf2Val. Chin. J. Phys. 2017, 55, 1466. [Google Scholar] [CrossRef]
- Wang, X.T.; Cheng, Z.X.; Wang, J.L.; Rozale, H.; Wang, L.; Yu, Z.Y.; Liu, G.D. Strain-induced diverse transitions in physical nature in the newly designed inverse Heusler alloy Zr2MnAl. J. Alloys Compd. 2016, 686, 549–555. [Google Scholar] [CrossRef]
- Luo, H.Z.; Xin, Y.P.; Liu, B.H.; Meng, F.B.; Liu, H.Y.; Liu, E.K.; Wu, G.H. Competition of L21 and XA structural ordering in Heusler alloys X2CuAl (X = Sc, Ti, V, Cr, Mn, Fe, Co, Ni). J. Alloys Compd. 2016, 665, 180–185. [Google Scholar] [CrossRef]
- Zhao, J.S.; Gao, Q.; Li, L.; Xie, H.H.; Hu, X.R.; Xu, C.L.; Deng, J.B. First-principles study of the structure, electronic, magnetic and elastic properties of half-Heusler compounds LiXGe (X = Ca, Sr and Ba). Intermetallics 2017, 89, 65–73. [Google Scholar] [CrossRef]
- Birsan, A. Small interfacial distortions lead to significant changes of the half-metallic and magnetic properties in Heusler alloys: The case of the new CoFeZrSi compound. J. Alloys Compd. 2017, 710, 393–398. [Google Scholar] [CrossRef]














| Compound | Total | Zr | Rh | Ti | Z | a (Å) | CBM | VBM | Ebg | EHM | Zt | S-P rule | P (%) |
|---|---|---|---|---|---|---|---|---|---|---|---|---|---|
| ZrRhTiAl | 2.00 | 1.26 | −0.32 | 1.18 | −0.14 | 6.47 | 0.350 | −0.082 | 0.432 | 0.082 | 20 | Mt = Zt − 18 | 100 |
| ZrRhTiGa | 1.22 | −0.32 | 1.32 | −0.22 | 6.45 | 0.360 | −0.181 | 0.541 | 0.181 |
| Species | Atom | s | p | d | Total | Charge(e) |
|---|---|---|---|---|---|---|
| ZrRhTiAl | Zr | 2.54 | 6.37 | 3.02 | 11.93 | 0.07 |
| Rh | 0.89 | 0.60 | 8.20 | 9.69 | −0.69 | |
| Ti | 2.53 | 6.12 | 2.65 | 11.30 | 0.70 | |
| Al | 1.05 | 2.03 | 0.00 | 3.08 | −0.08 | |
| ZrRhTiGa | Zr | 2.64 | 6.67 | 2.96 | 12.27 | −0.27 |
| Rh | 0.97 | 0.76 | 8.20 | 9.93 | −0.93 | |
| Ti | 2.70 | 6.37 | 2.65 | 11.73 | 0.27 | |
| Ga | −0.17 | 2.26 | 9.99 | 12.08 | 0.92 |
| SQH Compound | C11 | C12 | C44 | B | G | E | B/G | Formation Energy | Cohesive Energy | Anisotropy Factor |
|---|---|---|---|---|---|---|---|---|---|---|
| ZrRhTiAl | 157.060 | 116.435 | 74.521 | 129.977 | 44.441 | 57.920 | 2.925 | −2.632 | 22.279 | 3.669 |
| ZrRhTiGa | 150.857 | 117.550 | 79.645 | 128.652 | 32.073 | 47.895 | 4.011 | −2.738 | 21.384 | 2.981 |
© 2019 by the authors. Licensee MDPI, Basel, Switzerland. This article is an open access article distributed under the terms and conditions of the Creative Commons Attribution (CC BY) license (http://creativecommons.org/licenses/by/4.0/).
Share and Cite
Liu, W.; Zhang, X.; Jia, H.; Khenata, R.; Dai, X.; Liu, G. Theoretical Investigations on the Mechanical, Magneto-Electronic Properties and Half-Metallic Characteristics of ZrRhTiZ (Z = Al, Ga) Quaternary Heusler Compounds. Appl. Sci. 2019, 9, 883. https://doi.org/10.3390/app9050883
Liu W, Zhang X, Jia H, Khenata R, Dai X, Liu G. Theoretical Investigations on the Mechanical, Magneto-Electronic Properties and Half-Metallic Characteristics of ZrRhTiZ (Z = Al, Ga) Quaternary Heusler Compounds. Applied Sciences. 2019; 9(5):883. https://doi.org/10.3390/app9050883
Chicago/Turabian StyleLiu, Wenbin, Xiaoming Zhang, Hongying Jia, Rabah Khenata, Xuefang Dai, and Guodong Liu. 2019. "Theoretical Investigations on the Mechanical, Magneto-Electronic Properties and Half-Metallic Characteristics of ZrRhTiZ (Z = Al, Ga) Quaternary Heusler Compounds" Applied Sciences 9, no. 5: 883. https://doi.org/10.3390/app9050883
APA StyleLiu, W., Zhang, X., Jia, H., Khenata, R., Dai, X., & Liu, G. (2019). Theoretical Investigations on the Mechanical, Magneto-Electronic Properties and Half-Metallic Characteristics of ZrRhTiZ (Z = Al, Ga) Quaternary Heusler Compounds. Applied Sciences, 9(5), 883. https://doi.org/10.3390/app9050883
