Non-Stationary Turbulent Wind Field Simulation of Long-Span Bridges Using the Updated Non-Negative Matrix Factorization-Based Spectral Representation Method
Abstract
1. Introduction
2. Related Works
2.1. Field Measurement at the Runyang Suspension Bridge (RSB) Site during Typhoon Wipha
2.2. Evolutionary Power Spectral Density (EPSD) Estimation of the Non-Stationary Turbulence
3. The Updated Non-Negative Matrix Factorization (NMF)-Based Fast Fourier Transform (FFT)-Aided Spectral Representation Method (SRM)
3.1. Simulation of Non-Stationary Process Using the Classic SRM
3.2. The Updated Algorithm Considering Vertical Turbulent Wind Field
4. Simulation of Non-Stationary Turbulent Wind Fields for the RSB
4.1. The Hypotheses
4.2. NMF of the Measured Decomposed EPSDs
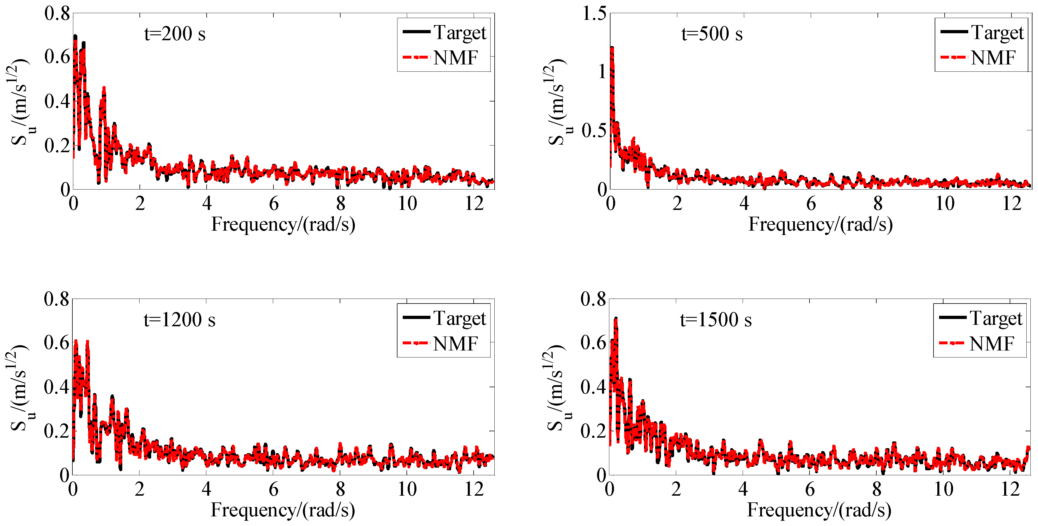
4.3. Turbulent Wind Field Simulation for the Main Girder
4.4. Turbulent Wind Field Simulation for Towers
5. Conclusions
- The existed NMF-based SRM for horizontal non-stationary turbulent wind field simulation is updated to also generate the vertical non-stationary turbulent wind field. With the aid of the FFT, the simulation efficiency is enhanced.
- In the NMF-based SRM, the phase angles can be considered in the coherence functions. The complex EPSD matrix can be transformed into the real modulus matrix after the phase was separated. With this treatment, the efficiency of decomposition can be improved.
- The estimated auto-/cross-correlation functions generally fit well with the target ones, validating the effectiveness and reliability of the non-stationary turbulent wind fields generated. The presented wind field simulation method can provide research basis for non-stationary buffeting analysis of the RSB.
Author Contributions
Funding
Conflicts of Interest
References
- Bocciolone, M.; Cheli, F.; Curami, A.; Zasso, A. Wind measurements on the Humber Bridge and numerical simulations. J. Wind Eng. Ind. Aerodyn. 1992, 42, 1393–1404. [Google Scholar] [CrossRef]
- Kovacs, I.; Svensson, H.S.; Jordet, E. Analytical aerodynamic investigation of cable-stayed Helgeland bridge. J. Struct. Eng. 1992, 118, 147–168. [Google Scholar] [CrossRef]
- Simiu, E.; Scanlan, R.H. Wind Effects on Structures; Wiley: New York, NY, USA, 1978. [Google Scholar]
- Niemann, H.J.; Hoffer, R. Nonlinear Effects in the Buffeting Program: A State of the Art in Wind Engineering. In Proceedings of the Ninth International Conference on Wind Engineering, New Delhi, India, 9–13 January 1995. [Google Scholar]
- Yang, W.W.; Chang, T.Y.P.; Chang, C.C. An efficient wind field simulation technique for bridges. J. Wind Eng. Ind. Aerodyn. 1997, 67, 697–708. [Google Scholar] [CrossRef]
- Su, C.; Fan, X.; He, T. Wind-induced vibration analysis of a cable-stayed bridge during erection by a modified time-domain method. J. Sound Vib. 2007, 303, 330–342. [Google Scholar] [CrossRef]
- Mao, J.X.; Wang, H.; Feng, D.M.; Tao, T.Y.; Zheng, W.Z. Investigation of dynamic properties of long-span cable-stayed bridges based on one-year monitoring data under normal operating condition. Struct. Control Health Monit. 2018, 25, e2146. [Google Scholar] [CrossRef]
- Mao, J.X.; Wang, H.; Fu, Y.G.; Spencer, B.F., Jr. Automated modal identification using principal component and cluster analysis: Application to a long-span cable-stayed bridge. Struct. Control Health Monit. 2019, 26, e2430. [Google Scholar] [CrossRef]
- Chen, X.; Matsumoto, M.; Kareem, A. Time domain flutter and buffeting response analysis of bridges. J. Eng. Mech. 2000, 126, 7–16. [Google Scholar] [CrossRef]
- Deodatis, G. Simulation of ergodic multivariate stochastic processes. J. Eng. Mech. 1996, 122, 778–787. [Google Scholar] [CrossRef]
- Li, Y.; Kareem, A. Simulation of multivariate random processes: Hybrid DFT and digital filtering approach. J. Eng. Mech. 1993, 119, 1078–1098. [Google Scholar] [CrossRef]
- Chen, J.; Hui, M.C.H.; Xu, Y.L. A comparative study of stationary and non-stationary wind models using field measurements. Bound. Layer Meteorol. 2007, 122, 105–121. [Google Scholar] [CrossRef]
- Kareem, A. The changing dynamics of aerodynamics: New frontiers. In Proceedings of the 7th Asia-Pacific Conference on Wind Engineering (APCWQ-VII), Taiwan, China, 8–12 November 2009. [Google Scholar]
- Wang, H.; Wu, T.; Tao, T.Y.; Li, A.Q.; Kareem, A. Measurements and analysis of non-stationary wind characteristics at Sutong Bridge in Typhoon Damrey. J. Wind Eng. Ind. Aerodyn. 2016, 151, 100–106. [Google Scholar] [CrossRef]
- Deodatis, G. Non-stationary stochastic vector processes: Seismic ground motion applications. Probab. Eng. Mech. 1996, 11, 149–167. [Google Scholar] [CrossRef]
- Li, Y.; Kareem, A. Simulation of multivariate nonstationary random processes by FFT. J. Eng. Mech. 1991, 117, 1037–1058. [Google Scholar] [CrossRef]
- Huang, G. Application of proper orthogonal decomposition in fast Fourier transform-assisted multivariate nonstationary process simulation. J. Eng. Mech. 2015, 141, 04015015. [Google Scholar] [CrossRef]
- Li, Y.; Togbenou, K.; Xiang, H.; Chen, N. Simulation of non-stationary wind velocity field on bridges based on Taylor series. J. Wind Eng. Ind. Aerodyn. 2017, 169, 117–127. [Google Scholar] [CrossRef]
- Wang, H.; Xu, Z.D.; Feng, D.M.; Tao, T.Y. Non-stationary turbulent wind field simulation of bridge deck using non-negative matrix factorization. J. Wind Eng. Ind. Aerodyn. 2019, 188, 235–246. [Google Scholar] [CrossRef]
- Wang, H.; Li, A.Q.; Huang, R.X.; Xie, J.; Xie, Y.S. Field measurements on wind characteristics of typhoon wipha at the runyang suspension bridge. Eng. Mech. 2009, 26, 128–133. (In Chinese) [Google Scholar]
- Xu, Z.D.; Wang, H.; Wu, T.; Tao, T.Y.; Mao, J.X. Wind characteristics at Sutong Bridge site using 8-year field measurement data. Wind Struct. 2017, 25, 195–214. [Google Scholar]
- Bendat, J.S.; Piersol, A.G. Random Data: Analysis and Measurement Procedures, 4th ed.; Wiley: New York, NY, USA, 2011. [Google Scholar]
- Spanos, P.D.; Failla, G. Evolutionary spectra estimation using wavelets. J. Eng. Mech. 2004, 130, 952–960. [Google Scholar] [CrossRef]
- Spanos, P.D.; Tezcan, J.; Tratskas, P. Stochastic processes evolutionary spectrum estimation via harmonic wavelets. Comput. Methods Appl. Mech. Eng. 2005, 194, 1367–1383. [Google Scholar] [CrossRef]
- Wang, H.; Xu, Z.D.; Wu, T.; Mao, J.X. Evolutionary power spectral density of recorded typhoons at Sutong Bridge using harmonic wavelets. J. Wind Eng. Ind. Aerodyn. 2018, 177, 197–212. [Google Scholar] [CrossRef]
- Welch, P. The use of fast Fourier transform for the estimation of power spectra: A method based on time averaging over short, modified periodograms. IEEE Trans. Audio Electroacoust. 1967, 15, 70–73. [Google Scholar] [CrossRef]
- Priestley, M.B. Evolutionary spectra and non-stationary processes. J. R. Stat. Soc. 1965, 27, 204–237. [Google Scholar] [CrossRef]
- Lee, D.D.; Seung, H.S. Learning the parts of objects by non-negative matrix factorization. Nature 1999, 401, 788–791. [Google Scholar] [CrossRef]
- Berry, M.W.; Browne, M.; Langville, A.N.; Pauca, V.P.; Plemmons, R.J. Algorithms and applications for approximate nonnegative matrix factorization. Comput. Stat. Data Anal. 2007, 52, 155–173. [Google Scholar] [CrossRef]
- Lee, D.D.; Seung, H.S. Algorithms for non-negative matrix factorization. Adv. Neural Inf. Process. Syst. 2001, 13, 556–562. [Google Scholar]
- Gao, Y.; Wu, Y.; Li, D.; Liu, H.; Zhang, N. An improved approximation for the spectral representation method in the simulation of spatially varying ground motions. Probab. Eng. Mech. 2012, 29, 7–15. [Google Scholar] [CrossRef]
- Huang, G.; Liao, H.; Li, M. New formulation of Cholesky decomposition and applications in stochastic simulation. Probab. Eng. Mech. 2013, 34, 40–47. [Google Scholar] [CrossRef]
- Kiureghian, A. A coherency model for spatially varying ground motions. Earthq. Eng. Struct. Dyn. 1996, 25, 99–111. [Google Scholar] [CrossRef]
- Xu, Y.L.; Hu, L.; Kareem, A. Conditional simulation of nonstationary fluctuating wind speeds for long-span bridges. J. Eng. Mech. 2012, 140, 61–73. [Google Scholar] [CrossRef]
- Wang, H.; Zong, Z.H.; Li, A.Q.; Tong, T.; Niu, J.; Deng, W.P. Digital simulation of 3D turbulence wind field of Sutong Bridge based on measured wind spectra. J. Zhejiang Univ. Sci. A 2012, 13, 91–104. [Google Scholar] [CrossRef]
- Cao, Y.; Xiang, H.; Zhou, Y. Simulation of stochastic wind velocity field on long-span bridges. J. Eng. Mech. 2000, 126, 1–6. [Google Scholar] [CrossRef]
- Di Paola, M. Digital simulation of wind field velocity. J. Wind Eng. Ind. Aerodyn. 1998, 74–76, 91–109. [Google Scholar] [CrossRef]













| Wind Field | Position | Direction | Space Interval (m) | Number of Simulated Nodes |
|---|---|---|---|---|
| 1 | Main girder | u | 80.5 | 19 |
| 2 | Main girder | w | 80.5 | 19 |
| 3 | Left tower | u | 30 | 7 |
| 4 | Right tower | u | 30 | 7 |
| Parameter | Value | Parameter | Value |
|---|---|---|---|
| Overall length, L (m) | 1490 | Height of simulated points, Z (m) | 69.3 |
| Number of simulated points, n | 19 | Cutoff frequency, ωu (rad/s) | 4π |
| Frequency segmentations, N | 4096 | Sample time interval, Δt (s) | 0.25 |
| Number of generated samples | 5000 | Time duration, Tu (s) | 2048 |
| Parameter | Value | Parameter | Value |
|---|---|---|---|
| Overall length, L (m) | 218.9 | Simulation range, Z (m) | 30–210 |
| Number of simulated points, n | 7 | Cutoff frequency, ωu (rad/s) | 4π |
| Frequency segmentations, N | 4096 | Sample time interval, Δt (s) | 0.25 |
| Number of generated samples | 5000 | Time duration, Tu (s) | 2048 |
© 2019 by the authors. Licensee MDPI, Basel, Switzerland. This article is an open access article distributed under the terms and conditions of the Creative Commons Attribution (CC BY) license (http://creativecommons.org/licenses/by/4.0/).
Share and Cite
Xu, Z.; Wang, H.; Zhang, H.; Zhao, K.; Gao, H.; Zhu, Q. Non-Stationary Turbulent Wind Field Simulation of Long-Span Bridges Using the Updated Non-Negative Matrix Factorization-Based Spectral Representation Method. Appl. Sci. 2019, 9, 5506. https://doi.org/10.3390/app9245506
Xu Z, Wang H, Zhang H, Zhao K, Gao H, Zhu Q. Non-Stationary Turbulent Wind Field Simulation of Long-Span Bridges Using the Updated Non-Negative Matrix Factorization-Based Spectral Representation Method. Applied Sciences. 2019; 9(24):5506. https://doi.org/10.3390/app9245506
Chicago/Turabian StyleXu, Zidong, Hao Wang, Han Zhang, Kaiyong Zhao, Hui Gao, and Qingxin Zhu. 2019. "Non-Stationary Turbulent Wind Field Simulation of Long-Span Bridges Using the Updated Non-Negative Matrix Factorization-Based Spectral Representation Method" Applied Sciences 9, no. 24: 5506. https://doi.org/10.3390/app9245506
APA StyleXu, Z., Wang, H., Zhang, H., Zhao, K., Gao, H., & Zhu, Q. (2019). Non-Stationary Turbulent Wind Field Simulation of Long-Span Bridges Using the Updated Non-Negative Matrix Factorization-Based Spectral Representation Method. Applied Sciences, 9(24), 5506. https://doi.org/10.3390/app9245506

