Near-Infrared Quartz-Enhanced Photoacoustic Sensor for H2S Detection in Biogas
Abstract
1. Introduction
2. Description of Experimental System
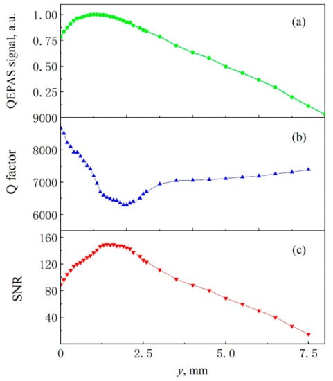
3. Optimization and Performance of the H2S Sensor
4. Conclusions
Author Contributions
Funding
Conflicts of Interest
References
- Pandey, S.K.; Kim, K.H.; Tang, K.T. A review of sensor-based methods for monitoring hydrogen sulfide. TrAC-Trends Anal. Chem. 2012, 32, 87–99. [Google Scholar] [CrossRef]
- Barsan, M.E. NIOSH Pocket Guide to Chemical Hazards; NIOSH Publications: Washington, DC, USA, 2007. [Google Scholar]
- Wu, H.; Dong, L.; Liu, X.; Zheng, H.; Yin, X.; Ma, W.; Zhang, L.; Yin, W.; Jia, S. Fiber-Amplifier-Enhanced QEPAS sensor for simultaneous trace gas detection of NH3 and H2S. Sensors 2015, 15, 26743–26755. [Google Scholar] [CrossRef] [PubMed]
- Shu, J.; Qiu, Z.; Lv, S.; Tang, D. Cu2+-doped SnO2 nanograin/polypyrrole nanospheres with synergic enhanced properties for ultrasensitive room-temperature H2S gas sensing. Anal. Chem. 2017, 89, 11135–11142. [Google Scholar] [CrossRef] [PubMed]
- Tangerman, A. Determination of volatile sulphur compounds in air at the parts per trillion level by Tenax trapping and gas chromatography. J. Chromatogr. A 1986, 366, 205–216. [Google Scholar] [CrossRef]
- Puacz, W.; Szahun, W.; Linke, K. Catalytic determination of sulfide in blood. Analyst 1995, 120, 939–941. [Google Scholar] [CrossRef]
- Lawrence, N.; Davis, J.; Jiang, L.; Jones, T.; Davies, S.; Compton, R. The electrochemical analog of the methylene blue reaction: A novel amperometric approach to the detection of hydrogen Sulfide. Electroanalysis 2000, 12, 1453–1460. [Google Scholar] [CrossRef]
- Ehman, D. Determination of parts-per-billion levels of hydrogen sulfide in air by potentiometric titration with a sulfide ion-selective electrode as an indicator. Anal. Chem. 1976, 48, 918–920. [Google Scholar] [CrossRef]
- Hodgkinson, J.; Tatam, R. Optical gas sensing: A review. Meas. Sci. Technol. 2013, 24, 012004. [Google Scholar] [CrossRef]
- Wu, H.; Yin, X.; Dong, L.; Jia, Z.; Zhang, J.; Liu, F.; Ma, W.; Zhang, L.; Yin, W.; Xiao, L.; et al. Ppb-level nitric oxide photoacoustic sensor based on a mid-IR quantum cascade laser operating at 52 °C. Sens. Actuators B Chem. 2019, 290, 426–433. [Google Scholar] [CrossRef]
- Dong, L.; Li, C.; Sanchez, N.; Gluszek, A.; Griffin, R.; Tittel, F. Compact CH4 sensor system based on a continuous-wave, low power consumption, room temperature interband cascade laser. Appl. Phys. Lett. 2016, 108, 011106. [Google Scholar] [CrossRef]
- Cristina, P. Breathing Disorders Using Photoacoustics Gas Analyzer. J. Med. Imaging Health Inform. 2016, 6, 1893–1895. [Google Scholar]
- Chen, K.; Zhang, B.; Liu, S.; Jin, F.; Guo, M.; Chen, Y.; Yu, Q. Highly sensitive photoacoustic gas sensor based on multiple reflections on the cell wall. Sens. Actuators A Phys. 2019, 290, 119–124. [Google Scholar] [CrossRef]
- Ma, Y.; He, Y.; Tong, Y.; Yu, X.; Tittel, F. Quartz-tuning-fork enhanced photothermal spectroscopy for ultra-high sensitive trace gas detection. Opt. Express 2018, 26, 32103–32110. [Google Scholar] [CrossRef] [PubMed]
- He, Y.; Ma, Y.; Tong, Y.; Yu, Y.; Tittel, F. Ultra-high sensitive light-induced thermoelastic spectroscopy sensor with a high Q-factor quartz tuning fork and a multipass cell. Opt. Lett. 2019, 44, 1904–1907. [Google Scholar] [CrossRef]
- Nägele, M.; Sigrist, M. Mobile laser spectrometer with novel resonant mult-pass photoacoustic cell for trace gas sensing. Appl. Phys. B 2000, 70, 895–901. [Google Scholar] [CrossRef]
- Gagliardi, G.; Loock, H. Cavity-Enhanced Spectroscopy and Sensing; Springer: Berlin/Heidelberg, Germany, 2014; Volume 179. [Google Scholar]
- Elia, A.; Lugarà, P.; Di Franco, C.; Spagnolo, V. Photoacoustic techniques for trace gas sensing based on semiconductor laser sources. Sensors 2009, 9, 9616–9628. [Google Scholar] [CrossRef]
- Patimisco, P.; Scamarcio, G.; Tittel, F.; Spagnolo, V. Quartz-enhanced photoacoustic spectroscopy: A review. Sensors 2014, 14, 6165–6206. [Google Scholar] [CrossRef]
- Wu, H.; Dong, L.; Pei, K.; Sampaolo, A.; Patimisco, P.; Zheng, H.; Ma, W.; Zhang, L.; Yin, W.; Xiao, L.; et al. Simultaneous dual-gas QEPAS detection based on a fundamental and overtone combined vibration of quartz tuning fork. Appl. Phys. Lett. 2017, 110, 121104. [Google Scholar] [CrossRef]
- Wu, H.; Dong, L.; Yin, X.; Sampaolo, A.; Patimisco, P.; Ma, W.; Zhang, L.; Yin, W.; Xiao, L.; Spagnolo, V.; et al. Atmospheric CH4 measurement near a landfill using an ICL-based QEPAS sensor with V-T relaxation self-calibration. Sens. Actuators B Chem. 2019, 297, 126753. [Google Scholar] [CrossRef]
- Patimisco, P.; Sampaolo, A.; Dong, L.; Tittel, F.; Spagnolo, V. Recent advances in quartz enhanced photoacoustic sensing. Appl. Phys. Rev. 2018, 5, 011106. [Google Scholar] [CrossRef]
- Wu, H.; Dong, L.; Zheng, H.; Yu, Y.; Ma, W.; Zhang, L.; Yin, W.; Xiao, L.; Jia, S.; Tittel, F. Beat frequency quartz-enhanced photoacoustic spectroscopy for fast and calibration-free continuous trace-gas monitoring. Nat. Commun. 2017, 8, 15331. [Google Scholar] [CrossRef] [PubMed]
- Patimisco, P.; Sampaolo, A.; Zheng, H.; Dong, L.; Tittel, F.K.; Spagnolo, V. Quartz-Enhanced photoacoustic spectrophones exploiting custom tuning forks: A review. Adv. Phys. X 2016, 2, 169–187. [Google Scholar] [CrossRef]
- Dong, L.; Kosterev, A.; Thomazy, D.; Tittel, F. QEPAS spectrophones: Design, optimization, and performance. Appl. Phys. B 2010, 100, 627–635. [Google Scholar] [CrossRef]
- Patimisco, P.; Sampaolo, A.; Giglio, M.; Dello Russo, S.; Mackowiak, V.; Rossmadl, H.; Cable, A.; Tittel, F.K.; Spagnolo, V. Tuning forks with optimized geometries for quartz-enhanced photoacoustic spectroscopy. Opt. Express 2019, 27, 1401–1415. [Google Scholar] [CrossRef]
- Patimisco, P.; Borri, S.; Sampaolo, A.; Beere, H.; Ritchie, D.; Vitiello, M.; Scamarcio, G.; Spagnolo, V. Quartz enhanced photo-acoustic gas sensor based on a custom tuning fork and a terahertz quantum cascade laser. Analyst 2013, 139, 2079–2087. [Google Scholar] [CrossRef] [PubMed]
- Patimisco, P.; Sampaolo, A.; Mihai, L.; Giglio, M.; Kriesel, J.; Sporea, D.; Scamarcio, G.; Tittel, F.; Spagnolo, V. Low-loss coupling of quantum cascade lasers into hollow-core waveguides with single-mode output in the 3.7–7.6 μm spectral range. Sensors 2016, 16, 533. [Google Scholar] [CrossRef]
- Giglio, M.; Patimisco, P.; Sampaolo, A.; Scamarcio, G.; Tittel, F.K.; Spagnolo, V. Allan deviation plot as a tool for quartz-enhanced photoacoustic sensors noise analysis. IEEE Trans. Ultrason. Ferroelectr. 2016, 63, 555–560. [Google Scholar] [CrossRef]
- De Cumis, M.S.; Viciani, S.; Borri, S.; Patimisco, P.; Sampaolo, A.; Scamarcio, G.; De Natale, P.; D’Amato, F.; Spagnolo, V. Widely-tunable mid-infrared fiber-coupled quartz-enhanced photoacoustic sensor for environmental monitoring. Opt. Express 2014, 22, 28222–28231. [Google Scholar] [CrossRef]
- Spagnolo, V.; Patimisco, P.; Pennetta, R.; Sampaolo, A.; Scamarcio, G.; Vitiello, M.S.; Tittel, F. THz quartz-enhanced photoacoustic sensor for H2S trace gas detection. Opt. Express 2015, 23, 7574–7582. [Google Scholar] [CrossRef]
- HITRAN Database. Available online: https://hitran.org/ (accessed on 1 March 2009).
- Wu, H.; Dong, L.; Zheng, H.; Liu, X.; Yin, X.; Ma, W.; Zhang, L.; Yin, W.; Jia, S.; Tittel, F. Enhanced near-infrared QEPAS sensor for sub-ppm level H2S detection by means of a fiber amplified 1582nm DFB laser. Sens. Actuators B Chem. 2015, 221, 666–672. [Google Scholar] [CrossRef]
- Wu, H.; Sampaolo, A.; Dong, L.; Patimisco, P.; Liu, X.; Zheng, H.; Yin, X.; Ma, W.; Zhang, L.; Yin, W.; et al. Quartz enhanced photoacoustic H2S gas sensor based on a fiber-amplifier source and a custom tuning fork with large prong spacing. Appl. Phys. Lett. 2015, 107, 111104. [Google Scholar] [CrossRef]
- Patimisco, P.; Sampaolo, A.; Dong, L.; Giglio, M.; Scamarcio, G.; Tittel, F.K.; Spagnolo, V. Analysis of the electro-elastic properties of custom quartz tuning forks for optoacoustic gas sensing. Sens. Actuators B Chem. 2016, 227, 539–546. [Google Scholar] [CrossRef]
- Spagnolo, V.; Patimisco, P.; Borri, S.; Scamarcio, G.; Bernacki, B.E.; Kriesel, J. Mid-infrared fiber-coupled QCL-QEPAS sensor. Appl. Phys. B 2013, 112, 25–33. [Google Scholar] [CrossRef]








| Prong Parameters | Electrical Parameters | |||||
|---|---|---|---|---|---|---|
| Spacing s (mm) | Length l (mm) | Width w (mm) | Frequency (Hz) | Q Factor | Resistance (KΩ) | |
| Standard QTF | 0.3 | 3.8 | 0.6 | 32.768 | 12.000 | 120 |
| Custom QTF | 0.8 | 10 | 0.9 | 7205 | 8500 | 290 |
© 2019 by the authors. Licensee MDPI, Basel, Switzerland. This article is an open access article distributed under the terms and conditions of the Creative Commons Attribution (CC BY) license (http://creativecommons.org/licenses/by/4.0/).
Share and Cite
Zhao, F.; Gao, Y.; Yang, L.; Yan, Y.; Li, J.; Ren, J.; dello Russo, S.; Zifarelli, A.; Patimisco, P.; Wu, H.; et al. Near-Infrared Quartz-Enhanced Photoacoustic Sensor for H2S Detection in Biogas. Appl. Sci. 2019, 9, 5347. https://doi.org/10.3390/app9245347
Zhao F, Gao Y, Yang L, Yan Y, Li J, Ren J, dello Russo S, Zifarelli A, Patimisco P, Wu H, et al. Near-Infrared Quartz-Enhanced Photoacoustic Sensor for H2S Detection in Biogas. Applied Sciences. 2019; 9(24):5347. https://doi.org/10.3390/app9245347
Chicago/Turabian StyleZhao, Fagang, Yutong Gao, Lin Yang, Yuqing Yan, Jiashi Li, Jingrong Ren, Stefano dello Russo, Andrea Zifarelli, Pietro Patimisco, Hongpeng Wu, and et al. 2019. "Near-Infrared Quartz-Enhanced Photoacoustic Sensor for H2S Detection in Biogas" Applied Sciences 9, no. 24: 5347. https://doi.org/10.3390/app9245347
APA StyleZhao, F., Gao, Y., Yang, L., Yan, Y., Li, J., Ren, J., dello Russo, S., Zifarelli, A., Patimisco, P., Wu, H., & Dong, L. (2019). Near-Infrared Quartz-Enhanced Photoacoustic Sensor for H2S Detection in Biogas. Applied Sciences, 9(24), 5347. https://doi.org/10.3390/app9245347

