Finite Element Analysis of Thermo-Diffusion and Multi-Slip Effects on MHD Unsteady Flow of Casson Nano-Fluid over a Shrinking/Stretching Sheet with Radiation and Heat Source
Abstract
1. Introduction
2. Mathematical Modeling
3. Finite Element Method Solutions
3.1. Variational Formulations
3.2. Finite Element Formulations
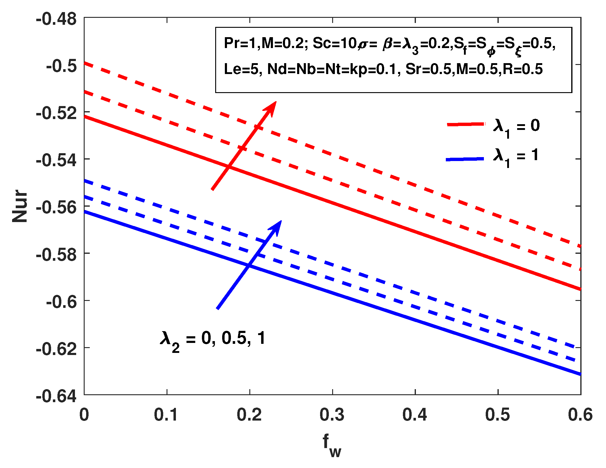
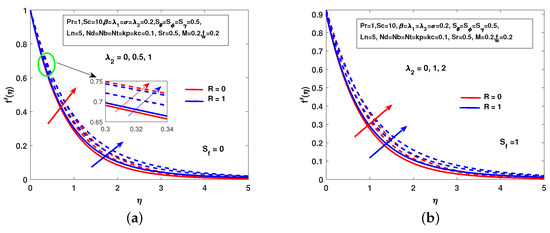
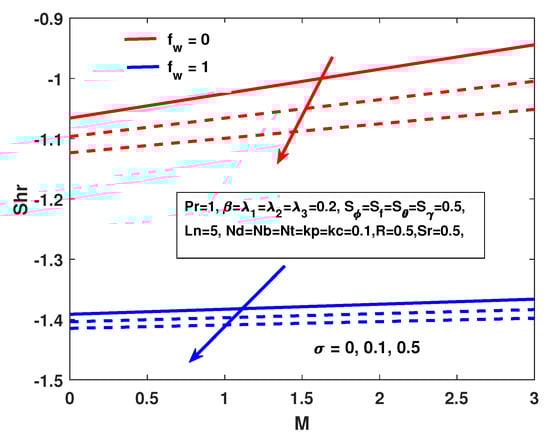
4. Results and Discussion
5. Conclusions
- The cause of reducing the fluid velocity near the region of the boundary layer is the increment in values of slip, suction, magnetic field, and unsteady parameters.
- The increment in thermal buoyancy parameters and slip parameters cause decreasing the skin-friction coefficient while increasing the local Nusselt number and Sherwood number.
- Decreasing the value of the Sherwood number causes an increasing value of the solutal slip parameter, Schmidt number, and Soret number, but the effect is the opposite with increasing values of the unsteadiness, magnetic, and suction parameters.
- With the increasing value of the magnetic parameter M, the slip velocity parameter and suction parameter are found to be reduced in the velocity profile.
- The skin-friction coefficient decreases with the increasing value of slip, magnetic, and unsteadiness parameters, but the effect is the opposite for increasing values of thermal buoyancy, suction parameter, and solutal buoyancy.
- The increment of the values of buoyancy parameter, injection parameter, and heat source parameter cause an increase in the velocity profile.
Author Contributions
Funding
Acknowledgments
Conflicts of Interest
References
- Tretheway, D.C.; Meinhart, C.D. Apparent fluid slip at hydrophobic microchannel walls. Phys. Fluids 2002, 14, L9–L12. [Google Scholar] [CrossRef]
- Soltani, F.; Yilmazer, L. Slip velocity and slip layer thickness in flow of concentrated suspensions. J. Appl. Polym. Sci. 2010, 70, 515–522. [Google Scholar] [CrossRef]
- Mabood, F.; Das, K. Melting heat transfer on hydromagnetic flow of a nanofluid over a stretching sheet with radiation and second-order slip. Eur. Phys. J. Plus 2016, 131, 1–12. [Google Scholar] [CrossRef]
- Pop, I.; Na, T.Y. Unsteady flow past a stretching sheet. Mech. Res. Commun. 1996, 23, 413–422. [Google Scholar] [CrossRef]
- Sharidan, S.; Mahmood, M.; Pop, I. Similarity solutions for the unsteady boundary layer flow and heat transfer due to a stretching sheet. Appl. Mech. Eng. 2006, 11, 647. [Google Scholar]
- Bhattacharyya, K.; Mukhopadhyay, S.; Layek, G. Slip effects on an unsteady boundary layer stagnation-point flow and heat transfer towards a stretching sheet. Chin. Phys. Lett. 2011, 28, 094702. [Google Scholar] [CrossRef]
- Khan, U.; Ahmed, N.; Mohyud-Din, S.T. Heat transfer effects on carbon nanotubes suspended nanofluid flow in a channel with non-parallel walls under the effect of velocity slip boundary condition: A numerical study. Neural Comput. Appl. 2017, 28, 37–46. [Google Scholar] [CrossRef]
- Mohyud-Din, S.T.; Zaidi, Z.A.; Khan, U.; Ahmed, N. On heat and mass transfer analysis for the flow of a nanofluid between rotating parallel plates. Aerosp. Sci. Technol. 2015, 46, 514–522. [Google Scholar] [CrossRef]
- Mohyud-Din, S.; Khan, U.; Ahmed, N.; Hassan, S. Magnetohydrodynamic flow and heat transfer of nanofluids in stretchable convergent/divergent channels. Appl. Sci. 2015, 5, 1639–1664. [Google Scholar] [CrossRef]
- Makinde, O.; Mishra, S. On stagnation point flow of variable viscosity nanofluids past a stretching surface with radiative heat. Int. J. Appl. Comput. Math. 2017, 3, 561–578. [Google Scholar] [CrossRef]
- Sharada, K.; Shankar, B. MHD mixed convection flow of a Casson fluid over an exponentially stretching surface with the effects of Soret, Dufour, thermal radiation and chemical reaction. World J. Mech. 2015, 5, 165. [Google Scholar] [CrossRef]
- Ullah, I.; Bhattacharyya, K.; Shafie, S.; Khan, I. Unsteady MHD mixed convection slip flow of Casson fluid over nonlinearly stretching sheet embedded in a porous medium with chemical reaction, thermal radiation, heat generation/absorption and convective boundary conditions. PLoS ONE 2016, 11, e0165348. [Google Scholar] [CrossRef] [PubMed]
- Ullah, I.; Khan, I.; Shafie, S. Hydromagnetic Falkner-Skan flow of Casson fluid past a moving wedge with heat transfer. Alex. Eng. J. 2016, 55, 2139–2148. [Google Scholar] [CrossRef]
- Pushpalatha, K.; Sugunamma, V.; Reddy, J.R.; Sandeep, N. Heat and mass transfer in unsteady MHD Casson fluid flow with convective boundary conditions. Int. J. Adv. Sci. Technol. 2016, 91, 19–38. [Google Scholar] [CrossRef]
- Pushpalatha, K.; Reddy, J.R.; Sugunamma, V.; Sandeep, N. Numerical study of chemically reacting unsteady Casson fluid flow past a stretching surface with cross diffusion and thermal radiation. Open Eng. 2017, 7, 69–76. [Google Scholar] [CrossRef]
- Uddin, M.J.; Khan, W.; Ismail, A.M. Free convection boundary layer flow from a heated upward facing horizontal flat plate embedded in a porous medium filled by a nanofluid with convective boundary condition. Transp. Porous Media 2012, 92, 867–881. [Google Scholar] [CrossRef]
- Rahman, M.; Al-Lawatia, M.; Eltayeb, I.; Al-Salti, N. Hydromagnetic slip flow of water based nanofluids past a wedge with convective surface in the presence of heat generation (or) absorption. Int. J. Therm. Sci. 2012, 57, 172–182. [Google Scholar] [CrossRef]
- Das, K. Slip flow and convective heat transfer of nanofluids over a permeable stretching surface. Comput. Fluids 2012, 64, 34–42. [Google Scholar] [CrossRef]
- Ibrahim, W.; Shankar, B. MHD boundary layer flow and heat transfer of a nanofluid past a permeable stretching sheet with velocity, thermal and solutal slip boundary conditions. Comput. Fluids 2013, 75, 1–10. [Google Scholar] [CrossRef]
- Abbas, Z.; Wang, Y.; Hayat, T.; Oberlack, M. Slip effects and heat transfer analysis in a viscous fluid over an oscillatory stretching surface. Int. J. Numer. Methods Fluids 2009, 59, 443–458. [Google Scholar] [CrossRef]
- Makinde, O.D.; Mabood, F.; Ibrahim, M.S. Chemically reacting on MHD boundary-layer flow of nanofluids over a non-linear stretching sheet with heat source/sink and thermal radiation. Therm. Sci. 2018, 22, 495–506. [Google Scholar] [CrossRef]
- Ibrahim, S.; Kumar, P.; Lorenzini, G.; Lorenzini, E.; Mabood, F. Numerical study of the onset of chemical reaction and heat source on dissipative MHD stagnation point flow of Casson nanofluid over a nonlinear stretching sheet with velocity slip and convective boundary conditions. J. Eng. Thermophys. 2017, 26, 256–271. [Google Scholar] [CrossRef]
- Prasannakumara, B.; Krishnamurthy, M.; Gireesha, B.; Gorla, R.S. Effect of multiple slips and thermal radiation on MHD flow of Jeffery nanofluid with heat transfer. J. Nanofluids 2016, 5, 82–93. [Google Scholar] [CrossRef]
- Imtiaz, M.; Hayat, T.; Alsaedi, A.; Hobiny, A. Homogeneous-heterogeneous reactions in MHD flow due to an unsteady curved stretching surface. J. Mol. Liq. 2016, 221, 245–253. [Google Scholar] [CrossRef]
- Mabood, F.; Shateyi, S. Multiple Slip Effects on MHD Unsteady Flow Heat and Mass Transfer Impinging on Permeable Stretching Sheet with Radiation. Model. Simul. Eng. 2019, 2019, 1–11. [Google Scholar] [CrossRef]
- Malarselvi, A.; Bhuvaneswari, M.; Sivasankaran, S.; Ganga, B.; Hakeem, A.A. Effect of Slip and Convective Heating on Unsteady MHD Chemically Reacting Flow Over a Porous Surface with Suction. In Applied Mathematics and Scientific Computing; Springer: Cham, Switzerland, 2019; pp. 357–365. [Google Scholar]
- Singh, K.; Kumar, M. Effect of viscous dissipation on double stratified MHD free convection in micropolar fluid flow in porous media with chemical reaction, heat generation and ohmic heating. Chem. Process Eng. Res. 2015, 31, 75–80. [Google Scholar]
- Rana, P.; Bhargava, R.; Bég, O.A. Finite element simulation of unsteady magneto-hydrodynamic transport phenomena on a stretching sheet in a rotating nanofluid. Proc. Inst. Mech. Eng. Part N J. Nanoeng. Nanosyst. 2013, 227, 77–99. [Google Scholar] [CrossRef]
- Reddy, J.N. An Introduction to the Finite Element Method; McGraw-Hill Education: New York, NY, USA, 1993. [Google Scholar]
- Swapna, G.; Kumar, L.; Rana, P.; Singh, B. Finite element modeling of a double-diffusive mixed convection flow of a chemically-reacting magneto-micropolar fluid with convective boundary condition. J. Taiwan Inst. Chem. Eng. 2015, 47, 18–27. [Google Scholar] [CrossRef]
- Gupta, D.; Kumar, L.; Beg, O.A.; Singh, B. Finite-element analysis of transient heat and mass transfer in microstructural boundary layer flow from a porous stretching sheet. Comput. Therm. Sci. Int. J. 2014, 6. [Google Scholar] [CrossRef]
- Crane, L.J. Flow past a stretching plate. Z. Für Angew. Math. Und Phys. ZAMP 1970, 21, 645–647. [Google Scholar] [CrossRef]
- Gireesha, B.; Ramesh, G.; Bagewadi, C. Heat transfer in MHD flow of a dusty fluid over a stretching sheet with viscous dissipation. J. Appl. Sci. Res. 2012, 3, 2392–2401. [Google Scholar]
- Jalil, M.; Asghar, S.; Yasmeen, S. An exact solution of MHD boundary layer flow of dusty fluid over a stretching surface. Math. Probl. Eng. 2017, 2017. [Google Scholar] [CrossRef]
- Ishak, A.; Nazar, R.; Pop, I. Boundary layer flow and heat transfer over an unsteady stretching vertical surface. Meccanica 2009, 44, 369–375. [Google Scholar] [CrossRef]
- Uddin, M.; Rana, P.; Bég, O.A.; Ismail, A.M. Finite element simulation of magnetohydrodynamic convective nanofluid slip flow in porous media with nonlinear radiation. Alex. Eng. J. 2016, 55, 1305–1319. [Google Scholar] [CrossRef]
- Chamkha, A.; Aly, A.; Mansour, M. Similarity solution for unsteady heat and mass transfer from a stretching surface embedded in a porous medium with suction/injection and chemical reaction effects. Chem. Eng. Commun. 2010, 197, 846–858. [Google Scholar] [CrossRef]
- Ali, M.E. Heat transfer characteristics of a continuous stretching surface. Wärme-Und Stoffübertragung 1994, 29, 227–234. [Google Scholar] [CrossRef]
- Pal, D. Combined effects of non-uniform heat source/sink and thermal radiation on heat transfer over an unsteady stretching permeable surface. Commun. Nonlinear Sci. Numer. Simul. 2011, 16, 1890–1904. [Google Scholar] [CrossRef]
- Haile, E.; Shankar, B. Heat and mass transfer in the boundary layer of unsteady viscous nanofluid along a vertical stretching sheet. J. Comput. Eng. 2014, 2014. [Google Scholar] [CrossRef]






















| Number of Elements | |||||
|---|---|---|---|---|---|
| 300 | 0.82439 | 0.16241 | 0.16733 | 0.06876 | 0.03046 |
| 500 | 0.82455 | 0.16250 | 0.19729 | 0.06875 | 0.03046 |
| 1000 | 0.82466 | 0.16257 | 0.19726 | 0.06874 | 0.03045 |
| 1300 | 0.82469 | 0.16259 | 0.19726 | 0.06873 | 0.03045 |
| 1500 | 0.82470 | 0.16260 | 0.19725 | 0.06873 | 0.03045 |
| 1800 | 0.82471 | 0.16260 | 0.19725 | 0.06873 | 0.03045 |
| 1900 | 0.82472 | 0.16261 | 0.19725 | 0.06874 | 0.03045 |
| 2100 | 0.82472 | 0.16261 | 0.19725 | 0.06874 | 0.03045 |
| Crane [32] | FEM | Crane [32] | FEM | ||
|---|---|---|---|---|---|
| 0 | 1 | 1 | 7 | 0.0009 | 0.0009 |
| 1 | 0.1379 | 0.1379 | 8 | 0.0003 | 0.0003 |
| 2 | 0.1353 | 0.1353 | 9 | 0.0001 | 0.0001 |
| 3 | 0.0498 | 0.0498 | 10 | 0.0000 | 0.0000 |
| 4 | 0.0183 | 0.0018 | 11 | 0.0000 | 0.0000 |
| 5 | 0.0067 | 0.0067 | 12 | 0.0000 | 0.0000 |
| 6 | 0.0025 | 0.0025 | 13 | 0.0000 | 0.0000 |
| M | Gireesha et al. [33] | Mudassar et al. [34] | FEM (Our Results) | Error in % |
|---|---|---|---|---|
| Exact Solution (a) | (b) | |||
| 0.0 | 1.000 | 1.000000 | 1.0000078 | 0.00078 |
| 0.2 | 1.095 | 1.095445 | 1.0954462 | 0.00010 |
| 0.5 | 1.224 | 1.224745 | 1.2247452 | 0.00001 |
| 1.0 | 1.414 | 1.414214 | 1.4142142 | 0.00001 |
| 1.2 | 1.483 | 1.483240 | 1.4832385 | 0.00010 |
| 1.5 | 1.581 | 1.581139 | 1.5811392 | 0.00001 |
| 2.0 | 1.732 | 1.732051 | 1.7320515 | 0.00002 |
| M | Mabood and Das | Fazle and Stanford | FEM | Chamkha et al. | Fazle and Stanford | FEM | |
|---|---|---|---|---|---|---|---|
| [36] | [25] | (Our Results) | [37] | [25] | (Our Results) | ||
| 0 | −1.000008 | −1.0000084 | −1.0000082 | 0.2 | - | - | 1.068027 |
| 1 | 1.4142135 | 1.41421356 | 1.41421353 | 0.4 | - | - | 1.134687 |
| 5 | 2.4494897 | 2.44948974 | 2.44948963 | 0.6 | - | - | 1.199118 |
| 10 | 3.3166247 | 3.31662479 | 3.31662463 | 0.8 | 1.261512 | 1.261042 | 1.261042 |
| 50 | 7.1414284 | 7.14142843 | 7.14142839 | 1.0 | - | - | 1.320522 |
| 100 | 10.049875 | 10.0498756 | 10.0498751 | 1.2 | 1.378052 | 1.377724 | 1.377724 |
| 500 | 22.383029 | 22.3830293 | 22.3830283 | 1.4 | - | - | 1.432836 |
| 1000 | 31.638584 | 31.6385840 | 31.6385833 | 1.6 | - | - | 1.486039 |
| Ali | Fazle and Stanford | Ishak et al. | Dulal Pal. | Haile et al. | Ishak et al. [35] | FEM | Error in % | |
|---|---|---|---|---|---|---|---|---|
| [38] | [25] | [35] | [39] | [40] | (a) Exact Solution | (b) Our Results | ||
| 0.72 | 0.8058 | 0.8088 | - | - | - | 0.8086313498 | 0.8086339299 | 0.0003 |
| 1.00 | 0.9691 | 1.0000 | 1.0000 | 1.0000 | 1.0004 | 1.000000000 | 1.0000080213 | 0.0008 |
| 3.00 | 1.9144 | 1.9237 | 1.9237 | 1.9236 | 1.9234 | 1.923682594 | 1.9236777221 | 0.0003 |
| 10.0 | 3.7006 | 3.7207 | 3.7207 | 3.7207 | 3.7205 | 3.720673901 | 3.7206681683 | 0.0002 |
| 100 | - | - | 12.2941 | 12.2940 | 12.2962 | 12.294083260 | 12.294051659 | 0.0003 |
| Chamkha et al. [37] | FEM(Our Results) | ||||||
|---|---|---|---|---|---|---|---|
| , | , | ||||||
| 0.71 | 0.22 | 0.27377 | 1.158393 | 0.740140 | 0.27371 | 1.158389 | 0.740160 |
| 0.60 | 0.49677 | 1.101087 | 1.312248 | 0.49669 | 1.101082 | 1.312192 | |
| 0.94 | 0.59941 | 1.076931 | 1.713443 | 0.59935 | 1.076899 | 1.713358 | |
| 0.3 | 0.62 | 0.38639 | 0.621980 | 1.355045 | 0.38655 | 0.621892 | 1.355036 |
| 0.71 | 0.50438 | 1.099032 | 1.337571 | 0.50429 | 1.099018 | 1.337267 | |
| 1.0 | 0.55244 | 1.384875 | 1.331027 | 0.55237 | 1.384753 | 1.331856 | |
| 3.0 | 0.69042 | 2.966999 | 1.316710 | 0.69036 | 2.966894 | 1.316382 | |
| M | |||||||||
|---|---|---|---|---|---|---|---|---|---|
| 0.5 | 0.2 | 0.2 | 0.2 | 0.5 | 1 | 5 | 0.43564 | 0.70863 | 1.33066 |
| 1.0 | 0.47695 | 0.70192 | 1.32746 | ||||||
| 1.5 | 0.51239 | 0.69612 | 1.32468 | ||||||
| 0.5 | 0.2 | 0.2 | 0.2 | 0.5 | 1 | 5 | 0.43564 | 0.70863 | 1.33066 |
| 0.5 | 0.42223 | 0.71052 | 1.33163 | ||||||
| 0.8 | 0.40901 | 0.71237 | 1.33258 | ||||||
| 0.5 | 0.2 | 0.2 | 0.2 | 0.5 | 1 | 5 | 0.43564 | 0.70863 | 1.33066 |
| 0.5 | 0.43095 | 0.70928 | 1.33099 | ||||||
| 0.8 | 0.42628 | 0.70993 | 1.33133 | ||||||
| 0.5 | o.2 | 0.2 | 0.2 | 0.5 | 1 | 5 | 0.43564 | 0.70863 | 1.33066 |
| 0.5 | 0.43217 | 0.70906 | 1.33089 | ||||||
| 0.8 | 0.42870 | 0.70949 | 1.33113 | ||||||
| 0.5 | 0.2 | 0.2 | 0.2 | 0.5 | 1 | 5 | 0.43564 | 0.70863 | 1.33066 |
| 1.0 | 0.46926 | 0.79556 | 1.37699 | ||||||
| 1.5 | 0.49903 | 0.86094 | 1.41349 | ||||||
| 0.5 | 0.2 | 0.2 | 0.2 | 0.5 | 1 | 5 | 0.43564 | 0.70863 | 1.33066 |
| 3 | 0.43819 | 0.88813 | 1.28962 | ||||||
| 5 | 0.43925 | 1.00288 | 1.25652 | ||||||
| 0.5 | 0.2 | 0.2 | 0.2 | 0.5 | 1 | 5 | 0.43564 | 0.70863 | 1.33066 |
| 7 | 0.43635 | 0.70919 | 1.44132 | ||||||
| 10 | 0.43689 | 0.70993 | 1.54699 |
© 2019 by the authors. Licensee MDPI, Basel, Switzerland. This article is an open access article distributed under the terms and conditions of the Creative Commons Attribution (CC BY) license (http://creativecommons.org/licenses/by/4.0/).
Share and Cite
Ali, L.; Liu, X.; Ali, B.; Mujeed, S.; Abdal, S. Finite Element Analysis of Thermo-Diffusion and Multi-Slip Effects on MHD Unsteady Flow of Casson Nano-Fluid over a Shrinking/Stretching Sheet with Radiation and Heat Source. Appl. Sci. 2019, 9, 5217. https://doi.org/10.3390/app9235217
Ali L, Liu X, Ali B, Mujeed S, Abdal S. Finite Element Analysis of Thermo-Diffusion and Multi-Slip Effects on MHD Unsteady Flow of Casson Nano-Fluid over a Shrinking/Stretching Sheet with Radiation and Heat Source. Applied Sciences. 2019; 9(23):5217. https://doi.org/10.3390/app9235217
Chicago/Turabian StyleAli, Liaqat, Xiaomin Liu, Bagh Ali, Saima Mujeed, and Sohaib Abdal. 2019. "Finite Element Analysis of Thermo-Diffusion and Multi-Slip Effects on MHD Unsteady Flow of Casson Nano-Fluid over a Shrinking/Stretching Sheet with Radiation and Heat Source" Applied Sciences 9, no. 23: 5217. https://doi.org/10.3390/app9235217
APA StyleAli, L., Liu, X., Ali, B., Mujeed, S., & Abdal, S. (2019). Finite Element Analysis of Thermo-Diffusion and Multi-Slip Effects on MHD Unsteady Flow of Casson Nano-Fluid over a Shrinking/Stretching Sheet with Radiation and Heat Source. Applied Sciences, 9(23), 5217. https://doi.org/10.3390/app9235217

