A New Method to Determine How Compaction Affects Water and Heat Transport in Green Roof Substrates
Abstract
Featured application
Abstract
1. Introduction
2. Materials and Methods
2.1. Water Flow and Heat Transport Theory in Porous Media
2.2. Impact of Compaction on the Hydrodynamic Properties
2.3. Impact of Compaction on the Thermal Properties
2.4. Substrates
2.5. Influence of Substrate Compaction on the Performance of a Hypothetical Roof System
3. Results
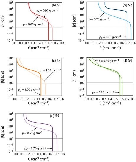
3.1. Impact of Compaction on the Substrate’s Hydrodynamic Properties
3.2. Impact of Compaction on the Substrate’s Thermal Properties
3.3. Influence of Substrate Compaction on the Performance of a Hypothetical Roof System
4. Discussion
5. Conclusions
Author Contributions
Funding
Acknowledgments
Conflicts of Interest
Appendix A

Appendix B. Evolution of the Volumetric Water Content in the Hypothetical Roof System under Uncompacted and Compacted Conditions

Appendix C

References
- Reyes, R.; Bustamante, W.; Gironás, J.; Pastén, P.A.; Rojas, V.; Suárez, F.; Vera, S.; Victorero, F.; Bonilla, C.A. Effect of substrate depth and roof layers on green roof temperature and water requirements in a semi-arid climate. Ecol. Eng. 2016, 97, 624–632. [Google Scholar] [CrossRef]
- Sandoval, V.; Bonilla, C.A.; Gironás, J.; Vera, S.; Victorero, F.; Bustamante, W.; Rojas, V.; Leiva, E.; Pastén, P.; Suárez, F. Porous Media Characterization to Simulate Water and Heat Transport through Green Roof Substrates. Vadose Zone J. 2017, 16. [Google Scholar] [CrossRef]
- Shafique, M.; Kim, R.; Rafiq, M. Green roof benefits, opportunities and challenges—A review. Renew. Sustain. Energy Rev. 2018, 90, 757–773. [Google Scholar] [CrossRef]
- Hashemi, S.S.G.; Mahmud, H.B.; Ashraf, M.A. Performance of green roofs with respect to water quality and reduction of energy consumption in tropics: A review. Renew. Sustain. Energy Rev. 2015, 52, 669–679. [Google Scholar] [CrossRef]
- Raji, B.; Tenpierik, M.J.; van den Dobbelsteen, A. The impact of greening systems on building energy performance: A literature review. Renew. Sustain. Energy Rev. 2015, 45, 610–623. [Google Scholar] [CrossRef]
- Vijayaraghavan, K. Green roofs: A critical review on the role of components, benefits, limitations and trends. Renew. Sustain. Energy Rev. 2016, 57, 740–752. [Google Scholar] [CrossRef]
- De-Ville, S.; Menon, M.; Stovin, V. Temporal variations in the potential hydrological performance of extensive green roof systems. J. Hydrol. 2018, 558, 564–578. [Google Scholar] [CrossRef]
- Catalano, C.; Laudicina, V.A.; Badalucco, L.; Guarino, R. Some European green roof norms and guidelines through the lens of biodiversity: Do ecoregions and plant traits also matter? Ecol. Eng. 2018, 115, 15–26. [Google Scholar] [CrossRef]
- Mayrand, F.; Clergeau, P. Green Roofs and Green Walls for Biodiversity Conservation: A Contribution to Urban Connectivity? Sustainability 2018, 10, 985. [Google Scholar] [CrossRef]
- Peng, L.L.H.; Jim, C.Y. Seasonal and Diurnal Thermal Performance of a Subtropical Extensive Green Roof: The Impacts of Background Weather Parameters. Sustainability 2015, 7, 11098–11113. [Google Scholar] [CrossRef]
- Brunetti, G.; Šimůnek, J.; Piro, P. A Comprehensive Analysis of the Variably Saturated Hydraulic Behavior of a Green Roof in a Mediterranean Climate. Vadose Zone J. 2016, 15. [Google Scholar] [CrossRef]
- Eksi, M.; Rowe, D.B.; Wichman, I.S.; Andresen, J.A. Effect of substrate depth, vegetation type, and season on green roof thermal properties. Energy Build. 2017, 145, 174–187. [Google Scholar] [CrossRef]
- Buckland-Nicks, M.; Heim, A.; Lundholm, J. Spatial environmental heterogeneity affects plant growth and thermal performance on a green roof. Sci. Total Environ. 2016, 553, 20–31. [Google Scholar] [CrossRef] [PubMed]
- Brown, C.; Lundholm, J. Microclimate and substrate depth influence green roof plant community dynamics. Landsc. Urban Plan. 2015, 143, 134–142. [Google Scholar] [CrossRef]
- Campbell, G.S.; Norman, J.M. An Introduction to Environmental Biophysics; Springer: Berlin/Heidelberg, Germany, 2012. [Google Scholar]
- Assouline, S.; Or, D. Conceptual and Parametric Representation of Soil Hydraulic Properties: A Review. Vadose Zone J. 2013, 12. [Google Scholar] [CrossRef]
- Sailor, D.J. A green roof model for building energy simulation programs. Energy Build. 2008, 40, 1466–1478. [Google Scholar] [CrossRef]
- Sailor, D.J.; Hagos, M. An updated and expanded set of thermal property data for green roof growing media. Energy Build. 2011, 43, 2298–2303. [Google Scholar] [CrossRef]
- Sandoval, V.; Suárez, F.; Vera, S.; Pinto, C.; Victorero, F.; Bonilla, C.; Gironás, J.; Bustamante, W.; Rojas, V.; Pastén, P. Impact of the Properties of a Green Roof Substrate on its Hydraulic and Thermal Behavior. Energy Procedia 2015, 78, 1177–1182. [Google Scholar] [CrossRef]
- Zhao, M.; Tabares-Velasco, P.C.; Srebric, J.; Komarneni, S.; Berghage, R. Effects of plant and substrate selection on thermal performance of green roofs during the summer. Build. Environ. 2014, 78, 199–211. [Google Scholar] [CrossRef]
- Alaoui, A.; Lipiec, J.; Gerke, H.H. A review of the changes in the soil pore system due to soil deformation: A hydrodynamic perspective. Soil Tillage Res. 2011, 115–116, 1–15. [Google Scholar] [CrossRef]
- Zhou, A.-N.; Sheng, D.; Carter, J.P. Modelling the effect of initial density on soil-water characteristic curves. Géotechnique 2012, 62, 669–680. [Google Scholar] [CrossRef]
- Charpentier, S. Simulation of Water Regime and Sensible Heat Exchange Phenomena in Green Roof Substrates. Vadose Zone J. 2015, 14. [Google Scholar] [CrossRef]
- Aravena, J.E.; Berli, M.; Ghezzehei, T.A.; Tyler, S.W. Effects of Root-Induced Compaction on Rhizosphere Hydraulic Properties—X-ray Microtomography Imaging and Numerical Simulations. Env. Sci. Technol. 2011, 45, 425–431. [Google Scholar] [CrossRef] [PubMed]
- Aravena, J.E.; Berli, M.; Ruiz, S.; Suárez, F.; Ghezzehei, T.A.; Tyler, S.W. Quantifying coupled deformation and water flow in the rhizosphere using X-ray microtomography and numerical simulations. Plant Soil 2014, 376, 95–110. [Google Scholar] [CrossRef]
- Augeard, B.; Bresson, L.M.; Assouline, S.; Kao, C.; Vauclin, M. Dynamics of Soil Surface Bulk Density: Role of Water Table Elevation and Rainfall Duration. Soil Sci. Soc. Am. J. 2008, 72, 412–423. [Google Scholar] [CrossRef]
- Barozzi, B.; Bellazzi, A.; Maffè, C.; Pollastro, M.C. Measurement of Thermal Properties of Growing Media for Green Roofs: Assessment of a Laboratory Procedure and Experimental Results. Buildings 2017, 7, 99. [Google Scholar] [CrossRef]
- Richards, L.A. Capillary Conduction Of Liquids Through Porous Mediums. Physics 1931, 1, 318–333. Available online: https://aip.scitation.org/doi/10.1063/1.1745010 (accessed on 27 July 2019). [CrossRef]
- Brooks, R.H.; Corey, A.T. Properties of Porous Media Affecting Fluid Flow. J. Irrig. Drain. Div. 1966, 92, 61–90. [Google Scholar]
- Genuchten, V.; Th, M. A Closed-form Equation for Predicting the Hydraulic Conductivity of Unsaturated Soils 1. Soil Sci. Soc. Am. J. 1980, 44, 892–898. [Google Scholar] [CrossRef]
- Assouline, S.; Tessier, D.; Bruand, A. A conceptual model of the soil water retention curve. Water Resour. Res. 1998, 34, 223–231. [Google Scholar] [CrossRef]
- Mualem, Y. A new model for predicting the hydraulic conductivity of unsaturated porous media. Water Resour. Res. 1976, 12, 513–522. [Google Scholar] [CrossRef]
- Assouline, S.; Tartakovsky, D.M. Unsaturated hydraulic conductivity function based on a soil fragmentation process. Water Resour. Res. 2001, 37, 1309–1312. [Google Scholar] [CrossRef]
- Saito, H.; Šimůnek, J.; Mohanty, B.P. Numerical Analysis of Coupled Water, Vapor, and Heat Transport in the Vadose Zone. Vadose Zone J. 2006, 5, 784–800. [Google Scholar] [CrossRef]
- Jury, W.A.; Horton, R. Soil Physics; John Wiley & Sons: Hoboken, NJ, USA, 2004. [Google Scholar]
- Chung, S.-O.; Horton, R. Soil heat and water flow with a partial surface mulch. Water Resour. Res. 1987, 23, 2175–2186. [Google Scholar] [CrossRef]
- Assouline, S. Modeling the Relationship between Soil Bulk Density and the Water Retention Curve Contribution of the Agricultural Research Organization, Institute of Soil, Water and Environmental Sciences, Bet Dagan, Israel, No. 607/05. Vadose Zone J. 2006, 5, 554–563. [Google Scholar] [CrossRef]
- Assouline, S. Modeling the Relationship between Soil Bulk Density and the Hydraulic Conductivity Function. Vadose Zone J. 2006, 5, 697–705. [Google Scholar] [CrossRef]
- Johansen, O. Thermal Conductivity of Soils; Cold Regions Research and Engineering Laboratory: Hanover, NH, USA, 1977. [Google Scholar]
- Balland, V.; Arp, P.A. Modeling soil thermal conductivities over a wide range of conditions. J. Env. Eng. Sci. 2005, 4, 549–558. [Google Scholar] [CrossRef]
- Côté, J.; Konrad, J.-M. A generalized thermal conductivity model for soils and construction materials. Can. Geotech. J. 2005, 42, 443–458. [Google Scholar] [CrossRef]
- Barry-Macaulay, D.; Bouazza, A.; Wang, B.; Singh, R.M. Evaluation of soil thermal conductivity models. Can. Geotech. J. 2015, 52, 1892–1900. [Google Scholar] [CrossRef]
- Šimůnek, J.; van Genuchten, M.T.; Šejna, M. Recent Developments and Applications of the HYDRUS Computer Software Packages. Vadose Zone J. 2016, 15. [Google Scholar] [CrossRef]
- Šimůnek, J.; van Genuchten, M.T.; Šejna, M. Development and Applications of the HYDRUS and STANMOD Software Packages and Related Codes. Vadose Zone J. 2008, 7, 587–600. [Google Scholar] [CrossRef]
- Causone, F.; Corgnati, S.P.; Filippi, M.; Olesen, B.W. Experimental evaluation of heat transfer coefficients between radiant ceiling and room. Energy Build. 2009, 41, 622–628. [Google Scholar] [CrossRef]
- Zhang, X.; Mavroulidou, M.; Gunn, M.J. A study of the water retention curve of lime-treated London Clay. Acta Geotech. 2017, 12, 23–45. [Google Scholar] [CrossRef]
- Wong, J.T.F.; Chen, Z.; Chen, X.; Ng, C.W.W.; Wong, M.H. Soil-water retention behavior of compacted biochar-amended clay: A novel landfill final cover material. J. Soils Sediment. 2017, 17, 590–598. [Google Scholar] [CrossRef]







| Substrate | Texture | OM (%) | ρs (g/cm3) | ρmax (g/cm3) | Cu (-) | Cc (-) | ||
|---|---|---|---|---|---|---|---|---|
| Sand (%) 0.05–2 mm | Silt (%) (SC) 0.002–0.05 mm | Clay (%) (CC) <0.002 mm | ||||||
| S1 | 88.1 | 8.5 | 3.3 | 12.0 | 2.20 | 0.99 | 48.4 | 0.7 |
| S2 | 65.6 | 29.2 | 5.2 | 30.7 | 2.13 | 0.44 | 67.5 | 0.5 |
| S3 | 82.8 | 13.3 | 3.9 | 4.1 | 2.51 | 1.20 | 43.0 | 5.9 |
| S4 | 50.7 | 34.4 | 14.9 | 10.2 | 2.44 | 1.13 | 240.0 | 0.6 |
| S5 | 53.4 | 37.6 | 9.0 | 35.5 | 2.32 | 0.98 | 89.1 | 1.2 |
| Substrate | State | ρ | θr1 | θs1 | α1 | n1 | Ks | ξ2 | μ2 | w2 | η3 | ε3 | ϛ 3 |
|---|---|---|---|---|---|---|---|---|---|---|---|---|---|
| (g/cm3) | (-) | (-) | (1/cm) | (-) | (cm/d) | (bar) | (-) | (-) | (-) | (-) | (-) | ||
| S1 | UC | 0.85 | 0.19 | 0.64 | 0.1170 | 1.44 | 348 | 0.032 | 0.762 | 1.025 | 1.329 | 0.072 | |
| C | 0.99 | 0.22 | 0.57 | 0.0190 | 1.90 | 239 | 0.056 | 1.035 | 1.996 | 1.382 | 0.962 | 0.051 | |
| S2 | UC | 0.23 | 0.18 | 0.76 | 0.0590 | 1.65 | 3690 | 0.086 | 1.445 | 1.120 | 1.132 | 0.094 | |
| C | 0.40 | 0.31 | 0.69 | 0.0019 | 4.18 | 410 | 0.252 | 2.461 | 1.850 | 1.781 | 0.666 | 0.067 | |
| S3 | UC | 1.00 | 0.00 | 0.52 | 0.1600 | 1.33 | 1850 | 0.034 | 0.701 | 0.928 | 1.458 | 0.094 | |
| C | 1.20 | 0.00 | 0.44 | 0.0175 | 1.85 | 1540 | 0.067 | 1.000 | 1.949 | 1.344 | 0.994 | 0.067 | |
| S4 | UC | 0.85 | 0.00 | 0.61 | 0.0270 | 1.35 | 172 | 0.114 | 0.709 | 0.946 | 1.432 | 0.210 | |
| C | 0.95 | 0.00 | 0.50 | 0.0028 | 2.27 | 115 | 0.328 | 1.258 | 2.011 | 1.214 | 1.118 | 0.246 | |
| S5 | UC | 0.51 | 0.13 | 0.70 | 0.0510 | 1.75 | 1380 | 0.029 | 0.946 | 1.277 | 1.056 | 0.035 | |
| C | 0.70 | 0.18 | 0.63 | 0.0041 | 3.07 | 442 | 0.098 | 1.749 | 1.882 | 1.912 | 0.579 | 0.017 |
| Substrate | State | ρ | b11 | b21 | b31 | κ2 | λsol3 |
|---|---|---|---|---|---|---|---|
| (g/cm3) | (W m−1 K−1) | (W m−1 K−1) | (W m−1 K−1) | (-) | (W m−1 K−1) | ||
| S1 | UC | 0.85 | 0.513 | 3.854 | −2.769 | ||
| C | 0.99 | 1.026 | 5.780 | −4.514 | 0.668 | 1.338 | |
| S2 | UC | 0.23 | −0.152 | 1.048 | 0.022 | ||
| C | 0.40 | −0.690 | 2.212 | 0.115 | 1.006 | 1.103 | |
| S3 | UC | 1.00 | 0.146 | 0.822 | 0.330 | ||
| C | 1.20 | 0.145 | 1.001 | 0.481 | 1.466 | 1.286 | |
| S4 | UC | 0.85 | 0.125 | 0.000 | 0.929 | ||
| C | 1.13 | 0.154 | 0.000 | 0.987 | 4.561 | 1.382 | |
| S5 | UC | 0.51 | −0.286 | 0.552 | 0.889 | ||
| C | 0.70 | 0.199 | 0.000 | 0.954 | 1.283 | 2.125 |
© 2019 by the authors. Licensee MDPI, Basel, Switzerland. This article is an open access article distributed under the terms and conditions of the Creative Commons Attribution (CC BY) license (http://creativecommons.org/licenses/by/4.0/).
Share and Cite
Sandoval, V.; Suárez, F. A New Method to Determine How Compaction Affects Water and Heat Transport in Green Roof Substrates. Appl. Sci. 2019, 9, 4697. https://doi.org/10.3390/app9214697
Sandoval V, Suárez F. A New Method to Determine How Compaction Affects Water and Heat Transport in Green Roof Substrates. Applied Sciences. 2019; 9(21):4697. https://doi.org/10.3390/app9214697
Chicago/Turabian StyleSandoval, Victoria, and Francisco Suárez. 2019. "A New Method to Determine How Compaction Affects Water and Heat Transport in Green Roof Substrates" Applied Sciences 9, no. 21: 4697. https://doi.org/10.3390/app9214697
APA StyleSandoval, V., & Suárez, F. (2019). A New Method to Determine How Compaction Affects Water and Heat Transport in Green Roof Substrates. Applied Sciences, 9(21), 4697. https://doi.org/10.3390/app9214697

