Compact and Broadband Microstrip Band-Stop Filters with Single Rectangular Stubs
Abstract
1. Introduction
2. Theoretical Calculation
2.1. Principle of the Broadband Stub
2.2. Principle of Miniaturization by Reactance Insertion Stub
3. Measurements
3.1. Measurement Samples
3.2. Measurement System
4. Results and Discussion
4.1. Validation of Measurement Results
4.2. Bandwidth Change of Rectangular Stubs
4.3. Resonance Frequency Change of the Reactance Insertion Stub
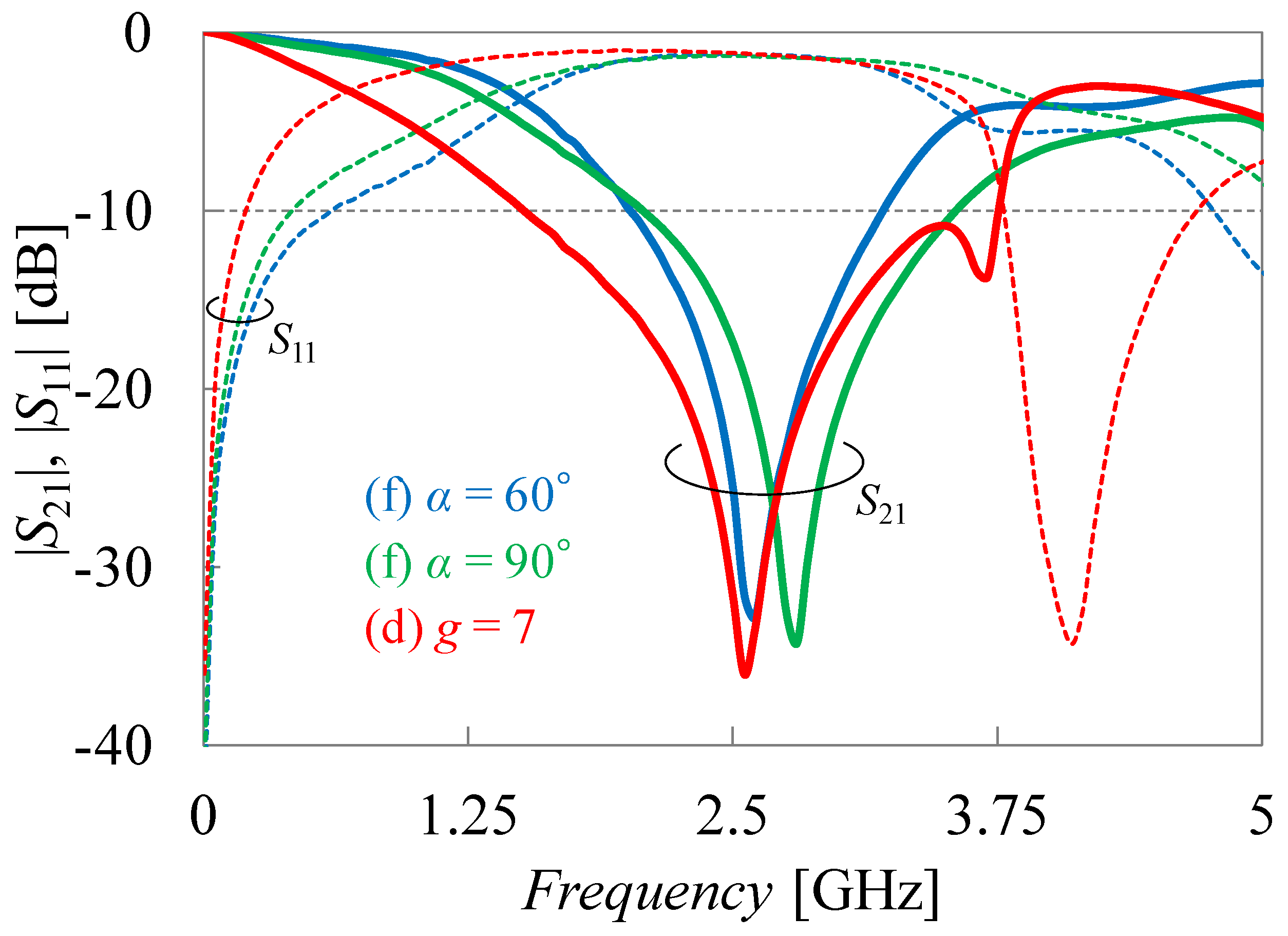
4.4. Comparison with Radial Line Stub
5. Conclusions
Author Contributions
Funding
Conflicts of Interest
References
- Pozar, D.M. Microwave Engineering, 3rd ed.; John Wiley & Sons, Inc.: Hoboken, NJ, USA, 2005; pp. 412–416. [Google Scholar]
- Lee, T.H. Planar Microwave Engineering; Cambridge University Press: Cambridge, UK, 2004; pp. 790–792. [Google Scholar]
- Available online: www.dreamcacher.asia/cw (accessed on 11 December 2018).
- Available online: www.pid-control.com (accessed on 11 December 2018).
- Wang, Y.Z.; Jing, X.L.; Yang, H.L. A New Type of Microstrip Band-stop Filter Using Spurline. In Proceedings of the 16th International Conference on Electronic Packaging Technology (ICEPT), Changsha, China, 11–14 August 2015. [Google Scholar]
- Chang, C.C.; Qian, Y.; Itoh, T. Analysis and Applications of Uniplanar Compact Photonic Bandgap Structures. Prog. Electromagn. Res. 2003, 41, 211–235. [Google Scholar] [CrossRef]
- Yasuzumi, T.; Takahashi, T.; Hashimoto, O. An Ultra-Wideband Bandpass Filter Using Periodic Dielectric Structure. In Proceedings of the 38th European Microwave Conference, Amsterdam, The Netherlands, 27–31 October 2008. [Google Scholar]
- Hong, J.S. Microstrip Filters for RF/Microwave Applications, 2nd ed.; John Wiley & Sons: Hoboken, NJ, USA, 2011; pp. 169–192. [Google Scholar]
- Sakagami, I.; Hao, Y.; Tokunou, A. On a Transmission Line Lowpass Filter Using Radial-Line Stubs. IEICE Trans. Electron. 2003, 86, 1629–1634. [Google Scholar]
- Hayati, M.; Majidifar, S.; Fathabadi, O.S. Compact Microstrip Lowpass Filter with Wide Stopbband and High Attenuation. Microwave J. 2012, 55, 90–98. [Google Scholar]
- Ning, Z.; Wu, Y.; Wang, W.; Liu, Y.; Yu, J. Compact Microstrip Lowpass Filter with Wide Stopband Using Nonuniform Radial Stubs. In Proceedings of the IEEE 4th Asia-Pacific Conference on Antennas and Propagation (APCAP), Kuta, Indonesia, 30 June–3 July 2015. [Google Scholar]
- Dehbashi, R.; Oskouei, H.D.; Forooraghi, K. A Novel Miniaturized Broad-Band Band-Stop Resonator Used in Rectennas in WiMAX Frequency Band. In Proceedings of the IEEE Antennas and Propagation Society International Symposium, Albuquerque, NM, USA, 9–14 July 2006. [Google Scholar]
- Broadband Microstrip Mixer Deign—The Butterfly Mixer; Application Note 976; Hewlett Packard: Palo Alto, CA, USA, 1988; pp. 1–7.
- Tang, C.W.; Hsu, Y.K. A Microstrip Bandpass Filter with Ultra-Wide Stopband. IEEE Trans. Microwave Theory Tech. 2008, 56, 1468–1472. [Google Scholar] [CrossRef]
- Hsieh, M.Y.; Wang, S.M. Compact and Wideband Microstrip Bandstop Filter. IEEE Microwave Wirel. Compon. Lett. 2005, 15, 472–474. [Google Scholar] [CrossRef]
- Rehman, S.U.; Sheta, A.F.; Alkanhal, M. Compact bandstop filter using defected ground structure (DGS). In Proceedings of the Saudi International Electronics, Communications and Photonics Conference (SIECPC), Riyadh, Saudi Arabia, 24–26 April 2011. [Google Scholar]
- Kumar, A.; Mishra, P.; Kadian, S. Compact Microstrip Spurline BandStop Filter with Defected Ground Structure (Dgs). Int. J. Eng. Res. Appl. 2014, 4, 146–150. [Google Scholar]
- Pourbagher, M.; Ojaroudi, N.; Ghobadi, C.; Nourinia, J. Compact Band-Stop Filter for X-Band Transceiver in Radar. ACES J. 2015, 30, 423–427. [Google Scholar]
- Akbarzadeh, H.; Ojaroudi, N.; Ojaroudi, Y. A New Design of Very Compact UWB Band-Stop Filter Using Coupled W-Shaped Strips. ACES J. 2016, 31, 159–163. [Google Scholar]
- Habibi, R.; Ghobadi, C.; Nourinia, J.; Ojaroudi, M.; Ojaroudi, N. Very Compact Broad Band-stop Filter Using Periodic L-shaped Stubs Based on Self-complementary Structure for X-band Application. Electron. Lett. 2012, 48, 1483–1484. [Google Scholar] [CrossRef]
- Chin, K.S.; Lung, C.K. Miniaturized Microstrip Dual-Band Band-Stop Filters Using Tri-Section Stepped- Impedance Resonators. Prog. Electromagn. Res. C 2009, 10, 37–48. [Google Scholar] [CrossRef]
- Lee, T.H.; Kim, C.S.; Son, K.C. A Band-stop Filter with Wide Stop Band Using T-shaped Stepped Impedance Resonator and L-shaped Open Stub. In Proceedings of the International Conference on Emerging Trends & Innovation in ICT (ICEI), Pune, India, 3–5 February 2017. [Google Scholar]
- Li, K.; Wang, W.; Zhao, L.; Mei, X. Microstrip Bandstop Filter Using Open Stub and Spurline. In Proceedings of the IEEE International Conference on Microwave Technology & Computational Electromagnetics, Beijing, China, 22–25 May 2011. [Google Scholar]
- Atwater, H.A. The Design of the Radial Line Stub: A Useful Microstrip Circuit Element. Microwave J. 1985, 28, 149–156. [Google Scholar]
- Alexander, C.K.; Sadiku, M.N.O. Fundamentals of Electric Circuits, 4th ed.; McGraw-Hill: New York, NY, USA, 2009; pp. 629–633. [Google Scholar]
- Kusama, Y.; Yokoi, Y.; Hashimoto, O. A Study on Conductor Loss Measurement of Microstrip Line. Int. Electr. Eng. Trans. 2018, 4, 40–46. [Google Scholar]










| Circuit Pattern | Z1/Z0 | −10 dB BW [GHz] (1) | f0 [GHz] (1) |
|---|---|---|---|
| (a) | 2 | 0.35 (0.6) | 2.71 (1.1) |
| (a) | 1 | 0.60 (1.0) | 2.56 (1.0) |
| (a) | 1/2 | 1.05 (1.8) | 2.56 (1.0) |
| (a) | 1/4 | 1.75 (2.9) | 3.86 (1.5) |
| (b) | 1/4 | 2.15 (3.6) | 2.96 (1.2) |
| (c) | 1/4 | 2.15 (3.6) | 2.96 (1.2) |
| Circuit Pattern | Z1/Z0 | −10 dB BW [GHz] (1) | f0 [GHz] (1) |
|---|---|---|---|
| (d) g = 19.4, (a) | 1/4 | 1.75 (2.9) | 3.86 (1.5) |
| (d) g = 7.0 | 1/4 | 2.25 (3.7) | 2.56 (1.0) |
| (d) g = 0.7 | 1/4 | 1.10 (1.8) | 1.66 (0.6) |
| (e) n = 4.0 | 1/4 | 0.55 (0.9) | 1.11 (0.4) |
| (e) n = 8.0 | 1/4 | 0.30 (0.5) | 0.86 (0.3) |
| Circuit Pattern | α [Degree] | −10 dB BW [GHz] (1) | f0 [GHz] (1) |
|---|---|---|---|
| (f) | α = 60° | 1.20 (2.0) | 2.61 (1.0) |
| (f) | α = 90° | 1.45 (2.4) | 2.81 (1.1) |
| (d) g = 7 | Z1/Z0 = 1/4 | 2.25 (3.7) | 2.56 (1.0) |
© 2019 by the authors. Licensee MDPI, Basel, Switzerland. This article is an open access article distributed under the terms and conditions of the Creative Commons Attribution (CC BY) license (http://creativecommons.org/licenses/by/4.0/).
Share and Cite
Kusama, Y.; Isozaki, R. Compact and Broadband Microstrip Band-Stop Filters with Single Rectangular Stubs. Appl. Sci. 2019, 9, 248. https://doi.org/10.3390/app9020248
Kusama Y, Isozaki R. Compact and Broadband Microstrip Band-Stop Filters with Single Rectangular Stubs. Applied Sciences. 2019; 9(2):248. https://doi.org/10.3390/app9020248
Chicago/Turabian StyleKusama, Yusuke, and Ryota Isozaki. 2019. "Compact and Broadband Microstrip Band-Stop Filters with Single Rectangular Stubs" Applied Sciences 9, no. 2: 248. https://doi.org/10.3390/app9020248
APA StyleKusama, Y., & Isozaki, R. (2019). Compact and Broadband Microstrip Band-Stop Filters with Single Rectangular Stubs. Applied Sciences, 9(2), 248. https://doi.org/10.3390/app9020248
