Abstract
The colloidal analysis for H2O and EG (Ethylene Glycol) by considering the influence of radiative heat flux and viscous dissipation is not performed so far. This study is performed to fill up this gap. Therefore, the flow of water and ethylene glycol functionalized magnetite nanoparticles over a moving wedge is examined. For thermal enhancement, two different magnetite nanoparticles, namely (Cobalt ferrite) and ( ferrite), diluted in the base fluids. Self-similar flow model of a nonlinear nature, containing the volume fraction of nanoparticles is obtained by using compatible similarity variables. For mathematical treatment of the model, the Runge-Kutta scheme is utilized, coupled with shooting techniques. The results for flow characteristics and significant physical parameters are graphically examined. A comprehensive comparative analysis has been made, which proved the reliability of the study.
1. Introduction
The colloidal study past a wedge geometry cannot be overlooked due to its extensive applications in many industrial, engineering zones. These comprised in thermal insulation, geothermal engineering, heat exchangers, and extraction of crude oil, etc. The flow regular liquids or nanofluids over a wedge geometry unlock a new window for researchers and scientists. Therefore, researchers and scientists focused in this direction and extended the model day by day with new advances.
The study of many fluids over a stationary or non-stationary wedge is of the important research area in the field of fluid dynamics. Firstly, Rajagopal et al. [1] reformed the work of Falkner Skan [2,3]. They investigated the flow behavior of second grade liquid over a stationary wedge. Afterwards, Hartree solved the Falkner Skan boundary layer flow model [4]. The behavior of the fluid temperature over a static wedge was reported in [5]. Watanabe studied forced free convection by considering the influence of Lorentz force and suction or injection [6,7]. Koh et al. discussed the alterations due to various quantities on shear stresses and the local nusselt number [8]. Kumari et al. examined a theoretical investigation of the mixed convection wedge flow [9]. Further, Chamkha et al. [10] reported the flow over a thermally stratified wedge.
El-Dabe et al. reported the numerical treatment for casson fluid [11]. The effects of different parameters of self-similar nature was described in his study. Ishak et al. extended the model for micropolar fluid over a non-stationary wedge [12,13]. Rashidi et al. described the influence of Lorentz force on flow of viscoelastic fluid [14]. Su et al. discussed the mixed convective flow over a stretching wedge by considering the effects of magnetic field and thermal radiation [15]. In 2013, Mukhopadhyay et al. analyzed the flow of casson fluid by considering the geometry of the symmetric wedge [16]. They also described the effects of various emerging parameters for the heat transfer.
In 2014, Hussanan et al. investigated the Falkner Skan flow of unsteady nature over a wedge that was embedded in the porous medium [17]. Stimulus of the Joule heating and the concentration gradients in the flow regimes emerged in their study. In 2010, Kandasamy et al. reported the chemically reacting flow over a porous wedge [18]. The impact of the radiative heat flux and the suction or blowing was presented in the study. The influences of cross diffusion in chemically heating Falkner Skan flow was reported in [19]. Hussanan et al. studied the flow over an oscillating plate and analyzed the influence of newtonian heating and the convective flow conditions in the flow regimes [20]. Magnetohydrodynamics flow of nanofluids by considering the influence of Lorentz force, resistive heating, and velocity slip condition, as reported in [21]. The influence of suction or blowing in the flow characteristics past a wedge was investigated in [22]. Rahman et al. examined the hydromagnetic flow by considering the heat generation/absorption parameter [23]. In 2011, Yacob et al. extended the flow over a non-stationary wedge for nanofluids [24]. Khan et al. lately reported the bio-convection dissipative model over a wedge when considering the influences of porosity and gyrotactic microorganisms and nanoparticles [25]. The effects of the newtonian heating and other pertinent flow parameters on the flow characteristics are part of his analysis. In 2017, Khan et al. investigated the thermal enhancement in MHD flow past a wedge [26].
In 2016, Ullah et al. presented the non-Newtonian fluid model over a stretchable sheet [27]. They accounted the impacts of mixed convection and chemical reaction in the flow regimes. Thermal enhancement in the ferro fluid by considering the cylindrical shaped nanoparticles over a vertical channel investigated by Khalid et al. in [28]. The influences of the Ag nanoparticles on poiseuille flow by taking the influence of chemical reaction, thermal radiation, and cross diffusion was presented by Aman et al. [29]. The second grade fluid model and the nanofluid flow in an oblique channel and Riga plates were reported in [30,31], respectively. Ahmed et al. examined the stimulus of an effective Prandtl model for the flow characteristics [32]. The influence of thermal radiation on viscous incompressible between oblique walls was examined by Adnan et al. [33]. For further useful study regarding Newtonian, non-Newtonian, and nanofluids while considering the various flow conditions in different geometries are presented in [34,35,36,37,38,39,40,41,42,43,44,45,46].
From keen literature review, it is noticed that the colloidal analysis of (Cobalt ferrite) and , by considering water and ethylene glycol as carrier liquids in the existence of radiative heat flux and viscous dissipation, is not presented so far. This study is presented to fill up this significant gap. The influences of the parameters are graphically explored for flow characteristics and heat transfer rate with comprehensive discussion, and fascinating results for heat transfer rate were found for both type of nanofluids.
2. Model Formulation
The radiative and dissipative colloidal suspension of water and ethylene glycol suspended by cobalt ferrite and Mn-Zn ferrite is under consideration over a non-static wedge. The flow obeys the characteristics of incompressible flow. The flow configuration is taken in the Cartesian coordinate system. and denote the main stream and wedge velocities, respectively. Furthermore, represents the Hartree pressure corresponding to . Moreover, the temperature of the wedge wall is a function of x and is , where shows the free stream temperature. Figure 1 depicts the flow configuration with coordinate axes:
Figure 1.
Flow Configuration and Coordinates.
In the light of aforesaid assumptions, the following set of PDE’s govern the flow of H2O and C2H6O2 suspended by cobalt ferrite and Mn-Zn ferrite nanoparticles [47,48]:
Here, Equation (1) shows the conservation law for mass and Equation (2) represents the momentum equation. Furthermore, velocity components in horizontal and vertical directions are denoted by and , respectively. Additionally, shows main stream velocity, Temperature , heat capacity dynamic viscosity , effective thermal conductivity , and mean adsorption coefficient is :
For our flow model, the following are the feasible boundary conditions [48]:
The set of self-similar transformations are as under [49]:
The following nanofluid characteristics are utilized [50]:
In Equations (7)–(9), is volume fraction, is heat capacity of carrier fluids, shows nanoparticles thermal conductivity, is base liquid thermal conductivity, and and are the dynamic viscosities of nanoparticles and base liquid, respectively.
Table 1 escribes the thermal and physical characteristics for base liquids and nanoparticles.
Table 1.
Thermal and Physical characteristics [49,50].
By entreating the self-similar transformations that are given in Equation (6), the following non-dimensional model is attained:
Particular conditions at wedge surface and far from the wedge surface are as under:
Further, self-similar parameters emerged in the model are:
The dimensional form for shear stresses and local nusselt number are:
After simplifications, Equations (14) and (15) reduced into the following formula:
here, is indicates the local Reynold number.
3. Mathematical Analysis
The model under consideration is nonlinear in nature. For such a type of models, exact solutions are very rare and very difficult to calculate. In such a situation, numerical computation is reliable. Thus, the Runge–Kutta scheme [51] is adopted for particular flow model. In order to apply the aforesaid scheme, firstly the flow model is reduced into a coupled first order Initial Value Problem (IVP). For the said purpose, the following key transformations are used:
To initiate the scheme, firstly transform the model in the following manner:
Here, .
After the utilization of transformations that are defined in Equation (16), the attained system is:
The corresponding initial conditions are in the following way.
Now, Mathematica 10.0 is applied for the computation purpose.
4. Graphical Results and Discussion
The ingrained physical quantities in the flow model, like , and significantly affect the flow characteristics, shear stresses, and local rate of heat transfer. This section described the impacts of aforementioned physical parameters in the flow characteristics. Three different cases of the nanofluids flow is discussed:
- When the wedge and colloidal suspension move in the opposite direction. The parameter elucidates such flow.
- When the wedge and colloidal suspension move in the same sense. This type of flow occurs for .
- The static wedge case is considered for .
Further, the numerical values obtained for shear stress and compared with literature which confirms the reliability of the study.
The influences of pressure gradient parameter called Hartree pressure plays a vibrant role on the velocity distribution of the nanofluids. Figure 2 shows these effects for assisting, opposing, and static wedge condition. It is examined that, by increasing the pressure, the nanofluids particles move promptly in the region . Near the surface of the wedge, the particles momentum drops due to the friction factor between the surface and the nanofluids particles. The friction between the rest of the layer’s declines, which allows the particles move freely. Therefore, the momentum of the particles increases. For the static wedge condition, the velocity slowly arises in comparison with assisting and opposing flow conditions. The opposing motion of the wedge reduces the nanofluids velocity and the movement of the wedge in the direction of the flow increases the velocity field . The changes in the velocity are almost similar for both kinds of the nanofluids.
Figure 2.
Alterations in the velocity distribution for (a) ; (b) ; (c) ; (d) nanofluids by varying .
Varying the flow parameters significantly alters the temperature distribution. These parameters are the radiation parameter, Eckert number faction factor of the nanoparticles, and . These effects that are portrayed in Figure 3, Figure 4, Figure 5 and Figure 6 for the nanofluids under consideration. It is examined that the temperature enhances for the flow of water composed by the cobalt and Mn-Zn and drops for ethylene glycol based hosting fluid. These temperature effects are due to varying Hartree pressure and are displayed in Figure 3. For the opposing wedge condition, the nanofluids velocity drops, which is due to the particles slowly becoming colloid and alternately the temperature drops. On the other hand, for the assisting case, the collision between the particles increases due to the alike motion of the nanofluids and the wedge, which promptly enhances the temperature. These effects of the temperature , as highlighted in Figure 3 for feasible Hartree pressure gradient parameter .
Figure 3.
Alterations in the temperature distributions for (a) ; (b) ; (c) ; (d) nanofluids by varying .

Figure 4.
Alterations in the temperature distribution for (a) ; (b) ; (c) ; (d) nanofluids by varying .
Figure 5.
Alterations in the temperature distribution for (a) ; (b) ; (c) ; (d) nanofluids by varying .
Figure 6.
Alterations in the temperature distribution for (a) ; (b) ; (c) ; (d) nanofluids by varying .
It is prominent fact that the radiation parameter significantly enhances the temperature and hence it cannot be ignored. Figure 4 portrays the alterations in the temperature distribution for increasing the radiation parameter. It is obvious that, for stronger thermal radiation, the temperature field significantly enhances. When the nanofluids and the wedge move in alike direction, then temperature the distribution becomes rapid in comparison with the static and opposing flow conditions, respectively. The dominating behavior of is noted for ethylene glycol based nanofluids and for water based nanoliquid; these variations are quite slow.
The impacts of the Eckert parameter on the temperature behavior for both types of nanoliquids that are elucidated in Figure 5. The temperature arises for opposing condition and then asymptotically vanishes far from the surface. For alike movement of the nanofluids and the wedge, the behavior of the temperature is almost inconsequential.
It is a prominent fact that the thermal conductivity of the host liquids (water and ethylene glycol) is not up to the mark. However, mixing the cobalt and ferrite nanoparticles can enhance the thermal conductance of these liquids. The resultant composition then has better thermal enhancement characteristics. For this, the volume fraction factor plays the role of key ingredient These effects are elaborated in Figure 6 for both nature of the nanofluids. It can be seen that, for static wedge flow, the temperature alterations are more obvious in comparison with the opposing flow. The temperature of the nanofluids shows asymptotic pattern far from the wedge.
The significance of the nondimensional physical quantities in the shear stresses and the heat transfer rate cannot be ignored. Since water and ethylene glycol taken as a regular liquids. For these liquids, the Prandtl number has a fixed value and is described in [52], respectively. Figure 7, Figure 8, Figure 9, Figure 10 and Figure 11 elaborated the impacts of aforementioned parameters on the local heat transfer.
Figure 7.
Alterations in the local nusselt number for (a) ; (b) ; (c) ; (d) nanofluids by varying and .

Figure 8.
Alterations in the local nusselt number for (a) ; (b) ; (c) ; (d) nanofluids by varying .
Figure 9.
Alterations in the local nusselt number for (a) ; (b) ; (c) ; (d) nanofluids by varying and .
Figure 10.
Alterations in the local nusselt number for (a) ; (b) ; (c) ; (d) nanofluids by varying and Ec.

Figure 11.
Alterations in the local nusselt number for (a) ; (b) ; (c) ; (d) nanofluids by varying and .
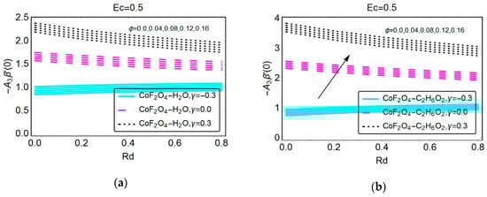
The variations in the local heat transfer rate by altering the radiation and volume fraction parameter described in Figure 7. The transfer rate is rapid for strong thermal radiation parameter Rd. For Ethylene glycol based nanofluids, drops in the local heat transfer rate are noted. For opposing flow, less amount of heat transfers at the wedge surface in comparison with the static and moving wedge, respectively. For smaller , the heat transfer rate is quite slow. Figure 8 highlights the impacts of fraction factor on the heat transfer at the wedge. The higher values of lead to increasing the behavior of the heat transfer. The up turns in the nusselt number are inspected for alike nanofluids flow. For the static wedge condition, the heat transfer slowly varies in comparison with opposing and assisting flow situations. The heat transfer quite rapidly arises for EG based nanofluid and effects of Rd and Hartree pressure elaborated in Figure 9.
The impacts of Hartree pressure versus Eckert number on the heat transfer rate are organized in Figure 10. The heat transfer reduces for Hartree pressure versus Eckert number Ec. By increasing the Eckert parameter, the heat transfers at the wedge surface arises drops. For EG based nanoliquids, heat transfer promptly declines. Figure 11 elaborated on the influences of Hartree pressure versus volume fraction factor . The heat transfer enhances by altering the Hartree pressure and the volume fraction of the nanoparticles. For the opposing flow situation, heat transfers rapidly at the wedge surface. Further, it is examined that, for smaller and , the heat transfer slowly intensifies.
Table 2 presents the comparative analysis for shear stresses with existing results. It can be seen that, under certain restrictions on flow parameters, the presented results provoked the reliability of the study.
Table 2.
Comparative analysis for .
5. Conclusions
The flow water and EG composed by and nanoparticles are discussed over a wedge geometry. The resultant nanofluids model is numerically handled and the impacts of emerging flow quantities on the flow regimes and local heat transfer rate were comprehensively examined. It is examined that the Hartree pressure parameter enhances the velocity. The flow of nanofluids is rapid for assisting case in comparison with the static and opposing wedge conditions. The temperature of the nanofluids drops by altering the Hartree pressure. For assisting flow condition, the temperature promptly drops. The radiation parameter enhances the nanofluids temperature. The heat transfer rate enhances for the volume fraction factor. Finally, the comparative analysis proved the validity of the study.
6. Future Directions
In future, the work can be extended for the colloidal analysis by considering the impacts of other physical phenomenon like Lorentz forces, resistive heating, heat generation/absorption etc. Further, the comparative analysis can be explored for various nanofluids theoretical models which will an interesting and fruitful analysis from industrial point of view.
Author Contributions
Conceptualization, U.K., I.K. and Adnan; methodology, Adnan, N.A.; software, S.N.; validation, A.T. and R.A., writing—review and editing, I.K.; supervision, S.T.M.-D. All the authors contributed to the manuscript equally.
Funding
This research received no external funding.
Acknowledgments
The second and third authors thank the Deanship of Scientific Research and Deanship of Community Service at Majmaah University, Kingdom of Saudi Arabia for supporting this work. The authors are also thankful to students (Jilan Hatem Al Harbi; Raheq Saud al-Makhmali; Raghad Mohamed Al-Tawala; Janna Hamad Al-Misnad; Ritaj Al Mutairi) for participating in this work.
Conflicts of Interest
The authors declare no conflict of interest.
Nomenclature
| Main stream velocity | u component of the velocity | ||
| v component of the velocity | Effective dynamic viscosity | ||
| Effective density | Effective thermal conductivity | ||
| Effective heat capacity | Thermal conductivity of nanoparticles | ||
| Thermal conductivity of the base fluid | Density of the nanoparticles | ||
| Density of the base fluid | Volume fraction of the nanoparticles | ||
| Temperature | Hartree pressure gradient parameter | ||
| Similarity variable | Dimensionless velocity | ||
| Dimensionless temperature | Pr | Prandtl number | |
| Eckert number | Thermal radiation parameter |
References
- Rajagopal, K.R.; Gupta, A.S.; Na, T.Y. A note on the Falkner-Skan flows of a non-Newtonian fluid. Int. J. Non-Linear Mech. 1983, 18, 313–320. [Google Scholar] [CrossRef]
- Falkner, V.M.; Skan, S.W. Some approximate solutions of the boundary layer equations. Philos. Mag. 1931, 12, 865–896. [Google Scholar] [CrossRef]
- Falkner, V.M.; Skan, S.W. Some approximate solutions of the boundary-layer for flow past a stretching boundary. SIAM J. Appl. Math. 1931, 49, 1350–1358. [Google Scholar]
- Hartree, D.H. On an equation occurring in Falkner and Skan’s approximate treatment of the equations of the boundary layer. Proc. Camb. Philos. Soc. 1937, 33, 223–239. [Google Scholar] [CrossRef]
- Lin, H.T.; Lin, L.K. Similarity solutions for laminar forced convection heat transfer from wedges to fluids of any Prandtl number. Int. J. Heat Mass Transf. 1987, 30, 1111–1118. [Google Scholar] [CrossRef]
- Watanabe, T. Thermal boundary layer over wedge with uniform suction or injection in force flow. Acta Mech. 1990, 83, 119–126. [Google Scholar] [CrossRef]
- Watanabe, T.; Pop, I. Magnetohydrodynamic free convection flow over a wedge in the presence of a transverse magnetic field. Int. Commun. Heat Mass Transf. 1993, 20, 871–881. [Google Scholar] [CrossRef]
- Koh, J.C.Y.; Hartnett, J.P. Skin-friction and heat transfer for incompressible laminar flow over porous wedges with suction and variable wall temperature. Int. J. Heat Mass Transf. 1961, 2, 185–198. [Google Scholar] [CrossRef]
- Kumari, M.; Takhar, H.S.; Nath, G. Mixed convection flow over a vertical wedge embedded in a highly porous medium. Heat Mass Transf. 2001, 37, 139–146. [Google Scholar] [CrossRef]
- Chamkha, A.J.; Mujtaba, M.; Quadri, A.; Issa, C. Thermal radiation effects on MHD forced convection flow adjacent to a non-isothermal wedge in the presence of a heat source or sink. Heat Mass Transf. 2003, 39, 305–312. [Google Scholar] [CrossRef]
- El-dabe, N.T.; Ghaly, A.Y.; Rizkallah, R.R.; Ewis, K.M. Numerical solution of MHD boundary layer flow of non-newtonian Casson fluid on a moving wedge with heat and mass transfer and induced magnetic field. J. Appl. Math. Phys. 2015, 3, 649–663. [Google Scholar] [CrossRef]
- Ishak, A.; Nazar, R.; Pop, I. Falkner-Skan equation for flow past a moving wedge with suction or injection. J. Appl. Math. Comput. 2007, 25, 67–83. [Google Scholar] [CrossRef]
- Ishak, A.; Nazar, R.; Pop, I. Moving wedge and flat plate in a micropolar fluid. Int. J. Eng. Sci. 2006, 44, 1225–1236. [Google Scholar] [CrossRef]
- Rashidi, M.M.; Ali, M.; Freidoonimehr, N.; Rostami, B.; Hossain, M.A. Mixed Convective Heat Transfer for MHD Viscoelastic Fluid Flow over a Porous Wedge with Thermal Radiation. Adv. Mech. Eng. 2014, 6, 735939. [Google Scholar] [CrossRef]
- Su, X.; Zheng, L.; Zhang, X.; Zhang, J. MHD mixed convective heat transfer over a permeable stretching wedge with thermal radiation and ohmic heating. Chem. Eng. Sci. 2012, 78, 1–8. [Google Scholar] [CrossRef]
- Mukhopadhyay, S.; Mondal, I.C.; Chamkha, A.J. Casson fluid flow and heat transfer past a symmetric wedge. Heat Transf. Res. 2013, 42, 665–675. [Google Scholar] [CrossRef]
- Hussanan, A.; Ismail, Z.; Khan, I.; Hussein, A.G.; Shafie, S. Unsteady boundary layer MHD free convection flow in a porous medium with constant mass diffusion and Newtonian heating. Eur. Phys. J. Plus 2014, 129, 46. [Google Scholar] [CrossRef]
- Kandasamy, R.; Raji, A.W.B.M.; Khamis, A.B. Efiects of chemical reaction, heat and mass transfer on boundary layer flow over a porous wedge with heat radiation in the presence of suction or injection. Theor. Appl. Mech. 2006, 33, 123–148. [Google Scholar] [CrossRef]
- Chambre, P.L.; Acrivos, A. Diffusion of a chemically reactive species in a laminar boundary layer flow. Indian Eng. Chem. 1957, 49, 1025. [Google Scholar] [CrossRef]
- Hussanan, A.; Anwar, M.I.; Ali, F.; Khan, I.; Shafie, S. Natural convection flow past an oscillating plate with Newtonian heating. Heat Transf. Res. 2014, 45, 119–135. [Google Scholar] [CrossRef]
- Su, X.; Zheng, L. Hall effect on MHD flow and heat transfer of nanofluids over a stretching wedge in the presence of velocity slip and Joule heating. Cent. Eur. J. Phys. 2013, 11, 1694–1703. [Google Scholar] [CrossRef]
- Pal, D.; Mondal, H. Influence of temperature-dependent viscosity and thermal radiation on MHD forced convection over a non-isothermal wedge. Appl. Math. Comput. 2009, 212, 194–208. [Google Scholar] [CrossRef]
- Rahman, M.M.; Al-Lawatia, M.A.; Eltayeb, I.A.; Al-Salti, N. Hydromagnetic slip flow of water based nanofluids past a wedge with convective surface in the presence of heat generation (or) absorption. Int. J. Therm. Sci. 2012, 57, 172–182. [Google Scholar] [CrossRef]
- Yacob, N.A.; Ishak, A.; Pop, I. Falkner-Skan problem for a static or moving wedge in nanoliquids. Int. J. Therm. Sci. 2011, 50, 133–139. [Google Scholar] [CrossRef]
- Khan, U.; Ahmed, N.; Mohyud-Din, S.T. Influence of viscous dissipation and Joule heating on MHD bio-convection flow over a porous wedge in the presence of nanoparticles and gyrotactic microorganisms. SpringerPlus 2016, 5, 2043. [Google Scholar] [CrossRef] [PubMed]
- Ahmed, N.; Khan, U.; Mohyud-Din, S.T. Heat transfer enhancement in hydromagnetic dissipative flow past a moving wedge suspended by H2O-aluminum alloy nanoparticles in the presence of thermal radiation. Int. J. Hydrogen Energy 2017, 42, 24634–24644. [Google Scholar] [CrossRef]
- Ullah, I.; Bhattacharyya, K.; Shafie, S.; Khan, I. Unsteady MHD Mixed Convection Slip Flow of Casson Fluid over Nonlinearly Stretching Sheet Embedded in a Porous Medium with Chemical Reaction, Thermal Radiation, Heat Generation/Absorption and Convective Boundary Conditions. PLoS ONE 2016, 10, e0165348. [Google Scholar] [CrossRef]
- Khalid, A.; Khan, I.; Shafie, S. Heat transfer in ferrofluid with cylindrical shape nanoparticles past a vertical plate with ramped wall temperature embedded in a porous medium. J. Mol. Liq. 2016, 221, 1175–1183. [Google Scholar] [CrossRef]
- Aman, S.; Khan, I.; Ismail, Z.; Salleh, M.Z. Impacts of gold nanoparticles on MHD mixed convection Poiseuille flow of nanofluid passing through a porous medium in the presence of thermal radiation, thermal diffusion and chemical reaction. Neural Comput. Appl. 2016, 30, 789–797. [Google Scholar] [CrossRef]
- Ahmed, N.; Khan, U.; Mohyud-Din, S.T. Thermo-diffusion and Diffusion-Thermo effects on Flow of Second Grade fluid between two Inclined plane Walls. J. Mol. Liq. 2016, 224, 1074–1082. [Google Scholar]
- Ahmed, N.; Khan, U.; Mohyud-Din, S.T. Influence of Thermal Radiation and Viscous dissipation on Squeezed flow of Water between Riga Plates saturated with Carbon nanotubes. Colloids Surf. A Physicochem. Eng. Asp. 2017, 522, 389–398. [Google Scholar] [CrossRef]
- Ahmed, N.; Khan, U.; Mohyud-Din, S.T. Influence of an Effective Prandtl number Model on Squeezed Flow of γAl2O3-H2O and γAl2O3-C2H6O2 Nanofluids. J. Mol. Liq. 2017, 238, 447–454. [Google Scholar] [CrossRef]
- Asadullah, M.; Khan, U.; Ahmed, N.; Mohyud-Din, S.T. Analytical and Numerical Investigation of Thermal Radiation effects on Flow of viscous Incompressible fluid with Stretchable Convergent/divergent Channels. J. Mol. Liq. 2016, 224, 768–775. [Google Scholar]
- Gul, A.; Khan, I.; Shafie, S.; Khalid, A.; Khan, A. Heat Transfer in MHD Mixed Convection Flow of a Ferrofluid Along a Vertical Channel. PLoS ONE 2015, 11, e0141213. [Google Scholar] [CrossRef]
- Zin, M.; Athirah, N.; Khan, I.; Shafie, S. The impact silver nanoparticles on MHD free convection flow of Jeffery fluid over an oscillating vertical plate embedded in a porous medium. J. Mol. Liq. 2016, 222, 138–150. [Google Scholar]
- Gul, A.; Khan, I.; Shafie, S. Energy Transfer in Mixed Convection MHD Flow of Nanofluid Containing Different Shapes of Nanoparticles in a Channel Filled with Saturated Porous Medium. Nanoscale Res. Lett. 2015, 10, 490. [Google Scholar]
- Ali, F.; Gohar, M.; Khan, I. MHD flow of water-based Brinkman type nanofluid over a vertical plate embedded in a porous medium with variable surface velocity, temperature and concentration. J. Mol. Liq. 2016, 223, 412–419. [Google Scholar] [CrossRef]
- Ullah, I.; Shafie, S.; Khan, I. Effects of slip condition and Newtonian heating on MHD flow of Casson fluid over a nonlinearly stretching sheet saturated in a porous medium. J. King Saud Univ. 2016, 29, 250–259. [Google Scholar] [CrossRef]
- Ullah, I.; Khan, I.; Shafie, S. MHD Natural Convection Flow of Casson Nanofluid over Nonlinearly Stretching Sheet Through Porous Medium with Chemical Reaction and Thermal Radiation. Nanoscale Res. Lett. 2016, 11, 527. [Google Scholar] [CrossRef]
- Sheikholeslami, M.; Shehzad, S.A. Magnetohydrodynamic nanofluid convection in a porous encloure considering heat flux boundary condition. Int. J. Heat Mass Transf. 2017, 106, 1261–1269. [Google Scholar] [CrossRef]
- Sheikholeslami, M.; Hayat, T.; Alsaedi, A. Numerical study for external magnetic source influence on water based nanofluid convective heat transfer. Int. J. Heat Mass Transf. 2017, 106, 745–755. [Google Scholar] [CrossRef]
- Sheikholeslami, M.; Vajravelu, K. Nanofluid flow and heat transfer in a cavity with variable magnetic field. Appl. Math. Comput. 2017, 298, 272–282. [Google Scholar] [CrossRef]
- Ahmed, N.; Khan, U.; Mohyud-Din, S.T.; Waheed, A. Shape effects of nanoparticles on Squeezed flow between two Riga Plates in the presence of thermal radiation. Eur. Phys. J. Plus 2017, 132, 321. [Google Scholar] [CrossRef]
- Ahmed, N.; Khan, U.; Mohyud-Din, S.T.; Manzoor, R. Influence of Viscous dissipation on Copper Oxide Nanofluid in an Oblique Channel: Implementation of KKL Model. Eur. Phys. J. Plus 2017, 132, 237. [Google Scholar] [CrossRef]
- Bin-Mohsin, B.; Ahmed, N.; Khan, U.; Mohyud-Din, S.T. A Bioconvection Model for squeezing flow of nanofluid Between parallel plates in the presence gyrotactic microorganisms. Eur. Phys. J. Plus 2017, 132, 187. [Google Scholar] [CrossRef]
- Ullah, I.; Khan, I.; Shafie, S. Hydromagnetic Falkner-Skan flow of Casson fluid past a moving wedge with heat transfer. Alex. Eng. J. 2016, 55, 2139–2148. [Google Scholar] [CrossRef]
- Srinivasacharya, D.; Mendu, U.; Venumadhav, K. MHD Boundary Layer Flow of a Nanofluid Past a Wedge. Procedia Eng. 2015, 127, 1064–1070. [Google Scholar] [CrossRef]
- Sandeep, N.; Sharma, R.P.; Ferdows, M. Enhanced heat transfer in unsteady magnetohydrodynamic Enhanced heat transfer in unsteady magnetohydrodynamic. J. Mol. Liq. 2017, 234, 437–443. [Google Scholar] [CrossRef]
- Haq, R.U.; Noor, N.F.M.; Khan, Z.H. Numerical simulation of water based magnetite nanoparticles between two parallel disks. Adv. Powder Technol. 2016, 27, 1568–1575. [Google Scholar] [CrossRef]
- Rashidi, M.M.; Ganesh, V.N.; Abdul, H.A.K.; Ganga, B.; Lorenzini, G. Influences of an effective Prandtl number model on nano boundary layer flow of gAl2O3-H2O and gAl2O3-C2H6O2 over a vertical stretching sheet. Int. J. Heat Mass Transf. 2016, 98, 616–623. [Google Scholar] [CrossRef]
- Khan, U.; Ahmed, N.; Mohy-ud-Din, S.T. Numerical investigation for three dimensional squeezing flow of nanofluid in a rotating channel with lower stretching wall suspended by carbon nanotubes. Appl. Therm. Eng. 2017, 113, 1107–1117. [Google Scholar] [CrossRef]
- Ganapathirao, M.; Ravindran, R.; Momoniat, E. Effects of chemical reaction, heat and mass transfer on an unsteady mixed convection boundary layer flow over a wedge with heat generation/absorption in the presence of suction or injection. Int. J. Heat Mass Transf. 2015, 51, 289–300. [Google Scholar] [CrossRef]
© 2019 by the authors. Licensee MDPI, Basel, Switzerland. This article is an open access article distributed under the terms and conditions of the Creative Commons Attribution (CC BY) license (http://creativecommons.org/licenses/by/4.0/).