Study on Restoring Force Performance of Corrosion Damage Steel Frame Beams under Acid Atmosphere
Abstract
:1. Introduction
2. Experimental Program
2.1. Steel Material
2.2. Steel Frame Beams
2.3. The Loading Program
3. Experimental Results
3.1. Steel Material
3.2. Steel Beam
3.2.1. Failure Process
3.2.2. Hysteresis and Skeleton Curves
- All of the load-displacement hysteresis curves, which show a distinct fusiform shape, are relatively full without pinching. The area surrounded by the hysteresis loops is relatively large, which means that the steel beam has good energy consumption and ductility.
- The conclusion is obtained by comparing the hysteresis curve of six specimens: Before the frame beam specimens reached the yield load, the slope of the loading curve changed little, the stiffness of specimen was basically unchanged, and it was in the elastic stage. As the displacement amplitude and the number of cycles increased, the specimens began to yield and the plastic deformation further increased, while the strength and stiffness deteriorated significantly. Under the large displacement amplitude, the repeated loading caused the stiffness to degrade significantly. In general, the longer the corrosion time, the more obvious the stiffness and strength degradation.
- Based on the above analysis, the failure process of the steel beam specimens is divided into the elastic stage, the elastoplastic stage, and the plastic failure stage. At the initial stage of loading, the skeleton curves developed linearly, the beam specimens were in the elastic stage. With the increase of displacement loading continually, skeleton curves appeared at an inflection point which is the yield point, indicating that the specimen reached the yield. As the loading displacement increased, the bearing capacity showed a nonlinear growth trend, and the lateral stiffness of the specimen decreased, the specimens were in the elastoplastic stage. As the loading displacement increased further, the skeleton curve began to decline after reaching the horizontal peak load, until the specimen was destroyed.
- The skeleton curve of the specimens with different degrees of corrosion basically overlapped at the initial stage of loading. However, with the increase of the continual loading displacement, the skeleton curve began to appear different. The greater the degree of corrosion, the more obvious the difference, such as the most severely corroded B-6 specimen, which were the most degraded.
4. Development of Restoring Force Model
4.1. Defining Skeleton Curve
4.1.1. Simplified Skeleton Curve and Feature Points
4.1.2. Verifying Skeleton Curves
4.2. Defining Hysteretic Rule
4.2.1. Rule of Strength and Stiffness Degradation
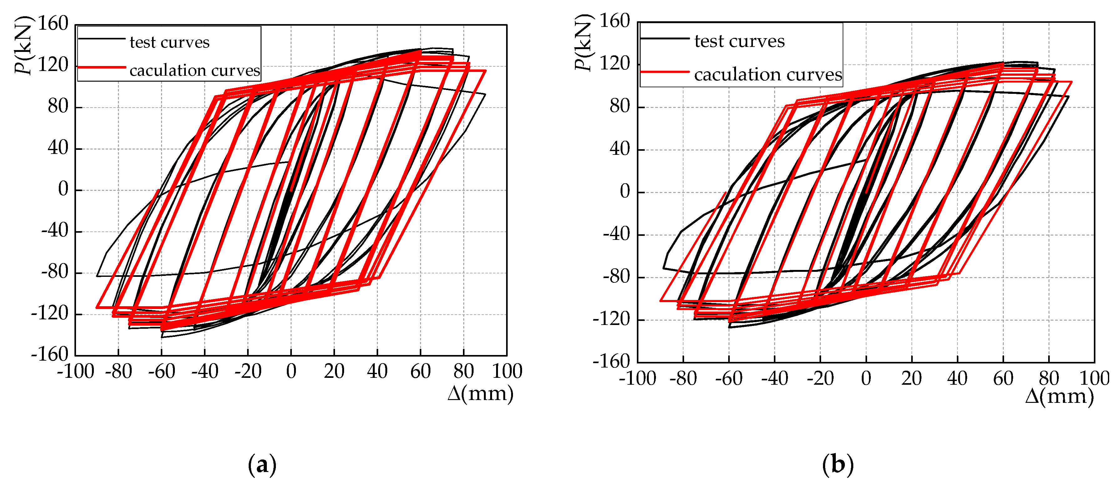
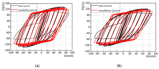
4.2.2. Comparative Study of Hysteresis Performances
5. Conclusions
- The test results of the corroded steel material verified a widely known fact that corrosion has a significant effect on the mechanical properties of steel. With the increase of the corrosion degree, the mechanical properties of steel have a linear decreasing trend, and the linear regression analysis is carried out to obtain the expressions of various mechanical properties and the weight loss rate.
- The test results of the corroded steel frame beam under the cyclic loading show that the failure process of the steel frame beam specimen experiences three stages, namely, elasticity, elastoplasticity, and the plastic failure stage. The bottom flange plate is partially buckled first, then the web is convexly curved, and finally the plastic hinge is formed at the bottom of the beam. However, with the increase of the corrosion degree, the horizontal bearing capacity of the specimens is gradually reduced, and the stiffness is significantly degraded. The displacements corresponding to the end flange buckling, the web drum, and the plastic hinge formation are also gradually reduced.
- Based on the above results, the skeleton curve of the corroded steel beam specimen is simplified to a trilinear model considering the descent segment. The theoretical derivation formulas of the three characteristic points are given in the model. There is good agreement between the calculation value and test value, demonstrating that the established trilinear model in this paper is reasonable.
- The cyclic degradation index is introduced by considering the effect of the corrosion degree for the hysteresis performance, and the restoring force model of the corroded steel frame beam is established by defining the degradation rule of strength and stiffness. The computed hysteresis curves are in good agreement with the experimental ones, verifying the applicability of the restoring force model. The developed model truly reflects the hysteretic behavior of the corroded steel frame beam, and the research results provide a theoretical basis for the nonlinear seismic response analysis of corroded steel frame structures.
Author Contributions
Acknowledgments
Conflicts of Interest
References
- Zhang, J.C.; Li, Y.; Zheng, Y.; Wang, Z.J. Seismic damage investigation of spatial frames with steel beams connected to L-shaped concrete-filled steel tubular (CFST) columns. Appl. Sci. 2018, 8, 1713. [Google Scholar] [CrossRef]
- Chen, J.; Wang, Z.; Yuan, J. Research on the stiffness of concrete filled tubular column and steel beam joint with stiffening ring. J. Build. Struct. 2004, 4, 6. (In Chinese) [Google Scholar]
- Zeng, L.; Xiao, Y.F.; Chen, Y.G.; Jin, S.Q.; Xie, W.; Li, X.J. Seismic damage evaluation of concrete-encased steel Frame-reinforced concrete core tube buildings based on dynamic characteristics. Appl. Sci. 2017, 7, 314. [Google Scholar] [CrossRef]
- Huo, L.; Li, C.; Jiang, T.; Li, H.N. Feasibility Study of Steel Bar Corrosion Monitoring Using a Piezoceramic Transducer Enabled Time Reversal Method. Appl. Sci. 2018, 8, 2304. [Google Scholar] [CrossRef]
- Fang, Z.; Li, A.Q.; Li, W.R.; Shen, S. Wind-induced fatigue analysis of high-rise steel structures using equivalent structural stress method. Appl. Sci. 2017, 7, 71. [Google Scholar] [CrossRef]
- Theodore, V.G.; Andrea, E.S. Structural Stability of Steel: Concepts and Applications for Structural Engineers; John Wiley & Sons, Inc.: Hoboken, NJ, USA, 2008; pp. 3–21. [Google Scholar]
- Zheng, S.S.; Zhang, X.H.; Wang, X.F.; Cheng, Y.; Zuo, Y. Experimental research and finite element analysis on aseismic behaviors on corroded steel frame columns. Eng. Mech. 2016, 33, 145–154. (In Chinese) [Google Scholar]
- Zheng, S.S.; Wang, X.F.; Sun, L.F.; Tian, J.; Han, Y.Z.; Zhang, X.H. Experimental research on seismic behavior of multi-aged steel frame joint under acidic atmospheric environment. J. Build. Struct. 2015, 36, 20–28. (In Chinese) [Google Scholar]
- Albrecht, P.; Hall, T.T., Jr. Atmospheric corrosion resistance of structural steels. J. Mater. Civ. Eng. 2003, 15, 12–24. [Google Scholar] [CrossRef]
- Sultana, S.; Wang, Y.; Sobey, A.J. Influence of corrosion on the ultimate compressive strength of steel plates and stiffened panels. Thin-Walled Struct. 2015, 96, 95–104. [Google Scholar] [CrossRef]
- Wang, Y.; Wharton, J.A.; Shenoi, R.A. Ultimate strength analysis of aged steel-plated structures exposed to marine corrosion damage: A review. Corros. Sci. 2014, 86, 42–60. [Google Scholar] [CrossRef]
- Jin, X.; Jin, W.L.; Li, L.Y. Performance of corroded reinforced concrete columns under the action of eccentric loads. J. Mater. Civ. Eng. 2016, 28, 04015087. [Google Scholar]
- Tapan, M.; Aboutaha, R.S. Effect of steel corrosion and loss of concrete cover on strength of deteriorated RC columns. Constr. Build. Mater. 2011, 25, 2596–2603. [Google Scholar] [CrossRef]
- Zheng, S.S.; Zhang, X.H.; Huang, W.Z.; Zhao, X.R. Experimental research on seismic behavior and finite element analysis of plane steel frame under offshore environment. Eng. Mech. 2018, 35, 62–73. (In Chinese) [Google Scholar] [CrossRef]
- Beaulieu, L.V.; Légeron, F.; Langlois, S.; Prud’homme, S. Residual capacity in compression of corroded steel angle members. In Proceedings of the Electrical Transmission and Substation Structures Conference, Fort Worth, TX, USA, 8–12 November 2009; pp. 479–491. [Google Scholar]
- Kevin, M.Z.; Kevin, F.M.; Arash, E.Z.; Kay, W. Experimental study of UHPC repair for corrosion-damaged steel girder ends. J. Bridge Eng. 2017, 22. [Google Scholar] [CrossRef]
- Yang, S.Y.; Song, X.B.; Jia, H.X.; Chen, X.; Liu, X.L. Experimental research on hysteretic behaviors of corroded reinforced concrete columns with different maximum amounts of corrosion of rebar. Constr. Build. Mater. 2016, 121, 319–327. [Google Scholar] [CrossRef]
- Ergun, S.; Demir, A. Effect of hysteretic models on seismic behavior of existing RC structures. J. Perform. Constr. Facil. 2015, 29, 04014160. [Google Scholar] [CrossRef]
- Zhao, G.F.; Zhang, M.; Li, Y.L.; Li, D.W. The hysteresis performance and restoring force model for corroded reinforced concrete frame columns. J. Eng. 2016, 2016, 1–19. [Google Scholar] [CrossRef]
- Baber, T.T.; Wen, Y.K. Random vibration of hysteretic, degrading systems. J. Eng. Mech. Division 1981, 107, 1069–1087. [Google Scholar]
- Foliente, G.C. Hysteresis modeling of wood joints and structural systems. J. Struct. Eng. 1995, 121, 1013–1022. [Google Scholar] [CrossRef]
- Chung, S.T.; Loh, C.H. Identification and verification of seismic demand from different hysteretic models. J. Earthq. Eng. 2002, 6, 331–355. [Google Scholar] [CrossRef]
- Dicleli, M.; Calik, E.E. Physical theory hysteretic model for steel braces. J. Struct. Eng. 2008, 134, 1215–1228. [Google Scholar] [CrossRef]
- Wang, P.H.; Ou, Y.C.; Chang, K.C. A new smooth hysteretic model for ductile flexural-dominated reinforced concrete bridge columns. Earthq. Eng. Struct. Dyn. 2017, 46, 2237–2259. [Google Scholar] [CrossRef]
- Clough, R.W.; Johnston, S.B. Effects of stiffness degradation on earthquake ductility requirements. Proceeding of The Second Japan Earthquake Engineering Symposium, Tokyo, Japan, October 1966; pp. 227–232. [Google Scholar]
- Takeda, T.; Sozen, M.A.; Nielson, N.N. Reinforced concrete response to simulated earthquakes. J. Struct. Division 1970, 96, 2557–2573. [Google Scholar]
- Yan, C.W.; Yang, D.Q.; Ma, Z.G.J.; Jia, J.Q. Hysteretic model of SRUHSC column and SRC beam joints considering damage effects. Mater. Struct. 2017, 50, 1–13. [Google Scholar] [CrossRef]
- Burke, S.; Bruneau, M. Effect of surface roughness on cyclic ductility of corroded steel. J. Struct. Eng. 2016, 142. [Google Scholar] [CrossRef]
- Bruneau, M.; Zahrai, S.M. Effect of severe corrosion on cyclic ductility of steel. J. Struct. Eng. 1997, 123, 1478–1486. [Google Scholar] [CrossRef]
- Azevedo, J.; Calado, L. Hysteretic behaviour of steel members: Analytical models and experimental tests. J. Constr. Steel Res. 1994, 29, 71–94. [Google Scholar] [CrossRef]
- Abdollahzadeh, G.R.; Hashemi, S.M.; Tavakoli, H.; Rahami, H. Determination of hysteretic behavior of steel end-plate beam-to-column connection with mechanical and neural network modeling. Arab. J. Sci. Eng. 2014, 39, 7661–7671. [Google Scholar] [CrossRef]
- Usami, T.; Zheng, Y.; Ge, H.B. Seismic design method for thin-walled steel frame structures. J. Struct. Eng. 2001, 127, 137–144. [Google Scholar] [CrossRef]
- Naeim, F.; Skliros, K.; Reinhorn, A.M. Influence of hysteretic deteriorations on seismic response of multistory steel frame buildings. Adv. Technol. Struct. Eng. 2000, 1–8. [Google Scholar] [CrossRef]
- National Standard of the People’s Republic of China: Steel and Steel Products—Location and Preparation of Samples and Test Pieces for Mechanical Testing; GB/T 2975-1988; Standards Press of China: Beijing, China, 1999.
- National Standard of the People’s Republic of China: Corrosion of Metals and Alloys—Acceleration Cyclic Test with Exposure to Acidified Salt Spray, “Dry” and “Wet” Conditions; GB/T 24195-2009; Standards Press of China: Beijing, China, 2009.
- Taha, N.A.; Morsy, M. Study of the behavior of corroded steel bar and convenient method of repairing. HBRC J. 2016, 12, 107–113. [Google Scholar] [CrossRef]
- National Standard of the People’s Republic of China: Specification of Testing Methods for Earthquake Resistant Building; JGJ 101-96; Standards Press of China: Beijing, China, 1997.
- National Standard of the People’s Republic of China: Code for Seismic Design of Buildings; GB 50011–2010; Standards Press of China: Beijing, China, 2010.
- National Standard of the People’s Republic of China: Code for Design of Steel Structures; GB 50017-2003; Standards Press of China: Beijing, China, 2003.
- Yang, Y.; Xue, Y.; Yu, Y.; Gao, F. Experimental study on seismic performance of partially precast steel reinforced concrete columns. Eng. Struct. 2018, 175, 63–75. [Google Scholar] [CrossRef]
- Li, L.; Zheng, S.S.; Wang, B.; Deng, G.Z.; Wang, W. Cyclic deterioration effect of the steel reinforced high-performance concrete frame. Eng. Mech. 2010, 27, 125–132. (In Chinese) [Google Scholar]
- Tremblay, R.; Tchebotarev, N.; Filiatrault, A. Seismic performance of RBS connections for steel moment resisting frames: Influence of loading rate and floor slab, behavior of steel structures in seismic areas. In Proceedings of the Second International Conference, STESSA‘97, Kyoto, Japan, 3–8 August 1997; pp. 664–671. [Google Scholar]
- Lignos, D.G. Sideway Collapse of Deteriorating Structural Systems under Seismic Excitations. Ph. D. Thesis, Stanford University, Stanford, CA, USA, 2008. [Google Scholar]
- Wang, F.; Huo, L.; Song, G. A piezoelectric active sensing method for quantitate monitoring of bolted loosening using energy dissipation caused by tangential damping based on the fractal contact theory. Smart Mater. Struct. 2018, 27, 015023. [Google Scholar] [CrossRef]
- Song, G.; Gu, H.; Mo, Y.L. Concrete structural health monitoring using embedded piezoceramic transducers. Smart Mater. Struct. 2007, 16, 959–968. [Google Scholar] [CrossRef]
- Xu, B.; Zhang, T.; Song, G.; Gu, H. Active interface debonding detection of a concrete-filled steel tube with piezoelectric technologies using wavelet packet analysis. Mech. Syst. Signal Process 2013, 36, 7–17. [Google Scholar] [CrossRef]
- Wang, F.; Ho, S.C.M.; Huo, L.; Song, G. A novel fractal contact-electromechanical impedance model for quantitative monitoring of bolted joint looseness. IEEE Access 2018, 6, 40212–40220. [Google Scholar] [CrossRef]


















| Specimen Thickness /mm | Quantity | Acceleration Corrosion Time /h |
|---|---|---|
| 6.5 | 16 | 0/240/480/960/1440/1920/2400/2880 |
| 9 | 16 | |
| 14 | 16 |
| Specimen Number | Sectional Dimension /mm | Corrosion Time /h | Weight Loss Ratio/% | |
|---|---|---|---|---|
| Beam/mm | Bearing Beam/mm | |||
| B-1 | HN300 × 150 × 6.5 × 9 | HN350 × 350 × 10 × 14 | 0 | 0 |
| B-2 | 480 | 2.11 | ||
| B-3 | 960 | 4.30 | ||
| B-4 | 1920 | 7.50 | ||
| B-5 | 2400 | 9.50 | ||
| B-6 | 2880 | 11.28 | ||
| Thickness (mm) | Corrosion Time (h) | Weight Loss Ratio (%) | Yield Stress fy (MPa) | Ultimate Stress fu (MPa) | Elongation δ (%) | Elasticity Modulus Es (MPa) |
|---|---|---|---|---|---|---|
| 6.5 | 0 | 0 | 335.23 | 482.81 | 32.66 | 206,386 |
| 240 | 1.32 | 330.54 | 486.54 | 32.31 | 206,126 | |
| 480 | 2.54 | 332.86 | 479.55 | 30.14 | 205,003 | |
| 960 | 5.15 | 320.13 | 464.66 | 30.68 | 199,548 | |
| 1440 | 6.99 | 309.52 | 456.71 | 29.13 | 198,368 | |
| 1920 | 8.99 | 308.39 | 450.32 | 28.34 | 190,684 | |
| 2400 | 11.35 | 303.17 | 448.65 | 28.07 | 186,684 | |
| 2880 | 13.51 | 291.66 | 441.94 | 24.76 | 180,984 | |
| 9 | 0 | 0 | 341.38 | 493.62 | 30.79 | 205,881 |
| 240 | 0.93 | 344.23 | 488.64 | 30.52 | 204,111 | |
| 480 | 1.81 | 336.54 | 481.38 | 30.24 | 200,684 | |
| 960 | 3.72 | 330.58 | 478.55 | 29.37 | 199,844 | |
| 1440 | 5.02 | 324.84 | 476.64 | 28.46 | 192,336 | |
| 1920 | 6.49 | 322.16 | 464.22 | 28.10 | 191,558 | |
| 2400 | 8.24 | 322.33 | 467.21 | 26.37 | 188,955 | |
| 2880 | 9.76 | 311.94 | 460.27 | 25.13 | 185,684 | |
| 14 | 0 | 0 | 326.64 | 481.58 | 34.17 | 204,768 |
| 240 | 0.59 | 325.21 | 488.64 | 33.84 | 201,335 | |
| 480 | 1.13 | 322.18 | 479.68 | 33.28 | 202,351 | |
| 960 | 2.39 | 320.44 | 473.26 | 32.82 | 190,667 | |
| 1440 | 3.19 | 315.62 | 474.62 | 32.23 | 197,684 | |
| 1920 | 4.17 | 312.58 | 466.63 | 31.81 | 195,558 | |
| 2400 | 5.26 | 305.11 | 465.21 | 30.67 | 194,668 | |
| 2880 | 6.04 | 302.11 | 459.86 | 28.89 | 191,334 |
© 2018 by the authors. Licensee MDPI, Basel, Switzerland. This article is an open access article distributed under the terms and conditions of the Creative Commons Attribution (CC BY) license (http://creativecommons.org/licenses/by/4.0/).
Share and Cite
Wang, B.; Huang, W.; Zheng, S. Study on Restoring Force Performance of Corrosion Damage Steel Frame Beams under Acid Atmosphere. Appl. Sci. 2019, 9, 103. https://doi.org/10.3390/app9010103
Wang B, Huang W, Zheng S. Study on Restoring Force Performance of Corrosion Damage Steel Frame Beams under Acid Atmosphere. Applied Sciences. 2019; 9(1):103. https://doi.org/10.3390/app9010103
Chicago/Turabian StyleWang, Bin, Weizeng Huang, and Shansuo Zheng. 2019. "Study on Restoring Force Performance of Corrosion Damage Steel Frame Beams under Acid Atmosphere" Applied Sciences 9, no. 1: 103. https://doi.org/10.3390/app9010103
APA StyleWang, B., Huang, W., & Zheng, S. (2019). Study on Restoring Force Performance of Corrosion Damage Steel Frame Beams under Acid Atmosphere. Applied Sciences, 9(1), 103. https://doi.org/10.3390/app9010103
