Ultra-Low-Loss Silicon Waveguides for Heterogeneously Integrated Silicon/III-V Photonics
Abstract
Featured Application
Abstract
1. Introduction
2. Ultra-Low Loss Waveguides for Si/III-V Heterogeneous Integration
2.1. Waveguide Geometry
2.2. Waveguide Loss Consideration
3. Passive Device Demonstrations
3.1. Long Waveguide Delay-Line
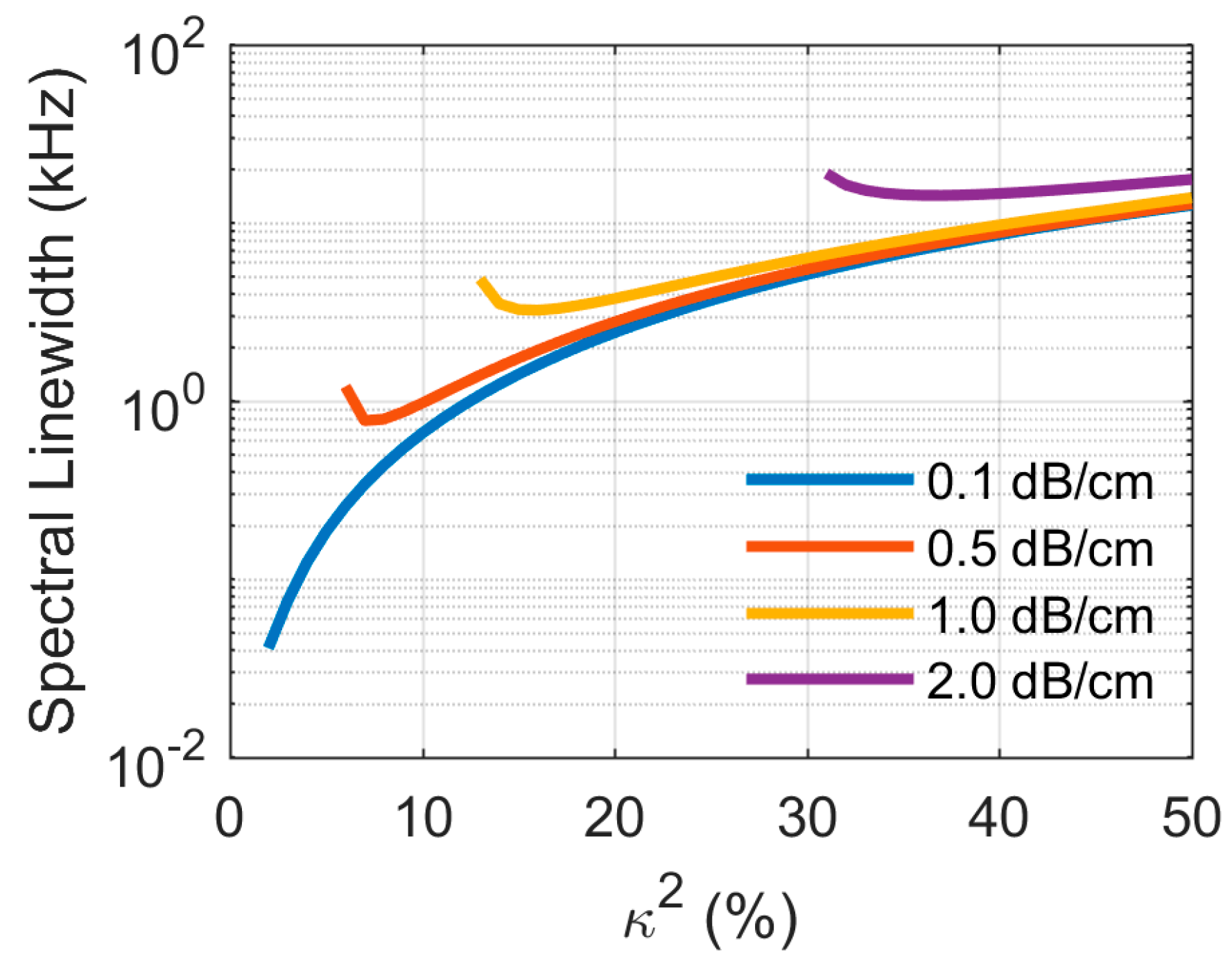
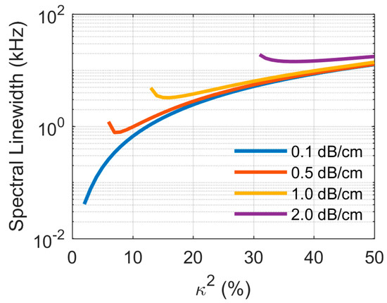
3.2. High Quality Factor Ring Resonators
3.3. Narrow Bandwidth Bragg Gratings
4. Photonic Integrated Circuits with Ultralow Loss Silicon Waveguides
4.1. Transition Taper to Standard Silicon Waveguides
4.2. Applications
4.2.1. Extended Cavity Lasers
4.2.2. Optical Gyroscopes
5. Conclusions
Author Contributions
Funding
Acknowledgments
Conflicts of Interest
References
- Coldren, L.A.; Corzine, S.W.; Masanovic, M.L. Diode Lasers and Photonic Integrated Circuits, 2nd ed.; Wiley: Hoboken, NJ, USA, 2012. [Google Scholar]
- Okamoto, K. Progress and technical challenge for planar waveguide devices: Silica and silicon waveguides. Laser Photonics Rev. 2012, 6, 14–23. [Google Scholar] [CrossRef]
- Bauters, J.F.; Heck, M.J.R.; Demis, J.; Dai, D.; Tien, M.; Barton, J.S.; Leinse, A.; Heideman, R.G.; Blumenthal, D.J.; Bowers, J.E. Ultra-low-loss high-aspect-ratio Si3N4 waveguides. Opt. Express 2011, 19, 3163–3174. [Google Scholar] [CrossRef] [PubMed]
- Thomson, D.; Zilkie, A.; Bowers, J.E.; Komljenovic, T.; Reed, G.T.; Vivien, L.; Marris-Morini, D.; Cassan, E.; Virot, L.; Fédéli, J.M.; et al. Roadmap on silicon photonics. J. Opt. (United Kingdom) 2016, 18, 073003. [Google Scholar] [CrossRef]
- Roelkens, G.; Abassi, A.; Cardile, P.; Dave, U.; de Groote, A.; de Koninck, Y.; Dhoore, S.; Fu, X.; Gassenq, A.; Hattasan, N.; et al. III-V-on-Silicon Photonic Devices for Optical Communication and Sensing. Photonics 2015, 2, 969–1004. [Google Scholar] [CrossRef]
- Aalto, T.; Harjanne, M.; Cherchi, M. VTT’s micron-scale silicon rib+strip waveguide platform. Int. Soc. Opt. Photonics 2016, 9891, 98911G. [Google Scholar] [CrossRef]
- Komljenovic, T.; Davenport, M.; Hulme, J.; Liu, A.Y.; Santis, C.T.; Spott, A.; Srinivasan, S.; Stanton, E.J.; Zhang, C.; Bowers, J.E. Heterogeneous silicon photonic integrated circuits. J. Light. Technol. 2016, 34, 20–35. [Google Scholar] [CrossRef]
- Zhang, C.; Zhang, S.; Peters, J.D.; Bowers, J. E. 8 × 8 × 40 Gbps fully integrated silicon photonic network on chip. Optica 2016, 3, 785–786. [Google Scholar] [CrossRef]
- Hulme, J.; Kennedy, M.; Chao, R.-L.; Liang, L.; Komljenovic, T.; Shi, J.-W.; Szafraniec, B.; Baney, D.; Bowers, J.E. Fully integrated microwave frequency synthesizer on heterogeneous silicon-III/V. Opt. Express 2017, 25, 2422–2431. [Google Scholar] [CrossRef] [PubMed]
- Tran, M.A.; Komljenovic, T.; Hulme, J.C.; Kennedy, M.; Blumenthal, D.J.; Bowers, J.E. Integrated optical driver for interferometric optical gyroscopes. Opt. Express 2017, 4, 3826–3840. [Google Scholar] [CrossRef] [PubMed]
- Hulme, J.C.; Doylend, J.K.; Heck, M.J.R.; Peters, J.D.; Davenport, M.L.; Bovington, J.T.; Coldren, L.A.; Bowers, J.E. Fully integrated hybrid silicon two dimensional beam scanner. Opt. Express 2015, 23, 5861–5874. [Google Scholar] [CrossRef] [PubMed]
- Pavesi, L.; Editors, D.J.L. Topics in Applied Physics 122 Silicon Photonics III Systems and Applications. In Silicon Photonics III; Springer: Berlin/Heidelberg, Germany, 2016. [Google Scholar]
- Xu, D.-X.; Schmid, J.; Reed, G.; Mashanovich, G.; Thomson, D.; Nedeljkovic, M.; Chen, X.; Van Thourhout, D.; Keyvaninia, S.; Selvaraja, S. Silicon photonic integration platform–Have we found the sweet spot? IEEE J. Sel. Top. Quantum Electron. 2014, 20, 189–205. [Google Scholar]
- Ferrotti, T.; Blampey, B.; Jany, C.; Duprez, H.; Chantre, A.; Boeuf, F.; Seassal, C.; Ben Bakir, B. Co-integrated 13 µm hybrid III-V/silicon tunable laser and silicon Mach-Zehnder modulator operating at 25Gb/s. Opt. Express 2016, 24, 30379–30401. [Google Scholar] [CrossRef] [PubMed]
- Selvaraja, S.K.; De Heyn, P.; Winroth, G.; Ong, P.; Lepage, G.; Cailler, C.; Rigny, A.; Bourdelle, K.; Bogaerts, W.; VanThourhout, D.; et al. Highly uniform and low-loss passive silicon photonics devices using a 300 mm CMOS platform. In Proceedings of the Optical Fiber Communication Conference, OSA, Washington, DC, USA, 9–13 March 2014. [Google Scholar]
- Kobayashi, N.; Sato, K.; Namiwaka, M.; Yamamoto, K.; Watanabe, S.; Kita, T.; Yamada, H.; Yamazaki, H. Silicon photonic hybrid ring-filter external cavity wavelength tunable lasers. J. Light. Technol. 2015, 33, 1241–1246. [Google Scholar] [CrossRef]
- Gao, F.; Wang, Y.; Cao, G.; Jia, X.; Zhang, F. Improvement of sidewall surface roughness in silicon-on-insulator rib waveguides. Appl. Phys. B Lasers Opt. 2005, 81, 691–694. [Google Scholar] [CrossRef]
- Kurczveil, G.; Heck, M.J.R.; Garcia, J.M.; Poulsen, H.N.; Park, H.; Blumenthal, D.J.; Bowers, J.E. Integrated recirculating optical hybrid silicon buffers. In Proceedings of the Silicon Photonics VI, San Francisco, CA, USA, 17 January 2011; Kubby, J.A., Reed, G.T., Eds.; p. 79430U. [Google Scholar] [CrossRef]
- Gundavarapu, S.; Belt, M.; Huffman, T.A.; Tran, M.A.; Komljenovic, T.; Bowers, J.E.; Blumenthal, D.J. Interferometric Optical Gyroscope Based on an Integrated Si3N4 Low-Loss Waveguide Coil. J. Light. Technol. 2018, 36, 1185–1191. [Google Scholar] [CrossRef]
- Cherchi, M.; Ylinen, S.; Harjanne, M.; Kapulainen, M.; Vehmas, T.; Aalto, T. Low-loss spiral waveguides with ultra-small footprint on a micron scale SOI platform. In Proceedings of the Conference on Silicon Photonics IX, San Francisco, CA, USA, 3–5 February 2014. [Google Scholar]
- Bauters, J.F.; Heck, M.J.R.; John, D.D.; Barton, J.S.; Bruinink, C.M.; Leinse, A.; Heideman, R.G.; Blumenthal, D.J.; Bowers, J.E. Planar waveguides with less than 0.1 dB/m propagation loss fabricated with wafer bonding. Opt. Express 2011, 19, 24090–24101. [Google Scholar] [CrossRef] [PubMed]
- Pfeiffer, M.H.P.; Kordts, A.; Brasch, V.; Zervas, M.; Geiselmann, M.; Jost, J.D.; Kippenberg, T.J. Photonic Damascene process for integrated high-Q microresonator based nonlinear photonics. Optica 2016, 3, 20–25. [Google Scholar] [CrossRef]
- Ji, X.; Barbosa, F.A.S.; Roberts, S.P.; Dutt, A.; Cardenas, J.; Okawachi, Y.; Bryant, A.; Gaeta, A.L.; Lipson, M. Ultra-low-loss on-chip resonators with sub-milliwatt parametric oscillation threshold. Optica 2017, 4, 619–624. [Google Scholar] [CrossRef]
- Lee, H.; Chen, T.; Li, J.; Yang, K.Y.; Jeon, S.; Painter, O.; Vahala, K.J. Chemically etched ultrahigh-Q wedge-resonator on a silicon chip. Nat. Photonics 2012, 6, 369–373. [Google Scholar] [CrossRef]
- Davenport, M.; Bauters, J.; Piels, M.; Chen, A.; Fang, A.; Bowers, J.E. A 400 Gb/s WDM Receiver Using a Low Loss Silicon Nitride AWG Integrated with Hybrid Silicon Photodetectors. In Proceedings of the Conference on Optical Fiber Communication (OFC)/National Fiber Optic Engineers Conference (NFOEC), Anaheim, CA, USA, 17–21 March 2013. [Google Scholar]
- Biberman, A.; Shaw, M.J.; Timurdogan, E.; Wright, J.B.; Watts, M.R. Ultralow-loss silicon ring resonators. Opt. Lett. 2012, 37, 4236–4238. [Google Scholar] [CrossRef] [PubMed]
- Yariv, A.; Sun, X. Supermode Si/III-V hybrid lasers, optical amplifiers and modulators: A proposal and analysis. Opt. Express 2007, 15, 9147–9151. [Google Scholar] [CrossRef] [PubMed]
- Sun, X.; Yariv, A. Engineering supermode silicon/III-V hybrid waveguides for laser oscillation. J. Opt. Soc. Am. B 2008, 25, 923–926. [Google Scholar] [CrossRef]
- Davenport, M.L.; Skendzic, S.; Volet, N.; Hulme, J.C.; Heck, M.J.R.; Bowers, J.E. Heterogeneous silicon/III–V semiconductor optical amplifiers. IEEE J. Sel. Top. Quantum Electron. 2016, 22, 78–88. [Google Scholar] [CrossRef]
- Melati, D.; Melloni, A.; Morichetti, F. Real photonic waveguides: Guiding light through imperfections. Adv. Opt. Photonics 2014, 6, 156–224. [Google Scholar] [CrossRef]
- Melati, D.; Morichetti, F.; Melloni, A. A unified approach for radiative losses and backscattering in optical waveguides. J. Opt. 2014, 16, 055502. [Google Scholar] [CrossRef]
- Davenport, M.L.; Liu, S.; Bowers, J.E. Integrated heterogeneous silicon/III–V mode-locked lasers. Photonics Res. 2018, 6, 468–478. [Google Scholar] [CrossRef]
- Tran, M.A.; Zhang, C.; Bowers, J.E. A broadband optical switch based on adiabatic couplers. In Proceedings of the 29th IEEE Photonics Conference (IPC), Waikoloa, HI, USA, 2–6 October 2016. [Google Scholar]
- Soller, B.J.; Gifford, D.K.; Wolfe, M.S.; Froggatt, M.E. High resolution optical frequency domain reflectometry for characterization of components and assemblies. Opt. Express 2005, 13, 666–674. [Google Scholar] [CrossRef] [PubMed]
- Spencer, D.T.; Tang, Y.; Bauters, J.F.; Heck, M.J.R.; Bowers, J.E. Integrated Si3N4/SiO2 ultra high Q ring resonators. Optica 2012, 4, 141–142. [Google Scholar]
- Yang, K.Y.; Oh, D.Y.; Lee, S.H.; Yang, Q.-F.; Yi, X.; Shen, B.; Wang, H.; Vahala, K. Bridging ultrahigh-Q devices and photonic circuits. Nat. Photonics 2018, 12, 297–302. [Google Scholar] [CrossRef]
- Pfeiffer, M.H.P.; Liu, J.; Geiselmann, M.; Kippenberg, T.J. Coupling ideality of integrated planar high-Q microresonators. Phys. Rev. Appl. 2017, 7, 024026. [Google Scholar] [CrossRef]
- Davenport, M.L.; Bowers, J.E. Efficient and broad band coupling between silicon and ultra-low-loss silicon nitride waveguides. In Proceedings of the 29th IEEE Photonics Conference (IPC), Waikoloa, HI, USA, 2–6 October 2016. [Google Scholar]
- Poulin, M.; Painchaud, Y.; Aubé, M.; Ayotte, S.; Latrasse, C.; Brochu, G.; Pelletier, F.; Morin, M.; Guy, M.; Cliche, J.-F. Ultra-narrowband fiber Bragg gratings for laser linewidth reduction and RF filtering. In Proceedings of the Conference on Laser Resonators and Beam Control XII, San Francisco, CA, USA, 24–27 January 2010. [Google Scholar]
- Spencer, D.T.; Davenport, M.; Srinivasan, S.; Khurgin, J.; Morton, P.A.; Bowers, J.E. Low kappa, narrow bandwidth Si3N4 Bragg gratings. Opt. Express 2015, 23, 30329–30336. [Google Scholar] [CrossRef] [PubMed]
- Komljenovic, T.; Liang, L.; Chao, R.-L.; Hulme, J.; Srinivasan, S.; Davenport, M.; Bowers, J.E. Widely-tunable ring-resonator semiconductor lasers. Appl. Sci. 2017, 7, 732. [Google Scholar] [CrossRef]
- Santis, C.T.; Steger, S.T.; Vilenchik, Y.; Vasilyev, A.; Yariv, A. High-coherence semiconductor lasers based on integral high-Q resonators in hybrid Si/III-V platforms. Proc. Natl. Acad. Sci. USA 2014, 111, 2879–2884. [Google Scholar] [CrossRef] [PubMed]
- Komljenovic, T.; Bowers, J.E. Monolithically integrated high-Q rings for narrow linewidth widely tunable lasers. IEEE J. Quantum Electron. 2015, 51, 1–10. [Google Scholar] [CrossRef]
- Srinivasan, S.; Moreira, R.; Blumenthal, D.; Bowers, J.E. Design of integrated hybrid silicon waveguide optical gyroscope. Opt. Express 2014, 22, 24988–24993. [Google Scholar] [CrossRef] [PubMed]











© 2018 by the authors. Licensee MDPI, Basel, Switzerland. This article is an open access article distributed under the terms and conditions of the Creative Commons Attribution (CC BY) license (http://creativecommons.org/licenses/by/4.0/).
Share and Cite
Tran, M.A.; Huang, D.; Komljenovic, T.; Peters, J.; Malik, A.; Bowers, J.E. Ultra-Low-Loss Silicon Waveguides for Heterogeneously Integrated Silicon/III-V Photonics. Appl. Sci. 2018, 8, 1139. https://doi.org/10.3390/app8071139
Tran MA, Huang D, Komljenovic T, Peters J, Malik A, Bowers JE. Ultra-Low-Loss Silicon Waveguides for Heterogeneously Integrated Silicon/III-V Photonics. Applied Sciences. 2018; 8(7):1139. https://doi.org/10.3390/app8071139
Chicago/Turabian StyleTran, Minh A., Duanni Huang, Tin Komljenovic, Jonathan Peters, Aditya Malik, and John E. Bowers. 2018. "Ultra-Low-Loss Silicon Waveguides for Heterogeneously Integrated Silicon/III-V Photonics" Applied Sciences 8, no. 7: 1139. https://doi.org/10.3390/app8071139
APA StyleTran, M. A., Huang, D., Komljenovic, T., Peters, J., Malik, A., & Bowers, J. E. (2018). Ultra-Low-Loss Silicon Waveguides for Heterogeneously Integrated Silicon/III-V Photonics. Applied Sciences, 8(7), 1139. https://doi.org/10.3390/app8071139

