Nitrogen-Enriched Carbon Nanofibers Derived from Polyaniline and Their Capacitive Properties
Abstract
1. Introduction
2. Materials and Methods
2.1. Chemicals
2.2. Material Synthesis
2.3. Material Characterization
2.4. Electrochemical Measurements
3. Results and Discussion
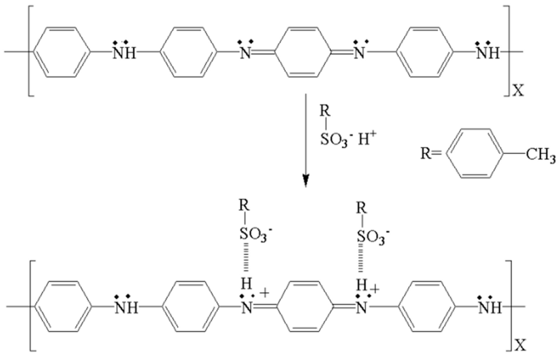
3.1. Polymerization and Carbonization
3.2. Physichemical Characteristics of Samples
3.3. Electrochemical Study
4. Conclusions
Author Contributions
Funding
Conflicts of Interest
References
- Yazdi, A.A.; D’Angelo, L.; Omer, N.; Windiasti, G.; Lu, X.; Xu, J. Carbon nanotube modification of microbial fuel cell electrodes. Biosens. Bioelectron. 2016, 85, 536–552. [Google Scholar] [CrossRef] [PubMed]
- Tseng, C.A.; Lee, C.P.; Huang, Y.J.; Pang, H.W.; Ho, K.C.; Chen, Y.T. One-step synthesis of graphene hollow nanoballs with various nitrogen-doped states for electrocatalysis in dye-sensitized solar cells. Mater. Today Energy 2018, 8, 15–21. [Google Scholar] [CrossRef]
- Li, J.G.; Zhang, F.; Wang, C.D.; Shao, C.Z.; Li, B.Z.; Li, Y.; Wu, Q.H.; Yang, T.G. Self nitrogen-doped carbon nanotubes as anode materials for high capacity and cycling stability lithium-ion batteries. Mater. Des. 2017, 133, 169–175. [Google Scholar] [CrossRef]
- Kagenda, C.; Lule, I.; Paulik, C. Nitrogen-doped carbon materials for high performing lithium air batteries. S. Afr. J. Chem. Eng. 2018, 25, 32–41. [Google Scholar] [CrossRef]
- Zhang, C.L.; Wang, B.W.; Shen, X.C.; Liu, J.W.; Kong, X.K.; Chuang, S.; Yang, D.; Dong, A.; Peng, Z.M. A nitrogen-doped ordered mesoporous carbon/graphene framework as bifunctional electrocatalyst for oxygen reduction and evolution reactions. Nano Energy 2016, 30, 503–510. [Google Scholar] [CrossRef]
- Marrakchi, F.; Auta, M.; Khanday, W.A.; Hameed, B.H. High-surface-area and nitrogen-rich mesoporous carbon material from fishery waste for effective adsorption of methylene blue. Powder Technol. 2017, 321, 428–434. [Google Scholar] [CrossRef]
- Zeng, F.Y.; Sui, Z.Y.; Liu, S.; Liang, H.P.; Zhan, H.H.; Han, B.H. Nitrogen-doped carbon aerogels with high surface area for supercapacitors and gas adsorption. Mater. Today Commun. 2018, 1, 1–7. [Google Scholar] [CrossRef]
- Lota, G.; Grzyb, B.; Machnikowsk, H.; Machnikowski, J.; Frackowiak, E. Effect of nitrogen in carbon electrode on the supercapacitor performance. Chem. Phys. Lett. 2005, 404, 53–58. [Google Scholar] [CrossRef]
- Inagaki, M.; Toyoda, M.; Soneda, Y.; Morishita, T. Nitrogen-doped carbon materials. Carbon 2018, 132, 104–140. [Google Scholar] [CrossRef]
- Lota, G.; Lota, K.; Frackowiak, E. Nanotubes based composites rich in nitrogen for supercapacitor application. Electrochem. Commun. 2007, 9, 1828–1832. [Google Scholar] [CrossRef]
- Yun, Y.S.; Park, H.H.; Jin, H.J. Pseudocapacitive Effects of N-Doped Carbon Nanotube Electrodes in Supercapacitors. Materials 2012, 5, 1258–1266. [Google Scholar] [CrossRef]
- John, A.R.; Arumugam, P. Open ended nitrogen-doped carbon nanotubes for the electrochemical storage of energy in a supercapacitor electrode. J. Power Sources 2015, 277, 387–392. [Google Scholar] [CrossRef]
- Garcia, B.B.; Candelaria, S.L.; Cao, G. Nitrogenated porous carbon electrodes for supercapacitor. J. Mater. Sci. 2012, 47, 5996–6004. [Google Scholar] [CrossRef]
- Huang, K.; Li, M.; Chen, Z.H.; Yao, Y.Y.; Yang, X.W. Nitrogen-enriched porous carbon nanofiber networks for binder-free supercapacitors obtained by using a reactive surfactant as a porogen. Electrochim. Acta 2015, 158, 306–313. [Google Scholar] [CrossRef]
- Yang, W.; Ni, M.; Ren, X.; Tian, Y.F.; Li, N.; Su, Y.F.; Zhang, X.L. Graphene in Supercapacitor Applications. Curr. Opin. Colloid Interface Sci. 2015, 20, 416–428. [Google Scholar] [CrossRef]
- Hossain, A.; Bandyopadhyay, P.; Guin, P.S.; Roy, S. Recent developed different structural nanomaterials and their performance for supercapacitor application. Appl. Mater. Today 2017, 9, 300–313. [Google Scholar] [CrossRef]
- Han, Y.; Ge, Y.; Chao, Y.F.; Wang, C.Y.; Wallace, G.G. Recent progress in 2D materials for flexible supercapacitors. J. Energy Chem. 2018, 27, 57–72. [Google Scholar] [CrossRef]
- Kötz, R.; Carlen, M. Principles and applications of electrochemical capacitors. Electrochim. Acta 2000, 45, 2483–2498. [Google Scholar] [CrossRef]
- Frackowiak, E.; Beguin, F. Carbon materials for the electrochemical storage of energy in capacitors. Carbon 2001, 39, 937–950. [Google Scholar] [CrossRef]
- Pandolfo, A.G.; Hollenkamp, A.F. Carbon properties and their role in supercapacitors. J. Power Sources 2006, 157, 11–27. [Google Scholar] [CrossRef]
- Frackowiak, E. Carbon materials for supercapacitor application. Phys. Chem. Chem. Phys. 2007, 9, 1774–1785. [Google Scholar] [CrossRef] [PubMed]
- Wang, G.P.; Zhang, L.; Zhang, J.J. A review of electrode materials for electrochemical supercapacitors. Chem. Soc. Rev. 2012, 41, 797–828. [Google Scholar] [CrossRef] [PubMed]
- Gordana, C.M.; Igor, P.; Slavko, M. One-dimensional nitrogen-containing carbon nanostructures. Prog. Mater. Sci. 2015, 69, 61–182. [Google Scholar]
- Shen, W.Z.; Zhang, S.C.; He, Y.; Li, J.F.; Fan, W.B. Hierarchical porous polyacrylonitrile-based activated carbon fibers for CO2 capture. J. Mater. Chem. 2011, 21, 14–36. [Google Scholar] [CrossRef]
- Wu, X.Z.; Zhou, J.; Xing, W.; Zhang, Y.; Bai, P.; Xu, B.J.; Zhuo, S.P.; Xue, Q.Z.; Yan, Z.F. Insight into high areal capacitances of low apparent surface area carbons derived from nitrogen-rich polymers. Carbon 2015, 94, 560–567. [Google Scholar] [CrossRef]
- Maetz, A.; Delmotte, L.; Moussa, G.; Dentzer, J.; Knopf, S.; Ghimbeu, C.M. Facile and sustainable synthesis of nitrogen-doped polymer and carbon porous spheres. Green Chem. 2017, 19, 2266–2274. [Google Scholar] [CrossRef]
- Zhang, J.L.; Zhang, W.F.; Han, M.F.; Pang, J.; Xiang, Y.; Cao, G.P.; Yang, Y.S. Synthesis of nitrogen-doped polymeric resin-derived porous carbon for high performance supercapacitors. Microporous Mesoporous Mater. 2018, 270, 204–210. [Google Scholar] [CrossRef]
- Eftekhar, A.; Li, L.; Yang, Y. Polyaniline supercapacitors. J. Power Sources 2017, 347, 86–107. [Google Scholar] [CrossRef]
- Li, L.M.; Liu, E.H.; Li, J.; Yang, Y.J.; Shen, H.J.; Huang, Z.Z.; Xiang, X.X.; Li, W. A doped activated carbon prepared from polyaniline for high performance supercapacitors. J. Power Sources 2010, 195, 1516–1521. [Google Scholar] [CrossRef]
- Yang, M.M.; Cheng, B.; Song, H.H.; Chen, X.H. Preparation and electrochemical performance of polyaniline-based carbon nanotubes as electrode material for supercapacitor. Electrochim. Acta 2010, 55, 7021–7027. [Google Scholar] [CrossRef]
- Yuan, D.S.; Zhou, T.X.; Zhou, S.L.; Zou, W.J.; Mo, S.S.; Xia, N.N. Nitrogen-enriched carbon nanowires from the direct carbonization of polyaniline nanowires and its electrochemical properties. Electrochem. Commun. 2011, 13, 242–246. [Google Scholar] [CrossRef]
- Han, J.P.; Xu, G.Y.; Ding, B.; Pan, J.; Dou, H.; MacFarlane, D.R. Porous nitrogen-doped hollow carbon spheres derived from polyaniline for high performance supercapacitors. J. Mater. Chem. A 2014, 2, 5352–5357. [Google Scholar] [CrossRef]
- Zornitta, R.L.; García-Mateos, F.J.; Lado, J.J.; Rodríguez-Mirasol, J.; Cordero, T.; Hammer, P.; Ruotolo, L.A.M. High-performance activated carbon from polyaniline for capacitive deionization. Carbon 2017, 123, 318–333. [Google Scholar] [CrossRef]
- Wang, G.Q.; Yan, C.; Hou, S.; Zhang, W. Low-cost counter electrodes based on nitrogen-doped porous carbon nanorods for dye-sensitized solar cells. Mater. Sci. Semicond. Process. 2017, 63, 190–195. [Google Scholar] [CrossRef]
- Gao, B.F.; Zhou, H.T.; Yang, J.H. One-step preparation of nitrogen-doped graphene nanosheets forhigh-performance supercapacitors. Appl. Surf. Sci. 2017, 409, 350–357. [Google Scholar] [CrossRef]
- Bober, P.; Trchová, M.; Morávková, Z.; Kovářová, J.; Vulić, J.; Gavrilov, N.; Pašti, I.A.; Stejskal, J. Phosphorus and nitrogen-containing carbons obtained by the carbonization of conducting polyaniline complex with phosphites. Electrochim. Acta 2017, 246, 443–450. [Google Scholar] [CrossRef]
- Kumar, R.; Yadav, B.C. Humidity sensing investigation on nanostructured polyaniline synthesized via chemical polymerization method. Mater. Lett. 2016, 167, 300–302. [Google Scholar] [CrossRef]
- Mi, H.Y.; Zhang, X.G.; Yang, S.D.; Ye, X.G.; Luo, J.M. Polyaniline nanofibers as the electrode material for supercapacitors. Mater. Chem. Phys. 2008, 112, 127–131. [Google Scholar] [CrossRef]
- Wang, T.Q.; Zhong, W.B.; Ning, X.T.; Wang, Y.X.; Yang, W.T. Facile synthesis of polyaniline “sunflowers” with arrays of oriented nanorods. J. Colloid Interface Sci. 2009, 334, 108–112. [Google Scholar] [CrossRef] [PubMed]
- Li, R.Q.; Chen, Z.; Li, J.Q.; Zhang, C.H.; Guo, Q. Effective synthesis to control the growth of polyaniline nanofibers by interfacial polymerization. Synth. Met. 2013, 171, 39–44. [Google Scholar] [CrossRef]
- Jaymand, M. Recent progress in chemical modification of polyaniline. Prog. Polym. Sci. 2013, 38, 1287–1306. [Google Scholar] [CrossRef]
- Tariq, S.N.; Ali, J.S. Polyaniline nanofibers and nanocomposites: Preparation, characterization, and application for Cr(VI) and phosphate ions removal from aqueous solution. Arab. J. Chem. 2017, 10, 3459–3467. [Google Scholar]
- Lu, X.W.; Wu, W.; Chen, J.F.; Zhang, P.Y.; Zhao, Y.B. Preparation of polyaniline nanofibers by high gravity chemical oxidative polymerization. Ind. Eng. Chem. Res. 2011, 50, 5589–5595. [Google Scholar] [CrossRef]
- Ramana, G.V.; Pandya, B.; Srikanth, V.S.S.; Jain, P.K. Rapid mixing chemical oxidative polymerization: An easy route to prepare PANI coated small-diameter CNTs/PANI nanofibres composite thin film. Mater. Sci. 2014, 37, 585–588. [Google Scholar]
- Zakaria, Z.; Halim, N.F.A.; Schleusingen, M.H.V.; Islam, A.K.M.S.; Hashim, U.; Ahmad, M.N. Effect of hydrochloric acid concentration on morphology of polyaniline nanofibers synthesized by rapid mixing polymerization. J. Nanomater. 2015, 2015, 218204. [Google Scholar] [CrossRef]
- Deng, J.X.; Guo, J.S.; Liu, P. Growth of polyaniline nanomaterials in rapid-mixing polymerization. Colloid Surf. A Physicochem. Eng. 2017, 521, 247–250. [Google Scholar] [CrossRef]
- Ayad, M.M.; Zaki, E.A. Doping of polyaniline films with organic sulfonic acids in aqueous media and the effect of water on these doped films. Eur. Polym. J. 2008, 44, 3741–3747. [Google Scholar] [CrossRef]
- Park, H.W.; Kim, T.; Huh, J.Y.; Kang, M.J.; Lee, J.E.; Yoon, H. Anisotropic growth control of polyaniline nanostructures and their morphology-dependent electrochemical characteristics. Amer. Chem. Soc. 2012, 6, 7624–7633. [Google Scholar] [CrossRef] [PubMed]
- Mahmood, I.; Ahmad, I.; Liu, H.Z.; Guo Chen, G. A new strategy for the synthesis of polyaniline nanostructures using m-CPBA as an oxidant. J. Mater. Sci. Mater. Electron. 2013, 24, 1181–1186. [Google Scholar] [CrossRef]
- Chutia, P.; Nath, C.; Kumar, A. Dopant size dependent variable range hopping conduction in polyaniline nanorods. Appl. Phys. A 2014, 115, 943–951. [Google Scholar] [CrossRef]
- Bhadra, J.; Madi, N.K.; Al-Thani, N.J.; Al-Maadeed, M.A. Polyaniline/polyvinyl alcohol blends: Effect of sulfonic acid dopantson microstructural, optical, thermal and electrical properties. Synth. Met. 2014, 191, 126–134. [Google Scholar] [CrossRef]
- Mu, J.J.; Ma, G.F.; Peng, H.; Li, J.J.; Sun, K.J.; Lei, Z.Q. Facile fabrication of self-assembled polyaniline nanotubes doped with D-tartaric acid for high-performance supercapacitors. J. Power Sources 2013, 242, 797–802. [Google Scholar] [CrossRef]
- Xu, G.C.; Wang, W.; Qu, W.F.; Yin, Y.S.; Chu, L.; He, B.L.; Wu, H.K.; Fang, J.R.; Bao, Y.S.; Liang, L. Electrochemical properties of polyaniline in p-toluene sulfonic acid solution. Eur. Polym. J. 2009, 45, 2701–2707. [Google Scholar] [CrossRef]
- Rozlívková, Z.; Trchová, M.; Exnerová, M.; Stejskal, J. The carbonization of granular polyaniline to produce nitrogen-containing carbon. Synth. Met. 2011, 161, 1122–1129. [Google Scholar] [CrossRef]
- Zhang, L.J.; Peng, H.; Sui, J.; Kilmartin, P.A.; Jadranka, T.S. Polyaniline nanotubes doped with polymeric acids. Curr. Appl. Phys. 2008, 8, 312–315. [Google Scholar] [CrossRef]
- Ye, Z.Q.; Wang, F.J.; Jia, C.; Mu, K.G.; Yu, M.; Lv, Y.Y.; Shao, Z.Q. Nitrogen and oxygen-codoped carbon nanospheres for excellent specific capacitance and cyclic stability supercapacitor electrodes. Chem. Eng. J. 2017, 330, 1166–1173. [Google Scholar] [CrossRef]
- Pan, Q.; Shim, E.; Pourdeyhimi, B.; Gao, W. Nylon-Graphene Composite Nonwovens as Monolithic Conductive or Capacitive Fabrics. ACS Appl. Mater. Interfaces 2017, 9, 8308–8316. [Google Scholar] [CrossRef] [PubMed]
- Augustyn, V.; Simon, P.; Dunn, B. Pseudocapacitive oxide materials for high-rate electrochemical energy storage. Energy. Environ. Sci. 2014, 75, 1597–1614. [Google Scholar] [CrossRef]
- Xin, G.X.; Wang, Y.H.; Jia, S.P.; Tian, P.F.; Zhou, S.Y.; Zang, J.B. Synthesis of nitrogen-doped mesoporous carbon from polyaniline with an F127 template for high-performance supercapacitors. Appl. Surf. Sci. 2017, 422, 654–660. [Google Scholar] [CrossRef]
- Yi, J.N.; Qing, Y.; Wu, C.T.; Zeng, Y.X.; Wu, Y.Q.; Lu, X.H.; Tong, Y.X. Lignocellulose-derived porous phosphorus-doped carbon as advanced electrode for supercapacitors. J. Power Sources 2017, 351, 130–137. [Google Scholar] [CrossRef]
- Guo, S.N.; Shen, H.K.; Tie, Z.F.; Peng, S.Z.; Shi, H.; Fan, J.C.; Xu, Q.J.; Min, Y.L. Three-dimensional cross-linked Polyaniline fiber/N-doped porous carbon with enhanced electrochemical performance for highperformance supercapacitor. J. Power Sources 2017, 359, 285–294. [Google Scholar] [CrossRef]
- Yu, S.; Liu, D.; Zhao, S.Y.; Bao, B.F.; Jin, C.D.; Huang, W.J.; Hao Chen, H.; Shen, Z.H. Synthesis of wood derived nitrogen-doped porous carbon–polyaniline composites for supercapacitor electrode materials. RSC Adv. 2015, 5, 30943–30949. [Google Scholar] [CrossRef]








| Precursor | SBET (m2 g−1) | Nitrogen Content | Capacitance (F g−1) | Ref. |
|---|---|---|---|---|
| PANI nabotube | 46.4 | 7.4 wt % | 133, 1 A g−1 | [29] |
| PANI nanowires | 666 | 8.1 wt % | 122, 1 A g−1 | [31] |
| Hollow PANI nanowires | 213 | 6.7 wt % | 176, 1 A g−1 | [32] |
| Polyaniline with an F127 template | 721 | 5.9 at % | 210, 1 A g−1 | [59] |
| Lignocellulose | 180 | 0 | 45, 1 A g−1 | [60] |
| MOF | 837.6 | 6.8 at % | 325.3, 1 A g−1 | [61] |
| Wood | 26.4 | 0 | 80, 1 A g−1 | [62] |
| PANI nanofibers | 915 | 7.59 at % | 139, 1 A g−1 | This study |
© 2018 by the authors. Licensee MDPI, Basel, Switzerland. This article is an open access article distributed under the terms and conditions of the Creative Commons Attribution (CC BY) license (http://creativecommons.org/licenses/by/4.0/).
Share and Cite
Gao, Y.; Ying, J.; Xu, X.; Cai, L. Nitrogen-Enriched Carbon Nanofibers Derived from Polyaniline and Their Capacitive Properties. Appl. Sci. 2018, 8, 1079. https://doi.org/10.3390/app8071079
Gao Y, Ying J, Xu X, Cai L. Nitrogen-Enriched Carbon Nanofibers Derived from Polyaniline and Their Capacitive Properties. Applied Sciences. 2018; 8(7):1079. https://doi.org/10.3390/app8071079
Chicago/Turabian StyleGao, Yunfang, Jie Ying, Xin Xu, and Liangpo Cai. 2018. "Nitrogen-Enriched Carbon Nanofibers Derived from Polyaniline and Their Capacitive Properties" Applied Sciences 8, no. 7: 1079. https://doi.org/10.3390/app8071079
APA StyleGao, Y., Ying, J., Xu, X., & Cai, L. (2018). Nitrogen-Enriched Carbon Nanofibers Derived from Polyaniline and Their Capacitive Properties. Applied Sciences, 8(7), 1079. https://doi.org/10.3390/app8071079
