Differential Signalling in Free-Space Optical Communication Systems
Abstract
:1. Introduction
2. Differential Signalling Scheme
3. Lossy Channel and Background Noise
3.1. Geometrical Loss
3.2. Fog/Smoke Attenuation
3.3. Background Noise
4. Accounting Atmospheric Turbulence
4.1. Weak Turbulence
4.2. Moderate to Strong Turbulence
5. The Case of Pointing Errors
6. Combined Atmospheric Turbulence and Pointing Errors
6.1. Weak Turbulence and PE
6.2. Moderate to Strong Turbulence and PE
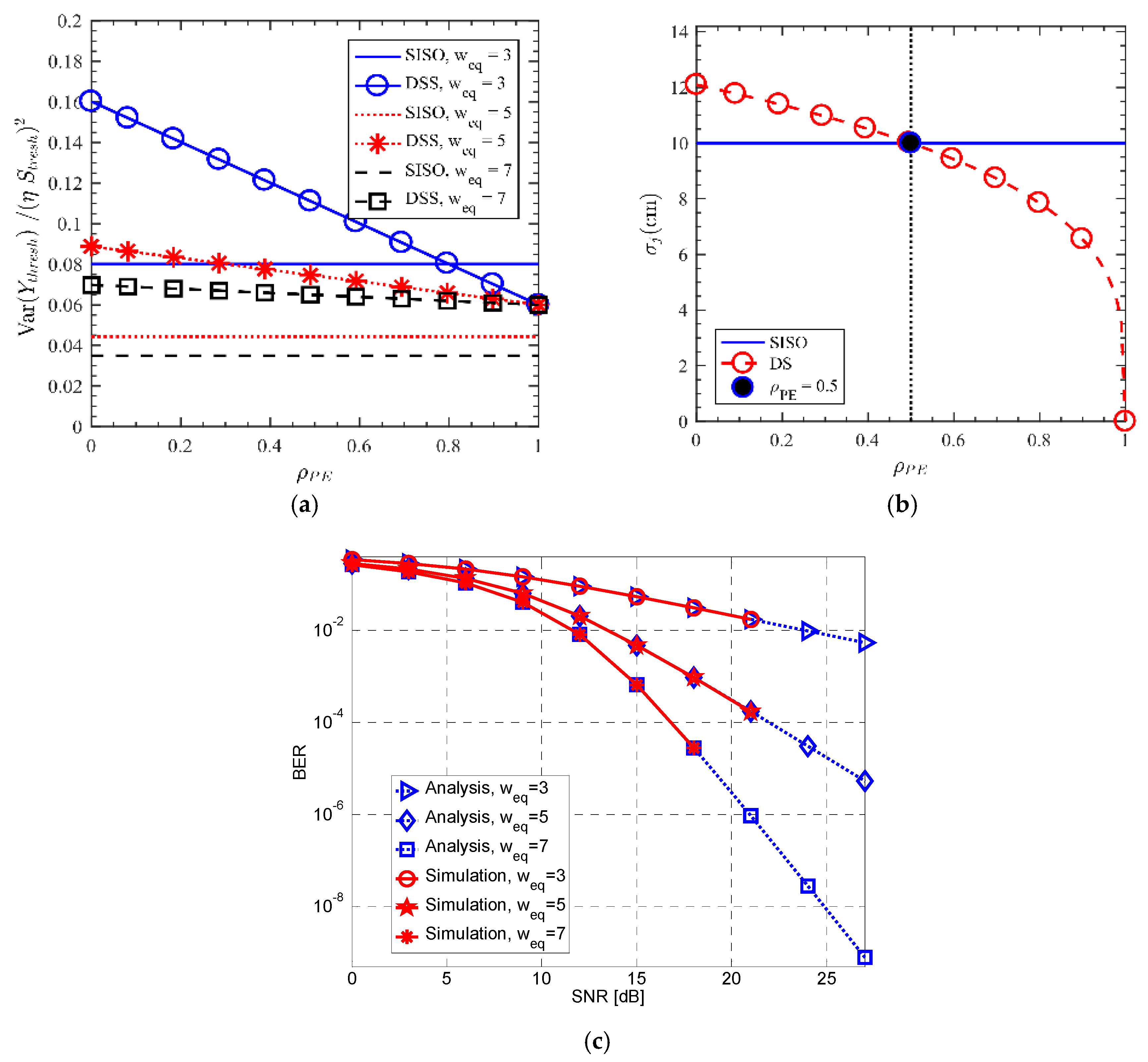
7. Results and Discussion
8. Conclusions
Author Contributions
Acknowledgments
Conflicts of Interest
Appendix A
A.1. BER Expression in Weak Turbulence
A.2. BER Expression in Strong Turbulence
A.3. BER Expression in PE
A.4. BER Expression in Weak Turbulence with PE
A.5. BER Expression for Moderate to Strong Turbulence and PE
References
- Ghassemlooy, Z.; Rajbhandari, S.; Popoola, W. Optical Wireless Communications: System and Channel Modelling with MATLAB; Taylor & Francis: Boca Raton, FL, USA, 2013. [Google Scholar]
- Uysal, M.; Capsoni, C.; Ghassemlooy, Z.; Boucouvalas, A.; Udvary, E. Optical Wireless Communications: An Emerging Technology; Springer: Cham, Switzerland, 2016. [Google Scholar]
- Abadi, M.M.; Ghassemlooy, Z.; Khalighi, M.A.; Zvanovec, S.; Bhatnagar, M.R. FSO detection using differential signaling in outdoor correlated-channels condition. IEEE Photonics Technol. Lett. 2016, 28, 55–58. [Google Scholar] [CrossRef]
- Abadi, M.M.; Ghassemlooy, Z.; Bhatnagar, M.R.; Zvanovec, S.; Khalighi, M.A.; Maheri, A.-R. Using differential signalling to mitigate pointing errors effect in FSO communication link. In Proceedings of the IEEE International Conference on Commuinications ICC’16, Kuala Lumpur, Malaysia, 23–27 May 2016. [Google Scholar]
- Abadi, M.M.; Ghassemlooy, Z.; Zvanovec, S.; Smith, D.; Bhatnagar, M.R.; Wu, Y. Dual Purpose Antenna for Hybrid Free Space Optics/RF Communication Systems. J. Lightw. Technol. 2016, 34, 3432–3439. [Google Scholar] [CrossRef]
- Khalighi, M.A.; Uysal, M. Survey on free space optical communication: A communication theory perspective. IEEE Commun. Surv. Tutor. 2014, 16, 2231–2258. [Google Scholar] [CrossRef]
- Bhatnagar, M.R.; Ghassemlooy, Z. Performance evaluation of FSO MIMO links in Gamma-Gamma fading with pointing errors. In Proceedings of the 2015 IEEE International Conference on, Communications (ICC), London, UK, 8–12 June 2015; pp. 5084–5090. [Google Scholar]
- Fan, Y.; Julian, C.; Tsiftsis, T.A. Free-space optical communication with nonzero boresight pointing errors. IEEE Trans. Commun. 2014, 62, 713–725. [Google Scholar]
- Hitam, S.; Abdullah, M.; Mahdi, M.; Harun, H.; Sali, A.; Fauzi, M. Impact of increasing threshold level on higher bit rate in free space optical communications. J. Opt. Fiber Commun. Res. 2009, 6, 22–34. [Google Scholar] [CrossRef]
- Riediger, M.L.B.; Schober, R.; Lampe, L. Fast multiple-symbol detection for free-space optical communications. IEEE Trans. Commun. 2009, 57, 1119–1128. [Google Scholar] [CrossRef]
- Zhu, X.; Kahn, J.M. Free-space optical communication through atmospheric turbulence channels. IEEE Trans. Commun. 2002, 50, 1293–1300. [Google Scholar]
- Zhu, X.; Kahn, J.M. Markov chain model in maximum-likelihood sequence detection for free-space optical communication through atmospheric turbulence channels. IEEE Trans. Commun. 2003, 51, 509–516. [Google Scholar]
- Zhu, X.; Kahn, J.M. Pilot-symbol assisted modulation for correlated turbulent free-space optical channels. In Proceedings of the SPIE 4489, Free-Space Laser Communication and Laser Imaging, San Diego, CA, USA, 22 January 2002; pp. 138–145. [Google Scholar]
- Xiaoming, Z.; Kahn, J.M.; Jin, W. Mitigation of turbulence-induced scintillation noise in free-space optical links using temporal-domain detection techniques. IEEE Photonics Technol. Lett. 2003, 15, 623–625. [Google Scholar] [CrossRef]
- Xu, F.; Khalighi, A.; Caussé, P.; Bourennane, S. Channel coding and time-diversity for optical wireless links. Opt. Express 2009, 17, 872–887. [Google Scholar] [CrossRef] [PubMed]
- Riediger, M.L.B.; Schober, R.; Lampe, L. Decision-feedback detection for free-space optical communications. In Proceedings of the IEEE 66th Vehicular Technology Conference Fall, Baltimore, MD, USA, 30 September–3 October 2007; pp. 1193–1197. [Google Scholar]
- Dabiri, M.T.; Sadough, S.M.S.; Khalighi, M.A. FSO channel estimation for OOK modulation with APD receiver over atmospheric turbulence and pointing errors. Opt. Commun. 2017, 402, 577–584. [Google Scholar] [CrossRef]
- Riediger, M.L.B.; Schober, R.; Lampe, L. Blind detection of on-off keying for free-space optical communications. In Proceedings of the IEEE Canadian Conference on Electrical and Computer Engineering, CCECE 2008, Niagara Falls, ON, Canada, 4–7 May 2008; pp. 001361–001364. [Google Scholar]
- Chatzidiamantis, N.D.; Karagiannidis, G.K.; Uysal, M. Generalized maximum-likelihood sequence detection for photon-counting free space optical systems. IEEE Trans. Commun. 2010, 58, 3381–3385. [Google Scholar] [CrossRef]
- Tianyu, S.; Pooi-Yuen, K. A robust GLRT receiver with Implicit channel estimation and automatic threshold adjustment for the free space optical channel with IM/DD. J. Lightw. Technol. 2014, 32, 369–383. [Google Scholar]
- Ghassemlooy, Z. Investigation of the baseline wander effect on indoor optical wireless system employing digital pulse interval modulation [optical wireless communications]. IET Commun. 2008, 2, 53–60. [Google Scholar] [CrossRef]
- Khalighi, M.A.; Xu, F.; Jaafar, Y.; Bourennane, S. Double-laser differential signaling for reducing the effect of background radiation in free-space optical systems. IEEE/OSA J. Opt. Commun. Netw. 2011, 3, 145–154. [Google Scholar] [CrossRef]
- Farid, A.A.; Hranilovic, S. Outage capacity optimization for free-space optical links with pointing errors. J. Lightw. Technol. 2007, 25, 1702–1710. [Google Scholar] [CrossRef]
- Borah, D.K.; Voelz, D.G. Pointing error effects on free-space optical communication links in the presence of atmospheric turbulence. J. Lightw. Technol. 2009, 27, 3965–3973. [Google Scholar] [CrossRef]
- Trung, H.D.; Tuan, D.T.; Pham, A.T. Pointing error effects on performance of free-space optical communication systems using SC-QAM signals over atmospheric turbulence channels. AEU Int. J. Electron. Commun. 2014, 68, 869–876. [Google Scholar] [CrossRef]
- Yang, Y.-Q.; Chi, X.-F.; Shi, J.-L.; Zhao, L.-L. Analysis of effective capacity for free-space optical communication systems over gamma-gamma turbulence channels with pointing errors. Optoelectron. Lett. 2015, 11, 213–216. [Google Scholar] [CrossRef]
- Leon-Garcia, A. Probability and Random Processes for Electrical Engineering; Addison-Wesley: Reading, MA, USA, 1989. [Google Scholar]
- Ales, P. Atmospheric effects on availability of free space optics systems. Opt. Eng. 2009, 48, 066001. [Google Scholar]
- Saleh, B.E.A.; Teich, M.C. Fundamentals of Photonics; Wiley: New York, NY, USA; Chichester, UK, 1991. [Google Scholar]
- Ijaz, M.; Ghassemlooy, Z.; Pesek, J.; Fiser, O.; le Minh, H.; Bentley, E. Modeling of fog and smoke attenuation in free space optical communications link under controlled laboratory conditions. J. Lightw. Technol. 2013, 31, 1720–1726. [Google Scholar] [CrossRef]
- Ijaz, M.; Ghassemlooy, Z.; Perez, J.; Brazda, V.; Fiser, O. Enhancing the atmospheric visibility and fog attenuation using a controlled FSO channel. IEEE Photonics Technol. Lett. 2013, 25, 1262–1265. [Google Scholar] [CrossRef]
- Navidpour, S.M.; Uysal, M.; Kavehrad, M. BER performance of free-space optical transmission with spatial diversity. IEEE Trans. Wirel. Commun. 2007, 6, 2813–2819. [Google Scholar] [CrossRef]
- Andrews, L.C.; Phillips, R.L. Laser Beam Propagation through Random Media, 2nd ed.; SPIE Press Monograph; SPIE Publications: Bellingham, WA, USA, 2005; Volume 152. [Google Scholar]
- Hajjarian, Z.; Fadlullah, J.; Kavehrad, M. MIMO free space optical communications in turbid and turbulent atmosphere (Invited Paper). J. Commun. 2009, 4, 524–532. [Google Scholar] [CrossRef]
- Abu-Dayya, A.A.; Beaulieu, N.C. Comparison of methods of computing correlated lognormal sum distributions and outages for digital wireless applications. In Proceedings of the 1994 IEEE 44th Vehicular Technology Conference, Stockholm, Sweden, 8–10 June 1994; Volume 1, pp. 175–179. [Google Scholar]
- Alouini, M.S.; Simon, M.K. Dual diversity over correlated log-normal fading channels. IEEE Trans. Commun. 2002, 50, 1946–1959. [Google Scholar] [CrossRef]
- Stegun, I.A.; Abramowitz, M. Handbook of Mathematical Functions: With Formulas, Graphs and Mathematical Tables; National Bureau of Standards: Washington, DC, USA, 1970.
- Chatzidiamantis, N.D.; Karagiannidis, G.K. On the distribution of the sum of Gamma-Gamma variates and applications in RF and optical wireless communications. IEEE Trans. Commun. 2011, 59, 1298–1308. [Google Scholar] [CrossRef]
- Zixiong, W.; Wen-De, Z.; Songnian, F.; Chinlon, L. Performance comparison of different modulation formats over free-space optical (FSO) turbulence links with space diversity reception technique. IEEE Photonics J. 2009, 1, 277–285. [Google Scholar] [CrossRef]
- Khalighi, M.A.; Schwartz, N.; Aitamer, N.; Bourennane, S. Fading reduction by aperture averaging and spatial diversity in optical wireless systems. IEEE/OSA J. Opt. Commun. Netw. 2009, 1, 580–593. [Google Scholar] [CrossRef]
- Yang, G.; Khalighi, M.A.; Bourennane, S.; Ghassemlooy, Z. Fading correlation and analytical performance evaluation of the space-diversity free-space optical communications system. J. Opt. 2014, 16, 035403. [Google Scholar] [CrossRef]
- Yang, G.; Khalighi, M.A.; Ghassemlooy, Z.; Bourennane, S. Performance analysis of space-diversity free-space optical systems over the correlated Gamma-Gamma fading channel using Pade approximation approximation method. IET Commun. 2014, 8, 2246–2255. [Google Scholar] [CrossRef]
- Borah, D.K.; Voelz, D.; Basu, S. Maximum-likelihood estimation of a laser system pointing parameters by use of return photon counts. Appl. Opt. 2006, 45, 2504–2509. [Google Scholar] [CrossRef] [PubMed]
- Gradshtein, I.S.; Jeffrey, A.; Ryzhik, I.M. Table of Integrals, Series, and Products, 5th ed.; Academic Press: Boston, MA, USA; London, UK, 1994. [Google Scholar]
- Jeffrey, A.; Zwillinger, D. Table of Integrals, Series, and Products; Elsevier Science: Burlington, ON, Canada, 2000. [Google Scholar]






| Channel | Variance of DTL, | BER |
|---|---|---|
| Lossy | ||
| Background Noise | ||
| Pointing Errors | , , is the boresight displacement | |
| Weak Turbulence | is obtained by (19). For , and refer to Appendix A. | |
| Moderate to Strong Turbulence | ||
| Weak Turbulence and Pointing Errors | is the combined channel correlation coefficient | Substitute Label (4.3) into Label (3.8) |
| Moderate to Strong Turbulence and Pointing Errors | is the combined channel correlation coefficient | Substitute Label (5.2) into Label (3.8) |
© 2018 by the authors. Licensee MDPI, Basel, Switzerland. This article is an open access article distributed under the terms and conditions of the Creative Commons Attribution (CC BY) license (http://creativecommons.org/licenses/by/4.0/).
Share and Cite
Mansour Abadi, M.; Ghassemlooy, Z.; Bhatnagar, M.R.; Zvanovec, S.; Khalighi, M.-A.; Lavery, M.P.J. Differential Signalling in Free-Space Optical Communication Systems. Appl. Sci. 2018, 8, 872. https://doi.org/10.3390/app8060872
Mansour Abadi M, Ghassemlooy Z, Bhatnagar MR, Zvanovec S, Khalighi M-A, Lavery MPJ. Differential Signalling in Free-Space Optical Communication Systems. Applied Sciences. 2018; 8(6):872. https://doi.org/10.3390/app8060872
Chicago/Turabian StyleMansour Abadi, Mojtaba, Zabih Ghassemlooy, Manav R. Bhatnagar, Stanislav Zvanovec, Mohammad-Ali Khalighi, and Martin P. J. Lavery. 2018. "Differential Signalling in Free-Space Optical Communication Systems" Applied Sciences 8, no. 6: 872. https://doi.org/10.3390/app8060872
APA StyleMansour Abadi, M., Ghassemlooy, Z., Bhatnagar, M. R., Zvanovec, S., Khalighi, M.-A., & Lavery, M. P. J. (2018). Differential Signalling in Free-Space Optical Communication Systems. Applied Sciences, 8(6), 872. https://doi.org/10.3390/app8060872

