Passive Detection of Low-Altitude Signal Sources Using an Improved Cross-Correlation Algorithm
Abstract
:1. Introduction
- (1)
- Communication signals from low-altitude signal sources are collected in real-world outdoor and indoor environments for the first time.
- (2)
- The signals are analyzed in the time–frequency domain, and a cross-correlation threshold method is proposed to distinguish whether a signal source is present or not.
- (3)
- An improved cross-correlation method is proposed to estimate the DOA and communication frequency of a low-altitude signal source.
- (4)
- The proposed method is compared with several well-known techniques in the literature. The results obtained show that this method provides better detection of low-altitude signal sources, particularly over long distances.
2. System Model
3. Proposed Algorithm
3.1. Low-Altitude Signal Source Detection
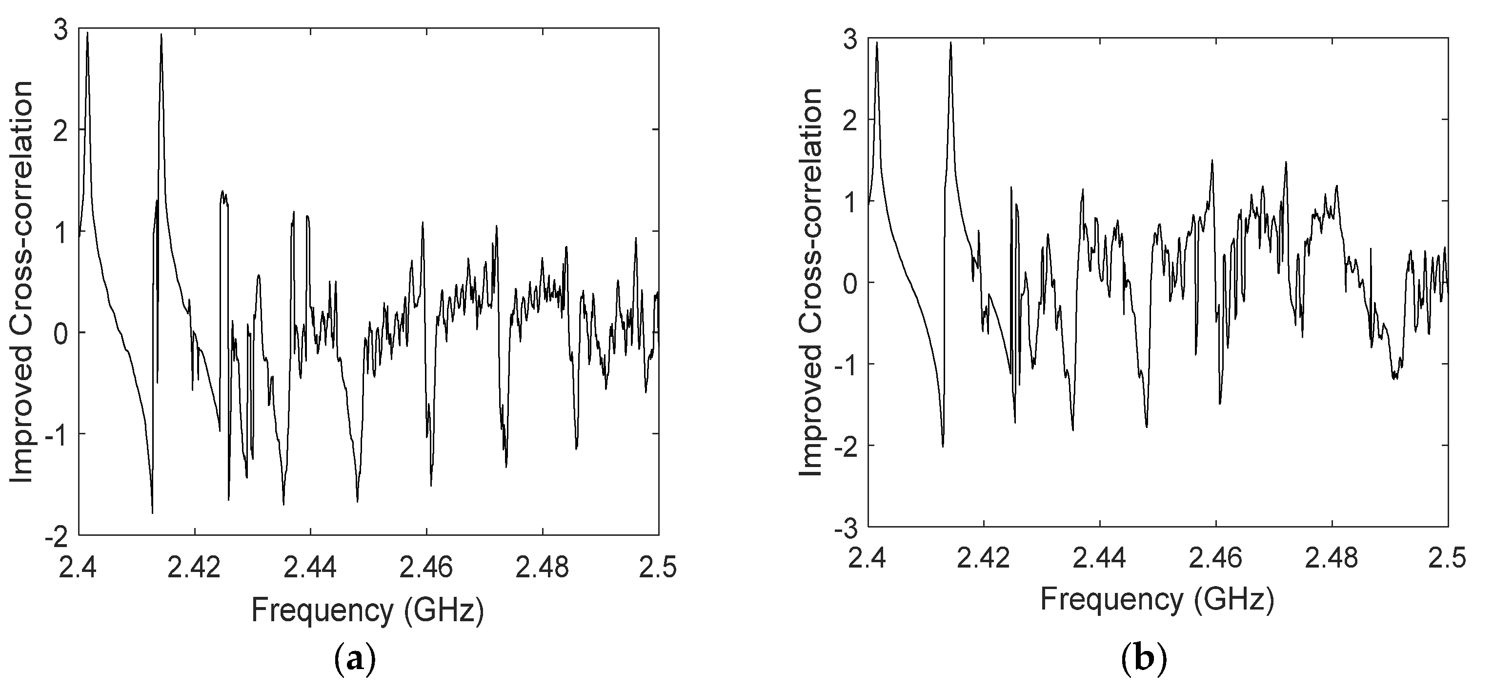
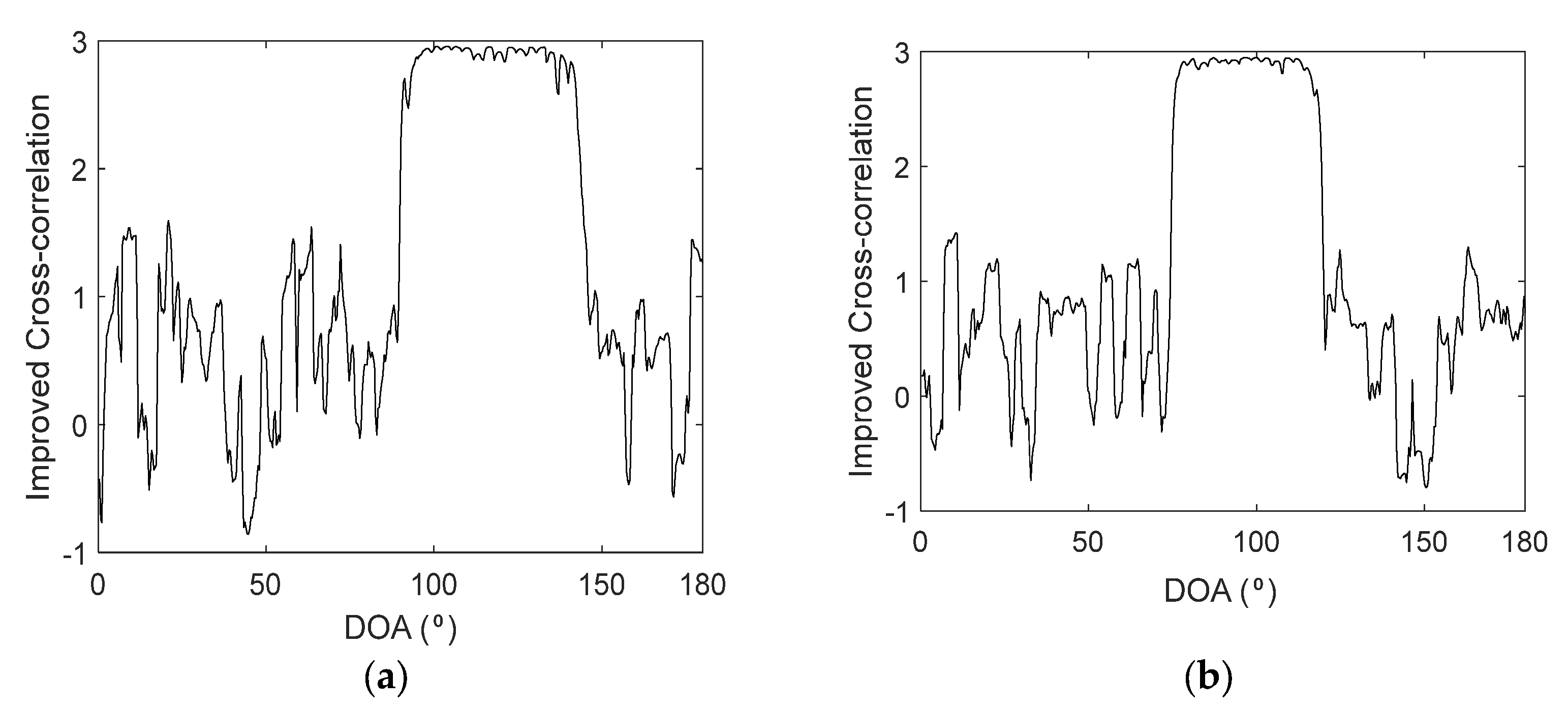
3.2. Frequency and Direction of Arrival Estimation
3.3. SNR Estimation and Distance Estimation
4. Performance Results
4.1. Outdoor Experiments
4.1.1. Outdoor Passive Detection of a Low-Altitude Signal Source
4.1.2. Outdoor Passive Detection of Multiple Low-Altitude Signal Sources
4.2. Indoor Experiment
4.2.1. Indoor Passive Detection of a Low-Altitude Signal Source
4.2.2. Indoor Passive Detection of Multiple Low-Altitude Signal Sources
5. Conclusions
Author Contributions
Funding
Conflicts of Interest
References
- Itkin, M.; Kim, M.; Park, Y. Development of Cloud-Based UAV Monitoring and Management System. Sensors 2016, 16, 1913. [Google Scholar] [CrossRef] [PubMed]
- Zhang, H.; Cao, C.H.; Xu, L.W.; Gulliver, T.A. A UAV Detection Algorithm Based on an Artificial Neural Network. IEEE Access 2018, 6, 24720–24728. [Google Scholar] [CrossRef]
- Wiggerich, B.; Wiggerich, B.; Pfingsthorn, M. Safety, Security, and Rescue Missions with an Unmanned Aerial Vehicle (UAV). J. Intell. Robot. Syst. 2011, 64, 57–76. [Google Scholar]
- Bhardwaj, A.; Sam, L.; Akanksha, J.; Martin-Torres, F.; Kumar, R. UAVs as Remote Sensing Platform in Glaciology: Present Applications and Future Prospects. Remote Sens. Environ. 2016, 175, 196–204. [Google Scholar] [CrossRef]
- Petritoli, E.; Leccese, F. Improvement of Altitude Precision in Indoor and Urban Canyon Navigation for Small Flying Vehicles. In Proceedings of the IEEE Metrology for Aerospace, Benevento, Italy, 4–5 June 2015; pp. 56–60. [Google Scholar]
- Kopáčik, A.; Kajánek, P.; Lipták, I. Systematic Error Elimination Using Additive Measurements and Combination of Two Low Cost IMSs. IEEE Sens. J. 2016, 16, 6239–6248. [Google Scholar] [CrossRef]
- Unlu, E.; Zenou, E.; Riviere, N. Generic Fourier Descriptors for Autonomous UAV Detection. In Proceedings of the International Conference on Pattern Recognition Applications and Methods, Funchal, Madeira, Portugal, 16–18 January 2018; pp. 550–554. [Google Scholar]
- Ren, J.; Jiang, X. Regularized 2-D Complex-log Spectral Analysis and Subspace Reliability Analysis of Micro-Doppler Signature for UAV Detection. Pattern Recognit. 2017, 69, 225–237. [Google Scholar] [CrossRef]
- Hu, Q.W.; Wang, S.H.; Fu, C.W.; Ai, M.Y.; Yu, D.B.; Wang, W.D. Fine Surveying and 3D Modeling Approach for Wooden Ancient Architecture via Multiple Laser Scanner Integration. Remote Sens. 2016, 8, 270. [Google Scholar] [CrossRef]
- Gamba, M.T.; Marucco, G.; Pini, M.; Ugazio, S.; Falletti, E.; Presti, L.L. Prototyping a GNSS-Based Passive Radar for UAVs: An Instrument to Classify the Water Content Feature of Lands. Sensors 2015, 15, 28287–28313. [Google Scholar] [CrossRef] [PubMed] [Green Version]
- Zhao, H.Y.; Liu, J.; Zhang, Z.J.; Liu, H.; Zhou, S. Linear Fusion for Target Detection in Passive Multistatic Radar. Signal Process. 2016, 130, 175–182. [Google Scholar] [CrossRef]
- Noroozi, A.; Sebt, M.A. Target Localization in Multistatic Passive Radar Using SVD Approach for Eliminating the Nuisance Parameters. IEEE Trans. Aerosp. Electron. Syst. 2017, 53, 1660–1671. [Google Scholar] [CrossRef]
- Berdanier, C.; Wicks, M.; Baker, C.; Wu, Z. Phase Based 2D Passive Source Localisation Using Receiver Networks. IET Radar Sonar Navig. 2017, 11, 2–10. [Google Scholar] [CrossRef]
- Radmard, M.; Bayat, S.; Farina, A.; Nayebi, M.M. Catching the High Altitude Invisible by Satellite-based Forward Scatter PCL. Signal Image Video Process. 2016, 11, 1–8. [Google Scholar] [CrossRef]
- Gassier, G.; Chabriel, G.; Barrère, J.; Briolle, F.; Jauffret, C. A Unifying Approach for Disturbance Cancellation and Target Detection in Passive Radar Using OFDM. IEEE Trans. Signal Process. 2016, 64, 5959–5971. [Google Scholar] [CrossRef] [Green Version]
- Guo, Y.; Tharmarasa, R.; Kirubarajan, T.; Wong, S.; Jassemi, R. Passive Coherent Location with Unknown Transmitter States. IEEE Trans. Aerosp. Electron. Syst. 2017, 53, 148–168. [Google Scholar] [CrossRef]
- Lee, K.H.; Chang, J.H.; Kim, N.S.; Kang, S.; Kim, Y. Frequency-Domain Double-Talk Detection Based on the Gaussian Mixture Model. IEEE Signal Process. Lett. 2010, 17, 453–456. [Google Scholar] [CrossRef]
- Zhu, H.; Yu, F. A Cross-Correlation Technique for Vehicle Detections in Wireless Magnetic Sensor Network. IEEE Sens. J. 2016, 16, 4484–4494. [Google Scholar] [CrossRef]
- Su, D.; Luo, J.; Shuang, T.; Tu, Y.; Li, C.; Deng, Z. A Cross Correlation Phase Offset Method Based on Hilbert Transform. In Proceedings of the World Congress on Intelligent Control and Automation, Shenyang, China, 29 June–4 July 2014; pp. 5733–5736. [Google Scholar]
- Dodge, D.A.; Harris, D.B. Large-Scale Test of Dynamic Correlation Processors: Implications for Correlation-Based Seismic Pipelines. Bull. Selsmol. Soc. Am. 2016, 106, 435–452. [Google Scholar] [CrossRef]
- Tong, J.; Xie, W.; Hu, Y.H.; Bao, M.; Li, X.; He, W. Estimation of Low-altitude Moving Target Trajectory Using Single Acoustic Array. J. Acoust. Soc. Am. 2016, 139, 1848–1858. [Google Scholar] [CrossRef] [PubMed]
- He, Z.; Fu, L.; Han, W.; Mai, R. Precise Algorithm for Frequency Estimation under Dynamic and Step-change Conditions. IET Sci. Meas. Technol. 2015, 9, 842–851. [Google Scholar] [CrossRef]
- Liang, X.L.; Zhang, H.; Gulliver, T.A.; Fang, G.Y.; Ye, S.B. An Improved Algorithm for Through-wall Target Detection Using Ultrawideband Impulse Radar. IEEE Access 2017, 5, 22101–22118. [Google Scholar] [CrossRef]
- Luo, Q.; Peng, Y.; Peng, X.; Saddik, A.E. Uncertain Data Clustering-Based Distance Estimation in Wireless Sensor Networks. Sensors 2014, 14, 6584–6605. [Google Scholar] [CrossRef] [PubMed] [Green Version]
- Xu, L.W.; Wang, J.J.; Zhang, H.; Gulliver, T.A. Performance Analysis of IAF Relaying Mobile D2D Cooperative Networks. J. Frankl. Inst. 2017, 354, 902–916. [Google Scholar] [CrossRef]
- Lv, X.; Xing, M.; Zhang, S.; Bao, Z. Keystone Transformation of the Wigner-Ville Distribution for Analysis of Multicomponent LFM Signals. Signal Process. 2009, 89, 791–806. [Google Scholar] [CrossRef]
- Bush, D.R.; Xiang, N. Spectrum-dependent Bandpass Beampattern Modeling and Spatial Filtering with Coprime Linear Microphone Arrays. J. Acoust. Soc. Am. 2017, 141, 3843. [Google Scholar] [CrossRef]
- Xu, Y.; Wu, S.; Chen, C.; Chen, J.; Fang, G. A Novel Method for Automatic Detection of Trapped Victims by Ultrawideband Radar. IEEE Trans. Geosci. Remote Sens. 2012, 50, 3132–3142. [Google Scholar] [CrossRef]
- Xu, Y.; Dai, S.; Wu, S.; Chen, J.; Fang, G. Vital Sign Detection Method Based on Multiple Higher Order Cumulant for Ultrawideband Radar. IEEE Trans. Geosci. Remote Sens. 2012, 50, 1254–1265. [Google Scholar] [CrossRef]




























| Distance between Rx and c (m) | UAV Present | UAV Not Present | |||||
|---|---|---|---|---|---|---|---|
| Max | fstart (GHz) | frange (GHz) | (°) | d (m) | SNR | Max | |
| 500 | 2.907 | 2.401776 | 0.00954 | 90.22 | 512.56 | 0.6634 | 1.381 |
| 1000 | 2.87 | 2.401746 | 0.00953 | 94.58 | 986.27 | 0.4901 | 1.469 |
| 1500 | 2.84 | 2.401764 | 0.00955 | 96.09 | 1520.38 | 0.2940 | 1.149 |
| 2000 | 2.708 | 2.401782 | 0.00951 | 97.83 | 1972.53 | 0.2216 | 1.32 |
| 2500 | 2.352 | 2.471985 | 0.00953 | 36.43 | 2531.74 | 0.1649 | 1.647 |
| 3000 | 2.295 | 2.471981 | 0.00954 | 38.35 | 3040.13 | 0.1083 | 1.285 |
| Method | 500 m | 1000 m | 1500 m | 2000 m | 2500 m | 3000 m | |
|---|---|---|---|---|---|---|---|
| CFAR | Error (MHz) | 0.621 | 0.815 | 1.049 | 1.347 | 38.752 | 39.891 |
| Error (°) | 7.02 | 0.878 | 2.16 | 2.588 | 13.793 | 5.198 | |
| HOC | Error (MHz) | 5.751 | 6.631 | 6.035 | 25.937 | 41.590 | 41.713 |
| Error (°) | 6.143 | 3.015 | 0.855 | 47.07 | 11.205 | 4.478 | |
| Proposed | Error (MHz) | 0.018 | 0.012 | 0.006 | 0.024 | 0.007 | 0.011 |
| Error (°) | 4.405 | 0.618 | 2.18 | 1.6 | 0.605 | 0.708 | |
| Method | 500 m | 1500 m | 2500 m | ||||
|---|---|---|---|---|---|---|---|
| u1 | u2 | u1 | u2 | u1 | u2 | ||
| CFAR | Error (MHz) | 2.732 | 0.605 | 0.489 | 5.450 | 13.67 | 0.061 |
| Error (°) | 1.050 | 2.250 | 1.430 | 1.550 | 47.71 | 2.520 | |
| HOC | Error (MHz) | 3.613 | 5.781 | 3.711 | 5.924 | 19.04 | 47.05 |
| Error (°) | 2.400 | 1.330 | 2.270 | 4.960 | 57.15 | 95.78 | |
| Proposed | Error (MHz) | 0.039 | 0.057 | 0.058 | 0.078 | 0.049 | 0.044 |
| Error (°) | 0.442 | 1.045 | 1.122 | 0.553 | 1.148 | 0.585 | |
| Method | CFAR | HOC | Proposed | |
|---|---|---|---|---|
| 5 m | Error (MHz) | 1.324 | 7.133 | 0.021 |
| Error (°) | 1.792 | 0.728 | 0.470 | |
| 10 m | Error (MHz) | 1.215 | 6.264 | 0.017 |
| Error (°) | 2.212 | 5.452 | 1.250 | |
| Method | 5 m | 10 m | |||
|---|---|---|---|---|---|
| u1 | u2 | u1 | u2 | ||
| CFAR | Error (MHz) | 0.625 | 0.351 | 0.332 | 0.254 |
| Error (°) | 3.20 | 1.43 | 2.73 | 4.59 | |
| HOC | Error (MHz) | 6.00 | 3.95 | 5.70 | 3.85 |
| Error (°) | 1.35 | 4.10 | 2.73 | 1.80 | |
| Proposed | Error (MHz) | 0.052 | 0.091 | 0.022 | 0.048 |
| Error (°) | 1.98 | 2.16 | 1.46 | 1.03 | |
© 2018 by the authors. Licensee MDPI, Basel, Switzerland. This article is an open access article distributed under the terms and conditions of the Creative Commons Attribution (CC BY) license (http://creativecommons.org/licenses/by/4.0/).
Share and Cite
Cao, C.; Yang, H.; Zhang, H.; Wang, Y.; Gulliver, T.A. Passive Detection of Low-Altitude Signal Sources Using an Improved Cross-Correlation Algorithm. Appl. Sci. 2018, 8, 2348. https://doi.org/10.3390/app8122348
Cao C, Yang H, Zhang H, Wang Y, Gulliver TA. Passive Detection of Low-Altitude Signal Sources Using an Improved Cross-Correlation Algorithm. Applied Sciences. 2018; 8(12):2348. https://doi.org/10.3390/app8122348
Chicago/Turabian StyleCao, Conghui, Hua Yang, Hao Zhang, Yan Wang, and Thomas Aaron Gulliver. 2018. "Passive Detection of Low-Altitude Signal Sources Using an Improved Cross-Correlation Algorithm" Applied Sciences 8, no. 12: 2348. https://doi.org/10.3390/app8122348
APA StyleCao, C., Yang, H., Zhang, H., Wang, Y., & Gulliver, T. A. (2018). Passive Detection of Low-Altitude Signal Sources Using an Improved Cross-Correlation Algorithm. Applied Sciences, 8(12), 2348. https://doi.org/10.3390/app8122348

