Application of Symbiotic Organisms Search Algorithm for Parameter Extraction of Solar Cell Models
Abstract
1. Introduction
2. Problem Formulation
2.1. Single Diode Model
2.2. Double Diode Model
2.3. PV Module
2.4. Objective Function
3. Symbiotic Organisms Search (SOS) Algorithm
3.1. Mutualism Phase
3.2. Commensalism Phase
3.3. Parasitism Phase
| Algorithm 1: The pseudo-code of SOS | |
| 1: | Initialize an ecosystem with organisms randomly |
| 2: | Calculate the fitness value of each organism |
| 3: | Set the iteration number |
| 4: | While the terminating criterion is not met do |
| 5: | Select the fittest organism of the ecosystem |
| 6: | For to do |
| 7: | /* mutualism phase */ |
| 8: | Select a random organism () from the ecosystem |
| 9: | Generate the i-th new organism using Equation (12) |
| 10: | Generate the j-th new organism using Equation (13) |
| 11: | Calculate the fitness value of and |
| 12: | Replace the old organism if it is defeated by the new one |
| 13: | /* commensalism phase */ |
| 14: | Select a random organism () from the ecosystem |
| 15: | Generate the i-th new organism using Equation (14) |
| 16: | Calculate the fitness value of |
| 17: | Replace the old organism if it is defeated by the new one |
| 18: | /* parasitism phase */ |
| 19: | Select a random organism () from the ecosystem |
| 20: | Generate an artificial parasite |
| 21: | Select a random number of dimensions of |
| 22: | Replace the selected dimensions using a random number |
| 23: | Calculate the fitness value of the modified |
| 24: | Replace if the modified is better than |
| 25: | End for |
| 26: | |
| 27: | End while |
4. Results and Discussions
4.1. Test PV Models
4.2. Experimental Settings
4.3. Experimental Results and Comparison
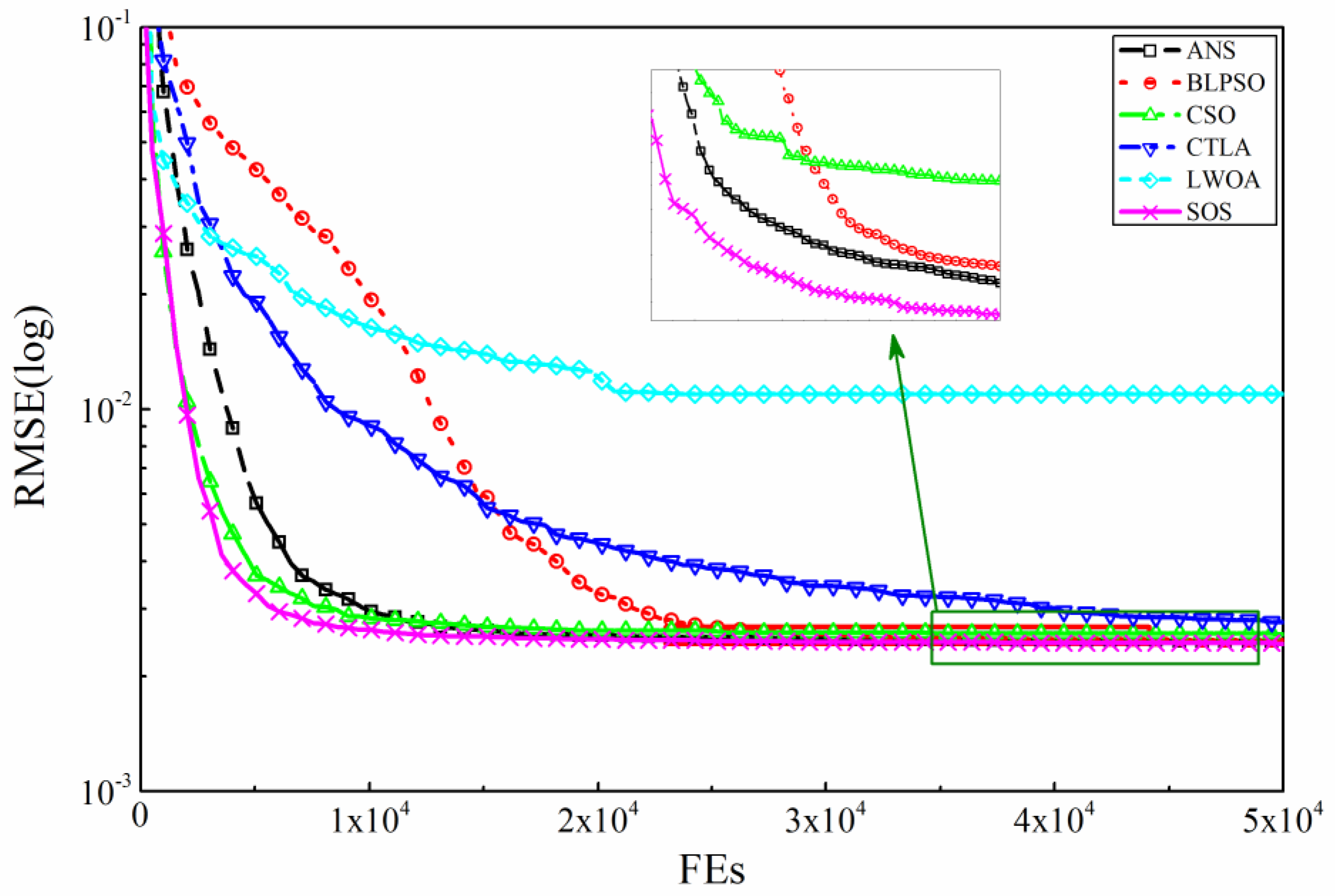
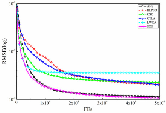
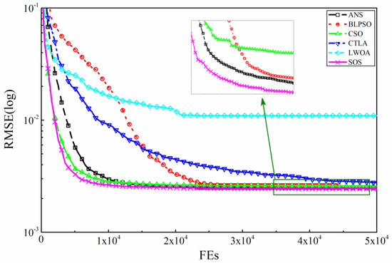
4.3.1. Results Comparison on the Single Diode Model
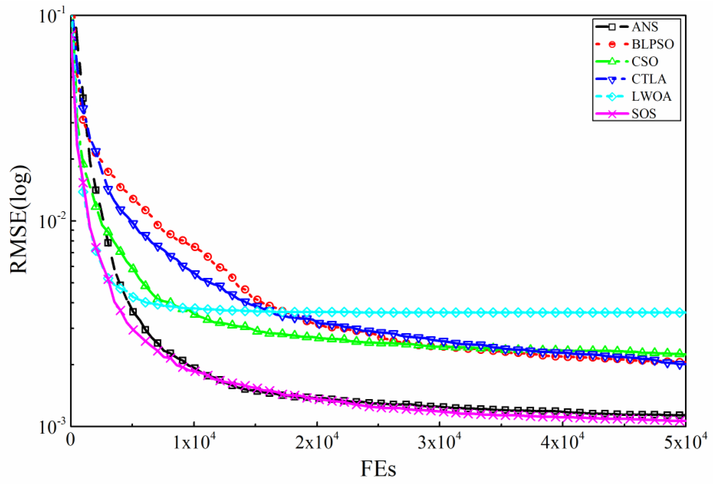
4.3.2. Results Comparison on the Double Diode Model
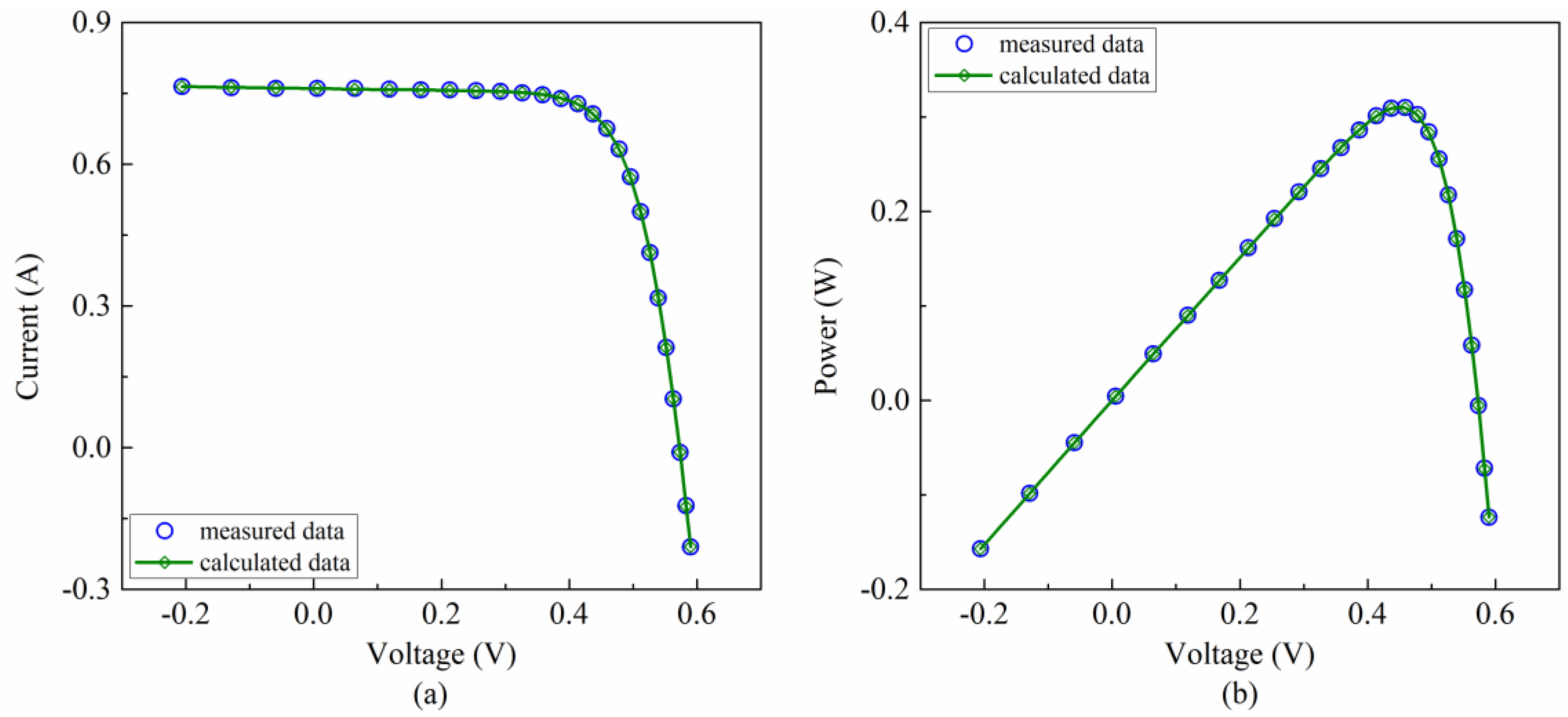
4.3.3. Results Comparison on the PV Module Model
4.3.4. Statistical Analysis
5. Conclusions and Future Work
Author Contributions
Funding
Conflicts of Interest
Nomenclature
| AP | artificial parasite |
| BF1, BF2 | benefit factors determined randomly as either 1 or 2 |
| D | dimension of individual vector |
| Id | diode current (A) |
| IL | output current (A) |
| Iph | photo generated current (A) |
| Isd, Isd1, Isd2 | saturation currents (A) |
| Ish | shunt resistor current (A) |
| k | Boltzmann constant (1.3806503 × 10−23 J/K) |
| n, n1, n2 | diode ideality factors |
| Max_FEs | maximum number of fitness evaluations |
| N | number of experimental data |
| Np | number of cells connected in parallel |
| Ns | number of cells connected in series |
| ps | size of population |
| q | electron charge (1.60217646 × 10−19 C) |
| rand(a,b) | uniformly distributed random real number in (a,b) |
| Rs | series resistance (Ω) |
| Rsh | shunt resistance (Ω) |
| t | current iteration |
| T | cell temperature (K) |
| VL | output voltage (V) |
| Vt | diode thermal voltage (V) |
| x | extracted parameters vector |
| xi,d | dth parameter of ith organism |
| Xi | ith organism |
| Xbest | best organism found so far |
| I-V | current-voltage |
| P-V | power-voltage |
| PV | photovoltaic |
| RMSE | root mean square error |
| SIAE | sum of individual absolute error |
| Min | minimum RMSE |
| Max | maximum RMSE |
| Mean | mean RMSE |
| Std Dev | standard deviation |
| ABSO | artificial bee swarm optimization |
| ANS | across neighborhood search |
| BBO-M | biogeography-based optimization algorithm with mutation strategies |
| BLPSO | biogeography-based learning particle swarm optimization |
| BMO | bird mating optimizer |
| CARO | chaotic asexual reproduction optimization |
| CSO | competitive swarm optimizer |
| CTLA | chaotic teaching-learning algorithm |
| DE | differential evolution |
| GGHS | grouping-based global harmony search |
| GOTLBO | generalized oppositional teaching learning based optimization |
| IADE | improved adaptive DE |
| IJAYA | improved JAYA |
| LWOA | levy flight trajectory-based whale optimization algorithm |
| PS | pattern search |
| SOS | symbiotic organisms search |
| SA | simulated annealing |
References
- SolarPower Europe. SolarPower Europe’s Global Solar Market Outlook for Solar Power 2018–2022: Solar Growth Ahead; SolarPower Europe: Brussels, Belgium, 2018. [Google Scholar]
- China Energy Net. Available online: http://www.china5e.com (accessed on 5 September 2018).
- International Energy Agency. World Energy Outlook 2017; International Energy Agency: Paris, France, 2017. [Google Scholar]
- Youssef, A.; El-Telbany, M.; Zekry, A. The role of artificial intelligence in photo-voltaic systems design and control: A review. Renew. Sustain. Energy Rev. 2017, 78, 72–79. [Google Scholar] [CrossRef]
- Chin, V.J.; Salam, Z.; Ishaque, K. Cell modelling and model parameters estimation techniques for photovoltaic simulator application: A review. Appl. Energy 2015, 154, 500–519. [Google Scholar] [CrossRef]
- Jordehi, A.R. Parameter estimation of solar photovoltaic (PV) cells: A review. Renew. Sustain. Energy Rev. 2016, 61, 354–371. [Google Scholar] [CrossRef]
- Rhouma, M.B.H.; Gastli, A.; Brahim, L.B.; Touati, F.; Benammar, M. A simple method for extracting the parameters of the PV cell single-diode model. Renew. Energy 2017, 113, 885–894. [Google Scholar] [CrossRef]
- Batzelis, E.I.; Papathanassiou, S.A. A Method for the Analytical Extraction of the Single-Diode PV Model Parameters. IEEE Trans. Sustain. Energy 2016, 7, 504–512. [Google Scholar] [CrossRef]
- Brano, V.L.; Ciulla, G. An efficient analytical approach for obtaining a five parameters model of photovoltaic modules using only reference data. Appl. Energy 2013, 111, 894–903. [Google Scholar] [CrossRef]
- Louzazni, M.; Aroudam, E.H. An analytical mathematical modeling to extract the parameters of solar cell from implicit equation to explicit form. Appl. Sol. Energy 2015, 51, 165–171. [Google Scholar] [CrossRef]
- Kumar, G.; Panchal, A.K. A non-iterative technique for determination of solar cell parameters from the light generated I-V characteristic. J. Appl. Phys. 2013, 114, 84903. [Google Scholar] [CrossRef]
- Saleem, H.; Karmalkar, S. An Analytical Method to Extract the Physical Parameters of a Solar Cell from Four Points on the Illuminated J-V Curve. IEEE Electr. Device Lett. 2009, 30, 349–352. [Google Scholar] [CrossRef]
- Wang, G.; Zhao, K.; Shi, J.; Chen, W.; Zhang, H.; Yang, X.; Zhao, Y. An iterative approach for modeling photovoltaic modules without implicit equations. Appl. Energy 2017, 202, 189–198. [Google Scholar] [CrossRef]
- Wolf, P.; Benda, V. Identification of PV solar cells and modules parameters by combining statistical and analytical methods. Sol. Energy 2013, 93, 151–157. [Google Scholar] [CrossRef]
- Toledo, F.J.; Blanes, J.M. Analytical and quasi-explicit four arbitrary point method for extraction of solar cell single-diode model parameters. Renew. Energy 2016, 92, 346–356. [Google Scholar] [CrossRef]
- Yeh, W.C.; Huang, C.L.; Lin, P.; Chen, Z.; Jiang, Y.; Sun, B. Simplex Simplified Swarm Optimization for the Efficient Optimization of Parameter Identification for Solar Cell Models. IET Renew. Power Gener. 2018, 12, 45–51. [Google Scholar] [CrossRef]
- Bastidasrodriguez, J.D.; Petrone, G.; Ramospaja, C.A.; Spagnuolo, G. A genetic algorithm for identifying the single diode model parameters of a photovoltaic panel. Math. Comput. Simul. 2017, 131, 38–54. [Google Scholar] [CrossRef]
- El-Naggar, K.M.; Alrashidi, M.R.; Alhajri, M.F.; Al-Othman, A.K. Simulated Annealing algorithm for photovoltaic parameters identification. Sol. Energy 2012, 86, 266–274. [Google Scholar] [CrossRef]
- Bana, S.; Saini, R.P. Identification of unknown parameters of a single diode photovoltaic model using particle swarm optimization with binary constraints. Renew. Energy 2017, 101, 1299–1310. [Google Scholar] [CrossRef]
- Nunes, H.G.G.; Pombo, J.A.N.; Mariano, S.J.P.S.; Calado, M.R.A.; Souza, J.A.M.F. A new high performance method for determining the parameters of PV cells and modules based on guaranteed convergence particle swarm optimization. Appl. Energy 2018, 211, 774–791. [Google Scholar] [CrossRef]
- Ishaque, K.; Salam, Z.; Mekhilef, S.; Shamsudin, A. Parameter extraction of solar photovoltaic modules using penalty-based differential evolution. Appl. Energy 2012, 99, 297–308. [Google Scholar] [CrossRef]
- Chellaswamy, C.; Ramesh, R. Parameter extraction of solar cell models based on adaptive differential evolution algorithm. Renew. Energy 2016, 97, 823–837. [Google Scholar] [CrossRef]
- Jiang, L.L.; Maskell, D.L.; Patra, J.C. Parameter estimation of solar cells and modules using an improved adaptive differential evolution algorithm. Appl. Energy 2013, 112, 185–193. [Google Scholar] [CrossRef]
- Askarzadeh, A.; Rezazadeh, A. Artificial bee swarm optimization algorithm for parameters identification of solar cell models. Appl. Energy 2013, 102, 943–949. [Google Scholar] [CrossRef]
- Chen, X.; Yu, K.; Du, W.; Zhao, W.; Liu, G. Parameters identification of solar cell models using generalized oppositional teaching learning based optimization. Energy 2016, 99, 170–180. [Google Scholar] [CrossRef]
- Chen, X.; Xu, B.; Mei, C.; Ding, Y.; Li, K. Teaching–learning–based artificial bee colony for solar photovoltaic parameter estimation. Appl. Energy 2018, 212, 1578–1588. [Google Scholar] [CrossRef]
- Yu, K.; Chen, X.; Wang, X.; Wang, Z. Parameters identification of photovoltaic models using self-adaptive teaching-learning-based optimization. Energy Convers. Manag. 2017, 145, 233–246. [Google Scholar] [CrossRef]
- Yu, K.; Liang, J.J.; Qu, B.Y.; Chen, X.; Wang, H.; Yu, K. Parameters identification of photovoltaic models using an improved JAYA optimization algorithm. Energy Convers. Manag. 2017, 150, 742–753. [Google Scholar] [CrossRef]
- Yu, K.; Liang, J.J.; Qu, B.Y.; Cheng, Z.; Wang, H. Multiple learning backtracking search algorithm for estimating parameters of photovoltaic models. Appl. Energy 2018, 226, 408–422. [Google Scholar] [CrossRef]
- Oliva, D.; Aziz, M.A.E.; Hassanien, A.E. Parameter estimation of photovoltaic cells using an improved chaotic whale optimization algorithm. Appl. Energy 2017, 200, 141–154. [Google Scholar] [CrossRef]
- Oliva, D.; Ewees, A.A.; Aziz, M.A.E.; Hassanien, A.E.; Cisneros, M.P. A Chaotic Improved Artificial Bee Colony for Parameter Estimation of Photovoltaic Cells. Energies 2017, 10, 865. [Google Scholar] [CrossRef]
- Kichou, S.; Silvestre, S.; Guglielminotti, L.; Mora-López, L.; Muñoz-Cerón, E. Comparison of two PV array models for the simulation of PV systems using five different algorithms for the parameters identification. Renew. Energy 2016, 99, 270–279. [Google Scholar] [CrossRef]
- Ma, J.; Bi, Z.; Ting, T.O.; Hao, S.; Hao, W. Comparative performance on photovoltaic model parameter identification via bio-inspired algorithms. Sol. Energy 2016, 132, 606–616. [Google Scholar] [CrossRef]
- Niu, Q.; Zhang, L.; Li, K. A biogeography-based optimization algorithm with mutation strategies for model parameter estimation of solar and fuel cells. Energy Convers. Manag. 2014, 86, 1173–1185. [Google Scholar] [CrossRef]
- Askarzadeh, A.; Rezazadeh, A. Parameter identification for solar cell models using harmony search-based algorithms. Sol. Energy 2012, 86, 3241–3249. [Google Scholar] [CrossRef]
- Valdivia-González, A.; Zaldívar, D.; Cuevas, E.; Pérez-Cisneros, M.; Fausto, F.; González, A. A Chaos-Embedded Gravitational Search Algorithm for the Identification of Electrical Parameters of Photovoltaic Cells. Energies 2017, 7, 1052. [Google Scholar] [CrossRef]
- Rezk, H.; Fathy, A. A novel optimal parameters identification of triple-junction solar cell based on a recently meta-heuristic water cycle algorithm. Sol. Energy 2017, 157, 778–791. [Google Scholar] [CrossRef]
- Alam, D.F.; Yousri, D.A.; Eteiba, M.B. Flower Pollination Algorithm based solar PV parameter estimation. Energy Convers. Manag. 2015, 101, 410–422. [Google Scholar] [CrossRef]
- Ali, E.E.; El-Hameed, M.A.; El-Fergany, A.A.; El-Arini, M.M. Parameter extraction of photovoltaic generating units using multi-verse optimizer. Sustain. Energy Technol. Assess. 2016, 17, 68–76. [Google Scholar] [CrossRef]
- Yuan, X.; He, Y.; Liu, L. Parameter extraction of solar cell models using chaotic asexual reproduction optimization. Neural Comput. Appl. 2015, 26, 1227–1239. [Google Scholar] [CrossRef]
- Babu, T.S.; Ram, J.P.; Sangeetha, K.; Laudani, A.; Rajasekar, N. Parameter extraction of two diode solar PV model using Fireworks algorithm. Sol. Energy 2016, 140, 265–276. [Google Scholar] [CrossRef]
- Allam, D.; Yousri, D.A.; Eteiba, M.B. Parameters extraction of the three diode model for the multi-crystalline solar cell/module using Moth-Flame Optimization Algorithm. Energy Convers. Manag. 2016, 123, 535–548. [Google Scholar] [CrossRef]
- Fathy, A.; Rezk, H. Parameter estimation of photovoltaic system using imperialist competitive algorithm. Renew. Energy 2017, 111, 307–320. [Google Scholar] [CrossRef]
- Askarzadeh, A.; Rezazadeh, A. Extraction of maximum power point in solar cells using bird mating optimizer-based parameters identification approach. Sol. Energy 2013, 90, 123–133. [Google Scholar] [CrossRef]
- Alhajri, M.F.; El-Naggar, K.M.; Alrashidi, M.R.; Al-Othman, A.K. Optimal extraction of solar cell parameters using pattern search. Renew. Energy 2012, 44, 238–245. [Google Scholar] [CrossRef]
- Xiong, G.; Zhang, J.; Shi, D.; He, Y. Parameter extraction of solar photovoltaic models using an improved whale optimization algorithm. Energy Convers. Manag. 2018, 174, 388–405. [Google Scholar] [CrossRef]
- Wolpert, D.H.; Macready, W.G. No free lunch theorems for optimization. IEEE Trans. Evol. Comput. 1997, 1, 67–82. [Google Scholar] [CrossRef]
- Cheng, M.Y.; Prayogo, D. Symbiotic Organisms Search: A new metaheuristic optimization algorithm. Comput. Struct. 2014, 139, 98–112. [Google Scholar] [CrossRef]
- Saha, S.; Mukherjee, V. A novel chaos-integrated symbiotic organisms search algorithm for global optimization. Soft Comput. 2018, 22, 3797–3816. [Google Scholar] [CrossRef]
- Panda, A.; Pani, S. A Symbiotic Organisms Search algorithm with adaptive penalty function to solve multi-objective constrained optimization problems. Appl. Soft Comput. 2016, 46, 344–360. [Google Scholar] [CrossRef]
- Shongwe, S.; Hanif, M. Comparative Analysis of Different Single-Diode PV Modeling Methods. IEEE J. Photovolt. 2015, 5, 938–946. [Google Scholar] [CrossRef]
- Humada, A.M.; Hojabri, M.; Mekhilef, S.; Hamada, H.M. Solar cell parameters extraction based on single and double-diode models: A review. Renew. Sustain. Energy Rev. 2016, 56, 494–509. [Google Scholar] [CrossRef]
- Deihimi, M.H.; Naghizadeh, R.A.; Meyabadi, A.F. Systematic derivation of parameters of one exponential model for photovoltaic modules using numerical information of data sheet. Renew. Energy 2016, 87, 676–685. [Google Scholar] [CrossRef]
- Jordehi, A.R. Maximum power point tracking in photovoltaic (PV) systems: A review of different approaches. Renew. Sustain. Energy Rev. 2016, 65, 1127–1138. [Google Scholar] [CrossRef]
- Ishaque, K.; Salam, Z.; Taheri, H. Simple, fast and accurate two-diode model for photovoltaic modules. Sol. Energy Mater. Sol. Cells 2011, 95, 586–594. [Google Scholar] [CrossRef]
- Awadallah, M.A. Variations of the bacterial foraging algorithm for the extraction of PV module parameters from nameplate data. Energy Convers. Manag. 2016, 113, 312–320. [Google Scholar] [CrossRef]
- Chen, Z.; Wu, L.; Cheng, S.; Lin, P.; Wu, Y.; Lin, W. Intelligent fault diagnosis of photovoltaic arrays based on optimized kernel extreme learning machine and I-V characteristics. Appl. Energy 2017, 204, 912–931. [Google Scholar] [CrossRef]
- Easwarakhanthan, T.; Bottin, J.; Bouhouch, I.; Boutrit, C. Nonlinear minimization algorithm for determining the solar cell parameters with microcomputers. Int. J. Sol. Energy 1986, 4, 1–12. [Google Scholar] [CrossRef]
- Wu, G. Across neighborhood search for numerical optimization. Inform. Sci. 2016, 329, 597–618. [Google Scholar] [CrossRef]
- Chen, X.; Tianfield, H.; Mei, C.; Du, W.; Liu, G. Biogeography-based learning particle swarm optimization. Soft Comput. 2017, 21, 7519–7541. [Google Scholar] [CrossRef]
- Cheng, R.; Jin, Y. A competitive swarm optimizer for large scale optimization. IEEE Trans. Cybern. 2015, 42, 191–204. [Google Scholar] [CrossRef] [PubMed]
- Farah, A.; Guesmi, T.; Abdallah, H.H.; Ouali, A. A novel chaotic teaching-learning-based optimization algorithm for multi-machine power system stabilizers design problem. Int. J. Electr. Power 2016, 77, 197–209. [Google Scholar] [CrossRef]
- Ling, Y.; Zhou, Y.; Luo, Q. Lévy flight trajectory-based whale optimization algorithm for global optimization. IEEE Access 2017, 5, 6168–6186. [Google Scholar] [CrossRef]








| Parameter | Single/Double Diode Model | PV Module Model | ||
|---|---|---|---|---|
| Lower Bound | Upper Bound | Lower Bound | Upper Bound | |
| Iph (A) | 0 | 1 | 0 | 2 |
| Isd (µA) | 0 | 1 | 0 | 50 |
| Rs (Ω) | 0 | 0.5 | 0 | 2 |
| Rsh (Ω) | 0 | 100 | 0 | 2000 |
| n, n1, n2 | 1 | 2 | 1 | 50 |
| Method | Min | Max | Mean | Std. Dev. |
|---|---|---|---|---|
| IADE | 9.8900 × 10−4 | NA | NA | NA |
| ABSO | 9.9124 × 10−4 | NA | NA | NA |
| BBO-M | 9.8634 × 10−4 | NA | NA | NA |
| GGHS | 9.9078 × 10−4 | NA | NA | NA |
| GOTLBO | 9.87442 × 10−4 | 1.98244 × 10−3 | 1.33488 × 10−3 | 2.99407 × 10−4 |
| CARO | 9.8665 × 10−4 | NA | NA | NA |
| DE | 9.8602 × 10−4 | NA | NA | NA |
| IJAYA | 9.8603 × 10−4 | 1.0622 × 10−3 | 9.9204 × 10−4 | 1.4033 × 10−5 |
| BMO | 9.8608 × 10−4 | NA | NA | NA |
| PS | 2.863 × 10−1 | NA | NA | NA |
| SA | 1.70 × 10−3 | NA | NA | NA |
| ANS | 9.9689 × 10−4 | 1.4385 × 10−3 | 1.1051 × 10−3 | 1.0141 × 10−4 |
| BLPSO | 1.4836 × 10−3 | 2.2415 × 10−3 | 1.9092 × 10−3 | 1.7404 × 10−4 |
| CSO | 1.6358 × 10−3 | 2.4104 × 10−3 | 2.0058 × 10−3 | 1.7398 × 10−4 |
| CTLA | 1.0991 × 10−3 | 1.8027 × 10−3 | 1.3772 × 10−3 | 1.7132 × 10−4 |
| LWOA | 1.0873 × 10−3 | 9.1622 × 10−3 | 3.1119 × 10−3 | 1.8838 × 10−3 |
| SOS | 9.8609 × 10−4 | 1.1982 × 10−3 | 1.0245 × 10−3 | 5.2184 × 10−5 |
| Method | Iph (A) | Isd (µA) | Rs (Ω) | Rsh (Ω) | n | RMSE |
|---|---|---|---|---|---|---|
| IADE | 0.7607 | 0.33613 | 0.03621 | 54.7643 | 1.4852 | 9.8900 × 10−4 |
| ABSO | 0.76080 | 0.30623 | 0.03659 | 52.2903 | 1.47583 | 9.9124 × 10−4 |
| BBO-M | 0.76078 | 0.31874 | 0.03642 | 53.36277 | 1.47984 | 9.8634 × 10−4 |
| GGHS | 0.76092 | 0.32620 | 0.03631 | 53.0647 | 1.48217 | 9.9079 × 10−4 |
| GOTLBO | 0.760780 | 0.331552 | 0.036265 | 54.115426 | 1.483820 | 9.8744 × 10−4 |
| CARO | 0.76079 | 0.31724 | 0.03644 | 53.0893 | 1.48168 | 9.8665 × 10−4 |
| DE | 0.7608 | 0.323 | 0.0364 | 53.719 | 1.4812 | 9.8602 × 10−4 |
| IJAYA | 0.7608 | 0.3228 | 0.0364 | 53.7595 | 1.4811 | 9.8603 × 10−4 |
| PS | 0.7617 | 0.9980 | 0.0313 | 64.1026 | 1.6000 | 2.863 × 10−1 |
| SA | 0.7620 | 0.4798 | 0.0345 | 43.1034 | 1.5172 | 1.70 × 10−3 |
| ANS | 0.7607 | 0.3407 | 0.0362 | 54.7917 | 1.4866 | 9.9689 × 10−4 |
| BLPSO | 0.7599 | 0.4977 | 0.0347 | 96.5115 | 1.5257 | 1.4836 × 10−3 |
| CSO | 1.0205 | 0.3658 | 1.2122 | 1689.0050 | 48.8206 | 1.6358 × 10−3 |
| CTLA | 0.7650 | 0.4280 | 0.0357 | 61.1131 | 1.5092 | 1.0991 × 10−3 |
| LWOA | 1.0284 | 0.3145 | 1.2218 | 1272.0197 | 48.2413 | 1.0873 × 10−3 |
| SOS | 0.7608 | 0.3579 | 0.0359 | 53.7835 | 1.4916 | 9.8609 × 10−4 |
| Item | VL (V) | IL Measured (A) | IL Calculated (A) | |||||
|---|---|---|---|---|---|---|---|---|
| ANS | BLPSO | CSO | CTLA | LWOA | SOS | |||
| 1 | −0.2057 | 0.7640 | 0.7639 | 0.7617 | 0.7614 | 0.7679 | 0.7631 | 0.7641 |
| 2 | −0.1291 | 0.7620 | 0.7625 | 0.7609 | 0.7606 | 0.7667 | 0.7618 | 0.7627 |
| 3 | −0.0588 | 0.7605 | 0.7613 | 0.7602 | 0.7598 | 0.7655 | 0.7607 | 0.7614 |
| 4 | 0.0057 | 0.7605 | 0.7601 | 0.7595 | 0.7591 | 0.7645 | 0.7597 | 0.7602 |
| 5 | 0.0646 | 0.7600 | 0.7590 | 0.7589 | 0.7585 | 0.7635 | 0.7587 | 0.7591 |
| 6 | 0.1185 | 0.7590 | 0.7580 | 0.7584 | 0.7579 | 0.7626 | 0.7578 | 0.7581 |
| 7 | 0.1678 | 0.7570 | 0.7571 | 0.7578 | 0.7573 | 0.7618 | 0.7570 | 0.7572 |
| 8 | 0.2132 | 0.7570 | 0.7561 | 0.7572 | 0.7567 | 0.7609 | 0.7561 | 0.7562 |
| 9 | 0.2545 | 0.7555 | 0.7551 | 0.7564 | 0.7559 | 0.7599 | 0.7552 | 0.7551 |
| 10 | 0.2924 | 0.7540 | 0.7537 | 0.7552 | 0.7546 | 0.7585 | 0.7538 | 0.7537 |
| 11 | 0.3269 | 0.7505 | 0.7514 | 0.7530 | 0.7524 | 0.7561 | 0.7517 | 0.7514 |
| 12 | 0.3585 | 0.7465 | 0.7473 | 0.7489 | 0.7484 | 0.7519 | 0.7477 | 0.7473 |
| 13 | 0.3873 | 0.7385 | 0.7400 | 0.7414 | 0.7412 | 0.7443 | 0.7406 | 0.7399 |
| 14 | 0.4137 | 0.7280 | 0.7273 | 0.7282 | 0.7288 | 0.7310 | 0.7280 | 0.7271 |
| 15 | 0.4373 | 0.7065 | 0.7068 | 0.7072 | 0.7091 | 0.7099 | 0.7076 | 0.7065 |
| 16 | 0.4590 | 0.6755 | 0.6751 | 0.6750 | 0.6789 | 0.6774 | 0.6759 | 0.6748 |
| 17 | 0.4784 | 0.6320 | 0.6306 | 0.6303 | 0.6369 | 0.6322 | 0.6315 | 0.6303 |
| 18 | 0.4960 | 0.5730 | 0.5719 | 0.5715 | 0.5812 | 0.5727 | 0.5726 | 0.5716 |
| 19 | 0.5119 | 0.4990 | 0.4994 | 0.4991 | 0.5119 | 0.4997 | 0.4999 | 0.4991 |
| 20 | 0.5265 | 0.4130 | 0.4134 | 0.4134 | 0.4288 | 0.4133 | 0.4137 | 0.4133 |
| 21 | 0.5398 | 0.3165 | 0.3173 | 0.3175 | 0.3342 | 0.3169 | 0.3173 | 0.3172 |
| 22 | 0.5521 | 0.2120 | 0.2122 | 0.2126 | 0.2292 | 0.2116 | 0.2120 | 0.2122 |
| 23 | 0.5633 | 0.1035 | 0.1029 | 0.1032 | 0.1181 | 0.1021 | 0.1026 | 0.1029 |
| 24 | 0.5736 | −0.0100 | −0.0091 | −0.0091 | −0.0025 | −0.0101 | −0.0094 | −0.0091 |
| 25 | 0.5833 | −0.1230 | −0.1243 | −0.1249 | −0.1180 | −0.1255 | −0.1245 | −0.1244 |
| 26 | 0.5900 | −0.2100 | −0.2092 | −0.2104 | −0.2078 | −0.2105 | −0.2092 | −0.2094 |
| SIAE | 0.0182 | 0.0275 | 0.1347 | 0.0739 | 0.0191 | 0.0181 | ||
| Method | Min | Max | Mean | Std. dev. |
|---|---|---|---|---|
| GGHS | 9.8635 × 10−4 | NA | NA | NA |
| GOTLBO | 9.83177 × 10−4 | 1.78774 × 10−3 | 1.24360 × 10−3 | 2.09115 × 10−4 |
| CARO | 9.8260 × 10−4 | NA | NA | NA |
| IJAYA | 9.8293 × 10−4 | 1.4055 × 10−3 | 1.0269 × 10−3 | 9.8625 × 10−5 |
| PS | 1.5180 × 10−2 | NA | NA | NA |
| SA | 1.9000 × 10−2 | NA | NA | NA |
| ANS | 1.0042 × 10−3 | 1.4456 × 10−3 | 1.1337 × 10−3 | 9.9500 × 10−5 |
| BLPSO | 1.5704 × 10−3 | 2.5312 × 10−3 | 2.0554 × 10−3 | 2.0186 × 10−4 |
| CSO | 1.7013 × 10−3 | 2.7735 × 10−3 | 2.2421 × 10−3 | 2.2059 × 10−4 |
| CTLA | 1.3216 × 10−3 | 3.1002 × 10−3 | 2.0145 × 10−3 | 4.0895 × 10−4 |
| LWOA | 1.3120 × 10−3 | 1.3387 × 10−2 | 3.5838 × 10−3 | 2.6270 × 10−3 |
| SOS | 9.8518 × 10−4 | 1.3498 × 10−3 | 1.0627 × 10−3 | 9.6141 × 10−5 |
| Method | Iph (A) | Isd1 (µA) | Rs (Ω) | Rsh (Ω) | n1 | Isd2 (µA) | n2 | RMSE |
|---|---|---|---|---|---|---|---|---|
| GGHS | 0.76079 | 0.97310 | 0.03690 | 56.8368 | 1.92126 | 0.16791 | 1.42814 | 9.8635 × 10−4 |
| GOTLBO | 0.760752 | 0.800195 | 0.036783 | 56.075304 | 1.999973 | 0.220462 | 1.448974 | 9.83177 × 10−4 |
| CARO | 0.76075 | 0.29315 | 0.03641 | 54.3967 | 1.47338 | 0.09098 | 1.77321 | 9.8260 × 10−4 |
| IJAYA | 0.7601 | 0.0050445 | 0.0376 | 77.8519 | 1.2186 | 0.75094 | 1.6247 | 9.8293 × 10−4 |
| PS | 0.7602 | 0.9889 | 0.0320 | 81.3008 | 1.6000 | 0.0001 | 1.1920 | 1.5180 × 10−2 |
| SA | 0.7623 | 0.4767 | 0.0345 | 43.1034 | 1.5172 | 0.0100 | 2.0000 | 1.9000 × 10−2 |
| ANS | 0.7609 | 0.1785 | 0.0369 | 51.5905 | 1.8181 | 0.2466 | 1.4581 | 1.0042 × 10−3 |
| BLPSO | 0.7607 | 0.5481 | 0.0338 | 78.6922 | 1.5442 | 0.0542 | 1.5765 | 1.5704 × 10−3 |
| CSO | 0.7628 | 0.7954 | 0.0409 | 15.7733 | 1.6936 | 0.6780 | 1.8138 | 1.7013 × 10−3 |
| CTLA | 0.7570 | 0.8542 | 0.0313 | 89.6464 | 1.7879 | 0.3812 | 1.5230 | 1.3216 × 10−3 |
| LWOA | 0.7597 | 0.2342 | 0.0355 | 86.8763 | 1.4679 | 0.3709 | 1.6989 | 1.3120 × 10−3 |
| SOS | 0.7606 | 0.5408 | 0.0365 | 55.5537 | 1.9346 | 0.2418 | 1.4579 | 9.8518 × 10−4 |
| Item | VL (V) | IL Measured (A) | IL Calculated (A) | |||||
|---|---|---|---|---|---|---|---|---|
| ANS | BLPSO | CSO | CTLA | LWOA | SOS | |||
| 1 | −0.2057 | 0.7640 | 0.7644 | 0.7630 | 0.7738 | 0.7591 | 0.7618 | 0.7638 |
| 2 | −0.1291 | 0.7620 | 0.7629 | 0.7620 | 0.7690 | 0.7582 | 0.7609 | 0.7625 |
| 3 | −0.0588 | 0.7605 | 0.7615 | 0.7611 | 0.7645 | 0.7574 | 0.7601 | 0.7612 |
| 4 | 0.0057 | 0.7605 | 0.7603 | 0.7603 | 0.7605 | 0.7567 | 0.7593 | 0.7600 |
| 5 | 0.0646 | 0.7600 | 0.7591 | 0.7595 | 0.7567 | 0.7561 | 0.7586 | 0.7590 |
| 6 | 0.1185 | 0.7590 | 0.7581 | 0.7588 | 0.7533 | 0.7554 | 0.7580 | 0.7580 |
| 7 | 0.1678 | 0.7570 | 0.7571 | 0.7581 | 0.7501 | 0.7548 | 0.7574 | 0.7571 |
| 8 | 0.2132 | 0.7570 | 0.7561 | 0.7574 | 0.7470 | 0.7541 | 0.7567 | 0.7561 |
| 9 | 0.2545 | 0.7555 | 0.7550 | 0.7565 | 0.7440 | 0.7532 | 0.7559 | 0.7551 |
| 10 | 0.2924 | 0.7540 | 0.7536 | 0.7552 | 0.7407 | 0.7518 | 0.7547 | 0.7536 |
| 11 | 0.3269 | 0.7505 | 0.7513 | 0.7528 | 0.7366 | 0.7494 | 0.7525 | 0.7513 |
| 12 | 0.3585 | 0.7465 | 0.7472 | 0.7485 | 0.7312 | 0.7449 | 0.7484 | 0.7472 |
| 13 | 0.3873 | 0.7385 | 0.7400 | 0.7407 | 0.7233 | 0.7369 | 0.7410 | 0.7399 |
| 14 | 0.4137 | 0.7280 | 0.7274 | 0.7273 | 0.7116 | 0.7234 | 0.7280 | 0.7271 |
| 15 | 0.4373 | 0.7065 | 0.7071 | 0.7060 | 0.6951 | 0.7023 | 0.7072 | 0.7066 |
| 16 | 0.4590 | 0.6755 | 0.6756 | 0.6737 | 0.6718 | 0.6704 | 0.6753 | 0.6750 |
| 17 | 0.4784 | 0.6320 | 0.6312 | 0.6290 | 0.6412 | 0.6265 | 0.6307 | 0.6307 |
| 18 | 0.4960 | 0.5730 | 0.5724 | 0.5704 | 0.6024 | 0.5689 | 0.5719 | 0.5720 |
| 19 | 0.5119 | 0.4990 | 0.4997 | 0.4984 | 0.5557 | 0.4979 | 0.4994 | 0.4995 |
| 20 | 0.5265 | 0.4130 | 0.4136 | 0.4133 | 0.5009 | 0.4136 | 0.4137 | 0.4136 |
| 21 | 0.5398 | 0.3165 | 0.3172 | 0.3178 | 0.4394 | 0.3185 | 0.3176 | 0.3174 |
| 22 | 0.5521 | 0.2120 | 0.2120 | 0.2133 | 0.3717 | 0.2137 | 0.2126 | 0.2123 |
| 23 | 0.5633 | 0.1035 | 0.1026 | 0.1041 | 0.3002 | 0.1034 | 0.1031 | 0.1029 |
| 24 | 0.5736 | −0.0100 | −0.0093 | −0.0082 | 0.2259 | −0.0105 | −0.0090 | −0.0091 |
| 25 | 0.5833 | −0.1230 | −0.1243 | −0.1241 | 0.1483 | −0.1289 | −0.1246 | −0.1243 |
| 26 | 0.5900 | −0.2100 | −0.2089 | −0.2098 | 0.0904 | −0.2168 | −0.2098 | −0.2091 |
| SIAE | 0.0189 | 0.0283 | 1.6176 | 0.0789 | 0.0247 | 0.0182 | ||
| Method | Min | Max | Mean | Std. dev. |
|---|---|---|---|---|
| CARO | 2.427 × 10−3 | NA | NA | NA |
| IJAYA | 2.4251 × 10−3 | 2.4393 × 10−3 | 2.4289 × 10−3 | 3.7755 × 10−6 |
| PS | 1.18 × 10−2 | NA | NA | NA |
| SA | 2.70 × 10−3 | NA | NA | NA |
| ANS | 2.4310 × 10−3 | 2.5658 × 10−3 | 2.4702 × 10−3 | 2.9121 × 10−5 |
| BLPSO | 2.4296 × 10−3 | 2.5616 × 10−3 | 2.4884 × 10−3 | 3.3055 × 10−5 |
| CSO | 2.4537 × 10−3 | 3.0650 × 10−3 | 2.5804 × 10−3 | 7.7274 × 10−5 |
| CTLA | 2.4782 × 10−3 | 3.5579 × 10−3 | 2.7760 × 10−3 | 2.4714 × 10−4 |
| LWOA | 2.6352 × 10−3 | 6.7023 × 10−2 | 1.0936 × 10−2 | 1.3115 × 10−2 |
| SOS | 2.4251 × 10−3 | 2.5103 × 10−3 | 2.4361 × 10−3 | 1.7503 × 10−5 |
| Method | Iph (A) | Isd (µA) | Rs (Ω) | Rsh (Ω) | n | RMSE |
|---|---|---|---|---|---|---|
| CARO | 1.03185 | 3.28401 | 1.20556 | 841.3213 | 48.40363 | 2.427 × 10−3 |
| IJAYA | 1.0305 | 3.4703 | 1.2016 | 977.3752 | 48.6298 | 2.4251 × 10−3 |
| PS | 1.0313 | 3.1756 | 1.2053 | 714.2857 | 48.2889 | 1.18 × 10−2 |
| SA | 1.0331 | 3.6642 | 1.1989 | 833.3333 | 48.8211 | 2.7000 × 10−3 |
| ANS | 1.0301 | 3.6650 | 1.1967 | 1070.4564 | 48.8377 | 2.4310 × 10−3 |
| BLPSO | 1.0302 | 3.6462 | 1.1964 | 1029.5378 | 48.8198 | 2.4296 × 10−3 |
| CSO | 1.0205 | 3.6578 | 1.2122 | 1689.0050 | 48.8206 | 2.4537 × 10−3 |
| CTLA | 1.0248 | 2.6365 | 1.2689 | 1722.6637 | 47.5838 | 2.4782 × 10−3 |
| LWOA | 1.0284 | 3.1435 | 1.2218 | 1272.0197 | 48.2413 | 2.6352 × 10−3 |
| SOS | 1.0303 | 3.5616 | 1.1991 | 1017.7000 | 48.7291 | 2.4251 × 10−3 |
| Item | VL (V) | IL Measured (A) | IL Calculated (A) | |||||
|---|---|---|---|---|---|---|---|---|
| ANS | BLPSO | CSO | CTLA | LWOA | SOS | |||
| 1 | 0.1248 | 1.0315 | 1.0288 | 1.0289 | 1.0197 | 1.0240 | 1.0273 | 1.0289 |
| 2 | 1.8093 | 1.0300 | 1.0272 | 1.0272 | 1.0187 | 1.0230 | 1.0259 | 1.0272 |
| 3 | 3.3511 | 1.0260 | 1.0257 | 1.0257 | 1.0177 | 1.0220 | 1.0246 | 1.0256 |
| 4 | 4.7622 | 1.0220 | 1.0241 | 1.0241 | 1.0166 | 1.0210 | 1.0233 | 1.0241 |
| 5 | 6.0538 | 1.0180 | 1.0224 | 1.0223 | 1.0154 | 1.0198 | 1.0218 | 1.0223 |
| 6 | 7.2364 | 1.0155 | 1.0201 | 1.0200 | 1.0135 | 1.0180 | 1.0198 | 1.0199 |
| 7 | 8.3189 | 1.0140 | 1.0166 | 1.0164 | 1.0103 | 1.0151 | 1.0165 | 1.0164 |
| 8 | 9.3097 | 1.0100 | 1.0108 | 1.0106 | 1.0047 | 1.0098 | 1.0110 | 1.0105 |
| 9 | 10.2163 | 1.0035 | 1.0009 | 1.0007 | 0.9951 | 1.0006 | 1.0014 | 1.0007 |
| 10 | 11.0449 | 0.9880 | 0.9848 | 0.9846 | 0.9792 | 0.9850 | 0.9857 | 0.9847 |
| 11 | 11.8018 | 0.9630 | 0.9598 | 0.9596 | 0.9542 | 0.9603 | 0.9609 | 0.9597 |
| 12 | 12.4929 | 0.9255 | 0.9230 | 0.9229 | 0.9175 | 0.9235 | 0.9242 | 0.9230 |
| 13 | 13.1231 | 0.8725 | 0.8725 | 0.8724 | 0.8668 | 0.8726 | 0.8736 | 0.8725 |
| 14 | 13.6983 | 0.8075 | 0.8072 | 0.8071 | 0.8014 | 0.8064 | 0.8080 | 0.8072 |
| 15 | 14.2221 | 0.7265 | 0.7278 | 0.7277 | 0.7220 | 0.7261 | 0.7283 | 0.7279 |
| 16 | 14.6995 | 0.6345 | 0.6363 | 0.6363 | 0.6305 | 0.6337 | 0.6364 | 0.6364 |
| 17 | 15.1346 | 0.5345 | 0.5356 | 0.5356 | 0.5299 | 0.5323 | 0.5353 | 0.5357 |
| 18 | 15.5311 | 0.4275 | 0.4288 | 0.4288 | 0.4234 | 0.4252 | 0.4281 | 0.4288 |
| 19 | 15.8929 | 0.3185 | 0.3186 | 0.3187 | 0.3137 | 0.3154 | 0.3179 | 0.3187 |
| 20 | 16.2229 | 0.2085 | 0.2079 | 0.2079 | 0.2034 | 0.2053 | 0.2071 | 0.2079 |
| 21 | 16.5241 | 0.1010 | 0.0984 | 0.0984 | 0.0945 | 0.0970 | 0.0978 | 0.0984 |
| 22 | 16.7987 | −0.0080 | −0.0082 | −0.0081 | −0.0114 | −0.0081 | −0.0085 | −0.0081 |
| 23 | 17.0499 | −0.1110 | −0.1110 | −0.1110 | −0.1135 | −0.1093 | −0.1109 | −0.1109 |
| 24 | 17.2793 | −0.2090 | −0.2092 | −0.2092 | −0.2110 | −0.2056 | −0.2087 | −0.2091 |
| 25 | 17.4885 | −0.3030 | −0.3021 | −0.3021 | −0.3032 | −0.2966 | −0.3011 | −0.3020 |
| SIAE | 0.0423 | 0.0424 | 0.1380 | 0.0646 | 0.0452 | 0.0421 | ||
| SOS Vs. | Single Diode Model | Double Diode Model | PV Module Model |
|---|---|---|---|
| ANS | † (p = 2.3044 × 10−8) | † (p = 3.4341 × 10−6) | † (p = 5.5646 × 10−12) |
| BLPSO | † (p = 7.0661 × 10−18) | † (p = 7.0661 × 10−18) | † (p = 9.9263 × 10−14) |
| CSO | † (p = 7.0661 × 10−18) | † (p = 7.0661 × 10−18) | † (p = 8.9852 × 10−18) |
| CTLA | † (p = 2.1975 × 10−17) | † (p = 7.5041 × 10−18) | † (p = 9.5403 × 10−18) |
| LWOA | † (p = 1.2866 × 10−17) | † (p = 8.4620 × 10−18) | † (p = 7.0661 × 10−18) |
© 2018 by the authors. Licensee MDPI, Basel, Switzerland. This article is an open access article distributed under the terms and conditions of the Creative Commons Attribution (CC BY) license (http://creativecommons.org/licenses/by/4.0/).
Share and Cite
Xiong, G.; Zhang, J.; Yuan, X.; Shi, D.; He, Y. Application of Symbiotic Organisms Search Algorithm for Parameter Extraction of Solar Cell Models. Appl. Sci. 2018, 8, 2155. https://doi.org/10.3390/app8112155
Xiong G, Zhang J, Yuan X, Shi D, He Y. Application of Symbiotic Organisms Search Algorithm for Parameter Extraction of Solar Cell Models. Applied Sciences. 2018; 8(11):2155. https://doi.org/10.3390/app8112155
Chicago/Turabian StyleXiong, Guojiang, Jing Zhang, Xufeng Yuan, Dongyuan Shi, and Yu He. 2018. "Application of Symbiotic Organisms Search Algorithm for Parameter Extraction of Solar Cell Models" Applied Sciences 8, no. 11: 2155. https://doi.org/10.3390/app8112155
APA StyleXiong, G., Zhang, J., Yuan, X., Shi, D., & He, Y. (2018). Application of Symbiotic Organisms Search Algorithm for Parameter Extraction of Solar Cell Models. Applied Sciences, 8(11), 2155. https://doi.org/10.3390/app8112155

