Abstract
In order to fabricate the composite electrodes of a supercapacitor, transition-metal oxide materials NiO and WO3 were deposited on carbon electrodes by electron beam evaporation. The influences of various transition-metal oxides, scan rates of cyclic voltammograms (CVs), and galvanostatic charge/discharge tests on the characteristics of supercapacitor were studied. The charge/discharge efficiency and the lifetime of the composite electrodes were also investigated. It was found that the composite electrodes exhibited more favorable capacitance properties than those of the carbon electrodes at high scan rates. The results revealed the promotion of the capacitance property of the supercapacitor with composite electrode and the improving of the decay property in capacitance at high scan rate. In addition, the charge/discharge efficiency is close to 100% after 5000 cycles, and the composite electrode retains strong adhesion between the electrode material and the substrate.
1. Introduction
A supercapacitor is a new storage device positioned between traditional capacitors and batteries. Electrochemically activated materials or porous materials are used for storage in a supercapacitor. The advantages of a supercapacitor are its high power density, high energy density, excellent cycle life, and fast charge and discharge times [1,2]. Supercapacitors have attracted considerable attention in recent years because they do not have the disadvantages that traditional batteries and capacitors have.
It has been discovered that charges can be separated using Coulomb electrostatic force and form double layers across the surface of electrodes and electrolytes [3]. The concept of an electrical double-layer capacitor (EDLC) involves applying DC voltage to electrodes, which are typically porous carbon, to establish an electrical double-layer for charges storage. A pseudocapacitor stores electrical energy through rapid and continuous redox reactions between the electrodes and the electrolyte. Metal oxides and conducting polymers are commonly used as the electrode materials in pseudocapacitors. Porous carbon is usually chosen as the electrode material in commercial products because of the high cost of metal oxides and the poor stability of the conducting polymers. Therefore, composite electrodes exhibit such advantages as double-layer capacitance and pseudo-capacitance [4,5].
Beliakov et al. prepared an asymmetrical composite electrode by using NiO and carbon in 1999, and the results showed more favorable energy density than carbon–carbon electrodes [6]. However, Takasu et al. in 1999 proposed a oxide composite consisting of Ti, V, and W oxides for the application of ECs [7]; meanwhile Jeong and Manthiram reported that RuO2 coated with WO3 showed good capacitive performances in both acidic and alkaline media in 2001 [8,9]. In 2005, Yuan et al. showed a hybrid-type electrochemical capacitor, in which the activated-carbon (AC) load with nickel oxide was used as cathode material and the activated-carbon was used as anode material. Although the BET surface area of the activated-carbon decreased after nickel oxide loading compared with that of the starting material, its specific capacitance increased 10.84%, from 175.40 to 194.01 F·g−1 [10,11]. Recently, amorphous tungsten oxide with microwave radiation was reported to be a promising electrode material for electrochemical capacitors (ECs) [12]. Accordingly, tungsten oxides and NiO of certain microstructures should be of pseudocapacitive behavior.
In this study, the carbon electrode using mesocarbon microbeads (MCMBs) was adopted for the fabrication of a supercapacitor. To fabricate the composite electrodes of the supercapacitor, NiO and WO3 layers were deposited onto carbon electrodes using electron beam evaporation. This technique, one of the physical vapor deposition methods, was chosen largely for the growth of device quality films [13]. The influences of various scan rates of the cyclic voltammograms (CVs) on the characteristics of capacitance were studied. The charge/discharge efficiency and lifetime of the composite electrodes were also discussed.
2. Experimental
2.1. Preparation of Carbon Electrodes
Conductivity percolation was found to play a critical role in determining the electrochemical capacitive behavior of the carbon–carbon composite electrode, which is comprised of a non-conductive activated carbon with a large surface area and a conductive carbon black (CB) with a small surface area [14]. Therefore, CB powder (10 wt %) was added to 1 g of MCMB powder and mixed uniformly. The mixing powder was added to a solution containing 2 wt % polyvinyl butyral (PVB) and 9.1 mg of dimethylacetamide (DMA). The mixture was mixed at room temperature (R.T.) to form a carbon slurry. The electrodes were prepared by spin-coating the carbon slurry onto ITO glass (transmittance of 85%, sheet resistance of 15 Ω·sq−1.) and then evaporating the solvent, DMA, in an oven at 150 °C for 10 min.
2.2. Fabrication of Composite Electrodes
First, WO3 and NiO were, respectively, deposited using an electron beam evaporation technique onto the MCMB/ITO substrates. A high-purity WO3 powder (99.8%, Alfa Aesar, Heysham, UK) and a NiO powder (99%, Sigma-Aldrich, St. Louis, MO, USA) were used as the evaporation materials. The vacuum chamber was initially pumped to a pressure of 5 × 10−6 Torr before evaporation. A working pressure of approximately 1 × 10−5 Torr was maintained throughout the evaporating process. The distance between the powder and the substrate was 20 cm. The powders were heated using an electron beam that was collimated from the DC heated cathode of a tungsten filament. The surface of the powders was scanned using a 270° deflected electron beam at an accelerating voltage of 4 kV. The thickness of the films and the deposition rate were controlled using the quartz crystal monitor. Prior to evaporation, a pre-evaporating process was performed for 5 min to remove contaminants from the powder.
MCMB/ITO glass was used as the substrate. Continuous rotation of the substrates during the deposition process facilitated the formation of homogeneous and uniform films on the substrate surface. The evaporation rate of 0.5 nm·s−1 was adopted to deposit all films. The preparation flow diagram of composite electrodes is shown in Figure 1.
Figure 1.
The preparation flow diagram of the composite electrode.
2.3. Characterization and Electrochemical Properties
The crystalline structure of the films was analyzed using X-ray diffraction (XRD, PANalytical X’Pert PRO, Almelo, Netherlands) with Cu Kα radiation (λ = 0.1542 nm). Step scans performed at a scan rate of 3°·min−1 were performed in the 2θ ranged from 10° to 70°. The thickness and surface microstructures of the films were investigated using a scanning electron microscope (SEM, ZEISS, Auriga-39-50, Oberkochen, Germany). The characterization of the electrochemical properties was conducted in a 2-electrode cell by using an electrochemical analyzer (CHI, 6273B, Austin, TX, USA). The CVs curves were used to analyze the voltage and current changes, which used 1 M Et4NBF4 as an electrolyte and scanned at a scan rate of 25 mV·s−1 and at a voltage range of ·3 V to 3 V. The following equation was used to calculate the specific capacitance [15]:
where is the hysteresis loop area, υ is the scan rate, ΔV is the range of potential, and m is the total weight of the electrode material.
3. Results and Discussion
Figure 2 shows that the carbon electrode prepared using the MCMB was in an amorphous state. According to the JCPDS cards, peaks at 37.2° and 43.2° of 2θ correspond to the (111) and (200) diffractions of NiO (JCPDS files: 20-1324) deposited on the carbon electrode. However, there were not obvious diffraction peaks for WO3 deposited on the carbon electrode; therefore, it was in an amorphous state. Because WO3 films were deposited at R.T., the amount of energy was insufficient to induce crystalline growth.
Figure 2.
X-ray patterns of the composite electrodes: (a) ITO/glass substrate; (b) MCMB/ITO/glass; (c) NiO/MCMB/ITO/glass; (d) WO3/MCMB/ITO/glass.
Figure 3 shows the morphologies of a layer NiO deposited on the activated carbon surface. The WO3 films deposited on the activated carbon are round rock structures as shown in Figure 4. Cracks are visible on the WO3 films. The MCMB has a high specific surface area and porosity. The thickness of the metal oxide (WO3 or NiO) films deposited on the MCMB surface is about 500 nm via electron beam evaporation. This caused cracks, but a high power density of the supercapacitor with composite structure electrodes was obtained. Electrochemical measurements were conducted in a 2-electrode disc-type cell (capacitor), in which a separator was soaked in 1 M Et4NBF4 and inserted between the two carbon electrodes. A voltage ranges of −3.0 to 3.0 V was applied.
Figure 3.
SEM morphologies and EDS of the NiO thin films deposited on the carbon electrode: (a) the magnification of 1000× (b) the magnification of 30,000×.
Figure 4.
SEM morphologies and EDS of the WO3 thin films deposited on the carbon electrode: (a) the magnification of 1000× (b) the magnification of 30,000×.
While at lower scan rates all the active surface area can be utilized for charge storage [16]. Therefore, a smooth current peak was obtained. However, the current peak increased with the increasing scan rate. As the scan rate of the CVs gradually increased, the shape of the CVs changed from rectangular to ovular. In Figure 5, when the scan rate was 25–200 mV·s−1, carbon electrodes and composite electrodes exhibited a similar hysteresis area of CVs. However, when the scan rate exceeded 250 mV·s−1, the hysteresis area of the CVs of the composite electrodes was larger than that of the carbon electrodes. The composite electrode, on which NiO was deposited, exhibited a larger hysteresis area.
Figure 5.
CVs of the carbon electrodes and the composite electrodes in 1M Et4NBF4 solution at various scan rates: (a) 25 mV/s (b) 50 mV/s (c) 100 mV/s (d) 200 mV/s (e) 250 mV/s (f) 500 mV/s.
Table 1 shows the specific capacitances that were calculated using Equation (1) at various scan rates of CVs. Specific capacitances decreased gradually when scan rates increased, as shown in Figure 6. When the voltage scan rate was slower, a chemical adsorption/desorption or redox reaction occurred on the surfaces of the electrodes, enabling electrolyte ions to migrate into the inner pores of the electrodes. The ions may not have had enough time to reach the surface of the capacitor electrode at a high scan rate. However, when the scan rate was slower, the redox reaction occurred on the surfaces of the electrodes, enabling ions to migrate into the inner pores of the electrodes. Therefore, a low scan rate demonstrates a better specific capacitance for devices. As a result, when the electrode with a large specific surface area is adopted, the specific capacitance is increased [17,18,19].
Table 1.
The specific capacitance (F·g−1) of the composite electrode at various scan rates.
Figure 6.
Specific capacitances of the carbon electrodes and the composite electrodes at various scan rates.
When the scan rate was lower than 200 mV·s−1, the specific capacitance of the carbon electrodes was larger than the specific capacitance of the composite electrodes. The specific capacitance of the composite electrodes was larger when the scan rate was larger than 250 mV·s−1. Because metal oxide was deposited only on the surface of the MCMB, a section of the pores was blocked, and the specific capacitance of the composite electrodes was smaller than the specific capacitance of the carbon electrodes. However, a chemical adsorption/desorption or redox reaction occurred on the surfaces of the electrodes at a high scan rate; therefore, the capacitance was excellent.
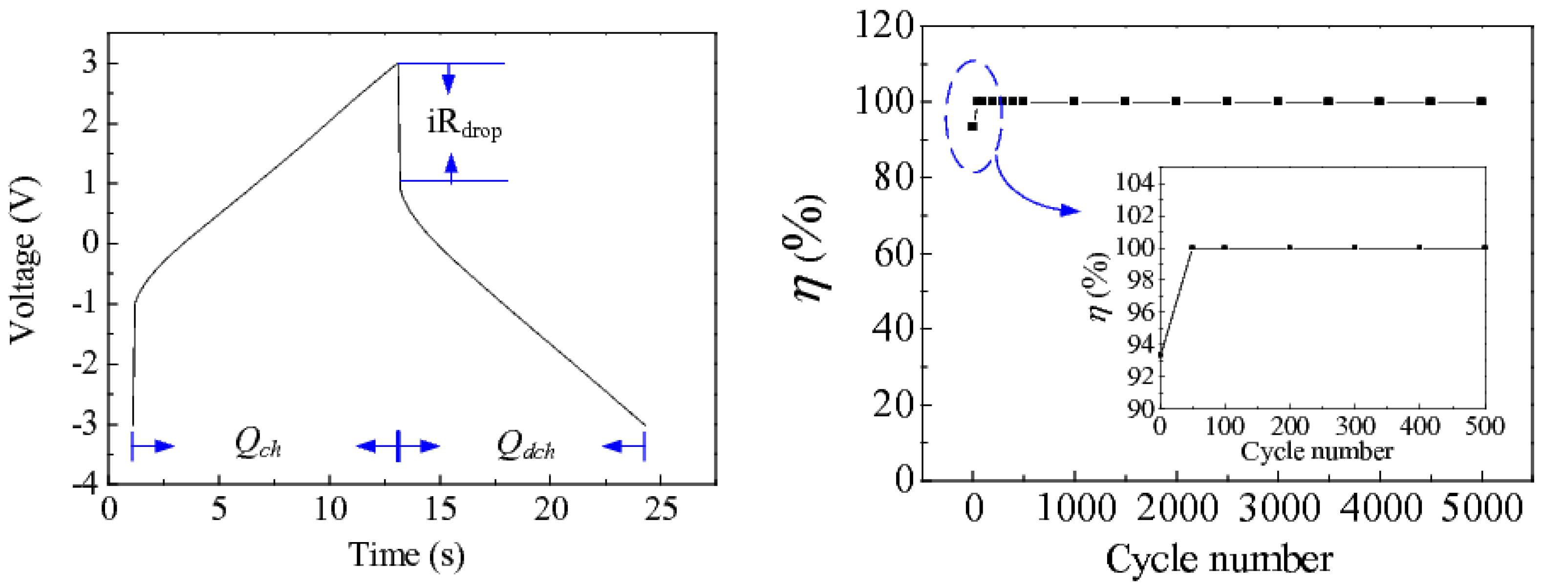
The charging and discharging curves of the NiO/MCMB electrodes at R.T. in a voltage range of −3 to 3 V at a constant current density of 6 A·g−1 is shown in Figure 7a. The equivalent series resistance (ESR) of the devices was calculated according to the following equation [20]:
where I (ampere of 0.03 A) is the discharge current, and iRdrop (volts of 2 V) is defined as the electrical potential difference between the two ends of a conducting phase during charging/discharging. The ESR is calculated as 33.3 Ω (I = 0.03 A, iRdrop = 2 V).
Figure 7.
(a) Charging and discharging curves of the NiO/MCMB elextrodes (b) The relation of charge/discharge (η) and life-times in the NiO/MCMB elextrode.
The electrochemical stability of the NiO/MCMB electrodes was also studied. Figure 7b shows the composite electrode test charge/discharge efficiently (η) at 5000 cycles. The following equation was used to calculate the charge/discharge efficiently:
where Qdch is the discharge capacity (Coulomb), Qch is the charge capacity, tdch is the discharge time, tch is the charge time.
The results show that the first charge/discharge efficiency was 93%. As the charge/discharge times increased, the charge/discharge efficiency gradually increased. The charge/discharge efficiency was near 100% after 10 cycles. After 5000 cycles, good adhesion was retained between the electrode material and the substrates.
4. Conclusions
In this study, the carbon electrode was prepared via spin coating. Furthermore, the transition metal oxide was deposited on the surface of the electrode via electron beam evaporation, because this method produces composite electrodes with a shorter process time and less pollution than other methods.
Although the specific capacitance of a supercapacitor cannot be enhanced, the capacitance characteristics of the supercapacitor at a high scan rate can be improved. When the scan rate increased from 25 mV·s−1 to 500 mV·s−1, the hysteresis area of the CVs increased, and the shape of the CVs changed from rectangular to ovular, but the specific capacitance gradually decreased. The specific capacitance of the carbon electrode decreased from 221.5 Fg−1 to 26.7 Fg−1; therefore, the rate of decline was 88%. The specific capacitance of the NiO/MCMB composite electrode decreased from 187.2 Fg−1 to 41.2 Fg−1, which resulted in a 78% rate of decline. The specific capacitance of the composite WO3/MCMB electrode decreased from 194.8 Fg−1 to 39.3 Fg−1; therefore, the rate of decline was 80%. As a result, the composite electrodes reduced the rate of decline as the scan rate increased. In addition, the charge/discharge efficiency was close to 100% after 5000 cycles, and the composite electrodes retained strong adhesion between the electrode material and the substrate.
Acknowledgments
This study was supported by the Ministry of Science and Technology of the Republic of China, Taiwan, under contract number MOST 104-2221-E-230-008.
Author Contributions
Chih-Yu Wen conceived and designed the experiments; Chih-Ming Wang and Ying-Chung Chen supervised the project; Chia-Wei Ho performed the experiments; Ying-Lin Chen and Shih-Yuan Lin analyzed the data; Chih-Ming Wang contributed reagents/materials/analysis tools; Chih-Yu Wen wrote the paper.
Conflicts of Interest
The authors declare no conflict of interest.
References
- Inagaki, M.; Konno, H.; Tanaike, O. Carbon materials for electrochemical capacitors. J. Power Source 2010, 195, 7880–7903. [Google Scholar] [CrossRef]
- Fritts, D.H. An analysis of electrochemical capacitors. J. Electrochem. Soc. 1997, 144, 2233–2241. [Google Scholar] [CrossRef]
- Beliakov, A.I.; Brintsev, A.M. Proceedings of the 9th International Seminar on Double Layer Capacitors and Similar Energy Storage Devices, Deerfield Beach, FL, USA, 6–8 December 1999.
- Ma, Y.; Tai, C.-W.; Gustafsson, T.; Edström, K. Recycled poly(vinyl alcohol) sponge for carbon encapsulation of size-tunable tin dioxide nanocrystalline composites. ChemSusChem 2015, 8, 2084–2092. [Google Scholar] [CrossRef] [PubMed]
- Ma, Y.; Tai, C.-W.; Younesi, R.; Gustafsson, T.; Lee, J.-Y.; Edström, K. Iron doping in spinel NiMn2O4: stabilization of the mesoporous cubic phase and kinetics activation toward highly reversible Li+ storage. Chem. Mater. 2015, 27, 7698–7709. [Google Scholar] [CrossRef]
- Brunauer, S.; Emmett, P.H.; Teller, E. Adsorption of gases in multimolecular layers. J. Am. Chem. Soc. 1938, 60, 309–319. [Google Scholar] [CrossRef]
- Takasu, Y.; Mizutani, S.; Kumagai, M.; Sawaguchi, S.; Murakami, Y. Ti-V-W-O/Ti oxide electrodes as candidates for electrochemical capacitors. Electrochem. Sol. State Lett. 1999, 2, 1–2. [Google Scholar] [CrossRef]
- Jeong, Y.-U.; Manthiram, A. Amorphous tungsten oxide/ruthenium oxide composites for electrochemical capacitors. J. Electrochem. Soc. 2001, 148, A189–A193. [Google Scholar] [CrossRef]
- Chang, K.-H.; Hu, C.-C.; Huang, C.-M.; Liu, Y.-L.; Chang, C.-I. Microwave-assisted hydrothermal synthesis of crystalline WO3–WO3·0.5H2O mixtures for pseudocapacitors of the asymmetric type. J. Power Source 2011, 196, 2387–2392. [Google Scholar] [CrossRef]
- Yuan, G.-H.; Jiang, Z.-H.; Aramata, A.; Gao, Y.Z. Electrochemical behavior of activated-carbon capacitor material loaded with nickel oxide. Carbon 2005, 43, 2913–2917. [Google Scholar] [CrossRef]
- Wu, M.-S.; Wang, M.-J.; Jow, J.-J. Fabrication of porous nickel oxide film with open macropores by electrophoresis and electrodeposition for electrochemical capacitors. J. Power Source 2010, 195, 3950–3955. [Google Scholar] [CrossRef]
- Huang, C.-C.; Xing, W.; Zhuo, S.-P. Capacitive performances of amorphous tungsten oxide prepared by microwave irradiation. Scr. Mater. 2009, 61, 985–987. [Google Scholar] [CrossRef]
- Miyake, K.; Kaneko, H.; Sano, M.; Suedomi, N. Physical and electrochromic properties of the amorphous and crystalline tungsten oxide thick films prepared under reducing atmosphere. J. Appl. Phys. 1984, 55, 2747–2753. [Google Scholar] [CrossRef]
- Wu, N.-L.; Wang, S.-Y. Conductivity percolation in carbon–carbon supercapacitor electrodes. J. Power Source 2002, 110, 233–236. [Google Scholar] [CrossRef]
- Bard, A.J.; Faulkner, L.R. Electrochemical Principles, Methods, and Applications; Oxford University: Oxford, UK, 1996. [Google Scholar]
- Landgrebe, A.R. Power Sources for Transportation Applications: Proceedings of the International Symposium; The Electrochemical Society: Pennington, NJ, USA, 2004; 2003-24; pp. 1–252. [Google Scholar]
- Zheng, J.-P.; Jow, T.-R. A new charge storage mechanism for electrochemical capacitors. J Electrochem. Soc. 1995, 142, L6–L8. [Google Scholar] [CrossRef]
- Srinivasan, V.; Weidner, J.W. An electrochemical route for making porous nickel oxide electrochemical capacitors. J Electrochem. Soc. 1997, 144, L210–L213. [Google Scholar] [CrossRef]
- Lin, C.; Ritter, J.A.; Popov, B.N. Development of carbon-metal oxide supercapacitors from Sol-Gel derived carbon-ruthenium xerogels. J. Electrochem. Soc. 1999, 146, 3155–3160. [Google Scholar] [CrossRef]
- Meng, C.; Liu, C.; Chen, L.; Hu, C.; Fan, S. Highly flexible and all-solid-state paperlike polymer supercapacitors. Nano Lett. 2010, 10, 4025–4031. [Google Scholar] [CrossRef] [PubMed]
© 2016 by the authors; licensee MDPI, Basel, Switzerland. This article is an open access article distributed under the terms and conditions of the Creative Commons Attribution (CC-BY) license (http://creativecommons.org/licenses/by/4.0/).






