Rate-Dependent Fracturing Mechanisms of Granite Under Different Levels of Initial Damage
Abstract
1. Introduction
2. Materials and Experimental Methodology
2.1. Specimen Preparation and Test Apparatus
2.2. Preparation of IDGS
2.3. Testing Procedure
3. Test Results
3.1. Mechanical Parameters of Granite Under the Combined Impact of Initial Damage and Loading Rate
3.1.1. Evolution of Stress–Strain Behavior and Peak Strength
3.1.2. Stress Threshold and Elastic Modulus
3.1.3. Failure Modes
3.2. Strain Energy Characteristics
3.3. AE Time–Frequency Domain Characteristics of IDGS Under Different Loading Rates
3.3.1. AE Count Characteristics
3.3.2. Crack Propagation Pattern Analysis
3.3.3. Characteristics of the b-Value
3.3.4. AE Dominant Frequency Distribution and Energy Characteristics
3.3.5. Characteristics of the Entropy Value
3.4. AE Multifractal Features of IDGS Corresponding to Various Loading Rates
4. Discussion
4.1. The Interactive Effects of Loading Rate and Initial Damage on the Mechanical Performance and Cracking Characteristics of Granite
4.2. Occurrence Time and Precursory Warning of Catastrophic Failure of IDGS
4.3. Future Directions in Rock Failure Mechanisms and Initial Damage
5. Conclusions
- Granite exhibits an initial reduction followed by a subsequent increase in both strength and elastic modulus as the loading rate rises. Specifically, the peak strength reaches its minimum at 0.12 mm/min and its maximum at 3 mm/min, with a decrease of approximately 4.04% and an increase of about 9.94%, respectively, compared to 0.06 mm/min. An increase in loading rate leads to strength weakening, which opposes the conventional behavior of enhanced strength at higher strain rates. At the minimum strength, Ud/Ut peaks while Ue/Ut reaches its lowest value. The underlying reason is that when cracks have adequate time to evolve, elevated loading rates promote both crack initiation and propagation. Strength and elastic modulus are minimally influenced by initial damage, with UCS variations ranging from −5.12% to +5.31% across different damage levels. At higher loading rates, the dependence of stress thresholds on initial damage weakens. The IDGS failure pattern is largely dictated by loading rate, with only minor influence from initial damage levels.
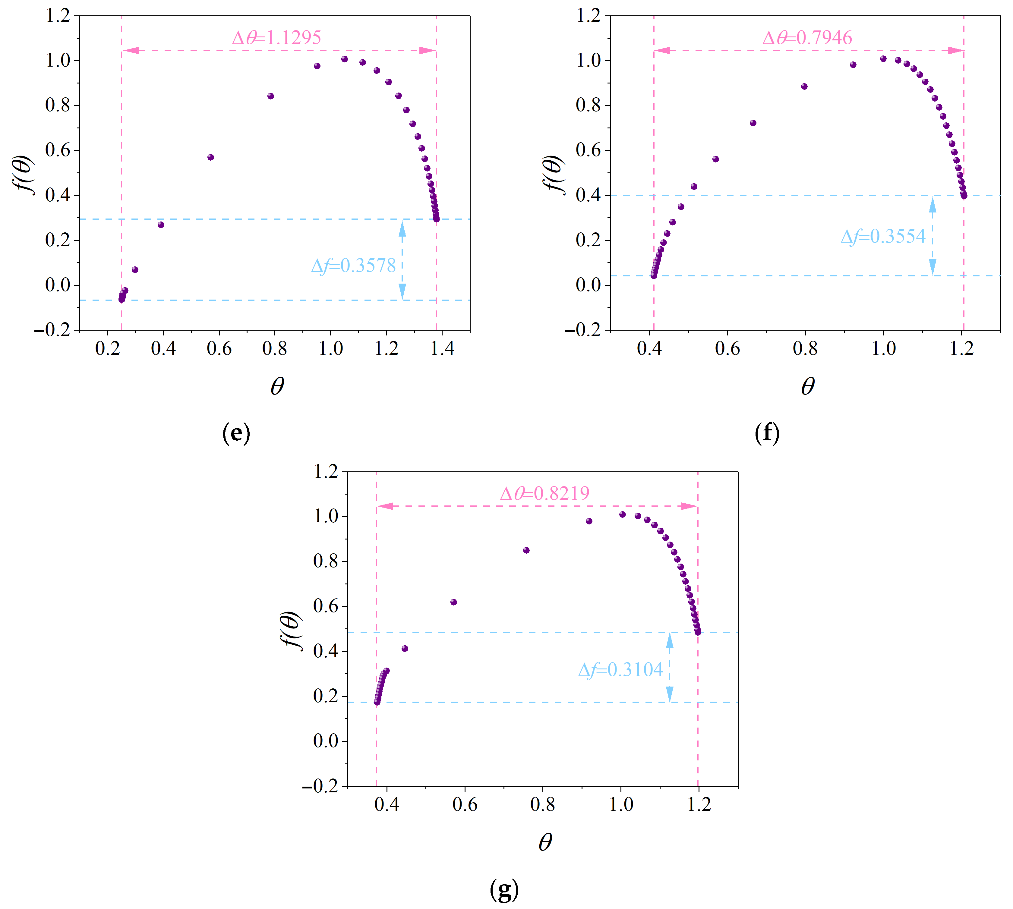
- The AE counts, RA/AF values, b-values, and entropy of all IDGSs exhibit pronounced stage-dependent features and contain precursory information for rock failure. Initial damage mainly affects crack activity during the compaction stage. The proportion of mid and low dominant frequencies varies with loading rate in the same trend as peak strength. AE time-series data display multifractal characteristics. With increasing loading rate, Δθ generally rises, while Δf follows an N-shaped trend.
- The interactive effects of initial damage and loading rate on granite mechanical behavior are elucidated. Higher initial damage increases microcrack complexity and alters crack numbers. This mainly affects local and compaction-stage crack activity, while the loading rate controls the primary modes and numbers of crack initiation and propagation. Loading rate and mineral heterogeneity, specifically grain size and spatial arrangement, primarily govern granite’s mechanical properties and fracture characteristics, while initial damage has a limited influence.
- Granite’s failure time in uniaxial compression tests follows an inverse exponential trend with respect to the applied loading rate (tf = 82.32 × v−0.97). A higher loading rate leads to faster failure, and the failure time gradually approaches a stable value. Initial damage exerts minimal effect on the failure time. The sensitivity of precursor responses differs among AE parameters, following the order of cumulative RA/AF value > cumulative AE counts > b-value > entropy.
Author Contributions
Funding
Data Availability Statement
Conflicts of Interest
Abbreviations
| IDGSs | Initial damage granite samples |
| IDGS | Initial damage granite sample |
| AE | Acoustic emission |
| XRD | X-ray diffraction |
| IDV | Initial damage variable |
| UCS | Uniaxial compressive strength |
| E | Elastic modulus |
| Eu | Unloading modulus |
| UL | Uniaxial loading |
| UGCLU | Uniaxial graded cyclic loading and unloading |
| UMCL | Uniaxial multi-level cyclic loading |
| TMCL | Triaxial multi-stage creep loading |
| SCLU | Single-cycle loading and unloading |
| HCPCL | High confining pressure cyclic loading |
| CIL | Cyclic impact loading |
| UCLU | Uniaxial cyclic loading and unloading |
| IC | Initial cracks |
| PB | Prefabricated borehole |
| PSF | Prefabricated single flaw |
References
- Zhai, M.Y.; Xu, C.; Xue, L.; Cui, Y.; Dong, J.Y. Loading rate dependence of staged damage behaviors of granite under uniaxial compression: Insights from acoustic emission characteristics. Theor. Appl. Fract. Mech. 2022, 122, 103633. [Google Scholar] [CrossRef]
- Miao, Y.C.; Wu, H.K.; Bai, K.L.; Lai, Z.C.; Shuang, C.; Liu, C.W. Mechanical behaviors and damage constitutive model of pre-damaged and saturated granites under uniaxial compression. B Eng. Geol. Environ. 2024, 83, 270. [Google Scholar] [CrossRef]
- Yan, P.; Lu, W.-b.; Chen, M.; Hu, Y.-g.; Zhou, C.-b.; Wu, X.-x. Contributions of In-Situ Stress Transient Redistribution to Blasting Excavation Damage Zone of Deep Tunnels. Rock Mech. Rock Eng. 2015, 48, 715–726. [Google Scholar] [CrossRef]
- Li, H.B.; Liu, M.C.; Xing, W.B.; Shao, S.; Zhou, J.W. Failure Mechanisms and Evolution Assessment of the Excavation Damaged Zones in a Large-Scale and Deeply Buried Underground Powerhouse. Rock Mech. Rock Eng. 2017, 50, 1883–1900. [Google Scholar] [CrossRef]
- Hou, R.B.; Zhang, K.; Tao, J.; Xue, X.R.; Chen, Y.L. A Nonlinear Creep Damage Coupled Model for Rock Considering the Effect of Initial Damage. Rock Mech. Rock Eng. 2019, 52, 1275–1285. [Google Scholar] [CrossRef]
- Sun, B.; Yang, P.; Zhang, Z.H.; Wang, S.Y.; Zeng, S. Investigation of the Fracture Characteristics of Rock Mass After Thermal-Mechanical Damage Coupling. Rock Mech. Rock Eng. 2024, 57, 4707–4727. [Google Scholar] [CrossRef]
- Vaneghi, R.G.; Thoeni, K.; Dyskin, A.V.; Sharifzadeh, M.; Sarmadivaleh, M. Fatigue damage response of typical crystalline and granular rocks to uniaxial cyclic compression. Int. J. Fatigue 2020, 138, 105667. [Google Scholar] [CrossRef]
- Ran, Q.C.; Liang, Y.P.; Zou, Q.L.; Zhang, B.C. Asymmetric characteristics “three-field” in overburden of inclined coal seam groups and target extraction mechanism. Coal Sci. Technol. 2024, 52, 177–192. [Google Scholar]
- Dai, J.H.; Gong, F.Q.; Xu, L. Rockburst criterion and evaluation method for potential rockburst pit depth considering excavation damage effect. J. Rock Mech. Geotech. Eng. 2024, 16, 1649–1666. [Google Scholar] [CrossRef]
- Kaiser, P.; Diederichs, M.; Martin, C.; Sharp, J.; Steiner, W. Underground works in hard rock tunnelling and mining. Presented at the ISRM International Symposium, Melbourne, Australia, 19–24 November 2000. [Google Scholar]
- Zhao, K.; Yu, X.; Zhou, Y.; Wang, Q.; Wang, J.Q.; Hao, J.L. Energy evolution of brittle granite under different loading rates. Int. J. Rock Mech. Min. Sci. 2020, 132, 104392. [Google Scholar] [CrossRef]
- Shao, Y.L.; Zhao, Q.; Liu, C.C.; Mehrishal, S.; Song, J.J. Effects of Loading Rate on Catastrophic Rock Failure: How and When? Insights from 4D In-Situ Compression Experiments on Shale Samples. Rock Mech. Rock Eng. 2025, 58, 7235–7258. [Google Scholar] [CrossRef]
- Wasantha, P.L.P.; Ranjith, P.G.; Zhao, J.; Shao, S.S.; Permata, G. Strain Rate Effect on the Mechanical Behaviour of Sandstones with Different Grain Sizes. Rock Mech. Rock Eng. 2015, 48, 1883–1895. [Google Scholar] [CrossRef]
- Ran, Q.C.; Liang, Y.P.; Yang, Z.L.; Zou, Q.L.; Ye, C.F.; Tian, C.L.; Wu, Z.P.; Zhang, B.C.; Wang, W.Z. Deterioration mechanisms of coal mechanical properties under uniaxial multi-level cyclic loading considering initial damage effects. Int. J. Rock Mech. Min. Sci. 2025, 186, 106006. [Google Scholar] [CrossRef]
- Zhao, K.; Zhang, L.; Yang, D.X.; Jin, J.F.; Zeng, P.; Wang, X.; Ran, S.H.; Deng, D.M. Cyclic Impact Damage and Water Saturation Effects on Mechanical Properties and Kaiser Effect of Red Sandstone Under Uniaxial Cyclic Loading and Unloading Compression. Rock Mech. Rock Eng. 2024, 57, 181–195. [Google Scholar] [CrossRef]
- Yang, D.J.; Hu, J.H.; Ma, S.W.; Zeng, P.P. Analysis of dynamic fracture of granite after uniaxial recompression predamaged by high confining pressure cyclic loading based on acoustic emission. Eng. Fract. Mech. 2022, 266, 108414. [Google Scholar] [CrossRef]
- Li, S.G.; Chen, G.F.; Shuang, H.Q.; Lin, H.Q.; Zhao, P.X. Experimental study on effect of loading rate and initial damage on energy evolution of sandstone. J. Min. Saf. Eng. 2019, 36, 373–380. [Google Scholar]
- Wang, X.H.; Zhang, S.R.; Wang, C.; Liu, F.C.; Song, R.; Wei, P.Y. Initial damage effect on dynamic compressive behaviors of roller compacted concrete (RCC) under impact loadings. Constr. Build. Mater. 2018, 186, 388–399. [Google Scholar] [CrossRef]
- Huang, P.; Zhang, J.X.; Spearing, A.J.S.; Chai, J.; Dong, C.W. Experimental study of the creep properties of coal considering initial damage. Int. J. Rock Mech. Min. Sci. 2021, 139, 104629. [Google Scholar] [CrossRef]
- Wang, X.R.; Wang, E.Y.; Liu, X.F.; Zhou, X. Failure mechanism of fractured rock and associated acoustic behaviors under different loading rates. Eng. Fract. Mech. 2021, 247, 107674. [Google Scholar] [CrossRef]
- Zhao, Y.; Bi, J.; Wang, C.L.; Liu, P.F. Effect of Unloading Rate on the Mechanical Behavior and Fracture Characteristics of Sandstones Under Complex Triaxial Stress Conditions. Rock Mech. Rock Eng. 2021, 54, 4851–4866. [Google Scholar] [CrossRef]
- Du, H.B.; Dai, F.; Liu, Y.; Xu, Y.; Wei, M.D. Dynamic response and failure mechanism of hydrostatically pressurized rocks subjected to high loading rate impacting. Soil. Dyn. Earthq. Eng. 2020, 129, 105927. [Google Scholar] [CrossRef]
- Geng, Y.; Li, X.B.; Li, D.Y.; Li, Z.; Liu, Z.D.; Ma, J.S.; Zhu, Q.Q. Effects of loading rate and axial pre-load on mode I fracture parameters and failure micromechanisms of hard rock. Theor. Appl. Fract. Mech. 2026, 141, 105291. [Google Scholar] [CrossRef]
- Yu, M.; Li, S.H.; Sun, Q.Y.; Wang, S. Influence of grain size on the strain-rate-dependent dynamic response of sandstones. Geomech. Geophys. Geo-Energy Geo-Resour. 2021, 7, 74. [Google Scholar] [CrossRef]
- Zhou, Y.Q.; Sheng, Q.; Li, N.N.; Fu, X.D. The Influence of Strain Rate on the Energy Characteristics and Damage Evolution of Rock Materials Under Dynamic Uniaxial Compression. Rock Mech. Rock Eng. 2020, 53, 3823–3834. [Google Scholar] [CrossRef]
- Ma, Q.; Tan, Y.L.; Liu, X.S.; Zhao, Z.H.; Fan, D.Y.; Purev, L. Experimental and numerical simulation of loading rate effects on failure and strain energy characteristics of coal-rock composite samples. J. Cent. South Univ. 2021, 28, 3207–3222. [Google Scholar] [CrossRef]
- Yan, Z.L.; Wu, W.; Dai, F.; Liu, Y. Dynamic Mechanical Response and Damage Constitutive Model of Multi-flawed Rocks Under High Strain Rates. Rock Mech. Rock Eng. 2023, 56, 4405–4425. [Google Scholar] [CrossRef]
- Gong, F.Q.; Ni, Y.X.; Ren, L. Effects of Loading Rate on Rockburst Proneness of Granite from Energy Storage and Surplus Perspectives. Rock Mech. Rock Eng. 2022, 55, 6495–6516. [Google Scholar] [CrossRef]
- Liu, Z.D.; Li, D.Y.; Zhang, Z.X.; Zhang, C.X.; Zhu, Q.Q. An experimental study of fracture mechanism and morphology of granite specimens under various dynamic loading rates. Theor. Appl. Fract. Mech. 2024, 134, 104687. [Google Scholar] [CrossRef]
- Lu, Z.G.; Ju, W.J.; Gao, F.Q.; Yi, K. Influence of Loading Rate on the Failure Characteristics of Composite Coal-Rock Specimens Under Quasi-static Loading Conditions. Rock Mech. Rock Eng. 2022, 55, 909–921. [Google Scholar] [CrossRef]
- Xu, R.C.; Zhang, S.Z.; Li, Z.; Yan, X.M. Experimental investigation of the strain rate effect on crack initiation and crack damage thresholds of hard rock under quasi-static compression. Acta Geotech. 2023, 18, 903–920. [Google Scholar] [CrossRef]
- Xing, H.Z.; Zhang, Q.B.; Zhao, J. Stress Thresholds of Crack Development and Poisson’s Ratio of Rock Material at High Strain Rate. Rock Mech. Rock Eng. 2018, 51, 945–951. [Google Scholar] [CrossRef]
- Zhu, J.; Deng, J.H.; Huang, Y.M.; Liu, T.; Ma, Y.J. Study of loading rate effect on characteristic stresses of marble. J. Harbin Inst. Tech. 2020, 52, 75–81. [Google Scholar]
- Liu, X.H.; Hao, Q.J.; Hu, A.K.; Zheng, Y. Study on determination of uniaxial characteristic stress of coal rock under quasi-static strain rate. Chin. J. Rock Mech. Eng. 2020, 39, 2038–2046. [Google Scholar]
- Li, H.B.; Liu, L.W.; Fu, S.Y.; Liu, B.; Li, X.F. Rate-dependent strength and crack damage thresholds of rocks at intermediate strain rate. Int. J. Rock Mech. Min. Sci. 2023, 171, 105590. [Google Scholar] [CrossRef]
- Ma, Q.; Liu, X.L.; Tan, Y.L.; Wang, R.S.; Xie, W.Q.; Wang, E.Z.; Liu, X.S.; Shang, J.L. Experimental Study of Loading System Stiffness Effects on Mechanical Characteristics and Kinetic Energy Calculation of Coal Specimens. Rock Mech. Rock Eng. 2024, 57, 9941–9957. [Google Scholar] [CrossRef]
- Jiang, X.Y.; Wu, D.; Zhao, Z.X.; Yang, Y.; Tian, J.W.; Wang, F.L. Experimental and numerical study on the damage evolution and acoustic emission multi-parameter responses of single flaw sandstone under uniaxial compression. Theor. Appl. Fract. Mech. 2024, 133, 104535. [Google Scholar] [CrossRef]
- Shan, P.F.; Gao, J.M.; Lai, X.P.; Sun, H.Q.; Yang, P.; Dai, J.J. Study on acoustic emission rate response of coal samples considering initial damage difference. J. Min. Saf. Eng. 2023, 40, 798–808. [Google Scholar]
- Chen, B.K.; Zhang, Z.Q.; Lan, Q.N.; Liu, Z.; Tan, Y.J. Experiment Study on Damage Properties and Acoustic Emission Characteristics of Layered Shale under Uniaxial Compression. Materials 2023, 16, 4317. [Google Scholar] [CrossRef]
- Liu, H.D.; Liu, C.Y.; Yue, X.; Wang, J. Study on mechanical properties and acoustic emission characteristics of mudstone-clay composites under uniaxial compression. Eng. Geol. 2024, 332, 107478. [Google Scholar] [CrossRef]
- Yu, H.C.; Wang, Z.R.; Feng, W.K.; Wang, Z.R.; Niu, R.; Cheng, G.L. Experimental study on the effect of anchors on the creep mechanical properties and acoustic emission characteristics of fractured sandstone under uniaxial compression. Theor. Appl. Fract. Mech. 2023, 126, 103995. [Google Scholar] [CrossRef]
- Wang, S.S.; Yang, S.Q.; Zhang, Q.; Shen, W.Q.; Zhang, J.C.; Huang, Q.F. A modified phase-field model simulating multiple cracks propagation of fissured rocks under compressive or compressive-shear conditions. Theor. Appl. Fract. Mech. 2024, 133, 104549. [Google Scholar] [CrossRef]
- Spetz, A.; Denzer, R.; Tudisco, E.; Dahlblom, O. A Modified Phase-Field Fracture Model for Simulation of Mixed Mode Brittle Fractures and Compressive Cracks in Porous Rock. Rock Mech. Rock Eng. 2021, 54, 5375–5388. [Google Scholar] [CrossRef]
- Liu, P.; Liu, Q.S.; Deng, P.H.; Bo, Y.; Xie, X.Q. A Novel Mixed-Mode Power Exponent Cohesive Zone Model for FDEM and Its Application to Tunnel Excavation in the Layered Rock Mass. Rock Mech. Rock Eng. 2024, 57, 1219–1243. [Google Scholar] [CrossRef]
- Ma, S.Z.; Liu, K.W.; Guo, T.F.; Yang, J.C.; Li, X.D.; Yan, Z.X. Experimental and numerical investigation on the mechanical characteristics and failure mechanism of cracked coal & rock-like combined sample under uniaxial compression. Theor. Appl. Fract. Mech. 2022, 122, 103583. [Google Scholar] [CrossRef]
- Atiezo, M.K.; Chen, W.; Dascalu, C. Loading rate effects on dynamic failure of quasi-brittle solids: Simulations with a two-scale damage model. Theor. Appl. Fract. Mech. 2019, 100, 269–280. [Google Scholar] [CrossRef]
- Zhou, L.; Zhu, Z.M.; Qiu, H.; Zhang, X.S.; Lang, L. Study of the effect of loading rates on crack propagation velocity and rock fracture toughness using cracked tunnel specimens. Int. J. Rock Mech. Min. Sci. 2018, 112, 25–34. [Google Scholar] [CrossRef]
- Zou, C.J.; Li, H.Q. Combined numerical and experimental studies on the dynamic and quasi-static failure modes of brittle rock. Int. J. Rock Mech. Min. Sci. 2021, 148, 104957. [Google Scholar] [CrossRef]
- Aydan, O.; Ito, T.; Ozbay, U.; Kwasniewski, M.; Shariar, K.; Okuno, T.; Ozgenoglu, A.; Malan, D.F.; Okada, T. ISRM Suggested Methods for Determining the Creep Characteristics of Rock. Rock Mech. Rock Eng. 2014, 47, 275–290. [Google Scholar] [CrossRef]
- Martin, C.D.; Chandler, N.A. The progressive fracture of Lac du Bonnet granite. Int. J. Rock Mech. Min. Sci. Geomech. Abstr. 1994, 31, 643–659. [Google Scholar] [CrossRef]
- Kim, J.S.; Lee, K.S.; Cho, W.J.; Choi, H.J.; Cho, G.C. A Comparative Evaluation of Stress-Strain and Acoustic Emission Methods for Quantitative Damage Assessments of Brittle Rock. Rock Mech. Rock Eng. 2015, 48, 495–508. [Google Scholar] [CrossRef]
- Zhang, Z.H.; Tang, C.A. A Novel Method for Determining the Crack Closure Stress of Brittle Rocks Subjected to Compression. Rock Mech. Rock Eng. 2020, 53, 4279–4287. [Google Scholar] [CrossRef]
- Nicksiar, M.; Martin, C.D. Evaluation of Methods for Determining Crack Initiation in Compression Tests on Low-Porosity Rocks. Rock Mech. Rock Eng. 2012, 45, 607–617. [Google Scholar] [CrossRef]
- Palchik, V.; Hatzor, Y.H. Crack damage stress as a composite function of porosity and elastic matrix stiffness in dolomites and limestones. Eng. Geol. 2002, 63, 233–245. [Google Scholar] [CrossRef]
- Jia, Z.; Cheng, J.C.; Wang, L.J.; Pan, R.H.; Hainar, T.; Liu, Y.T.; Xue, D.J. On AE-Based Classification of the Real-Time Damage Evolution of Granite under Equal-Amplitude Multi-Stage Cyclic Loading-Unloading Test: A New Example to Recognize the Hybrid Tension-Shear Failure. Rock Mech. Rock Eng. 2025, 58, 3197–3225. [Google Scholar] [CrossRef]
- Guo, J.S.; Zong, D.Y.; Ma, L.Q. Creep damage characteristics and constitutive model of pre-damage coal. Eng. Fail. Anal. 2024, 158, 108002. [Google Scholar] [CrossRef]
- Xue, L.; Qin, S.Q.; Sun, Q.; Wang, Y.Y.; Lee, L.; Li, W.C. A Study on Crack Damage Stress Thresholds of Different Rock Types Based on Uniaxial Compression Tests. Rock Mech. Rock Eng. 2014, 47, 1183–1195. [Google Scholar] [CrossRef]
- Fairhurst, C.E.; Hudson, J.A. Draft ISRM suggested method for the complete stress-strain curve for intact rock in uniaxial compression. Int. J. Rock Mech. Min. Sci. 1999, 36, 281–289. [Google Scholar]
- Xie, H.P.; Li, L.Y.; Ju, Y.; Peng, R.D.; Yang, Y.M. Energy analysis for damage and catastrophic failure of rocks. Sci. China Technol. Sci. 2011, 54, 199–209. [Google Scholar] [CrossRef]
- Huang, D.; Huang, R.Q.; Zhang, Y.X. Experimental investigations on static loading rate effects on mechanical properties and energy mechanism of coarse crystal grain marble under uniaxial compression. Chin. J. Rock Mech. Eng. 2012, 31, 245–255. [Google Scholar]
- Liang, C.Y.; Wu, S.R.; Li, X.; Xin, P. Effects of strain rate on fracture characteristics and mesoscopic failure mechanisms of granite. Int. J. Rock Mech. Min. Sci. 2015, 76, 146–154. [Google Scholar] [CrossRef]
- Du, K.; Li, X.F.; Tao, M.; Wang, S.F. Experimental study on acoustic emission (AE) characteristics and crack classification during rock fracture in several basic lab tests. Int. J. Rock Mech. Min. Sci. 2020, 133, 104411. [Google Scholar] [CrossRef]
- Dong, L.J.; Zhang, Y.H.; Bi, S.J.; Ma, J.; Yan, Y.H.; Cao, H. Uncertainty investigation for the classification of rock micro-fracture types using acoustic emission parameters. Int. J. Rock Mech. Min. Sci. 2023, 162, 105292. [Google Scholar] [CrossRef]
- Aldahdooh, M.; Bunnori, N.M. Crack classification in reinforced concrete beams with varying thicknesses by mean of acoustic emission signal features. Constr. Build. Mater. 2013, 45, 282–288. [Google Scholar] [CrossRef]
- Zhao, Y.G.; Li, X.B.; Huang, L.Q.; Zhang, Z.C.; Xu, Z.H. Characteristic stress variation and microcrack evolution of granite subjected to uniaxial compression using acoustic emission methods. J. Rock Mech. Geotech. Eng. 2024, 16, 3511–3523. [Google Scholar] [CrossRef]
- Wang, Z.H.; Chen, F.; Li, H.R.; Shi, X.L.; Dong, Z.K.; Meng, X.; Yang, C.H. Experimental Research on the Thermo-mechanical Damage Mechanisms of Salt Rock. Rock Mech. Rock Eng. 2025, 58, 4001–4021. [Google Scholar] [CrossRef]
- Gutenberg, B.; Richter, C.F. Frequency of earthquakes in California. Bull. Seismol. Soc. Am. 1944, 34, 185–188. [Google Scholar] [CrossRef]
- Ban, Y.X.; Fu, X.; Xie, Q.; Duan, J. Time-sensitivity mechanism of rock stress memory properties under tensile stress. J. Rock Mech. Geotech. Eng. 2020, 12, 528–540. [Google Scholar] [CrossRef]
- Ban, Y.X.; Fu, X.; Xie, Q. Revealing the laminar shale microdamage mechanism considering the relationship between fracture geometrical morphology and acoustic emission power spectrum characteristics. B Eng. Geol. Environ. 2020, 79, 1083–1096. [Google Scholar] [CrossRef]
- Kong, B.; Wang, E.Y.; Li, Z.H.; Wang, X.R.; Niu, Y.; Kong, X.G. Acoustic emission signals frequency-amplitude characteristics of sandstone after thermal treated under uniaxial compression. J. Appl. Geophys. 2017, 136, 190–197. [Google Scholar] [CrossRef]
- Wang, C.; Meng, Q.S.; Wu, K.; Shen, T.L. Investigation of the Mechanical Behavior Evolution and Cracking Characteristics of Coral Reef Limestone Subjected to High Temperature Utilizing the AE Technique. Rock Mech. Rock Eng. 2025, 58, 5047–5070. [Google Scholar] [CrossRef]
- Bhuiyan, M.Y.; Giurgiutiu, V. The signatures of acoustic emission waveforms from fatigue crack advancing in thin metallic plates. Smart Mater. Struct. 2017, 27, 015019. [Google Scholar] [CrossRef]
- Harte, D.; Vere-Jones, D. The entropy score and its uses in earthquake forecasting. Pure Appl. Geophys. 2005, 162, 1229–1253. [Google Scholar] [CrossRef]
- Ye, C.F.; Xie, H.P.; Wu, F.; Hu, J.J.; Li, R.; Li, C.B. Asymmetric failure mechanisms of anisotropic shale under direct shear. Int. J. Rock Mech. Min. Sci. 2024, 183, 105941. [Google Scholar] [CrossRef]
- Xie, Y.C.; Hou, M.C.; Li, C.B. Anisotropic characteristics of acoustic emission and the corresponding multifractal spectrum during progressive failure of shale under cyclic loading. Int. J. Rock Mech. Min. Sci. 2023, 165, 105364. [Google Scholar] [CrossRef]
- Cheng, T.; Wang, L.X.; Xiao, Y.M.; He, M.C.; Wang, T.Z.; Peng, M.L.; Li, H.R. Correlational fractal characteristics and damage progression of granite with different grain sizes based on acoustic emission monitoring. Eng. Geol. 2023, 327, 107358. [Google Scholar] [CrossRef]
- Ghasemi, S.; Khamehchiyan, M.; Taheri, A.; Nikudel, M.R.; Zalooli, A. Crack Evolution in Damage Stress Thresholds in Different Minerals of Granite Rock. Rock Mech. Rock Eng. 2020, 53, 1163–1178. [Google Scholar] [CrossRef]
- Kranz, R.L. Crack growth and development during creep of Barre granite. Int. J. Rock Mech. Min. Sci. Geomech. Abstr. 1979, 16, 23–35. [Google Scholar] [CrossRef]
- Nicksiar, M. Effective Parameters on Crack Initiation Stress in Low Porosity Rocks. Doctoral Dissertation, University of Alberta, Edmonton, AB, Canada, 2013. [Google Scholar]
- He, C.D.; Mishra, B.; Yuan, W.; Wang, X.; Shi, Q.W. Investigation of the dynamic behavior and fracturing mechanism of granite. Fuel 2024, 360, 130579. [Google Scholar] [CrossRef]
- Zhang, J.H.; Tan, X.J.; Zheng, P.C.; Liu, X.H.; Xu, Z.X.; Wang, D.; Jia, Z.Q.; Chen, W.Z. Mode I fracture at mineral grain interfaces in granite under static loading: Insights from a microscopic perspective. Theor. Appl. Fract. Mech. 2025, 140, 105128. [Google Scholar] [CrossRef]
- Kong, X.G.; Wang, E.Y.; He, X.Q.; Zhao, E.L.; Zhao, C. Mechanical characteristics and dynamic damage evolution mechanism of coal samples in compressive loading experiments. Eng. Fract. Mech. 2019, 210, 160–169. [Google Scholar] [CrossRef]
- Jing, C.; Ji, X.; Yang, W.; Pang, M.K.; Zhang, T.J.; Pan, H.Y. Crack propagation characteristics of coal body around the borehole under different loading rates. Theor. Appl. Fract. Mech. 2024, 133, 104498. [Google Scholar] [CrossRef]
- Zhang, L.M.; Ma, S.Q.; Ren, M.Y.; Jiang, S.Q.; Wang, Z.Q.; Wang, J.L. Acoustic emission frequency and b value characteristics in rock failure process under various confining pressures. Chin. J. Rock Mech. Eng. 2015, 34, 2057–2063. [Google Scholar]


























| No | v1 (m/s) | Initial Damage Variable (IDV) (%) | Unloading Point Stress of IDV (MPa) | UCS (MPa) | Reloading Peak Strength (MPa) |
|---|---|---|---|---|---|
| 0.12-S1 | 4550.00 | 0 | 0 | 195.46 | / |
| 0.12-S2 | 4352.17 | 0 | 0 | 197.05 | / |
| 0.12-S3 | 4356.52 | 0 | 0 | 192.87 | / |
| 0.06-IDV1 | 4559.09 | 10.43 | 102.05 | / | 192.64 |
| 0.06-IDV2 | 4581.82 | 12.43 | 134.80 | / | 196.09 |
| 0.06-IDV3 | 4378.26 | 14.43 | 156.10 | / | 194.84 |
| 0.12-IDV1 | 4382.61 | 10.35 | 102.05 | / | 184.56 |
| 0.12-IDV2 | 4559.09 | 12.75 | 134.80 | / | 194.36 |
| 0.12-IDV3 | 4360.87 | 14.21 | 156.10 | / | 181.02 |
| 0.3-IDV1 | 4563.64 | 10.38 | 102.05 | / | 204.24 |
| 0.3-IDV2 | 4550.00 | 12.56 | 134.80 | / | 205.44 |
| 0.3-IDV3 | 4545.45 | 14.65 | 156.10 | / | 198.98 |
| 0.6-IDV1 | 4369.57 | 10.96 | 102.05 | / | 208.03 |
| 0.6-IDV2 | 4356.52 | 12.13 | 134.80 | / | 213.77 |
| 0.6-IDV3 | 4550.00 | 14.66 | 156.10 | / | 206.11 |
| 3-IDV1 | 4550.00 | 10.20 | 102.05 | / | 219.31 |
| 3-IDV2 | 4347.83 | 12.12 | 134.80 | / | 208.07 |
| 3-IDV3 | 4352.17 | 14.23 | 156.10 | / | 213.95 |
| No | Loading-Unloading Target I (MPa) | Loading-Unloading Target II (MPa) | Loading-Unloading Rate (kN/min) | Loading Target III | Loading Rate (mm/min) |
|---|---|---|---|---|---|
| 0.12-S1 | / | / | / | Peak | 0.12 |
| 0.12-S2 | 0.12 | ||||
| 0.12-S3 | 0.12 | ||||
| 0.06-IDV1 | 58.54 | 102.05 | 60 | Peak | 0.06 |
| 0.06-IDV2 | 134.80 | 0.06 | |||
| 0.06-IDV3 | 156.10 | 0.06 | |||
| 0.12-IDV1 | 102.05 | 0.12 | |||
| 0.12-IDV2 | 134.80 | 0.12 | |||
| 0.12-IDV3 | 156.10 | 0.12 | |||
| 0.3-IDV1 | 102.05 | 0.3 | |||
| 0.3-IDV2 | 134.80 | 0.3 | |||
| 0.3-IDV3 | 156.10 | 0.3 | |||
| 0.6-IDV1 | 102.05 | 0.6 | |||
| 0.6-IDV2 | 134.80 | 0.6 | |||
| 0.6-IDV3 | 156.10 | 0.6 | |||
| 3- IDV1 | 102.05 | 3 | |||
| 3- IDV2 | 134.80 | 3 | |||
| 3- IDV3 | 156.10 | 3 |
| No | 30% σf (MPa) | 70% σf (MPa) | ε Corresponding to 30% σf | ε Corresponding to 70% σf | E (GPa) |
|---|---|---|---|---|---|
| 0.06-IDV1 | 57.79 | 134.86 | 9.50 × 10−4 | 19.91 × 10−4 | 74.03 |
| 0.06-IDV2 | 58.81 | 137.26 | 10.88 × 10−4 | 22.58 × 10−4 | 67.03 |
| 0.06-IDV3 | 58.46 | 136.37 | 11.60 × 10−4 | 22.93 × 10−4 | 68.76 |
| 0.12-IDV1 | 55.37 | 129.17 | 13.53 × 10−4 | 26.03 × 10−4 | 59.05 |
| 0.12-IDV2 | 58.30 | 136.04 | 12.23 × 10−4 | 23.55 × 10−4 | 68.62 |
| 0.12-IDV3 | 54.30 | 126.71 | 15.22 × 10−4 | 28.06 × 10−4 | 56.37 |
| 0.3-IDV1 | 61.29 | 142.93 | 11.15 × 10−4 | 22.39 × 10−4 | 72.59 |
| 0.3-IDV2 | 61.62 | 143.77 | 11.58 × 10−4 | 23.01 × 10−4 | 71.88 |
| 0.3-IDV3 | 59.66 | 139.28 | 10.13 × 10−4 | 21.99 × 10−4 | 67.14 |
| 0.6-IDV1 | 62.45 | 145.55 | 11.87 × 10−4 | 21.43 × 10−4 | 86.92 |
| 0.6-IDV2 | 64.21 | 149.55 | 12.43 × 10−4 | 23.66 × 10−4 | 75.95 |
| 0.6-IDV3 | 61.98 | 144.23 | 9.97 × 10−4 | 21.28 × 10−4 | 72.68 |
| 3- IDV1 | 65.27 | 154.01 | 9.38 × 10−4 | 20.13 × 10−4 | 82.59 |
| 3- IDV2 | 62.24 | 145.23 | 10.62 × 10−4 | 21.43 × 10−4 | 76.77 |
| 3- IDV3 | 64.18 | 149.52 | 11.78 × 10−4 | 24.62 × 10−4 | 66.46 |
| Study | Rock Type | Initial Damage Mode | Loading Conditions | Equipment | Key Findings |
|---|---|---|---|---|---|
| Current Study | Granite | SCLU | UL | [AE] | Strength and modulus vary with loading rate, while initial damage influences microcrack complexity and AE signals, with multifractal characteristics. |
| Wasantha et al. [13] (2015) | Sandstone | Intact | UL | [XRD] + [NMR] + [SEM] | Peak strength increases with strain rate for fine- and medium-grained sandstones, while coarse-grained sandstones show inconsistent behavior. |
| Kong et al. [82] (2019) | Coal | IC | UL | [AE] + [DIC] | Increased initial damage lowers the compressive strength and elastic modulus. |
| Huang et al. [19] (2021) | Coal | UCLU | TMCL | [CT] | Increased initial damage reduces creep time, failure stress, and accelerated creep threshold. |
| Gong et al. [28] (2022) | Granite | Intact | SCLU and UL | [DIC] | Rockburst proneness increases with loading rate, as elastic strain and peak energy rise linearly. |
| Yang et al. [16] (2022) | Granite | HCPCL | UL | [AE] + [NMR] | High confining pressure cyclic loading increases granite porosity and alters fracture characteristics. |
| Zhao et al. [15] (2024) | Red sandstone | CIL | UGCLU | [AE] + [NMR] | Cyclic impact damage and water saturation reduce the cyclic loading strength of rocks. |
| Miao et al. [2] (2024) | Granite | UL | UL | [SEM] + [XRD] | Increased initial damage reduces strength, strain, and expansion, but increases lateral strain. |
| Jing et al. [83] (2024) | Coal-like specimens | PB | UL | [DIC] | Higher loading rates increase strength, strain, and stress, while elastic modulus fluctuates. |
| Jiang et al. [37] (2024) | Red sandstone | PSF | UL | [AE] + [DIC] | Fractured rock’s strength and elasticity decrease, increasing with fracture angle. |
| Ran et al. [14] (2025) | Coal | UCLU | UMCL | [AE] + [CT] | Higher initial damage shortens fatigue life, reduces strength, and decreases deformation modulus. |
| Shao et al. [12] (2025) | shale | Intact | UL | [CT] | Higher loading rates increase peak strength and shorten failure time. |
Disclaimer/Publisher’s Note: The statements, opinions and data contained in all publications are solely those of the individual author(s) and contributor(s) and not of MDPI and/or the editor(s). MDPI and/or the editor(s) disclaim responsibility for any injury to people or property resulting from any ideas, methods, instructions or products referred to in the content. |
© 2026 by the authors. Licensee MDPI, Basel, Switzerland. This article is an open access article distributed under the terms and conditions of the Creative Commons Attribution (CC BY) license.
Share and Cite
Ma, C.; Li, C.; Yang, W.; Wang, C.; Gong, Q.; Zhou, H. Rate-Dependent Fracturing Mechanisms of Granite Under Different Levels of Initial Damage. Appl. Sci. 2026, 16, 871. https://doi.org/10.3390/app16020871
Ma C, Li C, Yang W, Wang C, Gong Q, Zhou H. Rate-Dependent Fracturing Mechanisms of Granite Under Different Levels of Initial Damage. Applied Sciences. 2026; 16(2):871. https://doi.org/10.3390/app16020871
Chicago/Turabian StyleMa, Chunde, Chenyang Li, Wenyuan Yang, Chenyu Wang, Qiang Gong, and Hongbo Zhou. 2026. "Rate-Dependent Fracturing Mechanisms of Granite Under Different Levels of Initial Damage" Applied Sciences 16, no. 2: 871. https://doi.org/10.3390/app16020871
APA StyleMa, C., Li, C., Yang, W., Wang, C., Gong, Q., & Zhou, H. (2026). Rate-Dependent Fracturing Mechanisms of Granite Under Different Levels of Initial Damage. Applied Sciences, 16(2), 871. https://doi.org/10.3390/app16020871
