Study on the Deterioration Characteristics of Sandstone Cultural Relics Under the Synergistic Action of Dry-Wet Cycles and Acids, Alkalis, Salts and Composite Solutions
Abstract
1. Introduction
2. Materials and Methods
2.1. Overview of the Study Area
2.2. Material
2.2.1. Rock Samples
2.2.2. Solution Selection
- Na2SO4 (white powder, density: 2.68 g/cm3, melting point: 884 °C, boiling point: 1404 °C) was used to prepare the salt solution.
- Concentrated H2SO4 (colorless, odorless, transparent oily liquid, concentration: 98%, density: 1.84 g/cm3, melting point: 10.31 °C, boiling point: 337 °C) was used to prepare the required acidic solutions.
- NaOH (white, odorless, translucent pellets, density: 2.13 g/cm3, melting point: 318 °C, boiling point: 1388 °C, highly soluble in water) was used to prepare the alkaline solution.
2.3. Specimen Preparation
2.3.1. Rock Sample Preparation
- Coring: A handheld core drilling machine equipped with a 50 mm × 450 mm diamond drill bit was used to extract cylindrical samples from the rock mass.
- Cutting: The irregularly shaped cores were cut to a uniform height of 100 mm using a rock cutting machine.
- Grinding: The two end surfaces of each cylinder were ground flat using an angle grinder. The final surface roughness and deviation from perpendicularity to the cylinder axis were controlled to be less than 0.05 mm and 0.25°, respectively.
- Flatness Inspection: The flatness and parallelism of the end surfaces were verified.
- Wave Velocity Test: The P-wave velocity of each prepared specimen was measured using a Haichuang Gaoke HC-F800 (Beijing Haichuang High Tech Co., Ltd., Beijing, China) comprehensive tester. Specimens with similar wave velocities were selected for subsequent testing to ensure consistency.
2.3.2. Solution Preparation
- 5% Na2SO4 Solution: Anhydrous Na2SO4 powder was directly weighed, stirred into distilled water, and dissolved to a final volume of 1 L.
- H2SO4 Solutions (pH = 4, 6): For each, 1 L of distilled water was measured, and concentrated H2SO4 was added dropwise under continuous monitoring with a pH meter until the target pH was achieved.
- NaOH Solution (pH = 8): 1 L of distilled water was measured, and NaOH pellets were added under pH meter monitoring until the target pH of 8 was reached.
- Composite H2SO4 (pH = 4, 6) + 5% Na2SO4 Solutions: For each, anhydrous Na2SO4 powder was first weighed and dissolved in 1 L of distilled water. Concentrated H2SO4 was then added dropwise to this solution under pH meter monitoring to adjust to the target pH.
- Composite NaOH (pH = 8) + 5% Na2SO4 Solution: Anhydrous Na2SO4 powder was first weighed and dissolved in 1 L of distilled water. NaOH pellets were then added to this solution under pH meter monitoring to adjust the pH to 8.
2.4. Dry-Wet Cycle Conditions
2.5. Test Methods
3. Results and Discussion
3.1. Chemical Composition
3.2. Appearance
3.3. Microstructure
- Pristine Sample (Figure 7a): The original rock shows no obvious layering and has fewer pores and cracks.
- Distilled water (Figure 7b): The sample surface exhibits densely distributed micropores and slight crack development. Some exfoliated particle fragments are present, but no new reaction products are observed in the microstructure.
- H2SO4 Solutions (Figure 7d,e): Samples cycled in H2SO4 solutions show significant pitting and layered damage due to acid dissolution. A large number of prismatic and flaky/flocculated sediments are generated. The prismatic precipitates are gypsum, while the flaky-flocculated mixtures are likely products from the coexistence of gypsum and silica gel. This corresponds to the significant enhancement of the secondary gypsum diffraction peaks in Figure 5.
- NaOH Solution (Figure 7f): The sample treated with NaOH exhibits a distinct spherical structure with fibrous features. These spherical aggregates are formed by the agglomeration of hydrated silicate gel (produced from the reaction of quartz with OH−) through van der Waals forces [37,38]. Notably, some prismatic ettringite, flaky magnesium hydroxide, and fish-scale-shaped mirabilite (Na2SO4·10H2O) are also observed.
- Composite Acid/Salt Solution (H2SO4 + 5% Na2SO4) (Figure 7g,h): The microstructure combines features of both single solutions. The rock surface shows a honeycomb-like porous structure with numerous needle/rod-shaped gypsum crystals and granular thenardite (Na2SO4, formed from the evaporation and precipitation of Na+). Abundant fragments composed of exfoliated minerals, sulfate crystals, and amorphous aluminosilicate gels chaotically fill cracks or adhere to particle surfaces.
- Composite Alkali/Salt Solution (NaOH + 5% Na2SO4) (Figure 7i): A densely packed, interwoven crystalline structure is observed. It contains numerous prismatic and needle-shaped ettringite crystals (formed from Ca2+, Al3+, and SO42− under OH− attack), with massive glauberite (Na2SO4·CaSO4) filling the gaps between ettringite crystals. Residual particles from mineral dissolution are distributed on the surface and within the pores.
3.4. Physical Properties
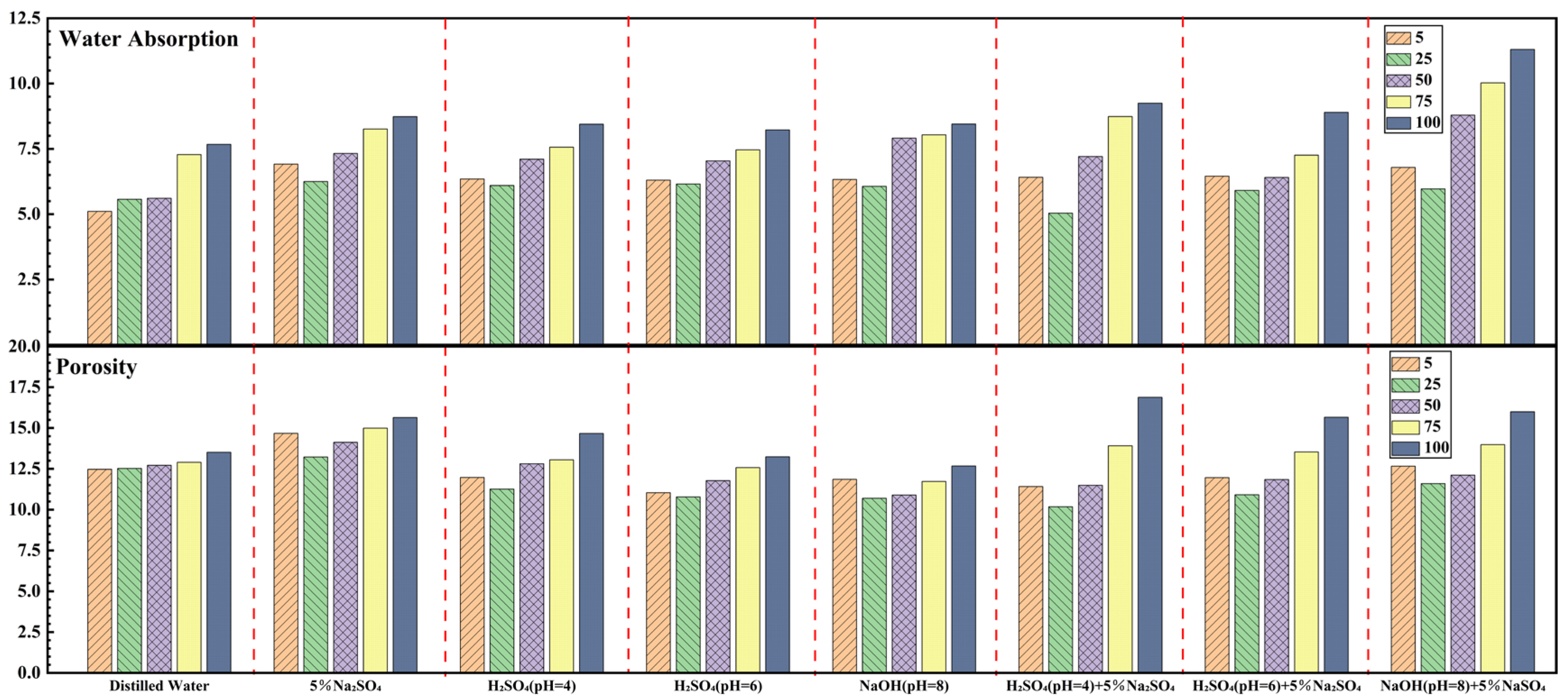
3.4.1. Water Absorption and Porosity
3.4.2. Longitudinal Wave Velocity
- Distilled water: The wave velocity decreases monotonically with cycling, indicating a uniform and gradual accumulation of damage from physical processes (e.g., microcrack expansion due to wetting/drying), without significant chemical alteration, as confirmed by XRD.
- Single Solutions (5% Na2SO4, H2SO4, NaOH): The wave velocity decreases at a relatively moderate rate. Samples in Na2SO4 and NaOH solutions show similar trends: slight initial fluctuations followed by a more rapid decline in later cycles. For H2SO4 solutions, the decrease follows a pattern of initial decline, brief stabilization, and then gradual acceleration. The reduction is slightly more pronounced at pH = 4 than at pH = 6.
- Composite Solutions (Acid/Salt & Alkali/Salt): These solutions cause a significantly sharper decline in wave velocity. After approximately 50 cycles, the wave velocity enters a phase of rapid decrease, with final values much lower than those for single solutions. The most drastic change occurs in the NaOH + 5% Na2SO4 solution, which shows a slight initial increase (likely due to pore-filling by early ettringite formation), followed by a sharp decline after 50 cycles, resulting in the lowest final wave velocity.
3.5. Compressive Strength
- Distilled Water: UCS decreased in a stable, near-linear trend from an initial 11.2 MPa to 8.4 MPa (75% residual strength), consistent with slow physical deterioration.
- Acidic Solutions (H2SO4): Strength loss was more pronounced. After 100 cycles, residual strength was 50% (pH = 4) and 53% (pH = 6) of the initial value. This significant chemical weakening is attributed to the attack of H+ (in acid) or OH− (in alkali) on the silicate framework, breaking Si-O-Si and Al-O-Si bonds, which fundamentally compromises the cementing structure and weakens the entire sandstone matrix [43].
- Salt Solution (5% Na2SO4): Strength was briefly maintained around 6.4 MPa during the first 25 cycles, likely due to pore-filling by salt crystals. However, after 100 cycles, strength plummeted to 6.0 MPa, indicating severe damage from crystallization pressure.
- Composite Solutions: These caused the most severe strength reduction. The alkali-salt composite solution (NaOH + 5% Na2SO4) was particularly damaging, with strength dropping to 2.2 MPa after 100 cycles. This is due to the combined effects of chemical attack (OH−) and expansive crystal growth (ettringite and other sulfates), leading to extensive crack development and interconnection.
4. Conclusions
- (1)
- Chemical Composition: XRD analysis indicates the primary minerals in the pristine sandstone are quartz, calcite, and plagioclase (including albite). The chemical evolution post-cycling is strongly dependent on solution chemistry. Distilled water caused minimal change. In the 5% Na2SO4 solution, secondary gypsum formation was evident. Acidic (H2SO4) solutions significantly weakened quartz and diopside peaks while enhancing gypsum peaks, due to H+-driven dissolution and sulfate reaction. Alkaline (NaOH) conditions slightly attenuated quartz and albite peaks but enhanced calcite peaks, with sodium silicate and aluminate likely forming. In composite solutions (H2SO4/NaOH + 5% Na2SO4), ion synergy intensified reactions. For H2SO4 + Na2SO4, abundant gypsum formed from the released Ca2+ and SO42−. For NaOH + Na2SO4, gypsum formation was limited by suppressed calcite dissolution, while ettringite was generated.
- (2)
- Apparent Morphology: All cycled samples exhibited surface deterioration including edge rounding, powdering, and loss of gloss. Distilled water caused only slight deterioration. H2SO4 solutions induced micro-notching and particle detachment. NaOH led to layered exfoliation and crust formation. The 5% Na2SO4 solution resulted in prominent efflorescence and pore-filling salt crystals. Composite solutions combined these features, with NaOH + 5% Na2SO4 causing the most severe damage, nearly covering specimens with salt frost and exfoliation.
- (3)
- Microstructure: The pristine rock showed a dense structure with few pores. Post-cycling, distilled water induced micropore clusters and microcracks without new products. The Na2SO4 solution produced gypsum crystals that induced microcracking. H2SO4 solutions caused pitting, layered damage, and co-precipitation of gypsum with silica gel. NaOH treatment generated spherical hydrated silicate gel aggregates, alongside ettringite, magnesium hydroxide, and mirabilite. Composite solutions exhibited combined features: H2SO4 + Na2SO4 formed a honeycomb structure with needle-like gypsum and thenardite, while NaOH + Na2SO4 produced a dense intergrowth of ettringite and glauberite crystals.
- (4)
- Physical Properties (Water Absorption, Porosity, & Wave Velocity): Water absorption and porosity followed a general trend of an initial slight decrease followed by a sustained increase. Distilled water caused the slowest rise (final absorption: 7.4%; porosity: 14.17%), indicative of gradual physical pore expansion. Single-component solutions showed a temporary decrease due to initial pore-filling by reaction products, followed by a significant increase as product expansion and chemical dissolution widened pores. The NaOH + 5% Na2SO4 composite solution resulted in the highest final values (absorption: 11.3%; porosity: 17.34%), showing a stepwise increase. P-wave velocity changes correlated with porosity evolution. Velocity decreased monotonically in distilled water. In single solutions, decline was moderate, with initial fluctuations from pore-filling. Composite solutions, particularly NaOH + Na2SO4, triggered a rapid velocity decline after 50 cycles, reaching the lowest final value.
- (5)
- Compressive Strength: Uniaxial compressive strength degraded in all solutions, but the extent varied drastically. Distilled water caused a gradual linear decrease to 75% residual strength after 100 cycles, consistent with physical damage. Acidic and alkaline solutions led to more significant chemical weakening, with residual strengths of approximately 50–53% (H2SO4) and 43% (NaOH). Salt and composite solutions induced the most severe strength loss due to the synergy of salt crystallization pressure and chemical attack. The strength of samples in 5% Na2SO4 and NaOH + 5% Na2SO4 exhibited a stepwise, drastic failure, with residual strength approaching zero after 100 cycles.
Author Contributions
Funding
Data Availability Statement
Conflicts of Interest
References
- Li, J.; Zhu, Z.; Zhong, H.; Pei, Q.; Liu, H.; Zhang, X.; Xie, X. Research on Seismic Response Mechanism of Stone Cultural Relics Based on Discrete Element Method. J. Seismol. Res. 2025, 1–13. [Google Scholar] [CrossRef]
- Zhang, C.; Arif, A.; Zhang, Z.; Feng, R.; Sajib, M.H.; Peng, N.; Zhuang, W.; Feng, M.; Yuan, M.; Zhang, Y. Crack Propagation and Strength Characteristics of Rock Mass Containing Cross-Cracks in Immovable Stone Cultural Relics. Geotech. Geol. Eng. 2024, 42, 7307–7338. [Google Scholar] [CrossRef]
- Cao, Y.; Wang, C.; Mara, C.; Tie, F.; Dong, W. Study on Nanomaterials and Technology for Composite Strengthening of Stone Cultural Relics. Mater. Rep. 2025, 39, 380–384. [Google Scholar]
- Rodriguez-Navarro, C.; Elert, K.; Sebastian, E.; Esbert, R.M.; Grossi, C.M.; Rojo, A.; Alonso, F.J.; Montoto, M.; Ordaz, J. Laser cleaning of stone materials: An overview of current research. Stud. Conserv. 2003, 48, 65–82. [Google Scholar] [CrossRef]
- Wang, X.; Guo, Q.; Chen, W.; Sun, M.; Zhang, J. Research Progress in the Protection and Reinforcement of the Rock Mass of the Grotto Temple. Res. Conserv. Cave Temples Earthen Sites 2022, 1, 6–27. [Google Scholar] [CrossRef]
- André, M.F.; Voldoire, O.; Roussel, E.; Vautier, F.; Phalip, B.; Peou, H. Contrasting weathering and climate regimes in forested and cleared sandstone temples of the Angkor region. Earth Surf. Process. Landf. 2012, 37, 519–532. [Google Scholar] [CrossRef]
- Lan, H.; Lu, H.; Bao, H.; Li, L.; Chen, W.; Guo, J.; Liu, S. Research progress on the mechanism of deterioration and instability of the rock mass of grotto temples. Earth Sci. 2023, 48, 1603–1633. [Google Scholar]
- Zhang, Y.; Shao, G.; Huang, R.; Shi, B.; Di, Z.; Fang, J. Study on the weathering resistance of microbial mineralization cemented sandstone and its application in the restoration of limestone cultural relics. Chin. J. Rock Mech. Eng. 2025, 44, 2112–2121. [Google Scholar] [CrossRef]
- Cao, T. Research on the Evolution Mechanism of Single-Axis Compression Failure of Soluble Fissured Limestone After Dry and Wet Cycles. Master’s Thesis, Chongqing University, Chongqing, China, 2022. [Google Scholar]
- Jin, Z.; Liu, D.; Zhang, Y.; Chen, G.; Xia, Y.; Su, B.; Zhou, T.; Lv, G.; Luo, H. The migration and damage mechanism of salt in cultural relics. Sci. Conserv. Archaeol. 2017, 29, 102–116. [Google Scholar] [CrossRef]
- Sun, M.; Cao, Z.; Shen, Y.; Shang, X.; Luo, Y. Research on the regional characteristics of sandstone grotto diseases in the eastern part of the Loess Plateau. Sci. Conserv. Archaeol. 2024, 36, 149–163. [Google Scholar] [CrossRef]
- Qi, Y.; Zhou, P.; Ma, H.; Zhou, W.Q. Practice of Stone Cultural Relics Conservation in Xi’an Center for the Conservation and Restoration of Cultural Heritage. In Proceedings of the 2005 Yungang International Academic Symposium (Conservation Volume); Yungang Grottoes Research Academy, Ed.; Xi’an Center for the Conservation and Restoration of Cultural Heritage: Xi’an, China, 2005; pp. 395–405. [Google Scholar]
- Sun, Q.; Zhang, Y. Combined Effects of Salt, Cyclic Wetting and Drying Cycles on the Physical and Mechanical Properties of Sandstone. Eng. Geol. 2019, 248, 70–79. [Google Scholar] [CrossRef]
- Cui, J. Research on the Protection of the Shangdang Yangtoushan Yandi Stone Carving Archives in Shanxi. Master’s Thesis, Yunnan University, Kunming, China, 2023. [Google Scholar]
- Sun, B.; Li, X.; Peng, N.; Sheng, Y.; Liang, Y. Experimental Study on Salt-Bearing Sandstone Samples Under the Change of Temperature and Humidity Cycle. Int. J. Archit. Herit. 2025, 19, 1385–1396. [Google Scholar] [CrossRef]
- Han, F.; Shuyun, Z.; Kefa, R. Study on the salt weathering and mechanism of the Banyueshan Giant Buddha in Ziyang City, Sichuan Province, China. Environ. Earth Sci. 2023, 82, 596. [Google Scholar] [CrossRef]
- Zhang, J.; Li, J.; Li, J.; Deng, H.; Wan, L.; Wang, W.; Liu, P.; Qian, X. Study on the Degradation Effect of Fracture Characteristics of Fissured Sandstone under Dry and Wet Cyclic Conditions. Chin. J. Geotech. Eng. 2024, 46, 1–10. Available online: https://link.cnki.net/urlid/32.1124.TU.20251031.1657.005 (accessed on 18 December 2025).
- Xia, Y.; Ma, J. Research on the Pore Structure and Mechanical Properties of Red Sandstone under Dry and Wet Cycles. Sichuan Build. Mater. 2025, 51, 99–102+107. [Google Scholar]
- Liu, Y. Survey and Research on the Existing Ancient Towers in the Eastern Gansu Region. Master’s Thesis, Northwest Normal University, Lanzhou, China, 2024. [Google Scholar]
- Lee, C.H.; Yi, J.E. Weathering damage evaluation of rock properties in the Bunhwangsa temple stone pagoda, Gyeongju, Republic of Korea. Environ. Geol. Int. J. Geosci. 2007, 52, 1193–1205. [Google Scholar] [CrossRef]
- Jiang, G.; Guo, F.; Polk, J.S. Salt transport and weathering processes in a sandstone cultural relic, North China. Carbonates Evaporites 2015, 30, 69–76. [Google Scholar] [CrossRef]
- Wang, Z.; Liu, X.; Huang, M. The weathering characteristics of red sandstone under the simulated acid rain dry and wet cycle conditions. Chin. J. Geol. Hazard Control 2018, 29, 140–145. [Google Scholar] [CrossRef]
- Niu, R.; Jiang, X.W.; Ouyang, K.; Yang, X.; Wang, X.S.; Huang, J.Z.; Yan, H.B.; Wan, L. Rock moisture dynamics in sandstone caves responsible for weathering: Field observations and numerical modeling. Eng. Geol. 2025, 354, 108185. [Google Scholar] [CrossRef]
- Wang, W.; Huang, B.; Yao, Y.; Pu, J.; Zhang, T. Monitoring and statistical analysis of the characteristics of acid rain in the Loess Plateau cities of eastern Gansu. J. Arid Meteorol. 2005, 23, 44–49. [Google Scholar]
- ISRM. Suggested Methods for Determining Uniaxial Compressive Strength; ISRM: Lisbon, Portugal, 1979. [Google Scholar]
- GB/T 50266-2013; Engineering Rock Mass Test Method Standard. General Administration of Quality Supervision, Inspection and Quarantine of the People’s Republic of China: Beijing, China, 2013.
- ISO 14544-2013; Fine Ceramics (Advanced Ceramics, Advanced Technical Ceramics)—Determination of Phase Content of Ceramic Powders—X-Ray Diffraction Method. International Organization for Standardization (ISO): Geneva, Switzerland, 2013.
- ISO 16700-2004; Microbeam Analysis—Scanning Electron Microscopy—Guidelines for Calibrating Image Magnification. International Organization for Standardization (ISO): Geneva, Switzerland, 2004.
- GB/T 35206-2025; Shale and Mudstone Rock Thin Section Identification. State Administration for Market Regulation, Standardization Administration of China: Beijing, China, 2025.
- Zhao, Y.; Xiao, T.; Zhao, E.; Zhang, J.; Wang, L.; Liu, X.; Wei, S. Pore structure and dynamic strength deterioration characteristics of weakly cemented sandstone under freeze-thaw cycles. China Min. Mag. 2025, 34, 226–233. [Google Scholar]
- Lu, X.; Yang, G.; Ye, W.; Liang, B. Study on the law and mechanism of strength deterioration of sandstone with different particle sizes under freeze-thaw cycles. J. Eng. Geol. 2024, 32, 2198–2209. [Google Scholar] [CrossRef]
- Wang, M.; Liu, C.; Wang, M.; Zhou, X.; Wang, P.; Hou, D. Molecular structure evolution and deterioration mechanism of hydrated calcium silicate under sulfate erosion. J. Chin. Ceram. Soc. 2025, 1–10. [Google Scholar] [CrossRef]
- Ma, J. Research on the Mechanical Characteristics of Rock Macro- and Micro-Fractures and Subcritical Crack Propagation Behavior Under Complex Conditions. Ph.D. Thesis, Central South University, Changsha, China, 2024. [Google Scholar]
- Gao, N. The Mechanical Response and Instability Mechanism of Loaded Fissured Coal-Rock Combination Under the Action of Hydrochemistry. Master’s Thesis, Inner Mongolia University of Science and Technology, Baotou, China, 2025. [Google Scholar]
- Meng, J.; Li, C.; Zhou, J.-Q.; Zhang, Z.; Yan, S.; Zhang, Y.; Huang, D.; Wang, G. Multiscale evolution mechanism of sandstone under wet-dry cycles of deionized water: From molecular scale to macroscopic scale. J. Rock Mech. Geotech. Eng. 2023, 15, 1171–1185. [Google Scholar] [CrossRef]
- Liu, X. The Evolution of the Cenozoic Basin at the Western Margin of the Ordos Block. Ph.D. Thesis, Chinese Academy of Geological Sciences, Beijing, China, 2019. [Google Scholar]
- Bothra, S.R. Polymer-modified concrete: Review. Int. J. Res. Eng. Technol. 2015, 4, 845–848. [Google Scholar] [CrossRef]
- Niu, J. Research on Shrinkage Cracks of Aerated Concrete Masonry Wall. Concrete 2007, 03, 92–94. [Google Scholar]
- Chen, B.; Zhou, L.; Zhao, Y.; Wang, Z.; Chao, D.; Jia, G. Microstructure and shear strength correlation of weak intercalation in red sandstone under dry and wet cycle conditions. Rock Soil Mech. 2018, 39, 1633–1642. [Google Scholar] [CrossRef]
- Wang, P.; Sun, J.; Zhang, P.; Yang, Q.; Wan, X.; Feng, X.; Wang, Z.; Ding, J. Research on the Preparation and Performance Optimization of Shielded-Tunneling Muck-Based Non-Burning Expanded Clay Agg. Bull. Chin. Ceram. Soc 2025, 1–11. [Google Scholar] [CrossRef]
- Gui, B.; Chen, H.; Yang, L.; Wang, H.; Cao, J. Study on the influence of modified phosphogypsum with lime-cement-fly ash on the physical properties of cement. Inorg. Chem. Ind. 2022, 54, 92–98. [Google Scholar] [CrossRef]
- Xinrong, L.; Zijuan, W.; Yan, F.; Wen, Y.; Luli, M. Macro/Microtesting and Damage and Degradation of Sandstones under Dry-Wet Cycles. Adv. Mater. Sci. Eng. 2016, 2016, 1–16. [Google Scholar] [CrossRef]
- Wang, J.; Wang, Z.H.; Zhao, Z.M.; Hu, P.; Wang, Z. Research Progress of Alkali-Activated Cementitious Materials in Soft Soil Solidification. China Build. Mater. Sci. Technol. 2025, 34, 19–22+27. [Google Scholar] [CrossRef]










| Chemical Composition | Tower Body Sample (wt%) | Rock Samples (wt%) |
|---|---|---|
| SiO2 | 57.52 | 63.53 |
| Al2O3 | 11.31 | 13.00 |
| CaO | 10.61 | 5.05 |
| Na2O | 4.24 | 4.05 |
| Fe2O3 | 2.52 | 2.78 |
| K2O | 2.15 | 2.63 |
| MgO | 1.24 | 1.64 |
| Solution | Essential Component | Dosage/L |
|---|---|---|
| distilled water | distilled water | 1 L |
| 5% Na2SO4 | Anhydrous Na2SO4 powder | 50 g |
| distilled water | 1 L | |
| H2SO4 (pH = 4) | Concentrated H2SO4 liquid | 0.5 mL |
| distilled water | 1 L | |
| H2SO4 (pH = 6) | Concentrated H2SO4 liquid | 0.05 mL |
| distilled water | 1 L | |
| NaOH (pH = 8) | NaOH sphere | 0.004 g |
| distilled water | 1 L | |
| H2SO4 (pH = 4) + 5% Na2SO4 | Concentrated H2SO4 liquid | 0.5 mL |
| Anhydrous Na2SO4 powder | 50 g | |
| distilled water | 1 L | |
| H2SO4 (pH = 6) + 5% Na2SO4 | Concentrated H2SO4 liquid | 0.05 mL |
| Anhydrous Na2SO4 powder | 50 g | |
| distilled water | 1 L | |
| NaOH (pH = 8) + 5% Na2SO4 | NaOH sphere | 0.004 g |
| Anhydrous Na2SO4 powder | 50 g | |
| distilled water | 1 L |
| Serial Number | Type of Solution | Cycle Index |
|---|---|---|
| 1 | distilled water | 5, 25, 50, 75, 100 |
| 2 | 5% Na2SO4 | 5, 25, 50, 75, 100 |
| 3 | H2SO4 (pH = 4) | 5, 25, 50, 75, 100 |
| 4 | H2SO4 (pH = 6) | 5, 25, 50, 75, 100 |
| 5 | NaOH (pH = 8) | 5, 25, 50, 75, 100 |
| 6 | H2SO4 (pH = 4) + 5% Na2SO4 | 5, 25, 50, 75, 100 |
| 7 | H2SO4 (pH = 6) + 5% Na2SO4 | 5, 25, 50, 75, 100 |
| 8 | NaOH (pH = 8) + 5% Na2SO4 | 5, 25, 50, 75, 100 |
Disclaimer/Publisher’s Note: The statements, opinions and data contained in all publications are solely those of the individual author(s) and contributor(s) and not of MDPI and/or the editor(s). MDPI and/or the editor(s) disclaim responsibility for any injury to people or property resulting from any ideas, methods, instructions or products referred to in the content. |
© 2026 by the authors. Licensee MDPI, Basel, Switzerland. This article is an open access article distributed under the terms and conditions of the Creative Commons Attribution (CC BY) license.
Share and Cite
Zhang, J.; Hu, P.; Lian, Y.; Huang, W.; Zheng, Y.; Wu, Q.; Niu, Y. Study on the Deterioration Characteristics of Sandstone Cultural Relics Under the Synergistic Action of Dry-Wet Cycles and Acids, Alkalis, Salts and Composite Solutions. Appl. Sci. 2026, 16, 770. https://doi.org/10.3390/app16020770
Zhang J, Hu P, Lian Y, Huang W, Zheng Y, Wu Q, Niu Y. Study on the Deterioration Characteristics of Sandstone Cultural Relics Under the Synergistic Action of Dry-Wet Cycles and Acids, Alkalis, Salts and Composite Solutions. Applied Sciences. 2026; 16(2):770. https://doi.org/10.3390/app16020770
Chicago/Turabian StyleZhang, Jiawei, Pu Hu, Yushan Lian, Wei Huang, Yong Zheng, Qingyang Wu, and Yuanchun Niu. 2026. "Study on the Deterioration Characteristics of Sandstone Cultural Relics Under the Synergistic Action of Dry-Wet Cycles and Acids, Alkalis, Salts and Composite Solutions" Applied Sciences 16, no. 2: 770. https://doi.org/10.3390/app16020770
APA StyleZhang, J., Hu, P., Lian, Y., Huang, W., Zheng, Y., Wu, Q., & Niu, Y. (2026). Study on the Deterioration Characteristics of Sandstone Cultural Relics Under the Synergistic Action of Dry-Wet Cycles and Acids, Alkalis, Salts and Composite Solutions. Applied Sciences, 16(2), 770. https://doi.org/10.3390/app16020770
