Vibrational Transport of Granular Materials Achieved by Dynamic Dry Friction Manipulations
Abstract
1. Introduction
2. Methodology
2.1. Mathematical Model
- Gravity:
- Normal force:
- Friction force:
- Oscillatory motion:
2.2. Methodology of Experiments
3. Results
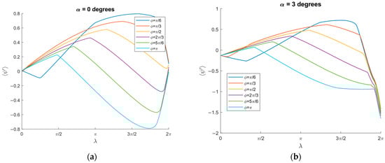
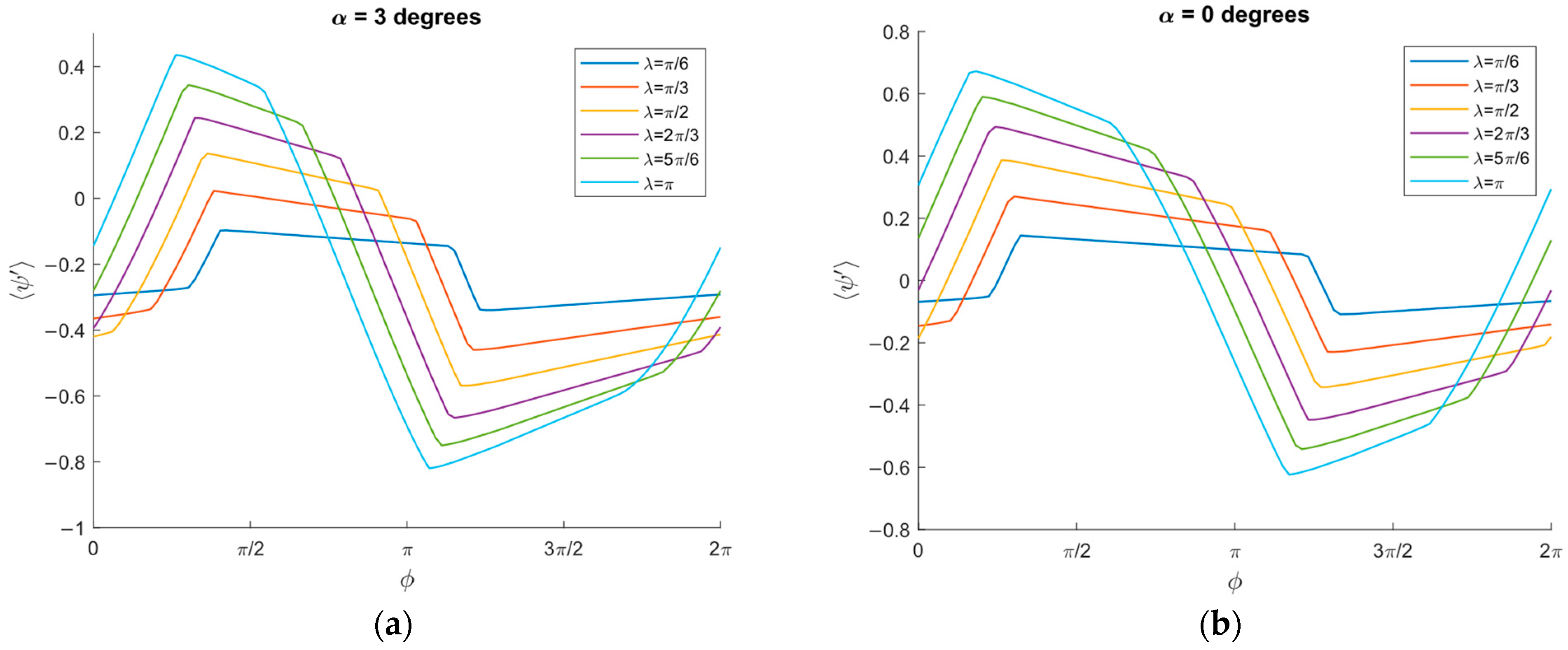
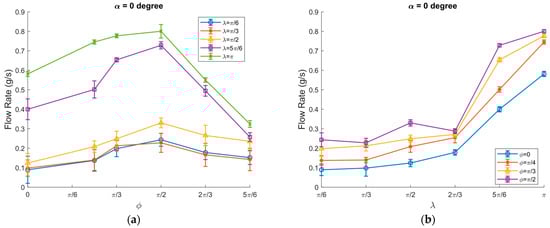
3.1. Results of Modelling
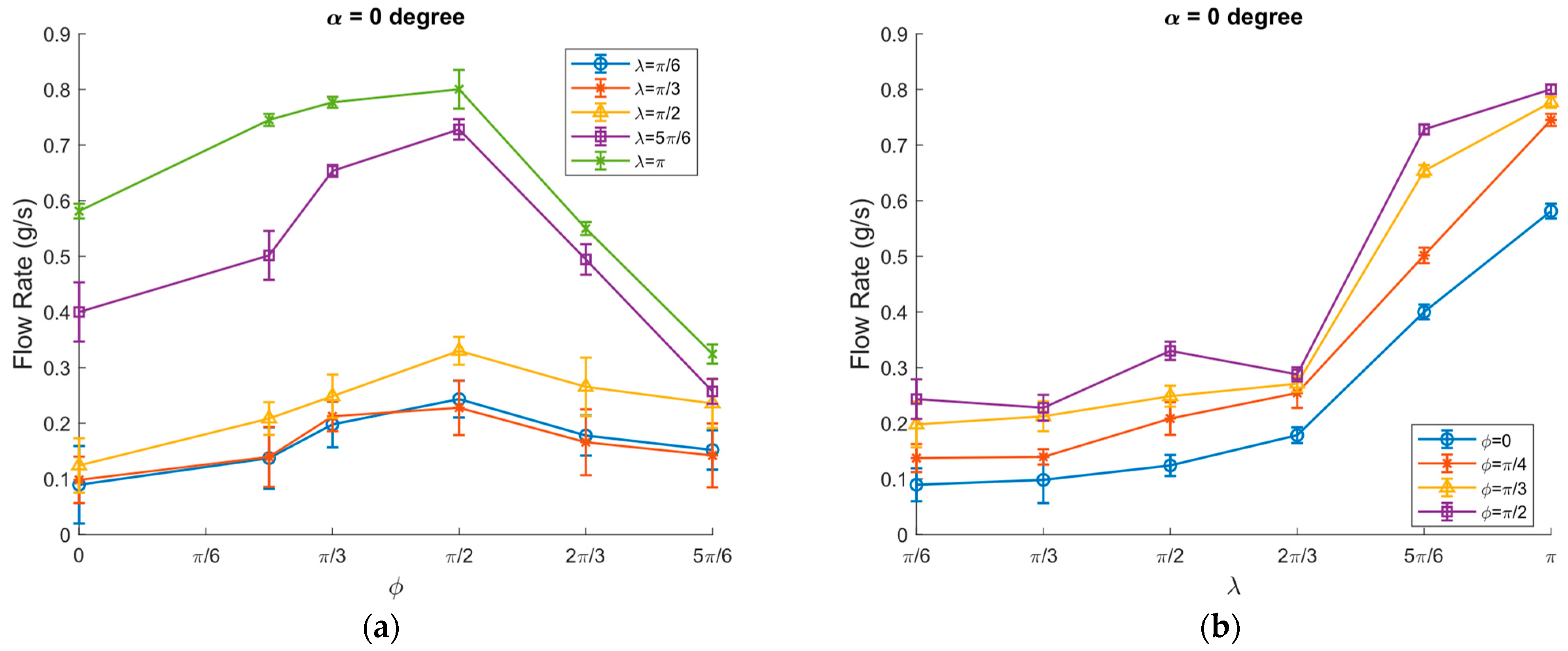
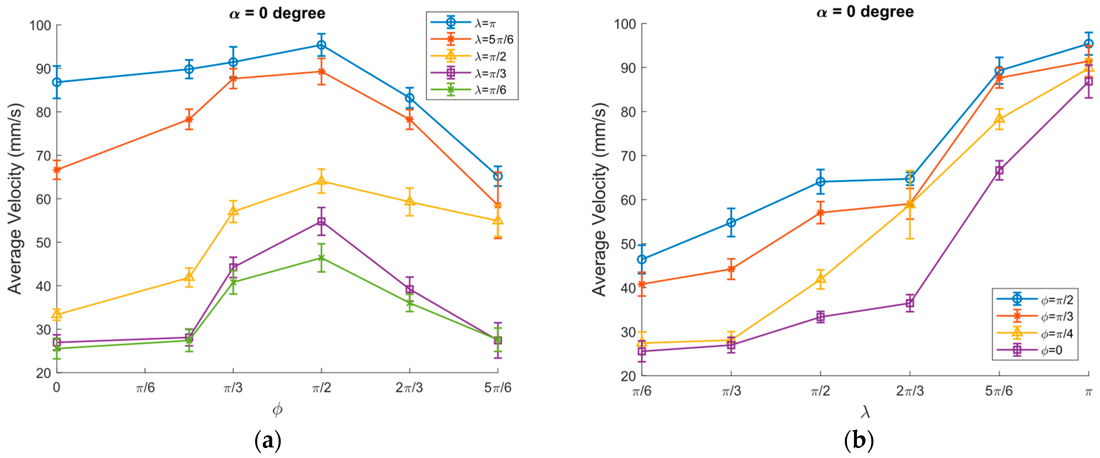
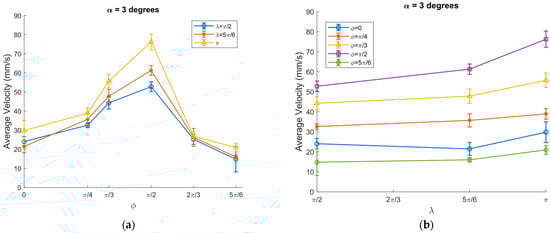
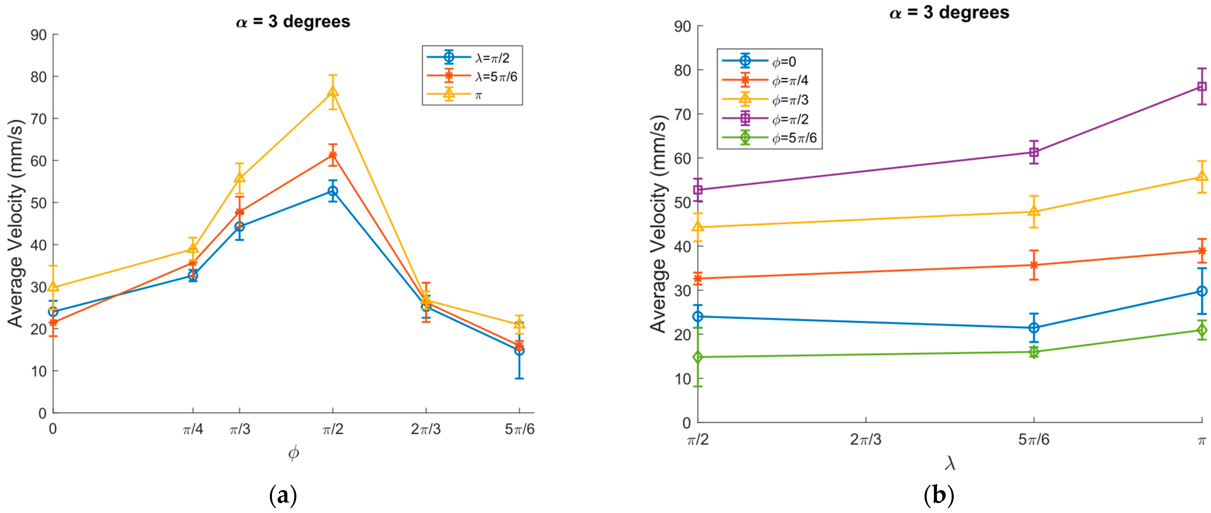
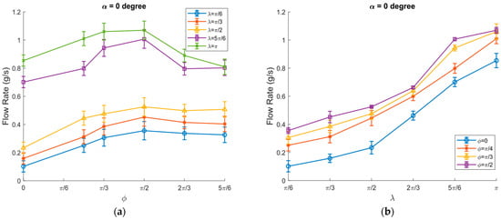
3.2. Experimental Results
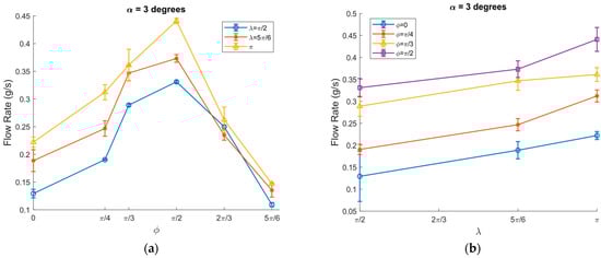
Transportation of Granular Particles in a Channel Width of 1.5 cm and Length of 10 cm
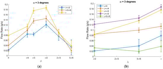
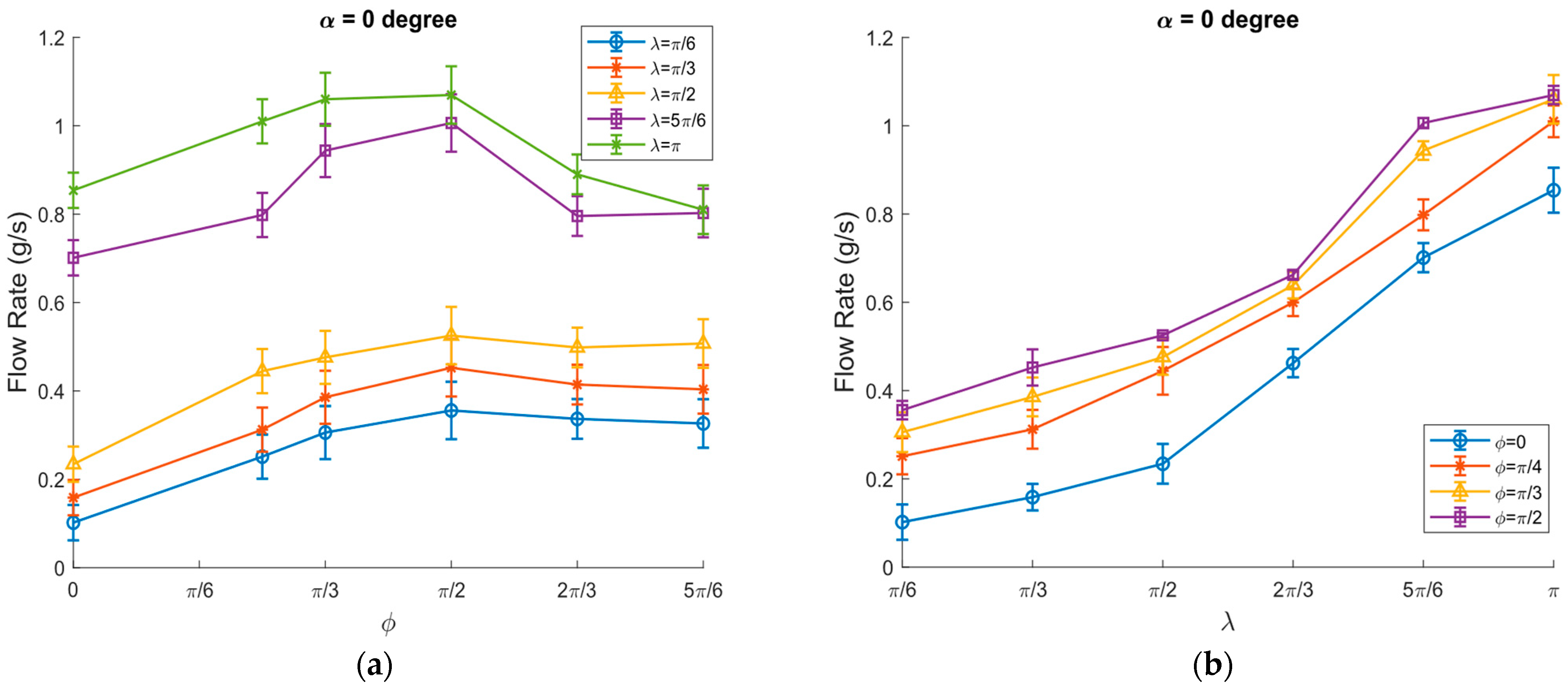
3.3. Comparison of the Experimental and Model Results
4. Conclusions
Author Contributions
Funding
Institutional Review Board Statement
Informed Consent Statement
Data Availability Statement
Conflicts of Interest
References
- Ragulskis, K.; Spruogis, B.; Bogdevičius, M.; Matuliauskas, A.; Mištinas, V.; Ragulskis, L. Mechanical systems of precise robots with vibrodrives, in which the direction of the exciting force coincides with the line of relative motion of the system. Mechanika 2021, 27, 408–414. [Google Scholar] [CrossRef]
- Feemster, M.; Piepmeier, J.A.; Biggs, H.; Yee, S.; ElBidweihy, H.; Firebaugh, S.L. Autonomous microrobotic manipulation using visual servo control. Micromachines 2020, 11, 132. [Google Scholar] [CrossRef]
- Huang, J.; Jiang, C.; Li, G.; Lu, Q.; Chen, H. Design and Analysis of a Light-Operated Microgripper Using an Opto-Electrostatic Repulsive Combined Actuator. Micromachines 2021, 12, 1026. [Google Scholar] [CrossRef]
- Rivera, P.; Valarezo Añazco, E.; Kim, T. Object Manipulation with an Anthropomorphic Robotic Hand via Deep Reinforcement Learning with a Synergy Space of Natural Hand Poses. Sensors 2021, 21, 5301. [Google Scholar] [CrossRef] [PubMed]
- Warnat, S.; King, H.; Wasay, A.; Sameoto, D.; Hubbard, T. Direct integration of MEMS, dielectric pumping and cell manipulation with reversibly bonded gecko adhesive microfluidics. J. Micromech. Microeng. 2016, 26, 097001. [Google Scholar] [CrossRef]
- Janusas, T.; Urbaite, S.; Palevicius, A.; Nasiri, S.; Janusas, G. Biologically Compatible Lead-Free Piezoelectric Composite for Acoustophoresis Based Particle Manipulation Techniques. Sensors 2021, 21, 483. [Google Scholar] [CrossRef]
- Yang, Y.; Ma, T.; Zhang, Q.; Huang, J.; Hu, Q.; Li, Y.; Wang, C.; Zheng, H. 3D Acoustic Manipulation of Living Cells and Organisms Based on 2D Array. IEEE Trans. Biomed. Eng. 2022, 69, 2342–2352. [Google Scholar] [CrossRef]
- Chircov, C.; Grumezescu, A.M. Microelectromechanical Systems (MEMS) for Biomedical Applications. Micromachines 2022, 13, 164. [Google Scholar] [CrossRef]
- Rashid, N.F.A.; Deivasigamani, R.; Wee, M.F.; Hamzah, A.A.; Buyong, M.R. Integration of a Dielectrophoretic Tapered Aluminum Microelectrode Array with a Flow Focusing Technique. Sensors 2021, 21, 4957. [Google Scholar] [CrossRef]
- Reznik, D.; Canny, J.; Goldberg, K. Analysis of part motion on a longitudinally vibrating plate. In Proceedings of the 1997 IEEE/RSJ International Conference on Intelligent Robot and Systems, Grenoble, France, 11 September 1997; IEEE: Piscataway, NJ, USA, 1997; pp. 421–427. [Google Scholar] [CrossRef]
- Mayyas, M. Modeling and analysis of vibratory feeder system based on robust stick–slip motion. J. Vibrat. Control 2021, 28, 2301–2309. [Google Scholar] [CrossRef]
- Mayyas, M. Parallel Manipulation Based on Stick-Slip Motion of Vibrating Platform. Robotics 2020, 9, 86. [Google Scholar] [CrossRef]
- Viswarupachari, C.; DasGupta, A.; Pratik Khastgir, S. Vibration induced directed transport of particles. J. Vib. Acoust. 2012, 134, 051005. [Google Scholar] [CrossRef]
- Hunnekens, B.G.B.; Fey, R.H.B.; Shukla, A. Vibrational self-alignment of a rigid object exploiting friction. Nonlinear Dyn. 2010, 65, 109–129. [Google Scholar] [CrossRef]
- Baksys, B.; Baskutiene, J. The directional motion of the compliant body under vibratory excitation. Int. J. Non Linear Mech. 2012, 47, 129–136. [Google Scholar] [CrossRef]
- Baksys, B.; Puodziuniene, N. Modeling of vibrational non-impact motion of mobile-based body. Int. J. Non Linear Mech. 2012, 40, 861–873. [Google Scholar] [CrossRef]
- Higashimori, M.; Yamaguchi, K.; Shibata, A. Omnidirectional Nonprehensile Manipulation Using Only One Actuator. Robotics 2018, 7, 34. [Google Scholar] [CrossRef]
- Adachi, M.; Shirode, K.; Yamato, S.; Tanaka, K.; Kanamori, H. Granular vibration pumping system for handling and characterizing particulate materials. Rev. Sci. Instrum. 2024, 95, 055102. [Google Scholar] [CrossRef]
- Frei, P.U.; Wiesendanger, M.; Büchi, R.; Ruf, L. Simultaneous planar transport of multiple objects on individual trajectories using friction forces. In Distributed Manipulation; Böhringer, K.F., Choset, H., Eds.; Springer: Boston, MA, USA, 2000; pp. 49–64. [Google Scholar] [CrossRef]
- Vrublevskyi, I. Vibratory conveying by harmonic longitudinal and polyharmonic normal vibrations of inclined conveying track. J. Vib. Acoust. 2022, 144, 011004. [Google Scholar] [CrossRef]
- Buzzoni, M.; Battarra, M.; Mucchi, E.; Dalpiaz, G. Motion analysis of a linear vibratory feeder: Dynamic modeling and experimental verification. Mech. Mach. Theory 2017, 114, 98–110. [Google Scholar] [CrossRef]
- Gursky, V.; Krot, P.; Korendiy, V.; Zimroz, R. Dynamic Analysis of an Enhanced Multi-Frequency Inertial Exciter for Industrial Vibrating Machines. Machines 2022, 10, 130. [Google Scholar] [CrossRef]
- Schiller, S.; Perchtold, D.; Steiner, W. Nonlinear and chaotic dynamics of a vibratory conveying system. Nonlinear Dyn. 2023, 111, 9799–9814. [Google Scholar] [CrossRef]
- Klemiato, M.; Czubak, P. Control of the transport direction and velocity of the two-way reversible vibratory conveyor. Arch. Appl. Mech. 2019, 89, 1359–1373. [Google Scholar] [CrossRef]
- Chen, Z.; Liu, X.; Kojima, M.; Huang, Q.; Arai, T. Advances in Micromanipulation Actuated by Vibration-Induced Acoustic Waves and Streaming Flow. Appl. Sci. 2020, 10, 1260. [Google Scholar] [CrossRef]
- Kumar, A.; DasGupta, A. Generation of circumferential harmonic travelling waves on thin circular plates. J. Sound. Vib. 2020, 478, 115343. [Google Scholar] [CrossRef]
- Cao, H.X.; Jung, D.; Lee, H.; Go, G.; Nan, M.; Choi, E.; Kim, C.; Park, J.; Kang, B. Micromotor Manipulation Using Ultrasonic Active Traveling Waves. Micromachines 2021, 12, 192. [Google Scholar] [CrossRef] [PubMed]
- Palencia, J.L.D. Travelling Waves Approach in a Parabolic Coupled System for Modelling the Behaviour of Substances in a Fuel Tank. Appl. Sci. 2021, 11, 5846. [Google Scholar] [CrossRef]
- Kharkongor, B.; Pohlong, S.S.; Mahato, M.C. Net transport in a periodically driven potential-free system. Phys. A Stat. Mech. Appl. 2021, 562, 125341. [Google Scholar] [CrossRef]
- Hui, T.C.; Zhang, X.; Adiga, D.; Miller, G.H.; Ristenpart, W.D. Vibrational manipulation of dry granular materials in lab-on-a-chip devices. Lab A Chip 2024, 24, 966–974. [Google Scholar] [CrossRef] [PubMed]
- Dunst, P.; Bornmann, P.; Hemsel, T.; Sextro, W. Vibration-assisted handling of dry fine powders. Actuators 2018, 7, 18. [Google Scholar] [CrossRef]
- Kilikevičius, S.; Liutkauskienė, K.; Uldinskas, E.; El Banna, R.; Fedaravičius, A. Omnidirectional Manipulation of Microparticles on a Platform Subjected to Circular Motion Applying Dynamic Dry Friction Control. Micromachines 2022, 13, 711. [Google Scholar] [CrossRef]
- Kilikevičius, S.; Fedaravičius, A. Vibrational Transportation on a Platform Subjected to Sinusoidal Displacement Cycles Employing Dry Friction Control. Sensors 2021, 21, 7280. [Google Scholar] [CrossRef] [PubMed]


















Disclaimer/Publisher’s Note: The statements, opinions and data contained in all publications are solely those of the individual author(s) and contributor(s) and not of MDPI and/or the editor(s). MDPI and/or the editor(s) disclaim responsibility for any injury to people or property resulting from any ideas, methods, instructions or products referred to in the content. |
© 2026 by the authors. Licensee MDPI, Basel, Switzerland. This article is an open access article distributed under the terms and conditions of the Creative Commons Attribution (CC BY) license.
Share and Cite
El Banna, R.; Liutkauskienė, K.; Česnavičius, R.; Lendraitis, M.; Dagilis, M.; Kilikevičius, S. Vibrational Transport of Granular Materials Achieved by Dynamic Dry Friction Manipulations. Appl. Sci. 2026, 16, 630. https://doi.org/10.3390/app16020630
El Banna R, Liutkauskienė K, Česnavičius R, Lendraitis M, Dagilis M, Kilikevičius S. Vibrational Transport of Granular Materials Achieved by Dynamic Dry Friction Manipulations. Applied Sciences. 2026; 16(2):630. https://doi.org/10.3390/app16020630
Chicago/Turabian StyleEl Banna, Ribal, Kristina Liutkauskienė, Ramūnas Česnavičius, Martynas Lendraitis, Mindaugas Dagilis, and Sigitas Kilikevičius. 2026. "Vibrational Transport of Granular Materials Achieved by Dynamic Dry Friction Manipulations" Applied Sciences 16, no. 2: 630. https://doi.org/10.3390/app16020630
APA StyleEl Banna, R., Liutkauskienė, K., Česnavičius, R., Lendraitis, M., Dagilis, M., & Kilikevičius, S. (2026). Vibrational Transport of Granular Materials Achieved by Dynamic Dry Friction Manipulations. Applied Sciences, 16(2), 630. https://doi.org/10.3390/app16020630

