Low-Temperature Regenerable Water-Loaded Zeolite 13X for Ammonia Capture, Reusability, and Leak Detection in Confined Space
Abstract
1. Introduction
2. Materials and Methods
2.1. Materials
2.2. Preparation of Water-Loaded Zeolite 13X
2.3. Characterizations
2.4. Ammonia Capture Capacity
2.5. Ammonia Capture in Air
3. Results and Discussion
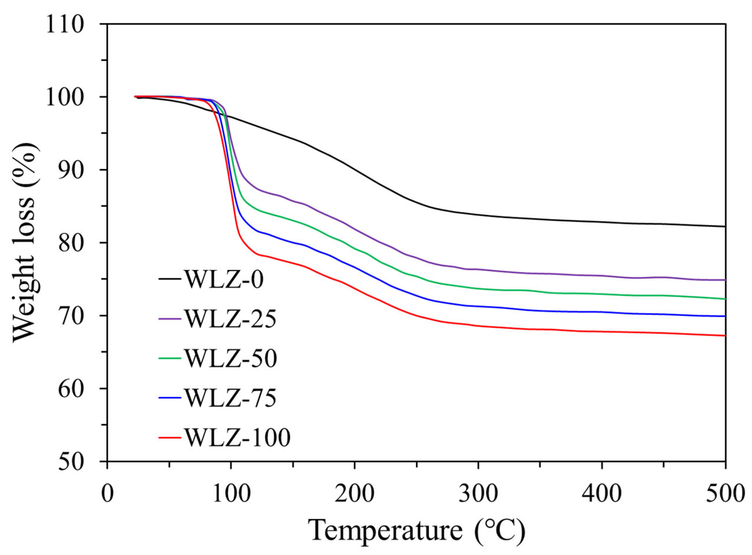
3.1. Ammonia Capture Material Characteristics
3.2. Ammonia Capture and Regeneration
3.3. Cyclic Stability and Reusability
3.4. Chamber-Scale Ammonia Capture
4. Conclusions
Author Contributions
Funding
Institutional Review Board Statement
Informed Consent Statement
Data Availability Statement
Conflicts of Interest
Abbreviations
| BET | Brunauer–Emmett–Teller |
| C | Concentration of ammonia in air (ppm) |
| CC | Ammonia Capture Capacity (mmol/g) |
| EDS | Energy-Dispersive X-ray Spectroscopy |
| FE-SEM | Field-Emission Scanning Electron Microscope |
| m | Mass of adsorbent (g) |
| MOF | Metal–Organic Framework |
| P | Pressure (bar) |
| ppm | Parts Per Million |
| RH | Relative Humidity |
| RTD | Resistance Temperature Detector |
| T | Temperature (°C) |
| TGA | Thermogravimetric Analysis |
| V | Volume (m3) |
| WLZ | Water-Loaded Zeolite 13X |
References
- MEPC. 2023 IMO Strategy on Reduction of GHG Emissions from Ships; International Maritime Organization: London, UK, 2023. [Google Scholar]
- Machaj, K.; Kupecki, J.; Malecha, Z.; Morawski, A.W.; Skrzypkiewicz, M.; Stanclik, M.; Chorowski, M. Ammonia as a Potential Marine Fuel: A Review. Energy Strategy Rev. 2022, 44, 100926. [Google Scholar] [CrossRef]
- Aziz, M.; Juangsa, F.B.; Irhamna, A.R.; Irsyad, A.R.; Hariana, H.; Darmawan, A. Ammonia Utilization Technology for Thermal Power Generation: A Review. J. Energy Inst. 2023, 111, 101365. [Google Scholar] [CrossRef]
- Pearson, A. Refrigeration with Ammonia. Int. J. Refrig. 2008, 31, 545–551. [Google Scholar] [CrossRef]
- Expósito Carrillo, J.A.; Gomis Payá, I.; Peris Pérez, B.; Sánchez de La Flor, F.J.; Salmerón Lissén, J.M. Experimental Performance Analysis of a Novel Ultra-Low Charge Ammonia Air Condensed Chiller. Appl. Therm. Eng. 2021, 195, 117117. [Google Scholar] [CrossRef]
- Valera-Medina, A.; Xiao, H.; Owen-Jones, M.; David, W.I.F.; Bowen, P.J. Ammonia for Power. Prog. Energy Combust. Sci. 2018, 69, 63–102. [Google Scholar] [CrossRef]
- Kobayashi, H.; Hayakawa, A.; Somarathne, K.D.K.A.; Okafor, E.C. Science and Technology of Ammonia Combustion. Proc. Combust. Inst. 2019, 37, 109–133. [Google Scholar] [CrossRef]
- International Energy Agency (IEA). The Future of Cooling; IEA Publications: Paris, France, 2020. [Google Scholar]
- Calm, J.M. The next Generation of Refrigerants—Historical Review, Considerations, and Outlook. Int. J. Refrig. 2008, 31, 1123–1133. [Google Scholar] [CrossRef]
- Zini, A.; Socci, L.; Vaccaro, G.; Rocchetti, A.; Talluri, L. Working Fluid Selection for High-Temperature Heat Pumps: A Comprehensive Evaluation. Energies 2024, 17, 1556. [Google Scholar] [CrossRef]
- Lu, H.; Fan, C.; Li, D.; Chen, Y.; Yao, F. Economic and Exergy Assessments for Ocean Thermal Energy Conversion Using Environment-Friendly Fluids. Processes 2025, 13, 2780. [Google Scholar] [CrossRef]
- Khan, A.; Bradshaw, C.R. Quantitative comparison of the performance of vapor compression cycles with compressor vapor or liquid injection. Int. J. Refrig. 2023, 154, 386–394. [Google Scholar] [CrossRef]
- Bantillo, S.M.R.; Callejo, G.A.C.; Camacho, S.M.K.G.; Montalban, M.A.; Valderin, R.E.; Rubi, R.V.C. Future Trends of Natural Refrigerants: Selection, Preparation, and Evaluation. Eng. Proc. 2024, 67, 9. [Google Scholar] [CrossRef]
- Chorowski, M.; Lepszy, M.; Machaj, K.; Malecha, Z.; Porwisiak, D.; Porwisiak, P.; Rogala, Z.; Stanclik, M. Challenges of Application of Green Ammonia as Fuel in Onshore Transportation. Energies 2023, 16, 4898. [Google Scholar] [CrossRef]
- AMMONIA | Occupational Safety and Health Administration. Available online: https://www.cdc.gov/niosh/npg/npgd0028.html (accessed on 17 December 2025).
- Khudhur, D.A.; Tuan Abdullah, T.A.; Norazahar, N. A Review of Safety Issues and Risk Assessment of Industrial Ammonia Refrigeration System. ACS Chem. Health Saf. 2022, 29, 394–404. [Google Scholar] [CrossRef]
- An, G.; Xia, X.; Wu, S.; Liu, Z.; Wang, L.; Li, S. Metal–Organic Frameworks for Ammonia-Based Thermal Energy Storage. Small 2021, 17, 2102689. [Google Scholar] [CrossRef]
- Li, Z.; Pei, D.; Tian, R.; Lu, C. Screening the Specific Surface Area for Metal-Organic Frameworks by Cataluminescence. Chemosensors 2023, 11, 292. [Google Scholar] [CrossRef]
- Snyder, B.E.; Turkiewicz, A.B.; Furukawa, H.; Paley, M.V.; Velasquez, E.O.; Dods, M.N.; Long, J.R. A Ligand Insertion Mechanism for Cooperative NH3 Capture in Metal–Organic Frameworks. Nature 2023, 613, 287–291. [Google Scholar] [CrossRef]
- Hack, J.H.; Dombrowski, J.P.; Ma, X.; Chen, Y.; Lewis, N.H.; Carpenter, W.B.; Li, C.; Voth, G.A.; Kung, H.H.; Tokmakoff, A. Structural Characterization of Protonated Water Clusters Confined in HZSM-5 Zeolites. J. Am. Chem. Soc. 2021, 143, 10203–10213. [Google Scholar] [CrossRef]
- Zhakisheva, B.; Gutiérrez-Sevillano, J.J.; Calero, S. Ammonia and Water in Zeolites: Effect of Aluminum Distribution on the Heat of Adsorption. Sep. Purif. Technol. 2023, 306, 122564. [Google Scholar] [CrossRef]
- Matito-Martos, I.; Martin-Calvo, A.; Ania, C.O.; Parra, J.B.; Vicent-Luna, J.M.; Calero, S. Role of Hydrogen Bonding in the Capture and Storage of Ammonia in Zeolites. Chem. Eng. J. 2020, 387, 124062. [Google Scholar] [CrossRef]
- He, Y.; Guan, B.; Zhuang, Z.; Chen, J.; Zhu, L.; Ma, Z.; Hu, X.; Zhu, C.; Zhao, S.; Shu, K. Advances in Ammonia (NH3) Adsorption and Storage: Materials, Mechanisms, and Applications. Adsorption 2025, 31, 48. [Google Scholar] [CrossRef]
- Cabeza, L.F.; de Gracia, A.; Zsembinszki, G.; Borri, E. Perspectives on Thermal Energy Storage Research. Energy 2021, 231, 120943. [Google Scholar] [CrossRef]
- Mehari, A.; Zhang, Y.X.; Si, H.; Zheng, X.; Jiang, L. Ammonia Adsorption Technology Using Next-Generation Materials for Decarbonized Heating. Chem. Eng. J. 2025, 475, 170835. [Google Scholar] [CrossRef]
- Van Duy, L.; Thi Nguyet, T.; Hung, C.M.; Van Duy, N.; Hoa, N.D.; Catini, A.; Magna, G.; Paolesse, R.; Biasioli, F.; Tonezzer, M.; et al. Light-Assisted Room Temperature Ammonia Gas Sensor Based on Porphyrin-Coated V2O5 Nanosheets. Sens. Actuators B Chem. 2024, 409, 135582. [Google Scholar] [CrossRef]
- Gribkova, O.L.; Kabanova, V.A.; Rodina, E.I.; Teplonogova, M.A.; Demina, L.I.; Nekrasov, A.A. Optical Ammonia Sensors Based on Spray-Coated Polyaniline Complexes with Polysulfonic Acids. Sensors 2025, 25, 3348. [Google Scholar] [CrossRef]
- Lee, J.W.; Park, J.H.; Choi, H.W.; Kang, Y.T. Ammonia sorption thermal battery with water-loaded sorbent driven by low-temperature heat source. Energy Convers. Manag. 2023, 295, 117653. [Google Scholar] [CrossRef]
- Maji, M.; Mandal, M.K.; Ghosh Chaudhuri, R. Covalent Organic Frameworks: A State-of-the-Art from Design, Synthesis to Gas Sensing Application with the Prospect of Ammonia Gas Detection. Adv. Sustain. Syst. 2025, 9, e00215. [Google Scholar] [CrossRef]
- Yao, W.; Wu, W.; Liu, Y.; Zhu, B.; Xiao, J.; Zhang, T.; Xi, S. The Development Prospects and Potential of High Specific Surface Area Materials: A Review of the Use of Porous Framework Materials for the Capture and Filtration of Ammonia. Molecules 2025, 30, 1737. [Google Scholar] [CrossRef]
- Jiang, H.Y.; Wang, Z.M.; Sun, X.Q.; Zeng, S.J.; Guo, Y.Y.; Bai, L.; Yao, M.S.; Zhang, X.P. Advanced Materials for NH3 Capture: Interaction Sites and Transport Pathways. Nano-Micro Lett. 2024, 16, 258. [Google Scholar] [CrossRef] [PubMed]
- Bahmanzadegan, F.; Ghaemi, A. Modification and Functionalization of Zeolites to Improve the Efficiency of CO2 Adsorption: A Review. Case Stud. Chem. Environ. Eng. 2024, 9, 100564. [Google Scholar] [CrossRef]
- Lee, C.G.; Lee, W.H.; Yoo, B.; Lee, S.; Ahn, J.P.; El-Zoka, A.A.; Kim, S.H. Atomic-Scale Analysis of Long-Term Degraded Zeolite 13X. J. Am. Ceram. Soc. 2025, 109, e70309. [Google Scholar] [CrossRef]
- Almeida, J.N.; Song, L.; Askarli, S.; Chung, S.-H.; Ruiz-Martínez, J. Zeolite–Water Chemistry: Characterization Methods to Unveil Zeolite Structure. Chemistry-Methods 2025, 5, e202400076. [Google Scholar] [CrossRef]
- Vasconcelos, A.A.; Len, T.; de Oliveira, A.d.N.; Costa, A.A.F.d.; Souza, A.R.d.S.; Costa, C.E.F.d.; Luque, R.; Rocha Filho, G.N.d.; Noronha, R.C.R.; Nascimento, L.A.S.d. Zeolites: A Theoretical and Practical Approach with Uses in (Bio)Chemical Processes. Appl. Sci. 2023, 13, 1897. [Google Scholar] [CrossRef]
- Chen, L.H.; Sun, M.H.; Wang, Z.; Yang, W.; Xie, Z.; Su, B.L. Hierarchically Structured Zeolites: From Design to Application. Chem. Rev. 2020, 120, 11194–11294. [Google Scholar] [CrossRef] [PubMed]
- Braccio, S.; Phan, H.T.; Wirtz, M.; Tauveron, N.; Le Pierrès, N. Simulation of an Ammonia-Water Absorption Cycle Using Exchanger Effectiveness. Appl. Therm. Eng. 2022, 213, 118712. [Google Scholar] [CrossRef]
- Glover, T.G.; Peterson, G.W.; Schindler, B.J.; Britt, D.; Yaghi, O.M. MOF-74 Building Unit Has a Direct Impact on Toxic Gas Adsorption. Chem. Eng. Sci. 2011, 66, 163–170. [Google Scholar] [CrossRef]
- Rieth, A.J.; Tulchinsky, Y.; Dincă, M. High and Reversible Ammonia Uptake in Mesoporous Azolate Metal–Organic Frameworks with Open Mn, Co, and Ni Sites. J. Am. Chem. Soc. 2016, 138, 9401–9404. [Google Scholar] [CrossRef]
- Khabzina, Y.; Farrusseng, D. Unravelling Ammonia Adsorption Mechanisms of Adsorbents in Humid Conditions. Microporous Mesoporous Mater. 2018, 265, 143–148. [Google Scholar] [CrossRef]
- Helminen, J.; Helenius, J.; Paatero, E.; Turunen, I. Adsorption Equilibria of Ammonia Gas on Inorganic and Organic Sorbents at 298.15 K. J. Chem. Eng. Data 2001, 46, 391–399. [Google Scholar] [CrossRef]
- Lucero, J.M.; Crawford, J.M.; Wolden, C.A.; Carreon, M.A. Tunability of Ammonia Adsorption over NaP Zeolite. Microporous Mesoporous Mater. 2021, 324, 111288. [Google Scholar] [CrossRef]
- Lee, J.; Kim, J.; Park, K.Y.; Joo, J.B.; Bae, S. Enhanced and Prolonged Adsorption of Ammonia Gas by Zeolites Derived from Coal Fly Ash. Chemosphere 2024, 368, 143799. [Google Scholar] [CrossRef]












| Type | Range | Accuracy | Manufacture | |
|---|---|---|---|---|
| Temperature | RTD | −50–250 °C | ±0.1 °C | OMEGA Engineering, Norwalk, CT, USA |
| Pressure | Pressure transducer | 0–5 bar | ±0.5% of full scale | tecsis GmbH, Offenbach am Main, Germany |
| Weight | Electricity balance | 0–2000 g | ±2.0 mg | KERN, Balingen, Germany |
| Type | Range | Accuracy | Manufacture | |
|---|---|---|---|---|
| Temperature | RTD | −50–250 °C | ±0.1 °C | OMEGA Engineering |
| Pressure | Pressure transducer | 0–2 bar | ±0.5% of full scale | tecsis GmbH |
| Concentration | Ammonia detector | 2000 ppm | ±5% of full scale | Honeywell Analytics, Charlotte, NC, USA |
| Weight | Electricity balance | 0–2000 g | ±2.0 mg | KERN |
| Material/System | Operating Condition | Adsorption/Capture Capacity | Regeneration Temperature | Reference |
|---|---|---|---|---|
| MIL-101 (Cr) | NH3 gas, 6.1 bar | 41.0 mmol/g | 140 °C | [17] |
| ZIF-8 | NH3 gas, 6.1 bar | 13.9 mmol/g | 140 °C | [17] |
| Cu-BTC (HKUST-1) | NH3 gas, 6.1 bar | 26.4 mmol/g | 140 °C | [17] |
| Mg-MOF-74 | NH3 1000 ppm, | 7.60 mmol/g (dry) 1.70 mmol/g (80% RH) | 120 °C | [38] |
| Ni2Cl2BTDD | NH3 gas, 1 bar | 12.0 mmol/g | 150 °C | [39] |
| ZSM-5 | NH3 1200 ppm, 40% RH | 2.24 mmol/g (dry) 1.47 mmol/g (humid) | - | [40] |
| Y zeolite | NH3 1200 ppm, 40% RH | 1.82 mmol/g (dry) 0.71 mmol/g (humid) | - | [40] |
| Zeolite 13X | NH3 gas, 298 K | 9.33 mmol/g | - | [41] |
| MFI | NH3 gas 258–298 K | 4 mmol/g | - | [22] |
| FAU, ITQ-29 | NH3 gas 258–298 K | ~10–12 mmol/g | - | [22] |
| NaP zeolite | NH3 gas, 273 K | 8.47 mmol/g | - | [42] |
| CFA-derived Na-X zeolite (ZNF-X) | NH3 gas, 5000 ppm | 3.82 mmol/g | ~300 °C | [43] |
| Zeolite 13X@H2O | NH3 gas 1–5 bar, 25 °C Closed system | 6.5 mmol/g | 80 °C | [28] |
| WLZ-75 | NH3 (~1000 ppm) 65% RH | 6.75 mmol/g | <90 °C | This work |
Disclaimer/Publisher’s Note: The statements, opinions and data contained in all publications are solely those of the individual author(s) and contributor(s) and not of MDPI and/or the editor(s). MDPI and/or the editor(s) disclaim responsibility for any injury to people or property resulting from any ideas, methods, instructions or products referred to in the content. |
© 2025 by the authors. Licensee MDPI, Basel, Switzerland. This article is an open access article distributed under the terms and conditions of the Creative Commons Attribution (CC BY) license.
Share and Cite
Kim, B.; Lee, J.W. Low-Temperature Regenerable Water-Loaded Zeolite 13X for Ammonia Capture, Reusability, and Leak Detection in Confined Space. Appl. Sci. 2026, 16, 53. https://doi.org/10.3390/app16010053
Kim B, Lee JW. Low-Temperature Regenerable Water-Loaded Zeolite 13X for Ammonia Capture, Reusability, and Leak Detection in Confined Space. Applied Sciences. 2026; 16(1):53. https://doi.org/10.3390/app16010053
Chicago/Turabian StyleKim, Bora, and Jae Won Lee. 2026. "Low-Temperature Regenerable Water-Loaded Zeolite 13X for Ammonia Capture, Reusability, and Leak Detection in Confined Space" Applied Sciences 16, no. 1: 53. https://doi.org/10.3390/app16010053
APA StyleKim, B., & Lee, J. W. (2026). Low-Temperature Regenerable Water-Loaded Zeolite 13X for Ammonia Capture, Reusability, and Leak Detection in Confined Space. Applied Sciences, 16(1), 53. https://doi.org/10.3390/app16010053

