Next Article in Journal
ATR-FTIR Spectroscopy Analysis of Biochemical Alterations in Pseudomonas aeruginosa Biofilms Following Antibiotic and Probiotic Treatments
Next Article in Special Issue
Identification of Upper and Lower Limits of the Unstable Region of the Undamped Duffing Oscillator with Softening Stiffness
Previous Article in Journal
Research on Oil and Gas Pipeline Leakage Detection Based on MSCNN-Transformer
Previous Article in Special Issue
The Frictional Impact with Rebound for 3D Printed Surfaces
 
 
Font Type:
Arial Georgia Verdana
Font Size:
Aa Aa Aa
Line Spacing:
Column Width:
Background:
Article

Exact Analytical Solutions for Free Single-Mode Nonlinear Cantilever Beam Dynamics: Experimental Validation Using High-Speed Vision

Department of Automation, Biomechanics and Mechatronics, Lodz University of Technology, Stefanowski Str., 90-537 Lodz, Poland
*
Author to whom correspondence should be addressed.
Appl. Sci. 2026, 16(1), 479; https://doi.org/10.3390/app16010479
Submission received: 29 November 2025 / Revised: 26 December 2025 / Accepted: 28 December 2025 / Published: 2 January 2026
(This article belongs to the Special Issue Nonlinear Dynamics in Mechanical Engineering and Thermal Engineering)

Abstract

This work investigates the nonlinear flexural dynamics of a macroscale cantilever beam by combining analytical modeling, symbolic solution techniques, numerical simulation, and vision-based experiments. Starting from the Euler–Bernoulli equation with geometric and inertial nonlinearities, a reduced-order model is derived via a single-mode Galerkin projection, justified by the experimentally confirmed dominance of the fundamental bending mode. The resulting nonlinear ordinary differential equation is solved analytically using two symbolic methods rarely applied in structural vibration studies: the Extended Direct Algebraic Method (EDAM) and the Sardar Sub-Equation Method (SSEM). Comparison with high-accuracy numerical integration shows that EDAM reproduces the nonlinear waveform with high fidelity, including the characteristic non-sinusoidal distortion induced by mid-plane stretching. High-speed vision-based measurements provide displacement data for a physical cantilever beam undergoing free vibration. After calibrating the linear stiffness, analytical and experimental responses are compared in terms of the dominant oscillation frequency. The analytical model predicts the classical hardening-type amplitude–frequency dependence of an ideal Euler–Bernoulli cantilever, whereas the experiment exhibits a clear softening trend. This contrast reveals the influence of real-world effects, such as initial curvature, boundary compliance, or micro-slip at the clamp, which are absent from the idealized formulation. The combined analytical–experimental framework thus acts as a diagnostic tool for identifying competing nonlinear mechanisms in flexible structures and provides a compact physics-based reference for reduced-order modeling and structural health monitoring.

1. Introduction

1.1. Nonlinear Models in Science and Engineering

Nonlinear dynamical models are ubiquitous in modern science and engineering and play a central role in describing complex physical phenomena. They arise naturally in fields such as fluid dynamics, where nonlinear fluid–structure interactions govern vortex-induced vibrations [1], and plasma physics, where nonlinear wave propagation controls confinement and stability [2]. Exact closed-form solutions of such models are particularly valuable, as they expose qualitative features, such as coherent wave structures, solitons, and bifurcation mechanisms, that may remain obscured in purely numerical analyses. In addition, closed-form solutions provide reliable benchmarks for validating numerical algorithms and for isolating the dominant physical mechanisms in complex systems.
In the present work, nonlinear effects originate from geometric curvature induced by moderate transverse deflections of a slender cantilever beam. The structure operates in a regime where shear deformation and rotary inertia are negligible, so that Euler–Bernoulli kinematics adequately capture the governing physics. This assumption enables a compact and analytically tractable formulation of the nonlinear dynamics while retaining the essential features relevant to the experimental observations.

1.2. Mathematical Framework for Nonlinear Dynamics

Nonlinear ordinary and partial differential equations constitute the fundamental mathematical framework for describing time-dependent processes across a wide range of physical scales. Their analysis provides both physical insight and predictive capability. In particular, nonlinear partial differential equations describe the spatiotemporal evolution of systems with geometric, inertial, or constitutive nonlinearities and form the basis for nonlinear beam, plate, and shell theories in structural mechanics.
For slender cantilever beams with well-separated natural frequencies, the free vibration response is typically dominated by the first bending mode, especially when vibration amplitudes remain below the thresholds at which strong multimodal interactions or internal resonances emerge. This observation motivates the use of single-mode reduced-order models, which offer a mathematically transparent setting for deriving exact analytical solutions and for establishing a direct and meaningful comparison with experimental measurements.

1.3. Literature Review on Beam Dynamics and Solution Methods

The dynamics of beams has been studied extensively for over a century, beginning with the foundational elasticity theories of Love [3] and Timoshenko and Goodier [4], and later extended through modern numerical and analytical formulations [5]. Because many engineering structures, including bridges, aircraft wings, robotic manipulators, and MEMS resonators, can be idealized as beams, vibration analysis remains a central topic in mechanical and civil engineering research [6,7,8,9].
Linear beam models accurately describe small-amplitude vibrations, but moderate and large deflections require the inclusion of geometric nonlinearities. Numerous studies have investigated nonlinear cantilever beam vibrations using analytical, numerical, and experimental approaches. Analytical treatments include tapered beams and nonlinear bending formulations [10,11], while experimental studies have examined discrepancies arising from sensor mass effects [12], stick-slip phenomena under harmonic excitation [13], multi-harmonic instability regions [14], and the influence of graded materials [15]. Advanced vision-based measurement systems have also been employed to capture extremely large forced oscillations using geometrically exact models [16].
A major challenge in nonlinear beam dynamics lies in solving the resulting nonlinear ordinary and partial differential equations. Classical approximate analytical techniques remain widely used [17], including perturbation-based methods such as IPM, PEM, ADM-Padé, and HPM [18,19,20,21,22], as well as the highly flexible HAM [23]. Energy-based approaches, including the Variational Iteration Method, Max-Min method, Hamiltonian approach, and Energy Balance Method, have also been extensively applied [24,25,26,27]. While these methods yield valuable approximations, they typically rely on series expansions, small parameters, or iterative correction schemes.
In contrast, symbolic ansatz-based methods aim to derive exact closed-form solutions of nonlinear dynamical equations. This class includes F-expansion techniques [28], modified tanh methods [29], sine-Gordon and Kudryashov-type formulations [30], unified symbolic approaches [31], and various sub-equation schemes [32,33]. Although such methods are increasingly used in nonlinear wave theory [34] and nano-mechanics [35], their application to classical geometrically nonlinear beam equations at the macro-scale, where direct experimental validation is feasible, remains limited. This gap motivates the use of the Extended Direct Algebraic Method (EDAM) and the Sardar Sub-Equation Method (SSEM) in the present study.
Parallel developments in nonlinear structural dynamics have focused on geometrically exact models and nonlinear normal modes (NNMs), enabling accurate analysis at very large amplitudes. Contemporary studies employ continuation and harmonic balance techniques to compute backbone curves, modal interactions, and symmetry-breaking phenomena [36,37,38,39,40]. Originating from the seminal work of Shaw and Pierre [41], NNM theory provides a robust multi-mode framework for studying internal resonances, modal coupling, and amplitude-dependent frequency shifts.
Linear free-vibration problems of Euler–Bernoulli cantilever beams have been extensively studied using numerical and semi-analytical techniques, particularly for non-uniform geometries, where finite difference or finite element discretizations provide accurate predictions of natural frequencies and mode shapes [42]. Exact closed-form eigen-solutions are available only for restricted classes of linear beam models, such as axially loaded [43] or specially tailored Rayleigh cantilever beams, where inverse formulations or specific assumptions on material and geometric variations are required [44].
Linear free-vibration analyses have further demonstrated the sensitivity of Euler–Bernoulli cantilever dynamics to geometric variations and boundary idealizations, including variable cross-sections, local defects, and non-ideal clamping conditions, which can significantly affect natural frequencies even within otherwise classical formulations [45,46].
When geometric nonlinearities are included, the governing partial differential equations are commonly reduced to low-dimensional ordinary differential equations using Galerkin-based modal truncation. Within this reduced-order framework, approximate analytical methods such as the homotopy analysis method and related series-based techniques have been widely applied to investigate nonlinear free vibrations of Euler–Bernoulli beams, yielding accurate time responses and backbone characteristics [47]. However, the resulting solutions typically take the form of truncated series expansions whose convergence depends on auxiliary control parameters and iterative refinement procedures.
A similar series-based analytical paradigm is also prevalent in the treatment of large-deflection cantilever beam problems in static or quasi-static regimes. Homotopy-based and power-series solutions have been developed for beams with variable flexural rigidity, axial or surface-induced stresses, and multilayer configurations with interfacial effects, providing mathematically rigorous solutions with established convergence properties [48,49,50]. These formulations, however, are primarily concerned with spatial response fields and do not address nonlinear vibration dynamics in the time domain.
Explicit analytical approximations based on homotopy-type series expansions have also been proposed for strongly nonlinear cantilever beam formulations within the Euler–Bernoulli framework. Although such approaches can significantly extend the range of validity of approximate solutions, they typically rely on convergence-control parameters and truncated polynomial or rational representations rather than yielding closed-form time-domain solutions in the strict analytical sense [51].
Taken together, the above studies indicate that most analytical treatments of nonlinear cantilever dynamics either rely on approximate series-type constructions or focus on frequency-domain continuation frameworks, while exact closed-form time-domain descriptions with direct experimental verification remain rare. The present work aims to fill this niche for a classical Euler–Bernoulli cantilever in a vibration regime dominated by the first bending mode. In classical inextensional formulations, mid-plane stretching leads to a hardening-type nonlinear response characterized by an amplitude-dependent increase in the fundamental frequency [10,11,52]. In practice, however, experimental studies frequently report apparent softening or mixed-type trends, commonly attributed to non-ideal boundary conditions and small geometric imperfections. These considerations motivate the formulation of the reduced-order model and the analytical developments presented next in Section 2.

1.4. Scope and Validity of the Reduced-Order Model

The analytical developments presented in this work are based on a reduced-order description obtained via a single-mode Galerkin projection. This modeling choice is supported both by classical theoretical considerations and by direct experimental observations.
First, the experimentally measured transverse deflections remain moderate, with w exp ( L , t ) / L 0.04 , a regime in which the dynamic response is known to be dominated by the fundamental bending mode. Within the spatial and temporal resolution of the vision-based measurements, no measurable contribution from higher bending modes was detected (Section 6).
Second, the natural frequencies of a clamped–free beam are well separated for the first few bending modes, as indicated by the eigenvalues and modal frequencies reported in Table A1. This separation makes low-order internal resonances unlikely within the investigated amplitude range. Consequently, nonlinear energy transfer to higher modes remains negligible, and the dynamics evolve predominantly within the first-mode subspace.
Third, the primary objective of this study is to derive exact closed-form analytical solutions for the nonlinear modal dynamics. To meet this objective, the analysis is deliberately restricted to moderate vibration amplitudes, with validity confirmed up to approximately | v max | 0.3 (see Section 7.4). The requirement of closed-form solvability imposes a natural constraint on model complexity and renders a single-mode reduction both appropriate and necessary. Within this regime, the reduced-order system retains the essential nonlinear physics while remaining analytically tractable.
The present formulation is therefore not intended to reproduce the full multimodal dynamics associated with large-amplitude geometrically exact models or nonlinear normal mode analyses. Its purpose is instead to provide a mathematically closed, analytically transparent, and experimentally verifiable reference model. In this sense, the single-mode analytical formulation serves as a diagnostic baseline that isolates ideal geometric nonlinearities and enables systematic interpretation of deviations observed in real structures.

1.5. Contributions and Paper Organization

This work presents a unified analytical, numerical, and experimental investigation of the free nonlinear flexural vibrations of a slender cantilever beam. Although the physical setting is classical, the combination of exact symbolic solution methods, high-fidelity numerical simulations, and vision-based measurements enables a rigorous re-examination of this canonical problem from a closed-form and experimentally verifiable perspective. The main contributions of the present study are summarized as follows:
  • Starting from the geometrically nonlinear Euler–Bernoulli beam theory, a reduced-order single-mode model is derived to capture the essential physics of large-amplitude flexural oscillations. While Galerkin-type reductions are well established, the resulting nonlinear ordinary differential equation has not previously been solved in closed form for this class of geometrically nonlinear cantilever dynamics. In this work, exact analytical solutions are obtained using two symbolic techniques, i.e., the Extended Direct Algebraic Method (EDAM) and the Sardar Sub-Equation Method (SSEM), yielding explicit parameter-dependent expressions for the modal dynamics.
  • The analytical solutions are systematically assessed against high-resolution numerical time integrations. This comparison delineates the range of validity of the symbolic solutions, clarifies the influence of nonlinear inertial terms, and quantifies the amplitude-dependent frequency shift characteristic of geometric nonlinearity. The resulting analysis provides a compact physical interpretation of the nonlinear dynamical response within the reduced-order framework.
  • The reduced-order model is validated experimentally using a custom non-contact vision-based measurement system. A quasi-steady response interval with weak damping is identified, during which the motion remains dominated by the fundamental bending mode. In this regime, the dominant frequency extracted from experimental data agrees closely with analytical predictions, confirming both the applicability and the inherent limitations of the single-mode closed-form description for real structures.
Figure 1 presents a graphical overview of the analytical–experimental workflow developed in this study, illustrating the progression from the governing partial differential equation to the reduced-order model, symbolic solution techniques, numerical validation, and experimental comparison.
The broader significance of this work lies in its role as a physics-based reference for nonlinear vibration analysis in an increasingly data-driven context, such as structural health monitoring. While modern vision-based and data-centric approaches are effective in extracting patterns from measured responses [53,54], they often lack analytically tractable and experimentally validated nonlinear benchmarks. The present study provides such a benchmark in the form of a closed-form, physically interpretable model with validated amplitude–frequency characteristics, which is essential for distinguishing intrinsic nonlinear vibration effects from structural degradation or damage.
The remainder of the paper is organized as follows. Section 2 formulates the governing equations, introduces the mode shapes, and derives the single-mode nonlinear model. Section 2.2 discusses engineering contexts relevant to the present framework. Section 3 introduces the EDAM and SSEM techniques and applies them to obtain closed-form solutions. Section 4 interprets these solutions and compares them with numerical simulations. Section 5 examines selected dynamical scenarios, including sensitivity to initial conditions. Section 6 describes the experimental setup and data processing. Section 7 presents the comparison between analytical predictions and experimental measurements. Finally, Section 8 and Section 9 provide a discussion, summarize the main findings, and outline future research directions, including extensions to multimode dynamics, damping identification, and hybrid physics–data modeling.

2. Formulation of the Problem

Consider the cantilever (clamped–free) beam shown in Figure 2, characterized by length L, mass per unit length m, flexural rigidity (bending stiffness) E I , and area moment of inertia I. The structure is slender ( L h ) and undergoes in-plane transverse flexural vibrations.
We assume that the Euler–Bernoulli beam theory governs the transverse vibrations of the structure. Shear deformation and rotary inertia are neglected, which is fully consistent with the geometry of the experimental specimen used later in this work. The in-plane flexural vibrations of the beam, including geometric nonlinearities, are described by the following partial differential Equation [55]:
m 2 w t 2 + E I 4 w x 4 + 1 2 m x w x x L 2 t 2 0 x w x 2 d ξ d η + E I x w x x w x 2 w x 2 = 0 .
Here, x is the axial coordinate measured from the clamped end (Figure 2), and w ( x , t ) denotes the lateral displacement in the y-direction. Equation (1) captures the beam’s dynamic deformation under inertial and nonlinear geometric effects. Each term has a specific physical role:
(i)
m w t t —inertia associated with the distributed mass;
(ii)
E I w x x x x —linear flexural rigidity term, governing small-amplitude flexural waves;
(iii)
the third term—geometric nonlinearity induced by mid-plane stretching, arising from axial deformation associated with finite slopes w x ;
(iv)
the fourth term—nonlinear coupling between bending and axial strain, which becomes relevant once curvature and slope are no longer infinitesimal.
Together, these contributions represent a standard geometrically nonlinear Euler–Bernoulli model, appropriate for slender beams subjected to moderate but dynamically significant deflections.
To simplify the nonlinear PDE (1) and extract a tractable dynamical description, we apply a single-mode approximation via the Bubnov–Galerkin method. The displacement field is approximated by
w ( x , t ) = v n ( t ) ϕ n ( x ) ,
where v n ( t ) is the generalized coordinate (time-dependent modal amplitude) corresponding to the n-th vibration mode, and ϕ n ( x ) is the n-th mode shape of a clamped–free beam. The function ϕ n ( x ) is given in a non-dimensional and non-normalized form [55]:
ϕ n ( x ) = cosh ( λ n x ) cos ( λ n x ) α n sinh ( λ n x ) sin ( λ n x ) , with α n = cosh ( λ n L ) + cos ( λ n L ) sinh ( λ n L ) + sin ( λ n L ) .
Here, λ n L is the n-th root of the characteristic equation for a clamped–free beam, and L is the beam length. The parameter λ n is the spatial eigenvalue associated with the n-th vibration mode. It arises from solving the boundary value problem obtained via separation of variables applied to the governing PDE. Physically, [ λ n ] = m 1 , and it characterizes the spatial frequency of the n-th mode shape ϕ n ( x ) , i.e., the rate at which the mode shape oscillates along the beam’s length. Higher values of λ n correspond to modes with increased curvature and a larger number of internal nodes, as illustrated in Figure 3.
In what follows, the mode shape associated with the first mode is renormalised so that ϕ 1 ( L ) = 1 , ensuring that the dimensionless modal coordinate v ¯ 1 ( τ ) coincides with the dimensionless tip deflection.
The spatial eigenvalue λ n is related to the natural angular frequency ω n of the n-th vibration mode by:
λ n 4 = m ω n 2 E I ,
where m is the mass per unit length and E I is the flexural rigidity of the beam. This relation simply reflects the balance between inertia and flexural rigidity at the modal level.
To facilitate non-dimensional analysis and to reveal the intrinsic time scale of the system, we introduce the scaled variables:
τ = E I m L 4 t , v ¯ n ( τ ) = v n ( t ) L ,
where τ is the dimensionless time and v ¯ n ( τ ) is the normalized dimensionless modal amplitude associated with the nth vibration mode. When the mode shape ϕ n ( x ) is normalized such that ϕ n ( L ) = 1 , the dimensionless coordinate v ¯ n ( τ ) coincides with the normalized tip deflection of the beam.
The quantity ω ref = E I / ( m L 4 ) serves as the reference angular frequency of the beam and provides the natural time-scaling factor based purely on its physical and geometric properties.
In this non-dimensional formulation, the linear single-mode dynamics reduce to a dimensionless harmonic oscillator
v ¯ ¨ n + Ω n v ¯ n = 0 ,
where the dimensionless angular natural frequency is
Ω n = ( λ n L ) 2 .
Equivalently, when working with the non-dimensional spatial coordinate x / L [ 0 , 1 ] and denoting by λ n the corresponding eigenvalue of the clamped–free problem, the dimensionless angular frequency is
Ω n = λ n 2 .
The associated physical angular frequency is then obtained by rescaling with the reference frequency,
ω n = Ω n ω ref .
In the present work, we focus on the fundamental mode. To extract it, we set λ 1 L 1.87510407 , the smallest positive root of the characteristic equation cos ( λ 1 L ) cosh ( λ 1 L ) + 1 = 0 . This eigenvalue and its associated spatial mode shape ϕ 1 ( x ) follow directly from linear Euler–Bernoulli beam theory. Following standard practice in Galerkin-based model reduction for weakly to moderately nonlinear structures, the linear mode shape is retained, while the nonlinear effects are assumed to manifest primarily in the time-dependent modal amplitude v 1 ( t ) .
This single-mode approximation is justified under key conditions relevant to the present study. First, it assumes that the shape of the fundamental mode is not significantly altered by nonlinear effects, so that the spatial deformation remains close to ϕ 1 ( x ) even at finite amplitudes. Second, it neglects nonlinear energy transfer to higher modes, which may arise through mechanisms such as mid-plane stretching. This assumption is appropriate when the natural frequencies of a clamped–free beam are well separated, and the system is not subjected to internal or external resonances capable of efficiently exciting higher modes.
Crucially, the experimental observations presented in Section 6 provide direct empirical support for this modelling choice. The measured deformation fields are overwhelmingly dominated by the first bending mode, and no measurable contribution from higher modes is detected within the spatial and temporal resolution of the vision-based measurements. The good agreement between the model predictions and the experimental results, discussed in Section 7, therefore serves as an a posteriori validation of the single-mode reduction.
Applying the Bubnov–Galerkin method to Equation (1) and projecting onto the first clamped–free mode shape ϕ 1 ( x ) , we obtain the following dimensionless nonlinear ODE for the modal amplitude v ¯ 1 ( τ ) :
d 2 v ¯ 1 d τ 2 + σ 1 v ¯ 1 + σ 2 v ¯ 1 3 + σ 3 v ¯ 1 d v ¯ 1 d τ 2 + σ 4 v ¯ 1 2 d 2 v ¯ 1 d τ 2 = 0 ,
with dimensionless coefficients (see Table A1):
σ 1 = 12.36 , σ 2 = 40.44 , σ 3 = σ 4 = 4.60 .
Here, v ¯ ¨ 1 denotes the second derivative with respect to τ . The individual terms can be interpreted as σ 1 v ¯ 1 —linear modal stiffness, σ 2 v ¯ 1 3 —cubic geometric stiffness nonlinearity (finite-slope effect), σ 3 v ¯ 1 v ¯ ˙ 1 2 —nonlinear inertia (from axial inertia associated with finite slopes), and σ 4 v ¯ 1 2 v ¯ ¨ 1 —amplitude-dependent inertia (inertial nonlinearity).
The coefficients σ i are computed numerically based on integrals involving the first mode shape ϕ 1 ( x ) and its spatial derivatives. The full derivation is presented in Appendix A. It should be emphasized that both the resulting ODE and the values of the coefficients are specific to this first mode and to the adopted normalization (here ϕ 1 ( 1 ) = 1 ). Higher modes exhibit increasing spatial complexity (more internal nodes and curvature extrema), which would require a multi-mode reduction to capture modal interactions. This motivates the single-mode framework adopted here, consistent with the experimentally observed mode dominance (see Figure 4 and Appendix B).
Figure 4 highlights the rapid increase in spatial complexity associated with higher vibration modes, manifested by additional nodal lines and higher curvature content. This visualization clarifies why, in the moderate-amplitude free-vibration regime considered here, the first mode provides a dominant and physically meaningful reduced-order description.
This reduced-order, single-mode model forms the basis for analyzing the nonlinear dynamics of the cantilever beam undergoing moderate-to-large-amplitude free vibrations. In the following sections, we discuss its practical relevance and present two analytical methods for constructing closed-form solutions to Equation (5).

2.1. Key Assumptions of the Reduced-Order Model

The reduced-order model developed in this study is based on the following assumptions:
  • Euler–Bernoulli beam theory. The beam is slender (its length is much larger than its thickness); shear deformation and rotary inertia are neglected. The geometry of the experimental specimen is consistent with this assumption.
  • Single-mode Galerkin reduction. Only the fundamental bending mode is retained in the approximation. This choice is motivated by the strong spectral separation of the natural frequencies of a clamped–free beam and by experimental evidence showing that the free vibration response is dominated by the first mode (Section 6). A detailed justification of this modelling strategy is provided in Section 1.4.
  • Conservative system. No explicit damping terms are included in the governing equation. This simplification is deliberately adopted to enable the derivation of exact analytical solutions and to isolate the intrinsic geometric and inertial nonlinearities. The comparison with the experiment is therefore restricted to a quasi-steady interval of motion where damping effects are weak.
  • Planar motion. The vibration is assumed to remain planar, with no torsional or out-of-plane components.
  • Linear elastic material behaviour and free vibration. The material is assumed to be linearly elastic, and no external forces, axial preload, or gravitational effects are included.
Within these assumptions, the model captures the dominant undamped single-mode nonlinear dynamics of the beam and provides a compact analytical description that can be directly confronted with numerical simulations and experimental measurements.

2.2. Engineering Context and Practical Relevance

Cantilever beams are ubiquitous in engineering systems where lightweight design and low damping make nonlinear dynamic effects particularly relevant. The undamped single-mode formulation developed in Section 2 is applicable whenever free vibrations dominate and backbone-type amplitude–frequency characteristics are of primary interest.
In aerospace structures, flexible cantilevered components such as satellite appendages and aircraft wings exhibit low damping and large dynamic deflections, influencing stability and control [56,57,58]. Similar considerations arise in mechanical and microscale systems, including robotic manipulators and MEMS cantilever beams, where elastic deflections and shock-induced responses lead to pronounced nonlinear behaviour under weak damping [59,60,61].
Cantilever configurations are also common in civil engineering, particularly in bridge construction, where long-term monitoring reveals deflections exceeding design predictions even when damping is weak [62,63]. In such contexts, simplified undamped models remain useful for early-stage dynamic assessment.
These examples indicate that the nonlinear undamped cantilever model considered here provides a practical analytical reference for interpreting numerical simulations and experimental observations in systems dominated by geometric nonlinearities.

3. Analytical Solution Methods

In this section, we address the analytical solution of the dimensionless nonlinear ODE governing the modal amplitude, given in Equation (5) for a selected mode. Two symbolic techniques are employed: the Extended Direct Algebraic Method (EDAM) and the Sardar Sub-Equation Method (SSEM). These methods are designed to construct exact closed-form solutions to nonlinear evolution equations and are adapted here to describe the dynamics of cantilever beam vibrations.
In the remainder of the paper, all equations are expressed in terms of the dimensionless time variable τ introduced in (4). Since the analysis focuses exclusively on the first bending mode, we drop the mode index and write
v ¯ ( τ ) v ¯ 1 ( τ ) ,
with overdots denoting subsequent differentiation with respect to τ . For brevity, the bar notation will also be omitted when no confusion arises, so that v ( τ ) and v ¯ ( τ ) both denote the dimensionless modal amplitude of the first mode.
The reduced equation of motion from Equation (5) can therefore be written in the unified notation as
v ¨ + σ 1 v + σ 2 v 3 + σ 3 v v ˙ 2 + σ 4 v 2 v ¨ = 0 ,
where v ( τ ) denotes the dimensionless modal amplitude of the first bending mode, and the coefficients σ i are defined through spatial integrals of the corresponding mode shape (see Appendix A).
Step 1: We recall the general structure of a nonlinear PDE used to model beam dynamics:
J ( V , V x , V x x , , V t , V t t , ) = 0 ,
where V = V ( x , t ) is the unknown displacement field, and J is a polynomial in the indicated derivatives.
Step 2: Based on the single-mode approximation introduced in Section 2, the governing PDE was reduced to the nonlinear ODE (5) for the modal amplitude v ( τ ) . The analytical methods are applied directly to this ODE, where the independent variable is the dimensionless time τ .
Step 3: To solve Equation (7) for the modal amplitude v ( τ ) , we introduce the ansatz
v ( τ ) = i = 0 n ϖ i χ i ( τ ) ,
where χ ( τ ) is an auxiliary function to be determined by either EDAM or SSEM, and ϖ i are constant coefficients.
The purpose of this ansatz is to reduce the nonlinear ODE to an algebraic system by assuming a functional dependence on χ ( τ ) that satisfies a suitable auxiliary equation.
Using the balancing principle, we compare the orders of the dominant linear term v ¨ χ n + 2 and the nonlinear term v 3 χ 3 n . Setting n + 2 = 3 n yields n = 1 (see [64]).
It is noted that Equation (7) also contains other nonlinear terms, namely σ 3 v v ˙ 2 and σ 4 v 2 v ¨ , which are of higher algebraic order (schematically χ 3 n + 2 ). For the investigated moderate-amplitude regime | v | 0.3 , the nonlinear inertial contributions are of higher order with respect to the ansatz scaling. In particular, terms of the form v v ˙ 2 and v 2 v ¨ scale as O ( v 3 ) relative to the leading linear inertia O ( v ) , whereas the dominant geometric nonlinearity provides the primary mechanism responsible for the observed waveform distortion and frequency shift. Consequently, neglecting these nonlinear inertial terms in the leading-order balance affects the solution mainly quantitatively (small corrections) rather than qualitatively (no change in the response type within the considered amplitude range). This is further confirmed by the close agreement between the analytical expressions and the numerical reference solutions reported in Section 4. A full balance including these terms would lead to a substantially more complicated ansatz. In line with common practice for this class of methods, we balance the linear inertia term against the dominant geometric stiffness nonlinearity ( σ 2 v 3 ). This choice is physically justified, as it confronts the primary linear dynamics with the main source of physical nonlinearity (mid-plane stretching). The high accuracy of the resulting solutions, demonstrated in Section 4, serves as an a posteriori validation of this simplifying assumption.
For n = 1 , the ansatz reduces to
v ( τ ) = ϖ 0 + ϖ 1 χ ( τ ) .
The auxiliary function χ ( τ ) will now be determined by solving a suitable sub-equation, depending on the method employed.

3.1. The New Extended Direct Algebraic Method

In the new Extended Direct Algebraic Method (EDAM), the auxiliary function χ ( τ ) is assumed to satisfy a first-order nonlinear differential equation of the Riccati type:
χ ˙ ( τ ) = ln ( u ) κ 1 + κ 2 χ ( τ ) + κ 3 χ 2 ( τ ) ,
where ln ( u ) is a multiplicative regularization factor, u R { 0 , 1 } , and κ 1 , κ 2 , κ 3 R are parameters to be identified. The factor ln ( u ) is introduced as a scaling parameter that facilitates compact closed-form expressions and does not affect the qualitative structure of the resulting solutions.
To classify the solutions of Equation (11), we introduce the discriminant
η = κ 2 2 4 κ 1 κ 3 ,
which determines the nature of the roots of the associated quadratic polynomial and thus the functional forms of the resulting solutions v i ( τ ) . Different signs of η lead to distinct families of analytical expressions, such as trigonometric, hyperbolic, or rational functions.
Substituting the ansatz (10) into the governing Equation (7) and using the chain rule to express v ˙ and v ¨ in terms of χ ( τ ) and χ ˙ ( τ ) from Equation (11), we obtain an algebraic system in the unknowns ϖ 0 , ϖ 1 , and the parameters κ i . Solving this system yields, in particular,
ϖ 1 = 2 ϖ 0 κ 3 κ 2 ,
with κ 2 0 , while ϖ 0 remains a free parameter to be specified from boundary or initial conditions. This relation corresponds to the non-degenerate branch of solutions with κ 2 0 , which yields physically admissible, non-singular expressions.
The solutions obtained via EDAM for various parameter regimes are denoted by v i ( τ ) , where each v i represents a specific closed-form expression for the modal amplitude v ( τ ) . They are grouped according to the signs and values of η , κ 1 , κ 2 , and κ 3 , and provide a catalogue of exact solutions to Equation (7). The constants m, c, μ , p, q (and similar symbols appearing below) are real integration parameters arising from the solution of the auxiliary Equation (11).
For illustration, the following representative cases are retained. Many of the solutions listed below are mathematically equivalent under time shifts, sign changes, or parameter rescaling; their classification is nevertheless retained for completeness and transparency.
1: If η < 0 and κ 3 0 , then:
v 1 ( τ ) = ϖ 0 η κ 2 tan η 2 τ , v 2 ( τ ) = ϖ 0 η κ 2 cot η 2 τ , v 3 ( τ ) = ϖ 0 η κ 2 tan η τ ± m c sec η τ , v 4 ( τ ) = ϖ 0 η κ 2 cot η τ ± m c csc η τ , v 5 ( τ ) = ϖ 0 η 2 κ 2 tan η 4 τ cot η 4 τ .
2: If η > 0 , κ 3 0 , and ι 2 = 1 , then:
v 6 ( τ ) = ϖ 0 η κ 2 tanh η 2 τ , v 7 ( τ ) = ϖ 0 η κ 2 coth η 2 τ , v 8 ( τ ) = ϖ 0 η κ 2 tanh η τ ± ι m c sech η τ , v 9 ( τ ) = ϖ 0 η κ 2 coth η τ ± m c csch η τ , v 10 ( τ ) = ϖ 0 η 2 κ 2 tanh η 4 τ + coth η 4 τ .
3: If κ 2 2 = 4 κ 1 κ 3 and κ 2 0 , then
v 31 ( τ ) = 1 4 κ 1 κ 3 κ 2 τ ln u + 2 κ 2 3 τ ln u ϖ 0 .
4: If κ 2 = μ 0 , κ 1 = q μ ( q 0 ) , κ 3 = 0 , then
v 32 ( τ ) = κ 2 + 2 κ 3 u μ τ q κ 2 ϖ 0 = ϖ 0 ,
i.e., a constant-amplitude (equilibrium) solution.
5: If κ 3 = 0 and κ 2 0 , then
v 33 ( τ ) = κ 2 + 2 κ 3 κ 1 τ ln u κ 2 ϖ 0 = ϖ 0 ,
again yielding a trivial constant solution.
6: If κ 1 = 0 and κ 2 0 , then
v 35 ( τ ) = 1 2 m cosh κ 2 τ sinh κ 2 τ + m ϖ 0 , v 36 ( τ ) = 1 2 cosh κ 2 τ + sinh κ 2 τ cosh κ 2 τ sinh κ 2 τ + c ϖ 0 .
7: If κ 2 = μ 0 , κ 3 = q μ ( q 0 ) and κ 1 = 0 , then
v 37 ( τ ) = 1 + 2 κ 3 m u μ τ c q m u μ τ κ 2 ϖ 0 .
Candidate solutions containing κ 2 = 0 in the denominator lead to singular or undefined expressions and are therefore excluded from the final set as physically inadmissible.

3.2. The Sardar Sub-Equation Method

In the Sardar Sub-Equation Method (SSEM), the auxiliary function χ ( τ ) is assumed to satisfy the following first-order nonlinear differential equation:
χ ˙ ( τ ) = G + F χ 2 ( τ ) + χ 4 ( τ ) ,
where F and G are real-valued constants. This choice leads to families of solutions expressed in terms of trigonometric, hyperbolic, or related functions, depending on the signs of F and G. This quartic polynomial form is chosen because it admits exact integration and generates a broad class of elementary and hyperbolic functions commonly encountered in nonlinear oscillatory systems.
Substituting the ansatz (10) together with the auxiliary Equation (17) into the governing Equation (7), and applying the chain rule, we obtain an algebraic system relating ϖ 0 , ϖ 1 , F, G, and the coefficients σ i . When G 0 , this system yields
ϖ 0 = 0 , ϖ 1 = F + σ 1 2 G σ 4 ,
for parameter combinations such that the radicand is nonnegative. The condition ϖ 0 = 0 arises algebraically from the consistency of the reduced system and does not restrict the admissible oscillatory dynamics.
For consistency with the EDAM notation, each SSEM solution is again denoted by v i ( τ ) .
Case A: G 0
1: If F > 0 and G = F 2 / 4 :
v 1 ( τ ) = ± F 2 ϖ 1 tan F 2 τ , v 2 ( τ ) = ± F 2 ϖ 1 cot F 2 τ , v 3 ( τ ) = ± F 2 ϖ 1 tan 2 F τ ± p q sec 2 F τ , v 4 ( τ ) = ± F 2 ϖ 1 cot 2 F τ ± p q csc 2 F τ , v 5 ( τ ) = ± F 8 ϖ 1 tan F 8 τ + cot F 8 τ .
2: If F < 0 , G = F 2 / 4 , and ι 2 = 1 :
v 6 ( τ ) = ± F 2 ϖ 1 tanh F 2 τ , v 7 ( τ ) = ± F 2 ϖ 1 coth F 2 τ , v 8 ( τ ) = ± F 2 ϖ 1 tanh 2 F τ ± ι p q sech 2 F τ , v 9 ( τ ) = ± F 2 ϖ 1 coth 2 F τ ± p q csch 2 F τ , v 10 ( τ ) = ± F 8 ϖ 1 tanh F 8 τ + coth F 8 τ .
Case B: G = 0
In this case, Equation (18) becomes singular due to division by zero. We therefore treat ϖ 1 as a free parameter (to be determined from boundary or energy conditions) and write
v ( τ ) = ϖ 1 χ ( τ ) .
1: If F > 0 :
v 11 ( τ ) = ± ϖ 1 sech F p q τ , v 12 ( τ ) = ± ϖ 1 csch F p q τ .
2: If F < 0 :
v 13 ( τ ) = ± ϖ 1 sec F p q τ , v 14 ( τ ) = ± ϖ 1 csc F p q τ .
In summary, the EDAM and SSEM procedures generate distinct families of closed-form solutions to the nonlinear ODE (7), explicitly characterizing the modal displacement v ( τ ) of the cantilever beam under various parameter regimes. In the subsequent sections, selected representative members of these families (in particular v 6 ) are compared quantitatively against numerical simulations.

4. Physical Interpretation of Analytical Solutions

In this study, two different analytical techniques, the new EDAM and the SSEM, were applied to solve the nonlinear modal amplitude equation. Their predictions are compared against a high-accuracy numerical solution obtained using a classical fourth-order Runge–Kutta (RK4) time integrator.
Figure 5a shows the time-history response of the non-dimensional lateral displacement v 6 ( τ ) at the free end of the cantilever beam. The corresponding frequency-domain analysis, together with a comparison of root mean square (RMS) values, is presented in Figure 5b. In all cases, the numerical RK4 solution is treated as the reference, while the EDAM- and SSEM-based analytical solutions are superimposed for comparison.
As expected for in-plane flexural vibrations governed by a nonlinear modal equation, the waveforms exhibit periodic oscillations with a slightly nonsinusoidal character. Both analytical techniques reproduce these qualitative features. In the frequency domain (Figure 5b), the spectra display a sharp, well-isolated peak near the dimensionless fundamental frequency, confirming that the dominant bending mode is correctly captured.
A closer inspection of Figure 5a reveals systematic differences between the analytical methods. The EDAM curve (red solid line) is almost indistinguishable from the RK4 solution over the entire simulated time interval, whereas the SSEM curve (blue dashed line) exhibits noticeable amplitude deviations near the crests and troughs. This difference reflects the fact that EDAM balances the dominant geometric nonlinearity directly against linear inertia, whereas SSEM introduces an additional functional constraint through the quartic sub-equation, which affects the amplitude scaling near extrema. This behaviour is quantified in Table 1, which reports pointwise values of the numerical, EDAM, and SSEM solutions at selected instants over a single period T τ = 1.8 .
The EDAM approximation maintains a pointwise relative error typically between 1.6 % and 3.2 % , while the SSEM shows errors in the range 7.6 10.4 % . These values are fully consistent with the visual impression from Figure 5a, where EDAM follows the numerical trace almost perfectly, whereas SSEM systematically overestimates the displacement amplitude.

4.1. Numerical Reference Solution and Convergence Considerations

Because the analytical methods are benchmarked against a numerical solution, it is important to ensure that the latter is computed with accuracy well beyond the discrepancies reported in Table 1. To this end, the RK4 time integration was performed with a sufficiently small time step, and standard convergence checks were carried out: halving the time step did not produce any visible change in the displacement history at the scale of Figure 5a, and the corresponding variations in the peak amplitudes remained significantly below the EDAM and SSEM errors listed in Table 1. Moreover, for the undamped system, the total mechanical energy remained practically constant over many vibration cycles, confirming that the numerical discretisation error is negligible over the time window considered.
These checks justify treating the RK4 solution as a reliable numerical reference for assessing the accuracy of the analytical techniques. Consequently, the discrepancies reported in Table 1 can be attributed to the intrinsic approximation properties of EDAM and SSEM, rather than to numerical integration artefacts.

4.2. RMS-Based Global Comparison

To complement the pointwise error analysis, we also compute the RMS values of the non-dimensional displacement response v 6 ( τ ) over the interval τ [ 0 , 3.6 ] . The RMS provides a scalar measure of the effective amplitude of the signal over time. Since the average modal energy of an undamped oscillator is proportional to the mean square of its displacement, the RMS value is a robust global metric for comparing the overall magnitude of periodic or quasi-periodic waveforms.
The RMS values are computed for the numerical reference solution and for each analytical approximation using the standard definition
RMS [ v 6 ] = 1 T 0 T v 6 2 ( τ ) d τ ,
approximated numerically using the discrete signal data in MATLAB 2025b. The results are gathered in Table 2.
These global indicators fully support the time-domain observations. The new EDAM solution reproduces the effective amplitude of the numerical benchmark with an RMS deviation of only about 2.6 % , whereas SSEM overestimates the average amplitude by nearly 9.9 % . Both methods capture the correct oscillatory nature and dominant frequency of the response, but EDAM finds a significantly more faithful representation of the waveform and associated energy content over the analysed interval.

4.3. Completeness, Equivalence, and Physical Admissibility of EDAM Solutions

Before relating the analytical solutions to experimental observations, it is necessary to clarify the completeness, equivalence, and physical admissibility of the EDAM solution catalog.
The EDAM procedure yields a catalog of closed-form solutions that is complete in the following operational sense: all solutions satisfying the adopted polynomial ansatz and the governing reduced-order equation are generated, up to equivalence under time translation, sign inversion, and parameter rescaling.
Several EDAM solutions are mathematically equivalent in the sense that they can be transformed into one another by: (i) a time shift t t + t 0 , (ii) a sign change in the state variable v v , or (iii) a rescaling of integration constants that does not modify the frequency–amplitude relationship.
Such transformations leave invariant the backbone curve and the qualitative phase portrait and therefore do not correspond to physically distinct dynamical responses.
Among the obtained EDAM solutions, solution v 6 was selected for experimental comparison because it represents a minimal canonical form that: (i) admits real-valued, bounded periodic motion, (ii) exhibits a monotonic frequency–amplitude dependence, (iii) avoids redundant phase shifts or sign symmetries, and (iv) allows a direct identification of analytical parameters with experimentally observable quantities.
All other physically admissible periodic solutions reduce to v 6 under the equivalence transformations described above.
Physical admissibility of the EDAM solutions requires that the governing parameters satisfy conditions ensuring: (i) bounded periodic motion, (ii) real-valued oscillation frequencies, (iii) positive effective stiffness in the small-amplitude limit, and (iv) absence of finite-time singularities.
In particular, the admissible parameter domain is restricted to combinations of ( κ 1 , κ 2 , κ 3 ) (or, equivalently, ( F , G ) ) for which the polynomial governing the oscillation frequency remains positive over the admissible amplitude range and the resulting solution amplitude remains finite for all τ .
Parameter sets violating these conditions correspond to mathematically valid but physically inadmissible solutions and are therefore excluded from experimental interpretation.

4.4. Relation to an Experimental Verification

Among the physically admissible and mutually equivalent EDAM solutions discussed above, solution v 6 ( τ ) is adopted as a representative reference for experimental comparison.
The availability of analytical expressions for the dimensionless modal amplitude v ( τ ) enables a direct pathway to experimental validation. Once the beam parameters: length L, flexural rigidity E I , and mass per unit length m are known, the solutions can be mapped back to dimensional form via:
w ( t ) = L v ( τ ) , with τ = ω ref t ,
where w ( t ) —physical modal amplitude (displacement of the free end of the beam), v ( τ ) —dimensionless modal amplitude.
This reverse transformation allows comparison with displacement measurements or full-field experimental data, such as laser vibrometry or digital image correlation.
Such mapping supports model calibration and parameter identification. Deviations between predicted and measured responses can guide updates to physical parameters or model assumptions. This is particularly useful in applications like MEMS devices or aerospace structures, where damping is minimal or difficult to quantify. This procedure is adopted in Section 6 for the comparison with vision-based measurements of the cantilever tip motion.

4.5. Robustness and Practical Utility

Although the analytical solutions derived here rely on a single-mode approximation and neglect explicit damping, these assumptions are appropriate for weakly damped free vibrations and early-stage engineering analysis. In particular, the selected EDAM solution v 6 corresponds to a bounded, symmetric, zero-mean periodic response, consistent with experimentally observed free-decay oscillations dominated by the fundamental bending mode.
A key practical advantage of the EDAM formulation is its compact parametric structure. The solution depends on a small set of physically interpretable parameters governing amplitude and frequency, enabling efficient parametric studies and sensitivity analyses. This compactness makes the solution suitable not only for analytical investigations but also as a lightweight surrogate model in applications such as vibration monitoring, reduced-order control, and diagnostic analysis.
Furthermore, the closed-form structure of the EDAM solution permits straightforward extension to include empirical damping or slow parameter modulation, providing a natural link between idealized conservative dynamics and experimentally observed responses. Overall, its robustness with respect to numerical reference solutions and its analytical transparency support the use of EDAM as a practical and physically meaningful reference model for nonlinear cantilever beam dynamics.

5. Nonlinear Dynamical Scenarios

This section investigates the nonlinear dynamical behaviour predicted by the validated reduced-order model. Rather than reproducing a specific experimental scenario, the analysis explores the range of responses exhibited by the calibrated system (5) under varying initial conditions and weak harmonic excitation. The results illustrate intrinsic nonlinear phenomena, including amplitude-dependent frequency shifts, quasi-periodicity, and transitions toward more complex trajectories, and should be interpreted as a characterization of the model’s internal dynamical structure.
The coefficients σ i employed in this section are obtained from the Galerkin projection onto the first three vibration modes, as detailed in Appendix A (Table A1). All simulations remain within the moderate-deflection regime consistent with the assumptions of the Euler–Bernoulli formulation and Equation (1). Although quasi-periodic responses are not validated experimentally here, the analysis provides a systematic map of admissible dynamical behaviours relevant for future experimental investigation.

5.1. Sensitivity to Initial Conditions

To investigate the system’s intrinsic nonlinear characteristics, we first analyse the autonomous dynamics of Equation (7). Introducing the substitution v ˙ = u yields the planar system
d v d τ = u , d u d τ = σ 1 v σ 2 v 3 σ 3 v u 2 1 + σ 4 v 2 .
The sensitivity of the response to initial conditions is illustrated in Figure 6 for ( v 0 , u 0 ) = ( 0.2 , 0 ) , ( 0.5 , 0 ) , and ( 0.8 , 0 ) . In all cases, the motion remains periodic; however, both amplitude and phase evolve systematically with increasing initial energy. The reduction in the oscillation period with increasing amplitude reflects a hardening-type amplitude–frequency coupling induced by the cubic geometric nonlinearity.
A numerical energy-conservation check confirms that the fixed-step RK4 integration used in Figure 6 is effectively conservative, with relative energy drift below 10 10 over 50 oscillation cycles for all initial conditions.
In addition to amplitude effects, increasing initial displacement leads to progressive phase separation between trajectories. This sensitivity to the initial phase-space location is a characteristic feature of nonlinear oscillators and may have practical implications in systems where phase coherence or synchronisation between coupled components is required.

5.2. Transient and Steady-State Dynamics

To reveal richer dynamical regimes, we now introduce a weak harmonic excitation into the system. This modifies Equation (24) to the non-autonomous form
d v d τ = u , d u d τ = σ 1 v σ 2 v 3 σ 3 v u 2 1 + σ 4 v 2 + ε cos ( γ τ ) ,
where ε denotes the amplitude of the external excitation and γ its frequency. This perturbation serves as a proxy for realistic operational disturbances, e.g., base excitation, environmental noise, or weak actuator inputs, allowing us to investigate transitions between quasi-periodic and periodic motions.
Figure 7, Figure 8 and Figure 9 illustrate the system’s transient and steady-state behaviour for several sets of parameters. In Figure 7, the initially quasi-periodic motion gradually collapses onto a periodic orbit as the system settles into a steady state. This behaviour reflects the interaction between nonlinear stiffness and external forcing: over long times, the response synchronises with a frequency component commensurate with the excitation.
In contrast, Figure 8 and Figure 9 show cases where quasi-periodicity persists even in the steady state. The structure of the response depends sensitively on the interaction between the nonlinear restoring force and the external excitation. When the resonance structure becomes sufficiently intricate, the system sustains incommensurate frequencies, generating persistent quasi-periodic motion.

6. Experimental Observation

The primary objective of this study is the analytical investigation of a geometrically nonlinear single-degree-of-freedom oscillator using symbolic methods (EDAM and SSEM), with particular emphasis on the structure, completeness, and physical admissibility of closed-form solutions. The experimental cantilever beam is introduced as a physically realizable system exhibiting the qualitative dynamical features predicted by the mathematical model, namely single-mode dominance and softening-type nonlinearity. The experiment therefore serves as a structural and qualitative validation of the analytical framework, focusing on modal dominance, frequency–amplitude trends, and admissibility of the closed-form solutions.
A brief description of the experimental preparation is nevertheless provided to ensure reproducibility of the observed global response. Prior to imposing the prescribed initial tip displacement, the beam exhibits a slight initial curvature. The maximum deviation from an ideal straight reference line occurs near mid-span and is of the order of the beam thickness b. Given the high slenderness ratio of the specimen, this imperfection is considered intrinsic to the manufacturing and handling process. The beam surface is polished and exhibits a glossy finish typical of machined slender beams, with surface roughness within the range reported in the literature for such finishes ( R a 0.2 0.6 μ m ).
The beam is clamped at its base by embedding it from both sides within the lower support over the full clamping height, achieved by bonding both beam faces to the support. This configuration provides a strong geometric constraint; however, limited boundary compliance cannot be excluded due to the finite stiffness of the adhesive layer and the elastic properties of the additively manufactured support. This compliance is treated as a secondary effect and does not alter the qualitative nonlinear dynamics investigated here.
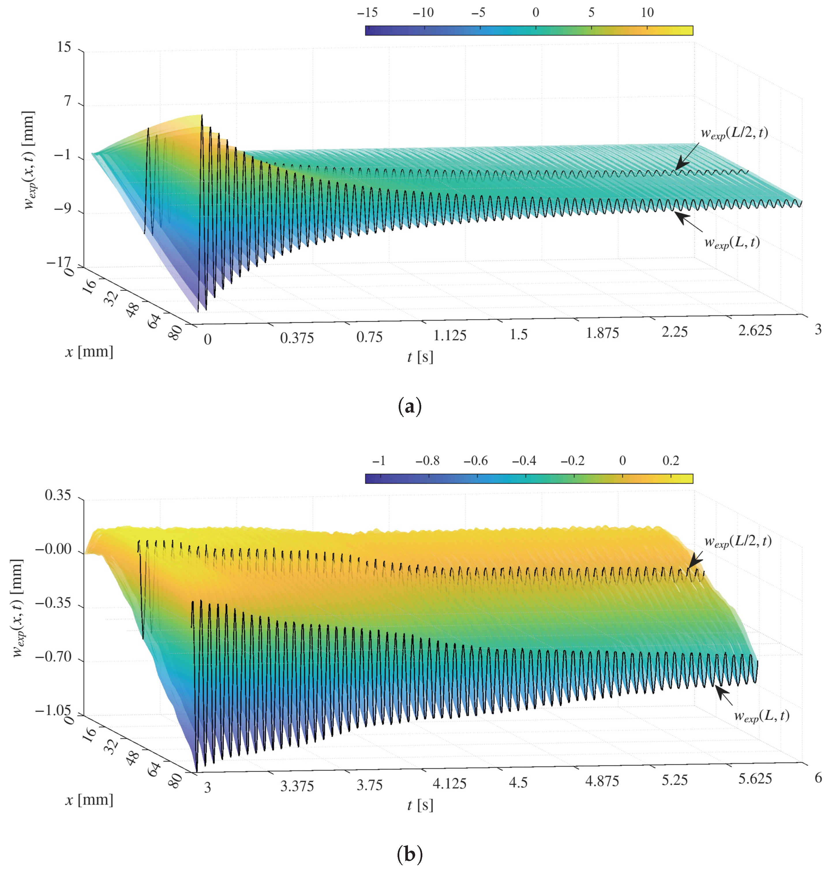
To validate the analytical and numerical results, a series of free-vibration experiments was performed on a weakly damped cantilever beam. The specimen, shown in Figure 10, was displaced at the free end, released from rest, and its subsequent motion was recorded using a high-speed camera.
The motion was captured with a high-speed MEMRECAM HX-7 (model V-1001-C1, nac Image Technology Inc., Tokyo, Japan) equipped with a SIGMA 18-300mm F3.5-6.3 DC MACRO OS HSM (Sigma Corporation, Kanagawa, Japan), operating at 2000 fps to ensure precise resolution of the rapid vibration cycles. The displacement field w exp ( x , t ) was extracted from the recorded video using advanced edge-tracking techniques based on convolutional neural networks and dedicated YOLO detection frameworks. This automated procedure enabled high-fidelity reconstruction of the beam’s silhouette throughout the experiment. It should be noted that while the reconstructed displacement fields are well suited for frequency and backbone identification, the spatially non-uniform measurement uncertainty inherent to vision-based tracking at very small amplitudes limits the robustness of pointwise modal projection metrics.
Figure 11 illustrates the measured deformation surface during the initial transient ( t [ 0 , 3 ] s) and a later interval ( t [ 3 , 6 ] s), highlighting the rapid early amplitude decay followed by a nearly periodic, weakly damped response. The displacement traces at the free end, w exp ( L , t ) , and at midspan, w exp ( L / 2 , t ) , are superimposed as black lines in Figure 11a for reference.
The observed deformation surfaces further indicate a clear dominance of the first bending mode throughout the analyzed response. In particular, the spatial profiles w exp ( x , t ) remain smooth and monotonic along the beam length, without the appearance of internal nodes or localized curvature reversals that would be indicative of higher bending modes. This behaviour persists both during the initial transient and in the subsequent quasi-steady regime, despite the gradual amplitude decay.
The dominant frequency values reported in Table 3 were identified exclusively within a quasi-steady response window ( t [ 2.2 , 3.0 ] s) using a unified FFT–Hann–least-squares procedure applied to the tip displacement w exp ( L , t ) . The frequencies are therefore not directly inferred from the time intervals visualized in Figure 11, which serve primarily to illustrate the global spatiotemporal response and the transition from transient to quasi-steady dynamics.
The quasi-steady window was selected after the initial transient, where the oscillation amplitude decays rapidly due to weak damping, and before the late-time regime in which the vibration amplitude approaches the resolution limit of the vision-based tracking. Within this interval, the motion remains nearly periodic, weakly damped, and dominated by a single spectral peak near 24 Hz, providing a reliable basis for quantitative comparison with the conservative analytical model.
Repeatability of the experimental response was assessed indirectly through multiple free-decay realizations with different initial tip displacements (Series I–IV). Despite significant variation in the initial amplitude w exp ( L , 0 ) , the dominant frequencies identified in the quasi-steady regime remain narrowly clustered around 24 Hz (Table 3), indicating a robust single-mode response and consistent softening-type frequency–amplitude behaviour.
A full statistical reconstruction of experimental backbone bands was not pursued, as the decreasing signal-to-noise ratio at very small vibration amplitudes limits the robustness of frequency extraction from vision-based measurements. The adopted strategy therefore prioritizes repeatable identification of the dominant frequency in a well-defined quasi-steady regime, which is the quantity directly compared with the analytical backbone solutions.
The experimentally identified damping ratios remain of the order of 10 3 , with all values below 10 2 and multiple realizations exhibiting ζ < 5 × 10 3 . This confirms a weakly damped regime and justifies the use of a quasi-steady time window for comparison with conservative analytical solutions.
Accordingly, modal dominance in the present study is established in an operational sense, through spatial smoothness of the deformation fields, spectral purity of the response, and repeatability of the identified frequencies. Together, these indicators provide sufficient evidence for validating the single-degree-of-freedom analytical backbone model adopted herein.

7. Analytical and Experimental Comparison Focused on Oscillation Frequency

A number of strategies can be used to compare analytical and experimental responses of nonlinear structures, including time-domain overlays, amplitude envelopes, frequency–time spectrograms, and full-field displacement reconstruction. In the present study, however, the most robust and unambiguous quantity is the dominant oscillation frequency extracted from the quasi-steady portion of the experimental response. This choice avoids the need for spatial mode-shape identification, which is unavoidably influenced by damping, measurement noise, and geometric imperfections.
During the free vibration of the physical beam, a distinct interval emerges in which the amplitude decays very slowly, and the motion becomes nearly periodic (Figure 11b). Because damping effects are minimal in this window and the response remains dominated by the first bending mode, the dominant frequency measured there provides a reliable reference for direct comparison with the analytical model.

7.1. Dimensionless Dynamics and Linear Calibration

The reduced-order model introduced earlier is expressed in terms of the dimensionless time variable τ , the modal coordinate v ( τ ) , and the nonlinear system (24). Its linear behaviour is governed by the clamped–free eigenvalue λ 1 1.8751 ,
ω τ = λ 1 2 3.516 , f τ = ω τ 2 π 0.56 [ cycles per unit τ ] .
This intrinsic dimensionless frequency is visible as the dominant peak in the numerical frequency spectra shown in Figure 5b. The small discrepancy between this analytical value and the numerically extracted peak ( f τ 0.59 0.60 ) arises from finite FFT resolution and the limited duration of the analysed signal and does not reflect any difference in physical frequency.
The transformation to dimensional time is
τ = ω ref t , ω ref = E I m L 4 ,
so that the physical frequency is f phys = ω ref f τ . The experimental reference frequency f exp is defined as the mean dominant frequency obtained from four independent free-decay realizations (Series I–IV in Table 3), identified within a common quasi-steady time window t [ 2.2 , 3.0 ] s.
In order to align the theoretical model with the experimental specimen, the flexural rigidity E I is determined such that the fundamental frequency matches the experimentally identified value f exp = 24.26 Hz. Using the measured geometric characteristics and mass per unit length (Table 4), this yields
E I 3.160 × 10 3 N · m 2 ,
and thus
ω ref 43.35 rad / s .
This calibration establishes a consistent mapping between the dimensionless model and the physical specimen, enabling direct comparison of nonlinear frequency shifts.

7.2. Nonlinear Frequency Shift in the Analytical Model

With the linear scaling fixed, we analyse the nonlinear response predicted by the reduced-order model. Due to the geometric nonlinearity associated with mid-plane stretching, the simulated solutions exhibit a slightly nonsinusoidal waveform and an amplitude-dependent frequency. The dominant frequency is extracted from the steady-state portion of v ( τ ) using zero-crossing-based period estimation, which provides high accuracy and avoids discretization effects associated with FFT binning.
The analytical results show a clear increase in the dimensionless frequency with growing initial amplitude. This monotonic trend corresponds to a hardening-type geometric nonlinearity: as the beam deflects further, axial stretching introduces additional stiffness and increases the effective vibration frequency. Such behaviour is a classical hallmark of clamped–free beams with geometric nonlinearity and is consistent with both historical studies and recent high-fidelity NNM analyses.

7.3. Backbone Curve and Normalized Amplitude

To quantify the nonlinear frequency shift independently of initial conditions, we compute the backbone curve relating the dimensionless frequency to the normalized tip amplitude
w ( L ) L = v max .
For each prescribed amplitude, the system (24) is integrated over many cycles and the dominant frequency f τ is obtained from the steady-state portion of the response. The resulting backbone curve is shown in Figure 12. It is smooth, monotonic, and displays the expected hardening trend for amplitudes v max up to 0.25 , corresponding to the moderately nonlinear regime in which the single-mode approximation remains valid.
Backbone curves obtained from NNMs and geometrically exact beam theories may extend to amplitudes as large as 0.8 1.0 . Capturing such regimes requires multi-mode expansions and significant mode-shape modifications, which are beyond the scope of a single linear-mode truncation. The present backbone therefore serves as a compact, analytically tractable reference for the intrinsic geometric hardening of an ideal cantilever beam.

7.4. Validity Range of the Single-Mode Approximation

The single-mode model remains accurate as long as the first mode dominates the dynamic response and the deformation field does not deviate substantially from the linear mode shape. For clamped–free beams of the present type, this typically holds for normalized amplitudes up to v max 0.2 0.3 . Beyond this range, several nonlinear mechanisms become significant: mode-shape distortion, cross-modal energy transfer, quadratic nonlinearities induced by boundary compliance, and sensitivity to initial curvature.
These effects cannot be reproduced by a single linear mode truncation and explain why high-amplitude backbone curves computed in the NNM literature cannot be directly compared to the present model. Within its validity range, however, the single-mode formulation provides a reliable and physically interpretable description of the essential geometric nonlinearity, forming a necessary baseline for understanding the experimental observations.

7.5. Experimental Observation of Softening

In contrast to the analytically predicted hardening behaviour, the experimental data exhibit a clear softening-type frequency shift. Repeated measurements summarized in Table 3 show that the dominant frequency extracted from the quasi-steady response depends systematically on vibration amplitude.
The lowest frequency,
f exp , low = 24.0550 Hz ,
is observed for the largest initial tip displacement (Series I), whereas the highest frequency,
f exp , high = 24.3802 Hz ,
corresponds to smaller vibration amplitudes (Series II). The resulting monotonic decrease in frequency with increasing amplitude indicates an effective softening response that departs from the hardening behaviour of an ideal Euler–Bernoulli cantilever.
The dimensionless eigenvalues ( λ n L ) 2 used for frequency calibration are listed in Table A1. Combined with the calibrated time-scaling factor ω ref , they yield physical natural frequencies that follow the characteristic ratios of slender steel cantilever beams.
On the scope of validation. A direct point-by-point comparison between analytical and experimental time histories is not meaningful, since the reduced-order model is conservative while the experimental response exhibits damping-induced decay. The comparison is therefore restricted to quasi-steady intervals.
Within these intervals, the experimental waveform shows mild asymmetry and crest sharpening, consistent with nonlinear waveform distortion. A physical interpretation of these observations is provided in Section 8.

8. Discussion of the Observed Softening Behaviour

For an ideal, rectilinear cantilever beam governed by Euler–Bernoulli kinematics with mid-plane stretching, the first bending mode is expected to exhibit a hardening-type nonlinear response. This behaviour is a cornerstone of classical nonlinear vibration theory and is consistently reproduced by geometrically exact models, reduced-order formulations, and nonlinear normal mode (NNM) analyses. The single-mode reduced-order model developed in Section 2.2 conforms to this theoretical expectation, yielding a hardening backbone curve dominated by cubic geometric nonlinearity.
The experimentally observed softening response reported in Section 6 does not contradict this classical prediction. Instead, it highlights the sensitivity of cantilever dynamics to non-ideal features inevitably present in real structures. As documented in the literature, even small initial curvature, limited clamp compliance, or frictional micro-slip can introduce effective quadratic nonlinearities that dominate the cubic stretching contribution and reverse the backbone slope.
In the present experiment, a slight initial curvature is visible in the undeformed configuration (Figure 10a), with an estimated out-of-straightness of approximately 0.15 mm. Together with unavoidable clamp compliance, this imperfection is sufficient to alter the effective nonlinear stiffness. Similar softening mechanisms associated with geometric imperfections, boundary flexibility, and micro-slip have been widely reported in experimental and NNM-based studies of cantilever beams and related structures [65,66,67].
In this context, the reduced analytical model serves as a physically transparent reference rather than a direct predictor of the measured response. By providing the backbone of an ideal beam, it enables a diagnostic interpretation of deviations observed experimentally. The discrepancy between analytically predicted hardening and experimentally observed softening therefore reveals additional nonlinear mechanisms that are absent from the idealized formulation and would remain obscured in purely numerical or purely experimental studies.
The role of the analytical model thus extends beyond prediction. It acts as a virtual baseline that isolates non-ideal physical effects in the real structure. In this sense, the combination of symbolic closed-form solutions and high-resolution experimental measurements provides a robust framework for interpreting nonlinear dynamics in slender cantilever beams. Although the present study focuses on a single specimen, the analytical–experimental workflow is directly transferable to other cantilever configurations with comparable modal separation.

9. Conclusions

This work developed and validated a reduced-order nonlinear model of a cantilever beam based on a single-mode Galerkin projection of the geometrically nonlinear Euler–Bernoulli equation. Despite its simplicity, the formulation is well suited to the investigated regime, where both numerical simulations and high-speed vision measurements confirm the strong dominance of the first bending mode.
Two symbolic techniques, the Extended Direct Algebraic Method (EDAM) and the Sardar Sub-Equation Method (SSEM), were employed to obtain exact closed-form solutions of the nonlinear modal equation. Comparison with high-accuracy numerical integration demonstrates that EDAM reproduces the nonlinear waveform and amplitude–phase structure with higher fidelity, making it particularly effective for weakly to moderately nonlinear flexural vibrations.
A central contribution of this study is the integration of exact analytical solutions with experimental observations. After calibrating the flexural rigidity using the measured linear frequency, the analytical model accurately captures the steady-state oscillation characteristics. The comparison reveals a key physical insight: while the ideal model predicts geometric hardening, the experiment exhibits a clear softening trend. This discrepancy points to real-world effects, such as initial curvature, clamp compliance, or micro-slip, that are absent from the ideal theory but become identifiable precisely because an analytical benchmark is available.
The main limitation of the present formulation is the absence of damping, which precludes a direct comparison of transient decay. Incorporating dissipation and extending the model to multiple modes would enable the analysis of decay rates, internal resonances, and more complex nonlinear phenomena.
Overall, the results demonstrate that exact analytical solutions, when combined with controlled experiments, provide a compact and physically transparent framework for interpreting nonlinear vibrations of slender beams. Such hybrid analytical–experimental approaches are particularly well suited for diagnostics and physics-based reduced-order modelling.
Future work will focus on incorporating damping in a physically interpretable manner, developing multi-mode reductions for larger amplitudes, and including experimentally identified boundary nonlinearities to bridge the observed hardening–softening discrepancy.

Author Contributions

Conceptualization, P.O. and M.U.; methodology, P.O. and M.U.; software, P.O. and M.U.; validation, M.U. and J.J.; formal analysis, P.O. and M.U.; investigation, P.O. and M.U.; resources, P.O. and J.J.; data curation, P.O., M.U. and J.J.; writing—original draft preparation, P.O. and M.U.; writing—review and editing, P.O. and M.U.; visualization, P.O., M.U. and J.J.; supervision, P.O.; project administration, P.O. All authors have read and agreed to the published version of the manuscript.

Funding

This research received no external funding.

Data Availability Statement

The data are available upon reasonable request from the authors.

Acknowledgments

This work was created as part of participation of M. Umer in the project titled “IMPROVE–International Mission to Promote Research and Optimal Values in Education” as part of the programme of the National Agency for Academic Exchange STER–Internationalization of doctoral schools–2024 Call.

Conflicts of Interest

The authors declare no conflicts of interest. The funders had no role in the design of the study; in the collection, analyses, or interpretation of data; in the writing of the manuscript, or in the decision to publish the results.

Appendix A. Derivation of the Reduced-Order Equation

We begin with the dimensional Equation (1) and introduce the following nondimensional variables, consistent with the scaling used in the main text:
x ¯ = x L , τ = ω ref t = E I m L 4 t , w ¯ ( x ¯ , τ ) = w ( x , t ) L .
In this way, displacements are normalized by the beam length L, the spatial coordinate is mapped to x ¯ [ 0 , 1 ] , and time is scaled by the reference frequency ω ref .
Time derivatives transform as
t = τ t τ = E I m L 4 τ , 2 t 2 = τ t 2 2 τ 2 = E I m L 4 2 τ 2 .
Spatial derivatives with respect to x become
x = x ¯ x x ¯ = 1 L x ¯ , n x n = 1 L n n x ¯ n , n = 2 , 3 , 4 .
Moreover, by construction w ( x , t ) = L w ¯ ( x ¯ , τ ) and, in particular,
w x = x L w ¯ ( x ¯ , τ ) = L w ¯ x ¯ x ¯ x = L L w ¯ x ¯ = w ¯ x ¯ ,
so that the slope is already dimensionless.
Substituting (A1) and (A2) into Equation (1), and collecting all factors of L, we obtain the nondimensional form
E I L 3 2 w ¯ τ 2 + E I L 3 4 w ¯ x ¯ 4 + E I 2 L 3 x ¯ w ¯ x ¯ x ¯ 1 2 τ 2 0 x ¯ w ¯ x ¯ 2 d x ¯ d x ¯ + E I L 3 x ¯ w ¯ x ¯ x ¯ w ¯ x ¯ 2 w ¯ x ¯ 2 = 0 .
Multiplying Equation (A3) through by L 3 / E I yields the fully nondimensional equation with unit coefficients for the linear inertia and stiffness terms
2 w ¯ τ 2 + 4 w ¯ x ¯ 4 + 1 2 x ¯ w ¯ x ¯ x ¯ 1 2 τ 2 0 x ¯ w ¯ x ¯ 2 d x ¯ d x ¯ + x ¯ w ¯ x ¯ x ¯ w ¯ x ¯ 2 w ¯ x ¯ 2 = 0 .
For notational convenience, we now drop the overbars and write
x ¯ x , w ¯ w ,
while retaining τ as the nondimensional time variable. From this point onwards in the appendix, x [ 0 , 1 ] denotes the nondimensional spatial coordinate and τ the nondimensional time.
Equation (A4) provides the starting point for the Galerkin projection onto the linear clamped–free mode shapes.
The reduced-order model is obtained using the Galerkin method [68], which projects the PDE onto a chosen mode shape. We introduce the single-mode approximation
w ( x , τ ) = v ( τ ) ϕ ( x ) ,
where ϕ ( x ) is the (dimensionless) mode shape and v ( τ ) is the corresponding modal amplitude. An overdot denotes differentiation with respect to the nondimensional time τ , and a prime differentiation with respect to x:
w ˙ = v ˙ ϕ , w ¨ = v ¨ ϕ , w = v ϕ , w = v ϕ , w = v ϕ , w ( 4 ) = v ϕ ( 4 ) .
We now project each term of Equation (A4) onto ϕ ( x ) by integrating over x [ 0 , 1 ] .

Appendix A.1. Linear Terms

Term 1 (linear inertia):
0 1 w ¨ ϕ d x = v ¨ 0 1 ϕ 2 ( x ) d x = M v ¨ , where M = 0 1 ϕ 2 ( x ) d x
is the dimensionless modal mass.
Term 2 (linear stiffness):
0 1 w ( 4 ) ϕ d x = v s . 0 1 ϕ ( 4 ) ( x ) ϕ ( x ) d x = K v , where K = 0 1 ϕ ( 4 ) ( x ) ϕ ( x ) d x
is the dimensionless modal stiffness. For the Euler–Bernoulli eigenproblem, K / M = λ n 4 for the n-th mode, consistently with the relation λ n 4 = m ω n 2 / E I in dimensional form.

Appendix A.2. Nonlinear Inertia Term

We now consider the third term in Equation (A4), which represents nonlinear inertia due to mid-plane stretching:
1 2 x w x x 1 2 t 2 0 x w x 2 d x d x .
Using the modal ansatz w ( x , t ) = v ( t ) ϕ ( x ) , we have
w x = v ( t ) ϕ ( x ) , w x 2 = v 2 ( t ) ( ϕ ( x ) ) 2 .
Define
A ( x ) = 0 x ( ϕ ( s ) ) 2 d s ,
so that
0 x w x 2 d x = v 2 ( t ) A ( x ) .
Differentiating twice with respect to time gives
2 t 2 0 x w x 2 d x = d 2 d t 2 v 2 ( t ) A ( x ) = 2 v ˙ 2 + 2 v v ¨ A ( x ) .
Next, define
B ( x ) = x 1 A ( s ) d s .
Then the inner bracket in the third term can be written as
x 1 2 t 2 0 x w x 2 d x d x = 2 v ˙ 2 + 2 v v ¨ B ( x ) .
Multiplying by w x = v ϕ ( x ) and taking the derivative with respect to x yields
1 2 x w x x 1 2 t 2 0 x w x 2 d x d x = x v v ˙ 2 + v v ¨ ϕ ( x ) B ( x ) .
Since v, v ˙ and v ¨ depend only on t, they factor out of the spatial derivative:
x v v ˙ 2 + v v ¨ ϕ ( x ) B ( x ) = v v ˙ 2 + v v ¨ d d x ϕ ( x ) B ( x ) .
Using the product rule and B ( x ) = A ( x ) , we obtain
d d x ϕ ( x ) B ( x ) = ϕ ( x ) B ( x ) ϕ ( x ) A ( x ) .
After projection onto the mode shape ϕ ( x ) , the nonlinear inertia contribution reduces to
0 1 1 2 x ϕ ( x ) d x = α v v ˙ 2 + v 2 v ¨ ,
where the dimensionless coefficient
α = 0 1 ϕ ( x ) B ( x ) ϕ ( x ) A ( x ) ϕ ( x ) d x
depends only on the chosen mode shape ϕ ( x ) through A ( x ) and B ( x ) .

Appendix A.3. Geometric Nonlinear Stiffness Term

We now turn to the fourth term in Equation (A4), originating from geometric nonlinearity due to strain-displacement coupling:
x w x x w x w x x .
Using w x = v ϕ ( x ) and w x x = v ϕ ( x ) , we obtain
w x w x x = v 2 ϕ ( x ) ϕ ( x ) .
Define
A 2 ( x , t ) : = w x w x x = v 2 ϕ ϕ , B 2 ( x , t ) : = A 2 x .
Then
A 2 x = v 2 d d x ϕ ϕ = v 2 ( ϕ ) 2 + ϕ ϕ ,
and
w x B 2 = v ϕ ( x ) · v 2 ( ϕ ) 2 + ϕ ϕ = v 3 ϕ ( ϕ ) 2 + ( ϕ ) 2 ϕ .
Differentiating once more with respect to x gives
x w x B 2 = v 3 d d x ϕ ( ϕ ) 2 + ( ϕ ) 2 ϕ .
Using the product rule,
d d x ϕ ( ϕ ) 2 = ( ϕ ) 3 + 2 ϕ ϕ ϕ , d d x ( ϕ ) 2 ϕ = 2 ϕ ϕ ϕ + ( ϕ ) 2 ϕ ( 4 ) ,
so that
x w x B 2 = v 3 ( ϕ ) 3 + 4 ϕ ϕ ϕ + ( ϕ ) 2 ϕ ( 4 ) .
Projecting this contribution onto ϕ ( x ) yields
0 1 x w x x w x w x x ϕ ( x ) d x = β v 3 , where β = 0 1 ( ϕ ) 3 + 4 ϕ ϕ ϕ + ( ϕ ) 2 ϕ ( 4 ) ϕ ( x ) d x
is the (dimensionless) geometric nonlinearity coefficient.

Appendix A.4. Resulting Reduced-Order Equation

Collecting the contributions of all projected terms, the single-mode reduced-order equation for the dimensionless modal amplitude v ( t ) reads
M v ¨ + K v + β v 3 + α v v ˙ 2 + v 2 v ¨ = 0 .
Dividing by M and introducing the dimensionless coefficients
σ 1 = K M , σ 2 = β M , σ 3 = σ 4 = α M ,
we obtain
v ¨ + σ 1 v + σ 2 v 3 + σ 3 v v ˙ 2 + σ 4 v 2 v ¨ = 0 ,
which is identical in structure to Equation (7) in the main text after identifying v ( τ ) with the normalized modal coordinate v ¯ 1 ( τ ) .
Equation (A23) makes explicit that the equality σ 3 = σ 4 arises naturally from the nonlinear inertia term and is not an ad hoc modeling assumption, which explains the existence of a conserved energy integral discussed in Section 4.
The coefficients σ i depend on the selected mode shape ϕ n ( x ) (or its normalized counterpart ϕ ( x ) ) and are computed numerically from the integrals defined above. To illustrate their dependence on the mode number, Table A1 reports the values of σ i together with the associated modal parameters λ n , ω n , and f n for the first three modes of a clamped–free beam with unit length and normalized material properties ( L = 1 , E I = 1 , m = 1 ).
Table A1. Modal parameters and dimensionless coefficients σ i for the first three vibration modes of a clamped–free beam with L = 1 , E I = 1 , and m = 1 computed from the normalized mode shapes shown in Figure 3. The nonlinear inertia coefficients σ 3 = σ 4 = 4.5968 are mode-independent.
Table A1. Modal parameters and dimensionless coefficients σ i for the first three vibration modes of a clamped–free beam with L = 1 , E I = 1 , and m = 1 computed from the normalized mode shapes shown in Figure 3. The nonlinear inertia coefficients σ 3 = σ 4 = 4.5968 are mode-independent.
Mode n λ n λ n 2 λ n 4 ω n f n [Hz] σ 1 σ 2 σ 3 = σ 4
11.87513.515612.36243.51560.559512.362440.44074.5968
24.694122.0384485.520022.03843.5075485.520013,418.10
37.854861.69873806.550061.69879.82023806.5500264,365.50
These coefficients are used in the analytical construction of the reduced-order model in a dimensionless setting. The transformation back to physical units, based on the actual beam geometry and material parameters, is performed in Section 7, where the time scaling factor E I / ( m L 4 ) is used to compare analytical predictions with experimental data.

Appendix B. Modal Assurance Criterion (MAC) Analysis

The assumption of single-mode dominance in the experimental response was assessed quantitatively using the Modal Assurance Criterion (MAC).
The MAC provides a normalized measure of similarity between two spatial deflection profiles and is defined as
MAC ( t ) = w exp ( t ) T ϕ 1 2 w exp ( t ) T w exp ( t ) ϕ 1 T ϕ 1 ,
where w exp ( t ) denotes the experimentally reconstructed deflection profile at time t, and ϕ 1 ( x ) is the analytical first bending-mode shape of a clamped–free Euler–Bernoulli beam, evaluated on the same experimental spatial grid and normalized to unit norm.
The deflection profiles were extracted from the vision-based measurements after removal of a static reference shape to eliminate initial curvature and camera bias. Time instants with very low deformation energy were excluded to reduce sensitivity to measurement noise.
The MAC was evaluated over the full response interval ( t [ 0 , 3 ] s ), while interpretation was restricted to the quasi-steady window t [ 2.2 , 3.0 ] s used for frequency and backbone identification. In this interval, the MAC remains consistently high, with median values close to 0.96 (Figure A1), indicating strong correlation with the first bending mode and negligible higher-mode contribution.
Figure A1. Time history of the MAC between the experimental deflection profile and the analytical first-mode shape over the full response interval t [ 0 , 3 ] s . Dashed lines indicate the quasi-steady window t [ 2.2 , 3.0 ] s used for modal assessment and backbone identification.
Figure A1. Time history of the MAC between the experimental deflection profile and the analytical first-mode shape over the full response interval t [ 0 , 3 ] s . Dashed lines indicate the quasi-steady window t [ 2.2 , 3.0 ] s used for modal assessment and backbone identification.
Applsci 16 00479 g0a1
These results confirm that the experimental deformation profiles are dominated by the first bending mode within the analyzed amplitude and frequency range, supporting the single-degree-of-freedom reduction and the direct comparison with the EDAM and SSEM solutions.

References

  1. Kumar, S.; Rani, S.; Mann, N. Diverse analytical wave solutions and dynamical behaviors of the new (2+1)-dimensional Sakovich equation emerging in fluid dynamics. Eur. Phys. J. Plus 2022, 137, 1226. [Google Scholar] [CrossRef]
  2. Ganie, A.H.; Sadek, L.H.; Tharwat, M.M.; Iqbal, M.A.; Miah, M.M.; Rasid, M.M.; Elazab, N.S.; Osman, M.S. New investigation of the analytical behaviors for some nonlinear PDEs in mathematical physics and modern engineering. Partial Differ. Equ. Appl. Math. 2024, 9, 100608. [Google Scholar] [CrossRef]
  3. Love, A.E.H. A Treatise on the Mathematical Theory of Elasticity; Courier Corporation: Mineola, NY, USA, 1944. [Google Scholar]
  4. Timoshenko, S.; Goodier, J.N. Theory of Elasticity; McGraw-Hill: New York, NY, USA, 1951. [Google Scholar]
  5. Reddy, J.N. Energy Principles and Variational Methods in Applied Mechanics, 3rd ed.; Wiley: Hoboken, NJ, USA, 2017. [Google Scholar]
  6. Bahrami, M.N.; Arani, M.K.; Saleh, N.R. Modified wave approach for calculation of natural frequencies and mode shapes in arbitrary non-uniform beams. Sci. Iran. 2011, 18, 1088–1094. [Google Scholar] [CrossRef]
  7. Sapountzakis, E.J.; Dikaros, I.C. Non-linear flexural–torsional dynamic analysis of beams of arbitrary cross section by BEM. Int. J. Non-Linear Mech. 2011, 46, 782–794. [Google Scholar] [CrossRef]
  8. Campanile, L.F.; Jähne, R.; Hasse, A. Exact analysis of the bending of wide beams by a modified elastica approach. Proc. Inst. Mech. Eng. Part C J. Mech. Eng. Sci. 2011, 225, 2759–2764. [Google Scholar] [CrossRef]
  9. Zohoor, H.; Kakavand, F. Vibration of Euler–Bernoulli and Timoshenko beams in large overall motion on flying support using finite element method. Sci. Iran. 2012, 19, 1105–1116. [Google Scholar] [CrossRef]
  10. Bayat, M.; Pakar, I.; Bayat, M. Analytical study on the vibration frequencies of tapered beams. Lat. Am. J. Solids Struct. 2011, 8, 149–162. [Google Scholar] [CrossRef]
  11. Zuev, D.M.; Makarov, D.D.; Okhotkin, K.G. Experimental and analytical study of geometric nonlinear bending of a cantilever beam under a transverse load. J. Appl. Mech. Tech. Phys. 2022, 63, 365–371. [Google Scholar] [CrossRef]
  12. Abbas, Q.; Nawaz, R.; Yaqoob, H.; Ali, H.M.; Jamil, M.M. Nonlinear vibration analysis of cantilever beams: Analytical, numerical and experimental perspectives. Partial Differ. Equ. Appl. Math. 2025, 13, 101115. [Google Scholar] [CrossRef]
  13. Won, H.I.; Chung, J. Numerical analysis for the stick-slip vibration of a transversely moving beam in contact with a frictional wall. J. Sound Vib. 2018, 419, 42–62. [Google Scholar] [CrossRef]
  14. Xu, C.; Wang, Z.; Li, B. Dynamic stability of simply supported beams with multi-harmonic parametric excitation. Int. J. Struct. Stab. Dyn. 2021, 21, 2150027. [Google Scholar] [CrossRef]
  15. Zhong, Z.; Yu, T. Analytical solution of a cantilever functionally graded beam. Compos. Sci. Technol. 2007, 67, 481–488. [Google Scholar] [CrossRef]
  16. Farokhi, H.; Xia, Y.; Erturk, A. Experimentally validated geometrically exact model for extreme nonlinear motions of cantilevers. Nonlinear Dyn. 2022, 107, 457–475. [Google Scholar] [CrossRef]
  17. Umer, M.; Olejnik, P. Approximate Analytical Approaches to Nonlinear Differential Equations: A Review of Perturbation, Decomposition and Coefficient Methods in Engineering. Arch. Comput. Methods Eng. 2025, 32, 2767–2798. [Google Scholar] [CrossRef]
  18. Eigoli, A.K.; Vossoughi, G.R. A periodic solution for friction drive microrobots based on the iteration perturbation method. Sci. Iran. 2011, 18, 368–374. [Google Scholar] [CrossRef]
  19. He, J.H. Modified Lindstedt–Poincaré methods for some strongly non-linear oscillations: Part I: Expansion of a constant. Int. J. Non-Linear Mech. 2002, 37, 309–314. [Google Scholar] [CrossRef]
  20. Noghrehabadi, A.; Ghalambaz, M.; Ghanbarzadeh, A. A new approach to the electrostatic pull-in instability of nanocantilever actuators using the ADM–Padé technique. Comput. Math. Appl. 2012, 64, 2806–2815. [Google Scholar] [CrossRef]
  21. Shadloo, M.S.; Kimiaeifar, A. Application of homotopy perturbation method to find an analytical solution for magnetohydrodynamic flows of viscoelastic fluids in converging/diverging channels. Proc. Inst. Mech. Eng. Part C J. Mech. Eng. Sci. 2011, 225, 347–353. [Google Scholar] [CrossRef]
  22. Farhood, A.K.; Mohammed, O.H. Homotopy perturbation method for solving time-fractional nonlinear Variable-Order Delay Partial Differential Equations. Partial Differ. Equ. Appl. Math. 2023, 7, 100513. [Google Scholar] [CrossRef]
  23. Altaie, S.A.; Anakira, N.; Jameel, A.; Ababneh, O.; Qazza, A.; Alomari, A.K. Homotopy analysis method analytical scheme for developing a solution to partial differential equations in fuzzy environment. Fractal Fract. 2022, 6, 419. [Google Scholar] [CrossRef]
  24. Khosrozadeh, A.; Hajabasi, M.A.; Fahham, H.R. Analytical approximations to conservative oscillators with odd nonlinearity using the variational iteration method. J. Comput. Nonlinear Dyn. 2013, 8, 014502. [Google Scholar] [CrossRef]
  25. He, J.H. Max-Min Approach to Nonlinear Oscillators. Int. J. Nonlinear Sci. Numer. Simul. 2008, 9, 207–210. [Google Scholar] [CrossRef]
  26. He, J.H. Hamiltonian approach to nonlinear oscillators. Phys. Lett. A 2010, 374, 2312–2314. [Google Scholar] [CrossRef]
  27. Bayat, M.; Shahidi, M.; Barari, A.; Domairry, G. Analytical evaluation of the nonlinear vibration of coupled oscillator systems. Z. Naturforschung A 2011, 66, 67–74. [Google Scholar] [CrossRef]
  28. Yıldırım, Y.; Biswas, A. Optical solitons for the concatenation model with differential group delay having multiplicative white noise by F–expansion approach. Phys. Lett. A 2024, 527, 129998. [Google Scholar] [CrossRef]
  29. Dubey, S.; Chakraverty, S. Application of modified extended tanh method in solving fractional order coupled wave equations. Math. Comput. Simul. 2022, 198, 509–520. [Google Scholar] [CrossRef]
  30. Ali, K.K.; Zabihi, A.; Rezazadeh, H.; Ansari, R.; Inc, M. Optical soliton with Kudryashov’s equation via sine-Gordon expansion and Kudryashov methods. Opt. Quantum Electron. 2021, 53, 362. [Google Scholar] [CrossRef]
  31. Rafiq, M.N.; Majeed, A.; Yao, S.W.; Kamran, M.; Rafiq, M.H.; Inc, M. Analytical solutions of nonlinear time fractional evaluation equations via unified method with different derivatives and their comparison. Results Phys. 2021, 26, 104357. [Google Scholar] [CrossRef]
  32. Akinyemi, L.; Şenol, M.; Iyiola, O.S. Exact solutions of the generalized multidimensional mathematical physics models via sub-equation method. Math. Comput. Simul. 2021, 182, 211–233. [Google Scholar] [CrossRef]
  33. Riaz, M.B.; Kazmi, S.S.; Jhangeer, A.; Martinovic, J. Unveiling solitons and dynamic patterns for a (3+1)-dimensional model describing nonlinear wave motion. AIMS Math. 2024, 9, 20390–20412. [Google Scholar] [CrossRef]
  34. Tariq, M.M.; Riaz, M.B.; Dilawaiz. Unraveling the complexity of solitary waves in the Klein-Fock-Gordon equation: Dynamical insights into bifurcation and Chaos analysis. Model. Earth Syst. Environ. 2025, 11, 51. [Google Scholar] [CrossRef]
  35. Riaz, M.B.; Tariq, M.M.; Kazmi, S.S.; Aziz-ur Rehman, M. Exploring Nonlinear Dynamics and Stability of Embedded Carbon Nanotubes in Mechanical Engineering. Arch. Comput. Methods Eng. 2025, 32, 4955–4981. [Google Scholar] [CrossRef]
  36. Kloda, L.; Lenci, S.; Warminski, J. Nonlinear Dynamics of a Planar Hinged-Simply Supported Beam with One End Spring: Higher Order Resonances. In IUTAM Symposium on Exploiting Nonlinear Dynamics for Engineering Systems; Springer International Publishing: Cham, Switzerland, 2019; pp. 155–165. [Google Scholar] [CrossRef]
  37. Kloda, L.; Lenci, S.; Warminski, J. Hardening vs. softening dichotomy of a hinged-simply supported beam with one end axial linear spring: Experimental and numerical studies. Int. J. Mech. Sci. 2020, 178, 105588. [Google Scholar] [CrossRef]
  38. Ullah, M.W.; Rahman, M.S.; Uddin, M.A. Free vibration analysis of nonlinear axially loaded beams using a modified harmonic balance method. Partial Differ. Equ. Appl. Math. 2022, 6, 100414. [Google Scholar] [CrossRef]
  39. Vizzaccaro, A.; Opreni, A.; Salles, L.; Frangi, A.; Touzé, C. High order direct parametrisation of invariant manifolds for model order reduction of finite element structures: Application to large amplitude vibrations and uncovering of a folding point. Nonlinear Dyn. 2022, 110, 525–571. [Google Scholar] [CrossRef]
  40. Farokhi, H.; Kohtanen, E.; Erturk, A. Extreme parametric resonance oscillations of a cantilever: An exact theory and experimental validation. Mech. Syst. Signal Process. 2023, 196, 110342. [Google Scholar] [CrossRef]
  41. Shaw, S.W.; Pierre, C. Normal Modes for Non-Linear Vibratory Systems. J. Sound Vib. 1993, 164, 85–124. [Google Scholar] [CrossRef]
  42. Feng, C.; Sun, B. A semi-analytical method for acoustic black hole cantilever beams. In Proceedings of the 2019 2nd International Conference on Safety Produce Informatization (IICSPI), Chongqing, China, 28–30 November 2019; pp. 177–181. [Google Scholar] [CrossRef]
  43. Umer, M.; Olejnik, P. Symmetry-Optimized Dynamical Analysis of Optical Soliton Patterns in the Flexibly Supported Euler–Bernoulli Beam Equation: A Semi-Analytical Solution Approach. Symmetry 2024, 16, 849. [Google Scholar] [CrossRef]
  44. Sarkar, K.; Ganguli, R.; Elishakoff, I. Closed-form solutions for non-uniform axially loaded Rayleigh cantilever beams. Struct. Eng. Mech. 2016, 60, 455–470. [Google Scholar] [CrossRef]
  45. Heryudono, A.R.H.; Lee, J. Free vibration analysis of Euler-Bernoulli beams with non-ideal clamped boundary conditions by using Padé approximation. J. Mech. Sci. Technol. 2019, 33, 1169–1175. [Google Scholar] [CrossRef]
  46. Boiangiu, M.; Ceausu, V.; Untaroiu, C.D. A transfer matrix method for free vibration analysis of Euler–Bernoulli beams with variable cross section. J. Vib. Control 2014, 22, 2591–2602. [Google Scholar] [CrossRef]
  47. Jafari, S.S.; Rashidi, M.M.; Johnson, S. Analytical Approximation of Nonlinear Vibration of Euler–Bernoulli Beams. Lat. Am. J. Solids Struct. 2016, 13, 1250–1264. [Google Scholar] [CrossRef]
  48. Kimiaeifar, A.; Lund, E.; Thomsen, O.T. Series solution for large deflections of a cantilever beam with variable flexural rigidity. Meccanica 2012, 47, 1787–1796. [Google Scholar] [CrossRef]
  49. Tsai, S.H.; Kan, H.C. Mathematical analysis on a model for the rectangular cantilever beam. J. Phys. D Appl. Phys. 2007, 40, 6129. [Google Scholar] [CrossRef]
  50. Campi, F.; Monetto, I. Analytical solutions of two-layer beams with interlayer slip and bi-linear interface law. Int. J. Solids Struct. 2013, 50, 687–698. [Google Scholar] [CrossRef]
  51. Li, Y.; Li, X.; Huo, S.; Xie, C. Explicit Solutions to Large Deformation of Cantilever Beams by Improved Homotopy Analysis Method I: Rotation Angle. Appl. Sci. 2022, 12, 6400. [Google Scholar] [CrossRef]
  52. Zhao, J.; Kovacic, I.; Zhu, R. Wideband vibration attenuation of a metamaterial beam via integrated hardening and softening nonlinear resonators. Nonlinear Dyn. 2024, 113, 23903–23920. [Google Scholar] [CrossRef]
  53. Deng, R.; Lin, Y.; Li, M.; Gu, F.; Ball, A. Vision-based vibration mode shape extraction for identifying cracks in a cantilever beam. J. Phys. Conf. Ser. 2022, 2184, 012037. [Google Scholar] [CrossRef]
  54. Zhao, W.; Li, W.; Du, Y. Wind turbine blade rotational condition monitoring based on RBs-YOLO deep learning model. Mech. Syst. Signal Process. 2025, 230, 112641. [Google Scholar] [CrossRef]
  55. Sedighi, H.M.; Shirazi, K.H. A New Approach to Analytical Solution of Cantilever Beam Vibration With Nonlinear Boundary Condition. J. Comput. Nonlinear Dyn. 2012, 7, 034502. [Google Scholar] [CrossRef]
  56. Chae, J.S.; Park, T.W. Dynamic modeling and control of flexible space structures. KSME Int. J. 2003, 17, 1912–1921. [Google Scholar] [CrossRef]
  57. Bülbül, İ.; Akdağ, M.; Karagülle, H. Active Vibration Control of Cantilever Structures by Integrating the Closed Loop Control Action into Transient Solution of Finite Element Model and an Application to Aircraft Wing. Machines 2025, 13, 379. [Google Scholar] [CrossRef]
  58. Gao, C.; Pang, F.; Li, H.; Wang, H.; Cui, J.; Huang, J. Free and Forced Vibration Characteristics Analysis of a Multispan Timoshenko Beam Based on the Ritz Method. Shock Vib. 2021, 2021. [Google Scholar] [CrossRef]
  59. Chetia, P.; Baro, D.K.; Mahto, S. Comparative study of free vibration characteristics of flexible kinked cantilever robotic arm. Int. J. Interact. Des. Manuf. 2023, 17, 1255–1264. [Google Scholar] [CrossRef]
  60. Ouakad, H.M. The response of a micro-electro-mechanical system (MEMS) cantilever-paddle gas sensor to mechanical shock loads. J. Vib. Control 2015, 21, 2739–2754. [Google Scholar] [CrossRef]
  61. Saxena, S.; Sharma, R.; Pant, B.D. Design and development of guided four beam cantilever type MEMS based piezoelectric energy harvester. Microsyst. Technol. 2017, 23, 1751–1759. [Google Scholar] [CrossRef]
  62. Vokunnaya, S.S.; Tanaji, T. Construction stage analysis of segmental cantilever bridge. Int. J. Civ. Eng. Technol. (IJCIET) 2017, 8, 373–382. [Google Scholar]
  63. Mondorf, P.E.; Kuprenas, J.A.; Kordahi, E.N. Segmental Cantilever Bridge Construction Case Study. J. Constr. Eng. Manag. 1997, 123, 79–84. [Google Scholar] [CrossRef]
  64. Khater, M.M.A.; Seadawy, A.R.; Lu, D. Elliptic and solitary wave solutions for Bogoyavlenskii equations system, couple Boiti-Leon-Pempinelli equations system and Time-fractional Cahn-Allen equation. Results Phys. 2017, 7, 2325–2333. [Google Scholar] [CrossRef]
  65. Salman, E.; Feldman, M.; Chou, C.Y.; Rosenstock, D.; Kassie, D.A.; Li, S.S.; Elata, D. Experimental Evidence of Two Competing Effects in the Nonlinear Response of Cantilever Beams. In Proceedings of the 23rd International Conference on Solid-State Sensors, Actuators and Microsystems (Transducers), Orlando, FL, USA, 29 June–3 July 2025; pp. 767–771. [Google Scholar] [CrossRef]
  66. Carrella, A.; Ewins, D.J. Identifying and quantifying structural nonlinearities in engineering applications from measured frequency response functions. Mech. Syst. Signal Process. 2011, 25, 1011–1027. [Google Scholar] [CrossRef]
  67. Touzé, C.; Thomas, O.; Chaigne, A. Hardening/softening behaviour in non-linear oscillations of structural systems using non-linear normal modes. J. Sound Vib. 2004, 273, 77–101. [Google Scholar] [CrossRef]
  68. Zienkiewicz, O.C.; Taylor, R.L.; Fox, D.D. The Finite Element Method for Solid and Structural Mechanics, 7th ed.; Butterworth-Heinemann: Oxford, UK, 2014. [Google Scholar] [CrossRef]
Figure 1. Conceptual workflow of the study (Section 2, Section 3, Section 4, Section 5, Section 6 and Section 7): from the physical system and governing nonlinear PDE, through single-mode reduction and symbolic closed-form solutions (EDAM, SSEM), to numerical reference integration and vision-based experiments, culminating in a diagnostic comparison of nonlinear characteristics and non-ideal effects.
Figure 1. Conceptual workflow of the study (Section 2, Section 3, Section 4, Section 5, Section 6 and Section 7): from the physical system and governing nonlinear PDE, through single-mode reduction and symbolic closed-form solutions (EDAM, SSEM), to numerical reference integration and vision-based experiments, culminating in a diagnostic comparison of nonlinear characteristics and non-ideal effects.
Applsci 16 00479 g001
Figure 2. Physical model of the tested cantilever beam. The beam is initially deflected at the free end and then released, leading to undamped free in-plane flexural vibrations.
Figure 2. Physical model of the tested cantilever beam. The beam is initially deflected at the free end and then released, leading to undamped free in-plane flexural vibrations.
Applsci 16 00479 g002
Figure 3. First three normalized mode shapes of a clamped–free beam.
Figure 3. First three normalized mode shapes of a clamped–free beam.
Applsci 16 00479 g003
Figure 4. Spatiotemporal evolution of displacement w ( x / L , τ ) in the first three modal forms. (a) First mode. (b) Second mode. (c) Third mode.
Figure 4. Spatiotemporal evolution of displacement w ( x / L , τ ) in the first three modal forms. (a) First mode. (b) Second mode. (c) Third mode.
Applsci 16 00479 g004
Figure 5. Dynamical behaviour of the reduced-order cantilever beam model for the analytical solution v 6 : time history (a), and frequency-domain amplitude spectrum | Ω ( f ) | obtained via FFT together with the RMS comparison (b). Model parameters: σ 1 = 12.36 , σ 2 = 40.44 , σ 3 = σ 4 = 4.60 , F = 1 , κ 1 = 1 , κ 2 = 4 , κ 3 = 2 , and ϖ 0 = 1 for EDAM, while A = 0.2 and ϖ 0 = 0 for SSEM. Here, ω denotes the angular frequency with respect to the nondimensional time scale τ . (a) Lateral displacement at x = L . (b) Amplitude spectrum and RMS response.
Figure 5. Dynamical behaviour of the reduced-order cantilever beam model for the analytical solution v 6 : time history (a), and frequency-domain amplitude spectrum | Ω ( f ) | obtained via FFT together with the RMS comparison (b). Model parameters: σ 1 = 12.36 , σ 2 = 40.44 , σ 3 = σ 4 = 4.60 , F = 1 , κ 1 = 1 , κ 2 = 4 , κ 3 = 2 , and ϖ 0 = 1 for EDAM, while A = 0.2 and ϖ 0 = 0 for SSEM. Here, ω denotes the angular frequency with respect to the nondimensional time scale τ . (a) Lateral displacement at x = L . (b) Amplitude spectrum and RMS response.
Applsci 16 00479 g005
Figure 6. Sensitivity analysis of the nonlinear dynamical behaviour under various initial conditions ( v 0 , u 0 ) . Increasing initial amplitude leads to progressively shorter oscillation periods, indicating amplitude-dependent frequency variation. The parameters are σ 1 = 12.36 , σ 2 = 40.44 , σ 3 = σ 4 = 4.60 .
Figure 6. Sensitivity analysis of the nonlinear dynamical behaviour under various initial conditions ( v 0 , u 0 ) . Increasing initial amplitude leads to progressively shorter oscillation periods, indicating amplitude-dependent frequency variation. The parameters are σ 1 = 12.36 , σ 2 = 40.44 , σ 3 = σ 4 = 4.60 .
Applsci 16 00479 g006
Figure 7. Transition from quasi-periodic to periodic behaviour in the system governed by Equation (25). Parameters: σ 1 = 12.36 , σ 2 = 40.44 , σ 3 = σ 4 = 4.6 , ε = 0.035 , γ = π . (a) Transient time history. (b) Steady-state time history. (c) Transient phase-space. (d) Steady-state phase-space. (e) Transient orbit in ( v , u , τ ) . (f) Steady-state orbit in ( v , u , τ ) . Poincaré maps are marked by red dots.
Figure 7. Transition from quasi-periodic to periodic behaviour in the system governed by Equation (25). Parameters: σ 1 = 12.36 , σ 2 = 40.44 , σ 3 = σ 4 = 4.6 , ε = 0.035 , γ = π . (a) Transient time history. (b) Steady-state time history. (c) Transient phase-space. (d) Steady-state phase-space. (e) Transient orbit in ( v , u , τ ) . (f) Steady-state orbit in ( v , u , τ ) . Poincaré maps are marked by red dots.
Applsci 16 00479 g007
Figure 8. Persisting quasi-periodic behaviour in system (25). Parameters: σ 1 = 485.52 , σ 2 = 13,418.10, σ 3 = σ 4 = 4.6 , ε = 0.035 , γ = π . (a) Transient time history. (b) Steady-state time history. (c) Transient phase-space. (d) Steady-state phase-space. (e) Transient orbit. (f) Steady-state orbit. Poincaré maps are marked by red dots.
Figure 8. Persisting quasi-periodic behaviour in system (25). Parameters: σ 1 = 485.52 , σ 2 = 13,418.10, σ 3 = σ 4 = 4.6 , ε = 0.035 , γ = π . (a) Transient time history. (b) Steady-state time history. (c) Transient phase-space. (d) Steady-state phase-space. (e) Transient orbit. (f) Steady-state orbit. Poincaré maps are marked by red dots.
Applsci 16 00479 g008
Figure 9. Quasi-periodic steady-state in system (25) with stronger nonlinearity. Parameters: σ 1 = 3806.55 , σ 2 = 264,365.5, σ 3 = σ 4 = 4.6 , ε = 0.35 , γ = π . (a) Transient time history. (b) Steady-state time history. (c) Transient phase-space. (d) Steady-state phase-space. (e) Transient orbit. (f) Steady-state orbit. Poincaré maps are marked by red dots.
Figure 9. Quasi-periodic steady-state in system (25) with stronger nonlinearity. Parameters: σ 1 = 3806.55 , σ 2 = 264,365.5, σ 3 = σ 4 = 4.6 , ε = 0.35 , γ = π . (a) Transient time history. (b) Steady-state time history. (c) Transient phase-space. (d) Steady-state phase-space. (e) Transient orbit. (f) Steady-state orbit. Poincaré maps are marked by red dots.
Applsci 16 00479 g009aApplsci 16 00479 g009b
Figure 10. Side view of the undeformed beam (a) and an image captured a frame before releasing the beam (b), illustrating the initial deflected configuration used to generate free vibrations. (a) Cantilever beam used in the experiment. (b) Representative initial frame.
Figure 10. Side view of the undeformed beam (a) and an image captured a frame before releasing the beam (b), illustrating the initial deflected configuration used to generate free vibrations. (a) Cantilever beam used in the experiment. (b) Representative initial frame.
Applsci 16 00479 g010
Figure 11. Measured deformation surface w exp ( x , t ) of the experimental cantilever beam. The dominant frequency f exp (Series I) was identified in the quasi-steady window t [ 2.2 , 3.0 ] s (Table 3). (a) Measured deformation surface w exp ( x , t ) , t [ 0 , 3 ] s. (b) Measured deformation surface w exp ( x , t ) , t [ 3 , 6 ] s.
Figure 11. Measured deformation surface w exp ( x , t ) of the experimental cantilever beam. The dominant frequency f exp (Series I) was identified in the quasi-steady window t [ 2.2 , 3.0 ] s (Table 3). (a) Measured deformation surface w exp ( x , t ) , t [ 0 , 3 ] s. (b) Measured deformation surface w exp ( x , t ) , t [ 3 , 6 ] s.
Applsci 16 00479 g011
Figure 12. Backbone curve obtained from the reduced-order model, showing the normalized tip amplitude v max versus the dimensionless frequency f τ .
Figure 12. Backbone curve obtained from the reduced-order model, showing the normalized tip amplitude v max versus the dimensionless frequency f τ .
Applsci 16 00479 g012
Table 1. Comparison of numerical, EDAM, and SSEM solutions over one period T τ = 1.8 . The error remains bounded and periodic, indicating no secular drift or phase instability over the simulated interval.
Table 1. Comparison of numerical, EDAM, and SSEM solutions over one period T τ = 1.8 . The error remains bounded and periodic, indicating no secular drift or phase instability over the simulated interval.
Method 1 (EDAM)Method 2 (SSEM)
TimeNumericalEDAMError%SSEMError%
0.00.20000.19480.00522.58400.22080.020810.3980
0.20.15420.15010.00412.64180.16880.01469.4443
0.40.03350.03240.00113.20010.03600.00267.6326
0.6−0.1049−0.10230.00262.5049−0.11430.00948.9218
0.8−0.1899−0.18510.00482.5296−0.20930.019410.2430
1.0−0.1866−0.18170.00492.6424−0.20540.018710.0430
1.2−0.0963−0.09330.00303.0825−0.10410.00798.1797
1.40.04340.04270.00071.60740.04750.00419.4462
1.60.16030.15640.00382.38270.17600.01589.8456
1.80.19970.19460.00522.58520.22050.020810.3900
Table 2. RMS comparison of the numerical and analytical solutions over τ [ 0 ,   3.6 ] .
Table 2. RMS comparison of the numerical and analytical solutions over τ [ 0 ,   3.6 ] .
MethodRMS ValueRelative Error [%]Solution Type
Numerical (RK4)0.1431Reference
EDAM (Extended Direct Algebraic Method)0.13942.58%Analytical 1
SSEM (Sardar Sub-Equation Method)0.15729.87%Analytical 2
Table 3. Experimentally identified vibration frequencies and viscous damping ratios in the quasi-steady regime.
Table 3. Experimentally identified vibration frequencies and viscous damping ratios in the quasi-steady regime.
Series w exp ( L , 0 ) [mm] f exp [Hz] ζ
I 15.27 24.0550 4.6 × 10 3
II 12.46 24.3802 4.1 × 10 3
III 16.19 24.3327 6.6 × 10 3
IV 8.31 24.2695 8.6 × 10 3
Note: Frequencies were identified from the tip displacement w exp ( L , t ) in the quasi-steady regime ( t [ 2.2 , 3.0 ] s) using resampling to a uniform grid, a Hann window, FFT peak selection in a fixed band, and a local fine-frequency refinement based on least-squares projection. Damping ratios were estimated from the same signal using logarithmic decrement and envelope fitting in the same time window.
Table 4. Verified geometric and material parameters of the tested cantilever beam.
Table 4. Verified geometric and material parameters of the tested cantilever beam.
ParameterSymbolValueUnit
LengthL 0.0794 m
Widthb 0.023 m
Thicknessh 0.2 × 10 3 m
Second moment of areaI 1.5333 × 10 14 m4
Mass per unit lengthm 0.0423 kg/m
Flexural rigidity E I 3.160 × 10 3 N·m2
Young’s modulusE 206.1 GPa
Note: The flexural rigidity E I was obtained by calibrating the model’s fundamental frequency to the experimental reference value f exp = 24.26 Hz. The Young’s modulus E was subsequently calculated from E = E I / I using the geometric moment of inertia listed above.
Disclaimer/Publisher’s Note: The statements, opinions and data contained in all publications are solely those of the individual author(s) and contributor(s) and not of MDPI and/or the editor(s). MDPI and/or the editor(s) disclaim responsibility for any injury to people or property resulting from any ideas, methods, instructions or products referred to in the content.

Share and Cite

MDPI and ACS Style

Olejnik, P.; Umer, M.; Jabłoński, J. Exact Analytical Solutions for Free Single-Mode Nonlinear Cantilever Beam Dynamics: Experimental Validation Using High-Speed Vision. Appl. Sci. 2026, 16, 479. https://doi.org/10.3390/app16010479

AMA Style

Olejnik P, Umer M, Jabłoński J. Exact Analytical Solutions for Free Single-Mode Nonlinear Cantilever Beam Dynamics: Experimental Validation Using High-Speed Vision. Applied Sciences. 2026; 16(1):479. https://doi.org/10.3390/app16010479

Chicago/Turabian Style

Olejnik, Paweł, Muhammad Umer, and Jakub Jabłoński. 2026. "Exact Analytical Solutions for Free Single-Mode Nonlinear Cantilever Beam Dynamics: Experimental Validation Using High-Speed Vision" Applied Sciences 16, no. 1: 479. https://doi.org/10.3390/app16010479

APA Style

Olejnik, P., Umer, M., & Jabłoński, J. (2026). Exact Analytical Solutions for Free Single-Mode Nonlinear Cantilever Beam Dynamics: Experimental Validation Using High-Speed Vision. Applied Sciences, 16(1), 479. https://doi.org/10.3390/app16010479

Note that from the first issue of 2016, this journal uses article numbers instead of page numbers. See further details here.

Article Metrics

Back to TopTop