Sub-1 K Adiabatic Demagnetization Refrigeration with Rare-Earth Borates Ba3XB9O18 and Ba3XB3O9, X = (Yb, Gd)
Featured Application
Abstract
1. Introduction
2. Materials and Methods
3. Results
3.1. Structure
3.2. Magnetic Properties
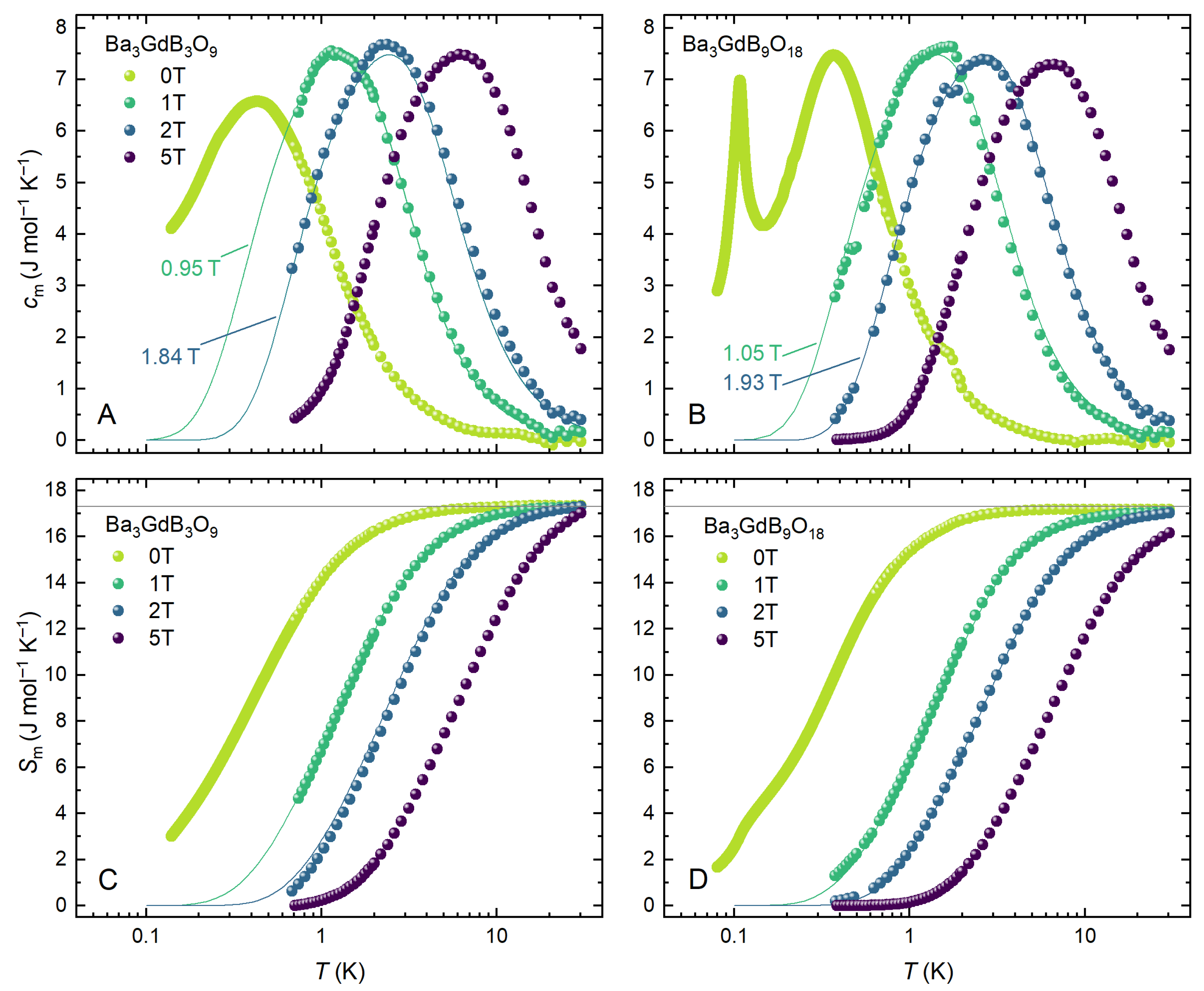
3.3. Specific Heat
3.4. Actual Refrigeration Performance
4. Conclusions
Author Contributions
Funding
Data Availability Statement
Conflicts of Interest
Correction Statement
Abbreviations
| ADR | Adiabatic demagnetization refrigeration |
| CEF | Crystal electric field |
| DR | Dilution refrigerator |
| MCE | Magnetocaloric effect |
| PPMS | Physical Property Measurement System |
| VSM | Vibrating-sample magnetometer |
| XRD | X-ray diffraction |
References
- Cao, H. Refrigeration Below 1 Kelvin. J. Low Temp. Phys. 2021, 204, 175–205. [Google Scholar] [CrossRef]
- London, H.; Clarke, G.R.; Mendoza, E. Osmotic Pressure of He3 in Liquid He4, with Proposals for a Refrigerator to Work below 1°K. Phys. Rev. 1962, 128, 1992–2005. [Google Scholar] [CrossRef]
- Pobell, F. The 3He–4He Dilution Refrigerator. In Matter and Methods at Low Temperatures, 3rd ed.; Springer: Berlin/Heidelberg, Germany, 2007; pp. 149–189. [Google Scholar] [CrossRef]
- Zhao, Z. Cryogen-Free Dilution Refrigerator Systems. In Cryogenic Engineering and Technologies; CRC Press: Boca Raton, FL, USA, 2019. [Google Scholar]
- Esat, T.; Borgens, P.; Yang, X.; Coenen, P.; Cherepanov, V.; Raccanelli, A.; Tautz, F.S.; Temirov, R. A Millikelvin Scanning Tunneling Microscope in Ultra-High Vacuum with Adiabatic Demagnetization Refrigeration. Rev. Sci. Instruments 2021, 92, 063701. [Google Scholar] [CrossRef] [PubMed]
- Chen, Z.; Shen, J.; Zhao, Y.; Zheng, W.; Yang, L.; Lu, Y.; Liu, J.; Li, Z. Experimental Research on a High Efficiency Adiabatic Demagnetization Refrigerator. Appl. Therm. Eng. 2025, 265, 125562. [Google Scholar] [CrossRef]
- Xu, Q.F.; Wu, R.T.; Long, L.S.; Zheng, L.S. Ultralow-Temperature Magnetic Refrigeration Inorganic Materials: From Designed Synthesis to Adiabatic Demagnetization Refrigeration. Acc. Chem. Res. 2025, 58, 2898–2909. [Google Scholar] [CrossRef] [PubMed]
- Shirron, P.J.; Kimball, M.O.; Wegel, D.C.; Canavan, E.R.; DiPirro, M.J. Design of a 3-Stage ADR for the Soft x-Ray Spectrometer Instrument on the ASTRO-H Mission. In Proceedings of the SPIE Astronomical Telescopes + Instrumentation, San Diego, CA, USA, 27 June–2 July 2010; p. 773212. [Google Scholar] [CrossRef]
- Shirron, P. Optimization Strategies for Single-Stage, Multi-Stage and Continuous ADRs. Cryogenics 2014, 62, 140–149. [Google Scholar] [CrossRef]
- Shirron, P.J.; Kimball, M.O.; James, B.L.; Muench, T.; Canavan, E.R.; DiPirro, M.J.; Bialas, T.A.; Sneiderman, G.A.; Boyce, K.R.; Kilbourne, C.A.; et al. Design and On-Orbit Operation of the Adiabatic Demagnetization Refrigerator on the Hitomi Soft X-Ray Spectrometer Instrument. Number GSFC-E-DAA-TN51681. In Proceedings of the SPIE Astronomical Telescopes + Instrumentation 2018, Austin, TX, USA, 10–15 June 2018. [Google Scholar]
- Duval, J.M.; Prouvé, T.; Shirron, P.; Shinozaki, K.; Sekimoto, Y.; Hasebe, T.; Vermeulen, G.; André, J.; Hasumi, M.; Montier, L.; et al. LiteBIRD Cryogenic Chain: 100 mK Cooling with Mechanical Coolers and ADRs. J. Low Temp. Phys. 2020, 199, 730–736. [Google Scholar] [CrossRef]
- Paixao Brasiliano, D.A.; Duval, J.M.; Marin, C.; Bichaud, E.; Brison, J.P.; Zhitomirsky, M.; Luchier, N. YbGG Material for Adiabatic Demagnetization in the 100 mK–3 K Range. Cryogenics 2020, 105, 103002. [Google Scholar] [CrossRef]
- Kleinhans, M.; Eibensteiner, K.; Leiner, J.; Resch, C.; Worch, L.; Wilde, M.; Spallek, J.; Regnat, A.; Pfleiderer, C. Magnetocaloric Properties of R3Ga5O12 (R = Tb, Gd, Nd, Dy). Phys. Rev. Appl. 2023, 19, 014038. [Google Scholar] [CrossRef]
- He, X.; Tian, L.; Gong, J.; Gao, X.; Liu, G.; Mo, Z. Novel Gadolinium Garnet Gd3Te2Li3O12: Magnetism and Magnetocaloric Performance for Sub-Kelvin Cryogenic Applications. Dalton Trans. 2025, 54, 9739–9748. [Google Scholar] [CrossRef]
- Tokiwa, Y.; Piening, B.; Jeevan, H.S.; Bud’ko, S.L.; Canfield, P.C.; Gegenwart, P. Super-Heavy Electron Material as Metallic Refrigerant for Adiabatic Demagnetization Cooling. Sci. Adv. 2016, 2, e1600835. [Google Scholar] [CrossRef] [PubMed]
- Gruner, T.; Chen, J.; Jang, D.; Banda, J.; Geibel, C.; Brando, M.; Grosche, F.M. Metallic Local-Moment Magnetocalorics as a Route to Cryogenic Refrigeration. Commun. Mater. 2024, 5, 63. [Google Scholar] [CrossRef]
- Shimura, Y.; Yokoo, R.; Watanabe, K.; Furuie, H.; Tsujii, N.; Umeo, K.; Onimaru, T. YbCo2: Large Magnetic Entropy Change per Volume in Yb-based Metallic Magnetic Refrigerants for Sub-Kelvin Temperature. Appl. Phys. Lett. 2025, 127, 102403. [Google Scholar] [CrossRef]
- Zhang, X.; Zhang, T.; Zhuang, Z.; Leng, Z.; Wei, Z.; Liu, X.; Xiang, J.; Zhang, S.; Sun, P. YbNi4Mg: Superheavy Fermion with Enhanced Wilson Ratio and Magnetocaloric Effect. Phys. Rev. Mater. 2025, 9, 014402. [Google Scholar] [CrossRef]
- Tokiwa, Y.; Bachus, S.; Kavita, K.; Jesche, A.; Tsirlin, A.A.; Gegenwart, P. Frustrated Magnet for Adiabatic Demagnetization Cooling to Milli-Kelvin Temperatures. Commun. Mater. 2021, 2, 42. [Google Scholar] [CrossRef]
- Jesche, A.; Winterhalter-Stocker, N.; Hirschberger, F.; Bellon, A.; Bachus, S.; Tokiwa, Y.; Tsirlin, A.A.; Gegenwart, P. Adiabatic Demagnetization Cooling Well below the Magnetic Ordering Temperature in the Triangular Antiferromagnet KBaGd(BO3)2. Phys. Rev. B 2023, 107, 104402. [Google Scholar] [CrossRef]
- Arjun, U.; Ranjith, K.; Jesche, A.; Hirschberger, F.; Sarma, D.; Gegenwart, P. Efficient Adiabatic Demagnetization Refrigeration to below 50 mK with Ultrahigh-Vacuum-Compatible Ytterbium Diphosphates AYbP2O7 (A = Na, K). Phys. Rev. Appl. 2023, 20, 014013. [Google Scholar] [CrossRef]
- Koskelo, E.C.; Mukherjee, P.; Liu, C.; Sackville Hamilton, A.C.; Ong, H.S.; Castelnovo, C.; Zhitomirsky, M.; Dutton, S.E. Comparative Study of Magnetocaloric Properties for Gd3+ Compounds with Different Frustrated Lattice Geometries. PRX Energy 2023, 2, 033005. [Google Scholar] [CrossRef]
- Lin, J.; Wu, S.; Sun, K.; Li, H.F.; Chen, W.; Zhang, Y.; Li, L. Structural, Magnetic, and Magnetocaloric Characterizations of Geometrically-Frustrated SrRE2O4 (RE = Gd, Dy, Ho, Er) Oxides low-temperature cooling applications. Eram. Int. 2024, 50, 51269–51277. [Google Scholar] [CrossRef]
- Telang, P.; Treu, T.; Klinger, M.; Tsirlin, A.A.; Gegenwart, P.; Jesche, A. Adiabatic Demagnetization Refrigeration with Antiferromagnetically Ordered NaGdP2O7. Phys. Rev. B 2025, 111, 064431. [Google Scholar] [CrossRef]
- Treu, T.; Klinger, M.; Oefele, N.; Telang, P.; Jesche, A.; Gegenwart, P. Utilizing Frustration in Gd- and Yb-based Oxides for Milli-Kelvin Adiabatic Demagnetization Refrigeration. J. Phys. Condens. Matter 2025, 37, 013001. [Google Scholar] [CrossRef]
- Berardi, F.; Nagle-Cocco, L.A.V.; Steele, J.M.A.; Zhang, X.; Liu, C.; Fischer, H.E.; Dutton, S.E. Structural Phase Transitions and Magnetic Characterization of Ba2GdNbO6 for Low-Temperature Magnetocaloric Refrigeration. Chem. Mater. 2025, 37, 8848–8860. [Google Scholar] [CrossRef] [PubMed]
- Channarayappa, S.K.; C., P.; Ranaut, D.; Saravanan, M.; Jaiswal-Nagar, D. Enhanced Adiabatic Demagnetization Cooling Performance in Exchange Frustrated GdCrTiO5. Phys. Rev. Appl. 2025, 23, 014041. [Google Scholar] [CrossRef]
- Cui, Y.; Wu, Z.; Sun, Z.; Du, K.; Luo, J.; Li, S.; Yang, J.; Wang, J.; Zhou, R.; Chen, Q.; et al. Spin-Supersolidity Induced Quantum Criticality and Magnetocaloric Effect in the Triangular-Lattice Antiferromagnet Rb2Co(SeO3)2. arXiv 2025. [Google Scholar] [CrossRef]
- Lin, W.; Zhao, N.; Li, Z.; An, W.; Guo, R.; Wang, J.; Pan, C.; Wen, B.; Sheng, J.; Wu, L.; et al. Quantum Fluctuation-enhanced Milli-Kelvin Magnetic Refrigeration in Triangular Lattice Magnet GdBO3. arXiv 2025. [Google Scholar] [CrossRef]
- Wang, Z.; Cui, X.; Treu, T.; Guo, J.; Liu, X.; Klinger, M.; Heil, C.; Ma, N.; Sheng, X.; Deng, Z.; et al. Antiferromagnetic Ordering and Critical Behavior Induced Giant Magnetocaloric Effect in Distorted Kagome Lattice Gd3BWO9. Phys. Rev. Mater. 2025, 9, 094407. [Google Scholar] [CrossRef]
- Wan, T.; Wang, H.; Chen, Z.; Wang, Y.; Tu, H.; Li, Z.; Zhao, Y.; Shen, J.; Mo, Z.; Zhang, G. Magnetocaloric Effect in Gd8P2O17 and Gd3PO7. Cryogenics 2025, 152, 104198. [Google Scholar] [CrossRef]
- Xu, Q.F.; Liu, X.Y.; Wu, R.T.; Fu, M.Y.; Chen, M.T.; Xiang, J.S.; Meng, Y.S.; Liu, T.; Sun, P.J.; Long, L.S.; et al. Temperature Below 30 mK Achieved by Adiabatic Demagnetization Refrigeration. J. Am. Chem. Soc. 2025, 147, 27089–27094. [Google Scholar] [CrossRef]
- Yao, J.; Ren, W.; Guo, Q.; Liu, P.; Guan, Z.; Bao, C.; Zhang, Z.; Huang, D.; Zhang, K.; Wang, Y.; et al. Low-Field-Driven Giant Magnetocaloric Effect in KGdF4 for Sub-Kelvin Cryogenic Refrigeration. Mater. Today Phys. 2025, 55, 101762. [Google Scholar] [CrossRef]
- Sanders, M.B.; Cevallos, F.A.; Cava, R.J. Magnetism in the KBaRE(BO3)2 (RE = Sm, Eu, Gd, Tb, Dy, Ho, Er, Tm, Yb, Lu) Series: Materials with a Triangular Rare Earth Lattice. Mater. Res. Express 2017, 4, 036102. [Google Scholar] [CrossRef]
- Pan, B.L.; Ni, J.M.; He, L.P.; Yu, Y.J.; Xu, Y.; Li, S.Y. Specific heat and thermal conductivity of the triangular-lattice rare-earth material KBaYb(BO3)2 at ultralow temperature. Phys. Rev. B 2021, 103, 104412. [Google Scholar] [CrossRef]
- Gao, Y.; Xu, L.; Tian, Z.; Yuan, S. Synthesis and Magnetism of RE(BaBO3)3 (RE=Dy, Ho, Er, Tm, Yb) Series with Rare Earth Ions on a Two Dimensional Triangle-Lattice. J. Alloy Compd. 2018, 745, 396–400. [Google Scholar] [CrossRef]
- Zeng, K.Y.; Ma, L.; Gao, Y.X.; Tian, Z.M.; Ling, L.S.; Pi, L. NMR study of the spin excitations in the frustrated antiferromagnet Yb(BaBO3)3 with a triangular lattice. Phys. Rev. B 2020, 102, 045149. [Google Scholar] [CrossRef]
- Bag, R.; Ennis, M.; Liu, C.; Dissanayake, S.E.; Shi, Z.; Liu, J.; Balents, L.; Haravifard, S. Realization of quantum dipoles in triangular lattice crystal Ba3Yb(BO3)3. Phys. Rev. B 2021, 104, L220403. [Google Scholar] [CrossRef]
- Cho, H.; Blundell, S.J.; Shiroka, T.; MacFarquharson, K.; Prabhakaran, D.; Coldea, R. Studies on Novel Yb-based Candidate Triangular Quantum Antiferromagnets: Ba3YbB3O9 and Ba3YbB9O18. arXiv 2021. [Google Scholar] [CrossRef]
- Khatua, J.; Pregelj, M.; Elghandour, A.; Jagličic, Z.; Klingeler, R.; Zorko, A.; Khuntia, P. Magnetic Properties of the Triangular-Lattice Antiferromagnets Ba3RB9O18 (R = Yb, Er). Phys. Rev. B 2022, 106, 104408. [Google Scholar] [CrossRef]
- Liu, W.; Gao, Y.; Li, Y.; Li, Y.; Ren, W.; Sun, X.; Li, X.; Wang, M. Synthesis, Structure, Magnetism of Two-Dimensional Triangular Lattice Materials Ba3REB9O18 (RE = Dy, Ho, Er, Tm and Yb). J. Supercond. Nov. Magn. 2025, 38, 231. [Google Scholar] [CrossRef]
- Kabekkodu, S.N.; Dosen, A.; Blanton, T.N. PDF-5+: A Comprehensive Powder Diffraction File™ for Materials Characterization. Powder Diffr. 2024, 39, 47–59. [Google Scholar] [CrossRef]
- Ilyukhin, A.B.; Dzhurinskij, B.F. Crystal structures of double borates LnBa3(BO3)3 (Ln Dy, Ho, Tm, Yb, Lu). Zhurnal Neorg. Khimii 1993, 38, 1625–1630. [Google Scholar]
- Khamaganova, T.N.; Kuperman, N.M.; Bazarova, Z.G. The Double Borates Ba3Ln(BO3)3, Ln = La–Lu, Y. J. Solid State Chem. 1999, 145, 33–36. [Google Scholar] [CrossRef]
- Kelly, N.D.; Le, M.D.; Sheptyakov, D.; Tacconis, C.; Liu, C.; Stenning, G.B.G.; Baker, P.J.; Dutton, S.E. Low-Temperature Magnetic Behavior on the Triangular Lattice in Hexagonal Ba3Tb(BO3)3. Phys. Rev. B 2025, 111, 054427. [Google Scholar] [CrossRef]
- Bera, A.K.; Lake, B.; Stein, W.D.; Zander, S. Magnetic Correlations of the Quasi-One-Dimensional Half-Integer Spin-Chain Antiferromagnets SrM2V2O8 (M = Co, Mn). Phys. Rev. B 2014, 89, 094402. [Google Scholar] [CrossRef]
- Zhou, J.; Shi, T.; Huang, R.T.; Liu, A.D.; Gong, G.S.; Wang, Y.Q.; Ling, L.S.; Li, J.X.; Han, Y.Y.; Tong, W.; et al. A Family of Quasi-One-Dimensional Zigzag Spin-Chain Ba2REV3O11 (RE = Pr, Nd, and Gd–Ho) Compounds. J. Mater. Chem. C 2025, 13, 16040–16051. [Google Scholar] [CrossRef]
- Ma, Z.; Wang, J.; Dong, Z.Y.; Zhang, J.; Li, S.; Zheng, S.H.; Yu, Y.; Wang, W.; Che, L.; Ran, K.; et al. Spin-Glass Ground State in a Triangular-Lattice Compound YbZnGaO4. Phys. Rev. Lett. 2018, 120, 087201. [Google Scholar] [CrossRef]
- Bałanda, M.; Dubiel, S.M.; Pełka, R. Molecular Magnetic Materials; John Wiley & Sons, Ltd.: Hoboken, NJ, USA, 2017; Chapter 1; pp. 1–28. [Google Scholar] [CrossRef]
- Sala, G.; Stone, M.B.; Rai, B.K.; May, A.F.; Parker, D.S.; Halász, G.B.; Cheng, Y.Q.; Ehlers, G.; Garlea, V.O.; Zhang, Q.; et al. Crystal Field Splitting, Local Anisotropy, and Low-Energy Excitations in the Quantum Magnet YbCl3. Phys. Rev. B 2019, 100, 180406. [Google Scholar] [CrossRef]
- Pobell, F. Refrigeration by Adiabatic Demagnetization of a Paramagnetic Salt. In Matter and Methods at Low Temperatures, 3rd ed.; Springer: Berlin/Heidelberg, Germany, 2007; pp. 203–213. [Google Scholar] [CrossRef]
- Mukherjee, P.; Wu, Y.; Lampronti, G.; Dutton, S. Magnetic Properties of Monoclinic Lanthanide Orthoborates, LnBO3, Ln = Gd, Tb, Dy, Ho, Er, Yb. Mater. Res. Bull. 2018, 98, 173–179. [Google Scholar] [CrossRef]







| Compound | Lattice | Space Group | Unit Cell Parameters | Molar Volume |
|---|---|---|---|---|
| Ba3YbB9O18 [42] | Hexagonal | |||
| Ba3YbB3O9 [43] | Hexagonal | |||
| Ba3GdB9O18 [42] | Hexagonal | |||
| Ba3GdB3O9 [44] | Trigonal |
| Compound | Nearest Neighbor (NN) | Next NN | ΘE | ΘD | γ |
|---|---|---|---|---|---|
| Ba3YbB9O18 [42] | |||||
| Ba3YbB3O9 [43] | |||||
| Ba3GdB9O18 [42] | |||||
| Ba3GdB3O9 [44] |
| Compound | ΘW | TADR | q | ΔSm | |
|---|---|---|---|---|---|
| Ba3YbB9O18 | |||||
| Ba3YbB3O9 | |||||
| KBaYb(BO3)2 [19,25] | - | ||||
| Ba3GdB9O18 | |||||
| Ba3GdB3O9 | |||||
| KBaGd(BO3)2 [20,25] | - |
Disclaimer/Publisher’s Note: The statements, opinions and data contained in all publications are solely those of the individual author(s) and contributor(s) and not of MDPI and/or the editor(s). MDPI and/or the editor(s) disclaim responsibility for any injury to people or property resulting from any ideas, methods, instructions or products referred to in the content. |
© 2025 by the authors. Licensee MDPI, Basel, Switzerland. This article is an open access article distributed under the terms and conditions of the Creative Commons Attribution (CC BY) license.
Share and Cite
Klinger, M.; Treu, T.; Kreisberger, F.; Heil, C.; Klinger, A.; Jesche, A.; Gegenwart, P. Sub-1 K Adiabatic Demagnetization Refrigeration with Rare-Earth Borates Ba3XB9O18 and Ba3XB3O9, X = (Yb, Gd). Appl. Sci. 2026, 16, 290. https://doi.org/10.3390/app16010290
Klinger M, Treu T, Kreisberger F, Heil C, Klinger A, Jesche A, Gegenwart P. Sub-1 K Adiabatic Demagnetization Refrigeration with Rare-Earth Borates Ba3XB9O18 and Ba3XB3O9, X = (Yb, Gd). Applied Sciences. 2026; 16(1):290. https://doi.org/10.3390/app16010290
Chicago/Turabian StyleKlinger, Marvin, Tim Treu, Felix Kreisberger, Christian Heil, Anna Klinger, Anton Jesche, and Philipp Gegenwart. 2026. "Sub-1 K Adiabatic Demagnetization Refrigeration with Rare-Earth Borates Ba3XB9O18 and Ba3XB3O9, X = (Yb, Gd)" Applied Sciences 16, no. 1: 290. https://doi.org/10.3390/app16010290
APA StyleKlinger, M., Treu, T., Kreisberger, F., Heil, C., Klinger, A., Jesche, A., & Gegenwart, P. (2026). Sub-1 K Adiabatic Demagnetization Refrigeration with Rare-Earth Borates Ba3XB9O18 and Ba3XB3O9, X = (Yb, Gd). Applied Sciences, 16(1), 290. https://doi.org/10.3390/app16010290

