Abstract
Laser vibrometers are known for their high precision, long-range capabilities, and non-contact measurement characteristics. However, in long-range applications, spike noise often arises, primarily due to the laser speckle effect induced by rough targets. To address this challenge, this paper develops a light field transmission model for laser vibrometers. By exploiting the differences in speckle patterns formed by lasers of different wavelengths on the same rough target, a dual-wavelength laser vibrometry technique utilizing wavelength division multiplexing devices is proposed, along with a dual-channel signal enhancement method based on orthogonal demodulation. This approach effectively reduces the likelihood of spike noise and enhances the system’s velocity measurement resolution. The experimental results demonstrate that, compared to the single-wavelength system, the dual-wavelength system significantly suppresses laser speckle noise, mitigates measurement spike noise, and improves the stability of micro-vibration measurements. Additionally, the system’s velocity resolution improves from 0.165 μm/s/Hz1/2 in the single-wavelength system to 0.122 μm/s/Hz1/2 in the dual-wavelength system, thereby enhancing the system’s sensitivity to micro-vibrations. In engineering applications, the dual-wavelength approach provides higher stability and resolution for micro-vibration signal measurements.
    1. Introduction
The Laser Doppler Vibrometer (LDV) holds an indispensable role in vibration detection due to its non-contact measurement approach and exceptionally high measurement resolution [,]. The heterodyne interferometric measurement, based on the Mach–Zehnder configuration, is the predominant architecture for LDVs, widely adopted for its simple, stable design, and robust resistance to signal interference. Building upon this, fiber-optic interferometric LDVs have seen rapid development, benefiting from advantages such as easy alignment, superior stray light suppression, and high integration levels [].
In traditional vibration measurement applications, the targets are typically non-cooperative. The speckle effect of the laser results in a returned wavefront that deviates from the ideal spherical shape, which can cause interference signal loss between the measurement and reference beams. Additionally, the target’s vibration induces continuous changes in the speckle pattern, further increasing the likelihood of short-term signal loss. Traditional orthogonal demodulation algorithms can introduce spike noise, thereby decreasing the data reliability [,]. Consequently, investigating the relationship between speckle behavior and coupling efficiency, along with the development of effective spike noise suppression methods, is crucial for improving the stability of LDV data acquisition and enhancing target adaptability.
Considerable research has been conducted on the generation and suppression of spike noise. Shen et al. developed a light field transmission model for the transmission and coupling processes in fiber-optic LDVs, providing an explanation for the origins of spike noise []. While the impact of transmitting–receiving lens f-number on speckle patterns was thoroughly analyzed, the wavelength-dependent effects remain unexamined in the current study. One optical method to mitigate spike noise is diversity reception. Rembe et al. proposed multi-aperture reception of the returning light signal, which reduced the probability of spike noise due to signal loss by a factor of 30 []. However, non-coaxial errors exist in vibration measurements across different sub-apertures. Wang et al. examined the statistical distribution characteristics of the signals received by LDV detectors and suggested polarization diversity reception to enhance signal quality []. However, the polarization diversity reception scheme is susceptible to stray light interference, which can degrade the signal quality in one polarization channel. Schewe et al. introduced a multi-channel demodulation technique based on carrier power energy combination, significantly improving the stability of vibration measurements []. The algorithm computes weights based on random noise assumptions but fails to specify the methodology for real-time carrier amplitude acquisition. Additionally, Lv applied the Kurtosis coefficient to identify spike noise in speech and employed adaptive filtering to smooth the spike components, greatly improving speech intelligibility []. However, this solution only compensates for missing data algorithmically and cannot enhance system performance at the hardware level. Lu established a probabilistic model for dual-wavelength backscattered energy from rough targets, which suppresses spike noise but fails to account for the impact of limited transceiver aperture size on speckle noise [].
This study simulates the laser transmission and reception processes, rough surface generation, and fiber coupling to examine the correlation of coupling energy under different wavelength conditions. The proposed dual-wavelength LDV leverages the distinct speckle characteristics of each wavelength, where the moments at which spike noise occurs in the interference signal do not completely coincide. By combining the amplitude envelopes derived from orthogonal demodulation with a weighted aggregation of dual-channel velocity data, the likelihood of spike noise occurrence is substantially reduced. A dual-wavelength fiber-optic LDV system operating at 1550 nm and 1558 nm is developed. The vibration characteristics of a rough target undergoing horizontal motion are compared between the dual-wavelength and single-wavelength fiber-optic LDVs. Time domain spike noise is effectively mitigated, and experimental results confirm the feasibility of both the dual-wavelength fiber laser vibrometry principle and the dual-channel signal enhancement approach based on orthogonal demodulation.
2. Light Field Transmission Model
The principle of the dual-wavelength laser heterodyne vibration measurement system based on a fiber optic Mach–Zehnder configuration, as proposed in this paper, is illustrated in Figure 1. Two lasers with closely matched wavelengths are coupled into the same optical fiber via a wavelength division multiplexing (WDM) device. The laser is split into reference and transmitted beams using a beam splitter. The transmitted light is focused onto the rough target using an optical fiber point diffraction method through a transmit–receive telescope. The reflected light then returns through the telescope and optical fiber circulator, forming the measurement beam, which interferes with the reference light that has been frequency-shifted by a fiber Bragg grating. The heterodyne interference is generated at the coupler, and the interference signals of different wavelengths are separated by two WDM devices.
 
      
    
    Figure 1.
      Schematic diagram of the dual-wavelength laser heterodyne vibrometric system.
  
Assume that  and  represent the powers of the reference and measurement beams incident on the detector, so that the interference intensity  could be expressed as follows:
      
        
      
      
      
      
    
In the equation,  is the modulation frequency of the fiber Bragg grating,  represents the time domain displacement of the rough target, and  is the laser wavelength. Finally, the photonic current  is produced at two balanced photodetectors (BPDs) after photoelectric conversion, which can be expressed as below. Notice that the direct current (DC) component in Equation (1) can be effectively eliminated due to the principle of balanced detection, retaining only the alternating current (AC) component.
      
        
      
      
      
      
    
In the equation,  denotes the detector responsivity. In a laser heterodyne vibrometer system limited by speckle noise, the demodulated velocity noise, , is determined by the measurement of light power, as expressed by the following equation:
      
        
      
      
      
      
    
In the above equation, it is evident that higher measurement light power leads to reduced velocity noise. Therefore, the speckle coupling efficiency following the laser transmission and reception in the simulated vibrometer system is of significant importance.
The laser transmission and reception process comprises four stages, as shown in Figure 1 and Table 1. These stages include the generation of the light field at the fiber’s emission end face (F-face), the free-space propagation of the laser from the F-face to the rough target surface (T-face), the generation of a new emitted light field at the T-face due to phase accumulation, the free-space transmission from the T-face back to the F-face, and the light field coupling process.
 
       
    
    Table 1.
    Explanation table of laser emission and echo reception process.
  
When a laser exits from a single-mode fiber, the expression for the stable light field distribution within a step-index fiber becomes complex. To simplify, the weakly guiding fiber assumption can be applied, where the refractive index of the fiber core is nearly identical to that of the cladding, thereby weakening the fiber’s guiding effect on electromagnetic wave transmission. Under this assumption, the stable light field distribution  inside the single-mode fiber can be expressed as follows []:
      
        
      
      
      
      
    
In the equation,  denotes the coordinate at the F-face,  is the light field intensity coefficient,  represents the zeroth-order Bessel function of the first kind,  is the fiber core radius, and the real parameter  can be determined by solving the eigenvalue equation as follows:
      
        
      
      
      
      
    
In the equation,  and  are real parameters,  is the first-order Bessel function of the first kind,  is the zeroth-order modified Bessel function of the second kind,  is the first-order modified Bessel function of the second kind,  is the refractive index of the fiber core,  is the refractive index of the fiber cladding,  is the wave number in vacuum,  is the wavelength in vacuum, and , which is the longitudinal propagation constant of the LP01 mode, can be determined by solving the LP01 eigenvalue function. By substituting into Equation (4), the numerical result for  is obtained. Finally, the two-dimensional distribution of the stable light field inside the single-mode fiber at a wavelength of  can be computed.
The free-space transmission process from the F-face to the T-face can be simulated using Diffraction-limited Coherent Imaging Theory []. Assuming the lens is a circular thin lens with a radius  and a focal length , the exit pupil position of the laser transceiver system corresponds to the location of the thin lens. The pupil function  is expressed as follows:
      
        
      
      
      
      
    
In the equation,  denotes the coordinate at the exit pupil. The process of light field propagation from the fiber emission end face to the front surface of the exit pupil can be described by the Fresnel diffraction integral theory. The incident light field distribution at the exit pupil  can be expressed as follows:
      
        
      
      
      
      
    
In the equation,  represents the distance from the fiber emission end face to the exit pupil.  represents the integral range of the exit pupil. Due to the phase modulation of the lens and the aperture’s restriction on the light field, the transmittance function of the exit pupil can be expressed as follows:
      
        
      
      
      
      
    
Therefore, the outgoing light distribution of the exit pupil  can be expressed as follows:
      
        
      
      
      
      
    
Similar to the process described in Equation (10), the propagation of the light field from the exit pupil to the target plane can be expressed as follows:
      
        
      
      
      
      
    
In the equation,  denotes the coordinate at the target T-face, and  is the distance from the exit pupil to the T-face. When the target plane and the fiber emission plane are in an imaging relationship with respect to the lens, Equation (10) can be further simplified as follows:
      
        
      
      
      
      
    
In the equation, . FFT represents the Fourier transform operator. The system’s point spread function (PSF) is the Fourier transform of the  as follows:
      
        
      
      
      
      
    
Consequently, the complex amplitude light field distribution at the T-face can be expressed as follows:
      
        
      
      
      
      
    
In the equation, the symbol * represents the two-dimensional convolution operation. .  denotes the magnification factor between the object and the image obtained through geometric optical imaging. Through the aforementioned analysis and processing, we derived the expression for the light field distribution at the target plane. This result provides a mathematical framework to describe how the light field propagates through the optical system and forms the final distribution at the target plane.
Johnson’s transformation system theory is employed to simulate the surface roughness state. The rough surface height function is generated by randomly producing a two-dimensional sequence and utilizing digital filtering techniques based on wide-sense stationary random processes []. It is assumed that the surface roughness modulates only the optical field phase, without affecting the spatial light intensity distribution. Consequently, the reflected light field from the rough surface can be expressed as follows:
      
        
      
      
      
      
    
The process of light field transmission from the T-face to the F-face is analogous to the process from the F-face to the T-face described earlier. The received light field at the fiber end  can be determined as follows:
      
        
      
      
      
      
    
In the equation, , . In Equation (14), the backscattered optical field from the target surface is subject to phase modulation induced by surface roughness. Given the complex height variations of rough surfaces, the angular spectrum of the backscattered light spans a broad range. However, due to the pupil function’s band-limiting effect, only low-frequency angular spectrum components can pass through the optical system and reach the receiving fiber end-face, forming a speckle pattern. This phenomenon is subsequently validated in our numerical simulations. Based on the fiber coupling efficiency calculation formula, the coupling process is characterized by the angle between the spatial vectors of the light field to be coupled and the light field stably transmitted within the fiber.
      
        
      
      
      
      
    
In the above equation, it can be concluded that the closer the distribution of the light field to be coupled is to the distribution of the light field stably transmitted within the fiber, the greater the amount of energy that can be coupled into the fiber and contribute to the interference.
3. Numerical Simulation in Typical Application Scenarios
In practical application scenarios, the LDV is employed to detect micro-vibration signals from rough targets located 10 m away. The selected single-mode fiber has a core radius of 5 μm, a core refractive index of 1.45, and a cladding refractive index of 1.445, yielding an optical fiber numerical aperture (NA) of approximately 0.12. The lens features a focal length of 200 mm and an aperture diameter of 50 mm. The chosen laser wavelengths are 1550 nm, 1554 nm, 1558 nm, and 1562 nm. As discussed in Section 2, the stable light field transmission in the single-mode fiber results in the light field distribution at the fiber’s emission end, as shown in Figure 2 for the various wavelengths.
 
      
    
    Figure 2.
      Optical field distribution of different wavelengths at the fiber end (transmitting light): (a) 1550 nm, (b) 1554 nm, (c) 1558 nm, and (d) 1562 nm.
  
As shown in Figure 2, the light field transmitted stably within the fiber is approximately the same for different wavelengths under the simulation constraints and based on the light field transmission process discussed in Section 2. To ensure sufficient surface resolution and prevent  spectral aliasing in the reconstruction process, we consider a rough target with a correlation length of 700 μm and a root mean square (RMS) height deviation of 40 μm. The resulting surface topography distribution is shown in Figure 3. The laser beam waist (indicated by the red circle) at the target surface was set to 1 mm in diameter, matching the characteristic scale of the surface roughness features to enable proper optical interaction.
 
      
    
    Figure 3.
      Rough target surface topography.
  
The convolution operations in Equations (13) and (15) can be efficiently implemented using Fourier domain processing:
- Transform to frequency domain: Apply the Fourier transform to convert the spatial domain optical field into its spectral representation.
- Point-wise multiplication: Instead of direct spatial convolution, perform a Hadamard (element-wise) product of the frequency domain fields.
- Inverse transform: Reconstruct the convolved spatial result via the inverse Fourier transform.
The light field distribution at the fiber end for different wavelengths reflected from the same rough target was obtained, as illustrated in Figure 4.
 
      
    
    Figure 4.
      Optical field distribution of different wavelengths at the fiber end (receiving light): (a) 1550 nm, (b) 1554 nm, (c) 1558 nm, and (d) 1562 nm.
  
In Figure 4, it can be observed that the speckle patterns formed at the fiber end for different wavelengths exhibit similarities, but are not identical. As the wavelength difference increases, the discrepancies in the speckle patterns become more pronounced. The final calculated coupling efficiencies are 0.50, 0.30, 0.46, and 0.73, corresponding to different interference photocurrent amplitudes. It is important to note that these coupling efficiency values are specific to a particular rough target. Since the speckle characteristics vary across different targets, the coupling efficiency is not a constant. To better illustrate the differences in the light fields reflected from surfaces with varying roughness at the fiber end face, as well as the resulting variations in coupling efficiency, a new rough surface distribution was generated, and the reflected light field at the fiber end face was obtained, as shown in Figure 5.
 
      
    
    Figure 5.
      Optical field distribution of different wavelengths at the fiber end based on newly generated rough target(receiving light): (a) 1550 nm, (b) 1554 nm, (c) 1558 nm, and (d) 1562 nm.
  
The final calculated coupling efficiencies are 0.33, 0.59, 0.70, and 0.65. In specific application scenarios, when the rough target moves and the reflected coupling efficiency is low, the demodulated signal noise increases, potentially resulting in speckle noise. To enhance the stability of the demodulated vibration signal, this paper proposes a dual-channel signal enhancement method based on orthogonal demodulation.
To investigate the influence of wavelength variation on speckle characteristics, we conducted numerical simulations on randomly generated rough surfaces and statistically analyzed the coupling efficiency differences between wavelengths in the 1551–1570 nm band relative to the 1550 nm reference wavelength. This study employed a Monte Carlo approach with 1000 independent trials to calculate the root mean square (RMS) values of the coupling efficiency variations, as shown in Figure 6.
 
      
    
    Figure 6.
      The statistical variation relationship between coupling efficiency and wavelength.
  
The RMS value of coupling efficiency variation quantifies the speckle pattern differences for the same rough target at different wavelengths. A higher RMS value indicates greater speckle pattern disparity. This characteristic enables the selection of two wavelengths with appropriate differentiation to ensure complementary interference signal strengths—when one channel’s interference signal is weak, the other channel can maintain high signal intensity. As shown in Figure 6, the RMS variation in coupling efficiency  exhibits a monotonic increase with wavelength separation , saturating at 0.27 when . This saturation threshold indicates the decorrelation condition where speckle pattern similarity asymptotically approaches zero, establishing 14 nm as the minimum wavelength separation for statistically independent speckle realizations.
4. Dual-Channel Signal Enhancement Processing Methodology
To achieve more stable demodulated vibration signals with enhanced data quality, this paper proposes a dual-wavelength synchronous detection scheme. Leveraging the low correlation in coupling efficiency between two signals with significantly different wavelengths, we combine the velocity signals through a channel-weighting approach. The specific process is illustrated in Figure 7. The dual-channel signals undergo in-phase and quadrature (IQ) demodulation to yield the envelopes of both signals,  and  [], as well as the laser phases, Phase 1 and Phase 2, induced by target vibrations. The dual-channel weights,  and , and the velocities,  and , are then derived. Finally, the combined velocity, , is obtained through the weighted combination.
 
      
    
    Figure 7.
      Flow chart of dual-channel signal reinforcement.
  
The velocity values obtained through dual-channel demodulation can be regarded as a combination of the true velocity and noise []. Based on Equation (3), the relationship between the effective value of velocity noise, , and the envelope can be expressed as follows:
      
        
      
      
      
      
    
In the equation,  represents the conversion factor between the envelope and the effective value of velocity noise. To ensure  is an unbiased estimate of the true velocity, the following condition must be satisfied:
      
        
      
      
      
      
    
The combined velocity noise, , can be expressed as follows:
      
        
      
      
      
      
    
To minimize the combined noise, the derivative of  with respect to  must equal zero. The final solutions for  and  are as follows:
      
        
      
      
      
      
    
The final combined velocity noise is expressed as follows:
      
        
      
      
      
      
    
In the above equation, it can be concluded that the combined velocity noise is lower than the velocity noise obtained from any individual channel demodulation. As illustrated in Figure 6, the effective velocity noise corresponding to the envelope of Channel 1 is used as a baseline (indicated by a dashed line). Figure 8 compares the relationship between the combined velocity noise and the single-channel velocity noise as the amplitude envelope ratio between Channel 2 and Channel 1 varies.
 
      
    
    Figure 8.
      Velocity noises at different ratios of dual-channel signal amplitude envelopes.
  
In Figure 8, it can be observed that the combined velocity noise curve lies below the individual velocity noise curves of Channel 1 and Channel 2, confirming that the combined velocity noise is lower than that of any single-channel demodulation. When there is a significant amplitude difference between Channel 1 and Channel 2, the combination primarily functions as a channel-gating mechanism, suppressing spike noise and enhancing the stability of vibration measurement. Conversely, when the amplitudes of Channel 1 and Channel 2 are similar, the noise can be minimized to  of its original value, effectively improving the instrument’s detection resolution.
5. Experiment
In this section, vibration detection experiments will be conducted on this platform to evaluate both stationary and moving targets, as well as targets under varying vibration states. These experiments aim to demonstrate that the dual-channel signal enhancement processing algorithm enhances the measurement resolution and detection stability of the instrument, while also exhibiting robust adaptability to vibrations of different frequencies and diverse target characteristics.
The experiment is based on the optical setup shown in Figure 1, utilizing two laser wavelengths, 1550 nm and 1558 nm, to extract vibration signals from a target located 10 m away. The target is acoustically excited by a 1 kHz signal played through a speaker and is also subjected to lateral motion driven by a one-dimensional translation stage. The specific experimental setup is illustrated in Figure 9.
 
      
    
    Figure 9.
      Diagram of dual-wavelength LDV experiment.
  
5.1. Stationary Target—Paper Box
When the one-dimensional translation stage is in a stationary state, the paper box target undergoes micro-vibrations solely due to the loudspeaker excitation. The detector output is synchronously captured using a dual-channel data acquisition card, which records the raw carrier signals from both channels, as depicted in Figure 10a,b. The real-time weight values for both channels are then calculated based on Equation (20) and the carrier–envelope data, as illustrated in Figure 10c.
 
      
    
    Figure 10.
      Original carrier data of the single channels from the stationary paper box target: (a) 1550 nm and (b) 1558 nm. (c) The dual-channel weight calculation results.
  
As shown in Figure 10, the signal envelope remains stable during the dual-channel acquisition process, indicating that the speckle pattern remains nearly unchanged during vibration. The carrier signals are processed using dual-channel signal enhancement to obtain the demodulated velocity for both channels and the combined velocity in the time domain, as illustrated in Figure 11a–c.
 
      
    
    Figure 11.
      IQ demodulation velocity results: (a) 1550 nm and (b) 1558 nm. (c) Combination of dual-channel velocities.
  
To avoid interference from the 1 kHz signal and its harmonics in noise energy evaluation, the noise level was characterized using the root mean square (RMS) value of the velocity noise power spectrum within the 15 kHz to 20 kHz frequency range. As shown in Figure 12, the power spectral densities (PSDs) of the velocity noise are plotted for the 1550 nm channel, 1558 nm channel, and the combined dual-channel signal. The RMS noise levels are clearly indicated by red solid lines for the 15–20 kHz frequency band, measuring 0.153 μm/s/Hz1/2, 0.165 μm/s/Hz1/2, and 0.122 μm/s/Hz1/2, respectively. Red dashed lines are used to highlight the comparative differences between the three cases. The measured results confirm that the noise contributions from the 1550 nm and 1558 nm channels are statistically independent. While the signal components remain fully retained through channel combination, the uncorrelated noise is suppressed via coherent processing. Consequently, the composite velocity noise (0.122 µm/s/√Hz) is lower than that of either individual channel, demonstrating a clear improvement in detection resolution through dual-channel signal enhancement.
 
      
    
    Figure 12.
      Power spectral densities of velocity noise: (a) 1550 nm, (b) 1558 nm, (c) 1550 nm + 1558 nm.
  
5.2. Moving Target—Paper Box
The one-dimensional translation stage is set to move at a constant speed, driving the motion of the paper box target placed on it. A loudspeaker, driven at a frequency of 1 kHz, is used as the vibration source. The detector in the vibration measurement system records the dual-channel time domain data, as shown in Figure 13a,b. Based on the weight calculation rule, the variation in dual-channel detection weights over time was obtained and the result is illustrated in Figure 13c.
 
      
    
    Figure 13.
      Original carrier data of the single channels from the moving paper box target: (a) 1550 nm and (b) 1558 nm. (c) The dual-channel weight calculation results.
  
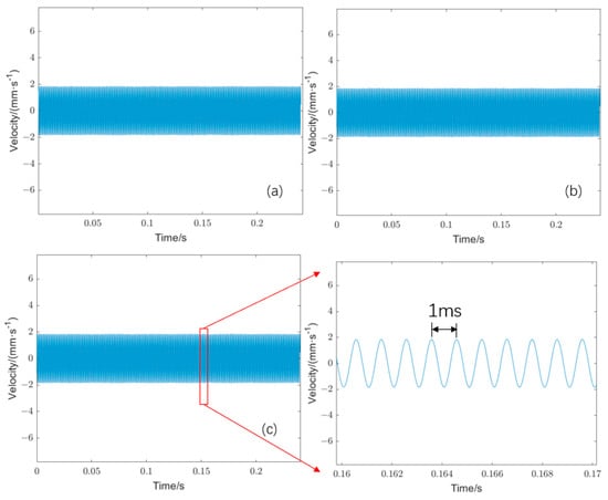
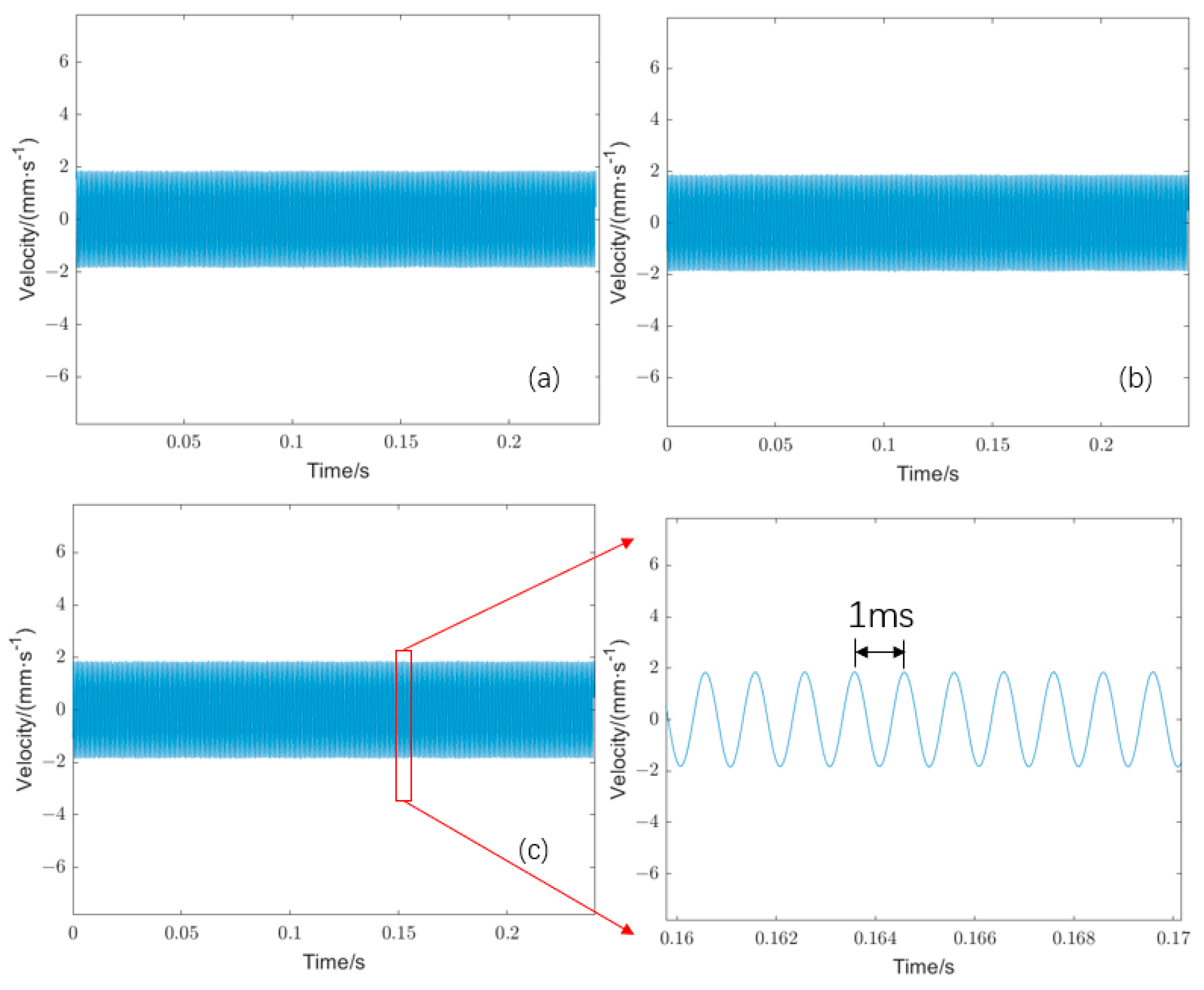
After IQ demodulation, the velocity data for both channels are obtained, as illustrated in Figure 14a,b. The dual-channel velocity data are combined using the weighting method described in Section 4, as shown in Figure 14c. Comparing the demodulated velocity data with the raw carrier signals, it can be observed that when the carrier signal envelope is at a low value, spike noise appears in the corresponding velocity data. Compared to the single-channel velocity demodulation results, the spike noise is significantly suppressed, which demonstrates that the dual-channel signal enhancement processing enhances the detection stability of the instrument.
 
      
    
    Figure 14.
      Target paper box—IQ demodulation velocity results: (a) 1550 nm and (b) 1558 nm. (c) Combination of dual-channel velocities.
  
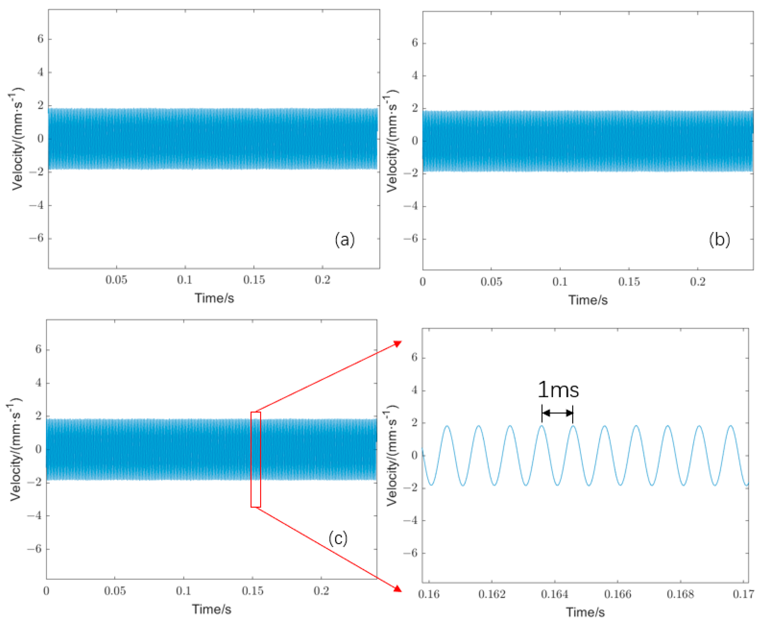
5.3. Moving Target—Plastic Box
To further demonstrate the effectiveness of the method, we replaced the paper box target with a rigid plastic target placed on the one-dimensional translation stage and adjusted the loudspeaker excitation frequency to 500 Hz. Figure 15 shows the velocity data obtained from dual-channel individual demodulation and weight combination under this experimental condition. In the figure, it is evident that the spike noise is effectively suppressed, indicating that the dual-channel signal enhancement processing exhibits robust spike noise suppression capability for different targets and frequencies. This significantly enhances the measurement robustness of the instrument.
 
      
    
    Figure 15.
      Target plastic box—IQ demodulation velocity results: (a) 1550 nm and (b) 1558 nm. (c) Combination of dual-channel velocities.
  
6. Conclusions
In this paper, a free-space optical field transmission model for a transceiver-integrated fiber-optic LDV is established based on the Diffraction-limited Coherent Imaging Theory. The model integrates the theory of stable light field transmission in weakly guided single-mode fibers, the Johnson Transformation System Theory, and the Fiber Coupling Theory to build an energy utilization model for the rough target fiber-optic LDV transceiver process. The simulation results show that different wavelengths exhibit inconsistent speckle characteristics when applied to the same rough target. A dual-wavelength fiber-optic LDV data acquisition and analysis system based on orthogonal demodulation and dual-channel signal enhancement processing is proposed. The experiments were conducted with laser wavelengths of 1550 nm and 1558 nm for a moving target at an alignment distance of 10 m, verifying the proposed system. The experimental results demonstrate that the dual-wavelength fiber-optic LDV effectively suppresses spike noise during vibration measurement of moving targets and reduces the signal loss probability caused by speckle effects. In engineering applications, the dual-wavelength combination scheme provides higher stability and improved detection resolution. Additionally, the optical field transmission simulation platform can be extended to applications such as laser wind radar, providing an evaluation of the instrument’s non-cooperative target measurement capabilities.
Author Contributions
Conceptualization, Y.S.; methodology, X.J. and Y.W.; validation, X.J., Y.S. and Y.W.; writing—original draft preparation, X.J. and Y.S.; supervision, X.K. and W.Z. All authors have read and agreed to the published version of the manuscript.
Funding
This research was funded by the National Key Research and Development Program of China, grant number 2022YFF0706300.
Institutional Review Board Statement
Not applicable.
Informed Consent Statement
Not applicable.
Data Availability Statement
Data will be available from the authors upon reasonable request.
Acknowledgments
The authors thank the reviewers and editors for their contributions to this article.
Conflicts of Interest
The authors declare no conflicts of interest.
References
- Li, Y.; Zhang, L.; Yang, Y.; Gao, L.; Xu, B. The method for multi-beam laser heterodyne high-precision measurement of the glass thickness. Acta Phys. Sin. 2009, 58, 5473–5478. [Google Scholar]
- Shang, J.; He, Y.; Wang, Q.; Li, Y.; Ren, L. Development of a High-Resolution All-Fiber Homodyne Laser Doppler Vibrometer. Sensors 2020, 20, 5801. [Google Scholar] [CrossRef] [PubMed]
- Kong, X.; Zhang, W.; Cai, Q.; Wu, Z.; Dai, Y.; Xiangli, B. Multi beam hybrid heterodyne interferometry based phase enhancement technology. Acta Phys. Sin. 2020, 69, 190601. [Google Scholar] [CrossRef]
- Rzasa, J.R.; Cho, K.; Davis, C.C. Long-range vibration detection system using heterodyne interferometry. Appl. Opt. 2015, 54, 6230–6236. [Google Scholar] [CrossRef] [PubMed]
- Iverson, T.Z.; Watson, E.A. Signature stability in laser Doppler vibrometry. In Proceedings of the SPIE Defense and Security, Anaheim, CA, USA, 5 May 2017; Volume 10191, pp. 108–116. [Google Scholar]
- Shen, Y.; Dai, Y.; Kong, X.; Zhao, S. Influence of transmitting and receiving telescope parameters on measurement resolution of fiber laser doppler vibrometer. Acta Phys. Sin. 2025, 74, 14206. [Google Scholar] [CrossRef]
- Rembe, C.; Dräbenstedt, A. D1.1—Speckle-Insensitive Laser-Doppler Vibrometry with Adaptive Optics and Signal Diversity. In Proceedings of the AMA Conferences, Nürnberg, Germany, 19–21 May 2015; pp. 505–510. [Google Scholar]
- Wang, F.; Rembe, C. Statistical behaviour of laser Doppler vibrometer detector signals and application of statistics for signal diversity. In Proceedings of the 15th International AIVELA Conference on Vibration Measurements by Laser and Noncontact Techniques, Ancona, Italy, 21 June 2023; Volume 2698, p. 12020. [Google Scholar]
- Dräbenstedt, A. Diversity combining in laser Doppler vibrometry for improved signal reliability. In Proceedings of the 11th International Conference on Vibration Measurements by Laser and Noncontact Techniques—AIVELA 2014: Advances and Applications, Ancona, Italy, 25–27 June 2014; Volume 1600, pp. 263–273. [Google Scholar]
- Lv, T.; Han, X.; Wu, S.; Li, Y. The effect of speckles noise on the Laser Doppler Vibrometry for remote speech detection. Opt. Commun. 2019, 440, 117–125. [Google Scholar] [CrossRef]
- Lu, C.; Xu, Z.; Liu, J.; Lu, B.; Yu, Z.; Zou, L.; Liu, G. Reducing decoherence introduced by a rough target in laser Doppler vibrometry using a dual-wavelength structure. Measurement 2025, 247, 116743. [Google Scholar] [CrossRef]
- Liao, Y.; Li, M.; Xia, L. Fiber Optics, 4th ed.; Tsinghua University Press: Beijing, China, 2024. [Google Scholar]
- Born, M.; Wolf, E. Principles of Optics: 60th Anniversary Edition, 7th ed.; Cambridge University Press: Cambridge, UK, 2019. [Google Scholar]
- Deng, H.; Zhang, R. Influence of rough surface on statistical properties of speckle. High Power Laser Part. Beams 2014, 26, 121009. [Google Scholar] [CrossRef]
- Fan, C. Principles of Communications, 2nd ed.; Publishing House of Electronics Industry: Beijing, China, 2015. [Google Scholar]
- Schewe, M.; Rembe, C. Signal Diversity for Laser-Doppler Vibrometers with Raw-Signal Combination. Sensors 2021, 21, 998. [Google Scholar] [CrossRef] [PubMed]
| Disclaimer/Publisher’s Note: The statements, opinions and data contained in all publications are solely those of the individual author(s) and contributor(s) and not of MDPI and/or the editor(s). MDPI and/or the editor(s) disclaim responsibility for any injury to people or property resulting from any ideas, methods, instructions or products referred to in the content. | 
© 2025 by the authors. Licensee MDPI, Basel, Switzerland. This article is an open access article distributed under the terms and conditions of the Creative Commons Attribution (CC BY) license (https://creativecommons.org/licenses/by/4.0/).
