Next Article in Journal
The Effect of Microstructural Changes in Nickel-Based Alloys on Their Corrosion Resistance in Molten Halides: A Consideration of Prospective Structural Materials for Molten Salt Reactors
Previous Article in Journal
Dynamic Inversion Method for Concrete Gravity Dam on Soft Rock Foundation
 
 
Font Type:
Arial Georgia Verdana
Font Size:
Aa Aa Aa
Line Spacing:
Column Width:
Background:
Article

The Comparative Behavior of Undisturbed Soft Clay Results Based on Photogrammetry and Numerical Simulation

1
Guangxi Key Laboratory of Green Building Materials and Construction Industrialization, Guilin 541004, China
2
College of Civil Engineering, Guilin University of Technology, Guilin 541004, China
3
School of Civil Engineering, Hubei Polytechnic University, Huangshi 435003, China
*
Authors to whom correspondence should be addressed.
Appl. Sci. 2025, 15(9), 4752; https://doi.org/10.3390/app15094752
Submission received: 17 March 2025 / Revised: 16 April 2025 / Accepted: 22 April 2025 / Published: 25 April 2025

Abstract

Measuring the soil’s deformation and strength during loading is essential when evaluating saturated, undisturbed soft clays with the triaxial test apparatus. A photogrammetry method has been developed to measure total and localized volume changes on saturated, undisturbed soft clays during triaxial testing. In this study, an application of the photogrammetry method is presented by performing a series of triaxial tests with different confining pressures on saturated undisturbed soft clays. Three-dimensional numerical simulations of soft clay deformation are conducted using finite element analysis (FEM) software. The research paper showed that the photogrammetry method delivers a more accurate representation of the soil sample’s deformation, as conventional tests and simulations tend to overestimate the deviator stress values relative to photogrammetry slightly. The simulation from FEM results show a strong relationship with the localized deformation data obtained through photogrammetry. This photogrammetry method provides valuable theoretical insights and practical uses in engineering applications.

1. Introduction

Soft soil is widely distributed in coastal areas. With the acceleration of urbanization, related engineering geological problems have become increasingly prominent, especially regarding foundation-bearing capacity, soil deformation, and foundation pit stability. Due to the causes and regional differences, soft soil’s physical and mechanical properties show significant regional characteristics, and it is not easy to find a universal constitutive model applicable to all regions. In addition, the parameters of many models are not clearly defined, which limits their application in practical engineering. However, recent studies [1,2,3] have shown that the modified Cambridge model has high effectiveness and applicability in various regions of soft soil research and engineering practice. In addition, the Cambridge series model proposed by ROSCOE [4,5] and others is earlier, has clear concepts, is more complete, has fewer model parameters, and is easy to measure. Studies have shown that the modified Cambridge model is ideal for predicting the stress–strain characteristics of marine soft soil, so the MCC model is widely used in geotechnical engineering problems in coastal areas. The geotechnical triaxial test is a key means of obtaining indicators of the mechanical properties of soft clay [6,7]. However, the traditional triaxial test has many limitations: (1) the non-homogeneity and anisotropy of the soil sample lead to difficulties in local strain measurement [8,9]; (2) the stress concentration caused by the end contact problem constrain the deformation of both ends of the soil sample [10,11]; (3) the theoretical assumption of uniform deformation does not reflect the strain state of the middle of the sample about the cross-section at the two ends [12]; and (4) due to the rubber membrane as well as the small gaps between the specimen cover and permeable stone, the entry of water into the pressure chamber creates an end “water storage area” problem [13,14]. In order to weaken the inaccuracy of the conventional triaxial test due to the above limiting problems, the introduction of photogrammetric techniques into the triaxial test overcame the above problems.
Shao Longtan et al. [15] employed digital image measurement approaches to measure dry silica micro-powder and Fujian standard sand. This overcame the shortcomings of conventional triaxial tests and analyzed the deformation characteristics and failure process of the soil sample in triaxial experiments. The process was divided into three states: pre-failure, failure, and post-failure, and the deformation characteristics of each state were described.
Li L, Zhang X et al. [16,17,18] integrated photogrammetry, ray tracing, and least squares optimization techniques to accurately determine the camera position, the shape and location of the triaxial test system, and calculate the three-dimensional coordinates of the surface points of the soil sample.
Fayek S et al. [19] pointed out that the image-based soil sample volume measurement method could not determine the boundary between the soil sample and the upper and lower covers, resulting in inaccurate volume measurement. A photogrammetry-based method was proposed to precisely measure the absolute volume of the soil sample in the triaxial test by determining the boundary between the soil sample and the upper and lower covers, achieving an accuracy of up to 0.061%.
Li L et al. [20] effectively extracted the optical properties of the soil sample through optimization algorithms to reduce its refractive index.
Xia X et al. [21] proposed a method for measuring the three-dimensional full-field displacement of geosynthetic materials based on multi-camera photogrammetry technology. This method has advantages such as being non-contact, full-field measurement, high accuracy, and no manual control, overcoming the limitations of traditional methods and providing new tools and approaches for the research and application of geosynthetic materials.
Xia Y et al. [22] adopted photogrammetry to conduct undrained tests on soft clay to reduce the influence of end constraints on conventional triaxial tests. The results indicated that photogrammetry was more accurate in measuring the soil sample’s local peak stress than conventional triaxial tests.
Li Lin et al. [23] introduced the GeoPIV-RG technology into triaxial tests on the basis of Zhang and Li et al. The volume and global fine deformation of the soil sample were measured using steel column tests and silt tests. The steel column test verification method could accurately measure the volume (with an error of 0.36%), and the silt test demonstrated that GeoPIV-RG combined with speckles could measure the global deformation, providing an efficient, comprehensive, and fine method for studying the deformation characteristics of soil in triaxial tests.
Huang Ziheng et al. [24] used a rigid cylinder to simulate triaxial soft clay under different confining pressures and in different media to conduct a series of triaxial accuracy verification tests and found that the average axial error obtained by the triaxial photogrammetry method was 0.056% and the average radial relative error was 0.17%.
Cai Jiao et al. [25] used the modified triaxial photogrammetry method to measure saturated sand. The results showed that the correction coefficient could reduce the refraction effect and enhance the measurement accuracy.
Zhang Bo et al. [26] utilized the triaxial photogrammetry method to measure mixed soil. The results indicated that light had a more significant effect on the radial direction, while the axial measurement could be negligible. The triaxial photogrammetry method met the measurement accuracy requirements.
Mu Chunmei et al. [27] analyzed the shear banding pattern of Guilin red clay through photogrammetry technology, revealing the evolution process of soil strain localization. The results demonstrated that photogrammetry technology could effectively avoid the measurement errors of conventional triaxial tests.
As shown in Table 1, the triaxial photogrammetry method is currently mainly used for unsaturated soils, and a few studies have been conducted on special rocks and soil, especially original soil samples. Most of the existing theoretical systems of soil mechanics are developed based on the experimental research of reshaped soil, without considering the influence of soil structure [28,29]. The main difference between undisturbed and remolded soils is their structure and strength [30]. Undisturbed soil is the soil sample that retains its natural water content and structure, while remolded soil is the test soil that is made of undisturbed soil after drying and grinding according to the density and water content of undisturbed soil. In comparison to undisturbed soil, the strength of disturbed soil has diminished due to alterations in its structure.
Since the mechanical properties of the undisturbed soil are different from those of remolded soil, in order to verify the effectiveness and reliability of photogrammetry for undisturbed soft soil, this paper uses finite elements to perform three-dimensional numerical simulation based on photogrammetry, which once again proves that photogrammetry not only improves the effectiveness and reliability of test data but also provides more detailed deformation analysis and stress–strain information, which helps to deeply understand the mechanical properties of soil and its behavior in engineering. In contrast, photogrammetry technology can provide more comprehensive, accurate, and visual soil sample deformation information by capturing the deformation image of the soil sample surface in real time and using computer vision and image processing technology.

2. Materials and Methods

2.1. Test Soft Clay

The undisturbed soft soil samples were sampled using the static pressure method, an XY-1 drilling rig, a thin-walled soil sampler with a live valve, and then packaged with a galvanized iron liner. The undisturbed soft clay, using a thin-walled Shelby tube, was taken from an actual engineering site in Wenzhou City (see Figure 1). The soil depth is 4.20–4.50 m, and the soft clay samples are soft clay samples. The soil sample is a marine sedimentary plain, gray, thermoplastic, high sensitivity, high compressibility, smooth knife-cut surface, no shaking reaction, high toughness, high dry strength, containing a small amount of humus, and with a scalariform structure. Its main physical property indexes are detailed in Table 2. There is a flowchart showing the schematic figure of this research program; see Figure 2 for details.

2.2. Modified Cambridge Parameter Determination

This model uses the modified Cambridge model, which involves three important test parameters: consolidation slope (λ), rebound slope (κ), and critical state slope (Μ). These three parameters are meticulously obtained from the laboratory tests, of which λ and κ were determined by comprehensive consolidation compression tests, and Μ determined by thorough conventional CU tests.

2.2.1. Critical State Slope M

The triaxial test was conducted using the Beijing Huakan fully automatic pneumatic triaxial instrument, as shown in Figure 3. The main dimensions of the instrument are 450 × 410 × 980 mm (including the water storage barrel pole), and the acquisition and control dimensions are 295 × 230 × 65 mm. The instrument’s pressure chamber has a unique underwater force transmission rod. The diaphragm sealing technology is used between the force transmission rod and the principal stress difference sensor, which eliminates friction and prevents leakage of the pressure chamber, improves the sensitivity of detecting the principal stress difference, has high acquisition efficiency, and high data reliability.
Before the test, the triaxial instrument was vented from the pore pressure pipeline, the pore pressure valve and the water injection valve were opened, and the valve was closed when clean water came out of the small hole in the pressure chamber base; then, the specimen was installed. Then, the instrument confining pressure σ3 was set to 100, 200, and 300 kPa, and the p and q values corresponding to the failure point were plotted in the p-q plane. Univariate linear regression was performed to fit the critical state line (CSL line), and the straight line slope was the M value.
In this paper, the critical state line, a crucial element in geotechnical research, was obtained using the automatic triaxial instrument and the geotechnical specification (see Figure 4), and M = 0.5810 was obtained from the curve.

2.2.2. Consolidation Slope λ and Rebound Slope κ

As shown in Figure 5, the consolidation compression test uses the Beijing Huakan fully automatic pneumatic consolidation instrument, which adopts fully automatic acquisition technology, with an output sensitivity better than 0.03% F.S (0.24 kPa), and all indicators are better than the technical standards of the lever-type consolidation instrument (output lag, stable pressure during the test). The test includes three processes: loading, unloading, and reloading. During the loading process, the soil samples are loaded step by step according to 12.5, 25, 50, 100, 200, and 400 kPa, and the unloading process is unloaded step by step according to 400, 200, 100, and 50 kPa. The reloading process is sequenced according to 50, 100, 200, 400, 800, and 1600 kPa.
Finally, based on the data automatically collected by the instrument, the e-log p curve was generated using the Beijing Huakan geotechnical software 1.0, and the slopes of the λ consolidation line and the κ rebound line, i.e., λ and κ, were obtained. The porosity e and logp curves are shown in Figure 6, and the linear fitting calculation determined that λ = 0.150 and κ = 0.022.

2.3. Basic Principles of Photogrammetry

The current photogrammetry method is a non-contact close-range measurement method that combines digital photogrammetry technology with conventional triaxial tests and has the advantage of not disturbing the soil sample. The surface digital image of the triaxial specimen during the entire deformation process is obtained with the help of a non-measuring camera, and the image information is extracted with the computer software PhotoModeler 2024.2.0.293. The coordinate transformation is performed through the relevant coordinate system to complete the soil sample deformation model’s reconstruction, thereby completing the triaxial specimen’s deformation measurement.
One of the more important aspects of photogrammetry is the correlation between the camera coordinates and the world coordinate system, the verification of photogrammetric accuracy, and the spatial refraction correction model. Li et al. [17,18] used the formula to establish the correlation between the camera coordinate system and the world coordinate system; due to the inherent disadvantage of the annular glass cover, the light traced to the surface of the soil sample undergoes two refractions (see Figure 7a,b below), and the image obtained by the camera is enlarged, which results in distortion of the image [18]. Therefore, a spatial refraction correction model was introduced. This model eliminates the effect of refraction by utilizing the reversibility of light and Snell’s law. The next step in the process is obtaining the real coordinates of the P-point P′. This is carried out with the help of the image binarization technique, a key step in the photogrammetric process, as shown in Figure 7c. The derivation of the formula is not repeated here, and we can refer to the related literature by Li L, Xia X L, and Zhang X et al. [18,21].

2.4. Camera Calibration and Accuracy Verification

2.4.1. Camera Calibration

This experiment used a Nikon D5600 camera was manufactured by Nikon Corporation, Tokyo, Japan, to collect images (as shown in Figure 8). This camera has the advantages of a stable and reliable focusing system, high resolution, touchscreen operation, low noise, and high ISO performance. The close-range measurement software PhotoModeler has a calibration module that can quickly calibrate the camera distortion through simple steps. The calibrated camera meets the measurement requirements. The calibration results are shown in Table 3.

2.4.2. Accuracy Verification

Accuracy verification is an indispensable part of photogrammetry, and it directly affects the measurement results. Therefore, the reliability of photogrammetry must be verified before the test. Accuracy verification includes measuring the spacing between plane CT points in the air, the spacing between curved surface CT points in the air, and the spacing between CT points in the glass cover.
1.
Measurement of the spacing between plane CT points in the air
As shown in Figure 9, the plane spacing of CT points was measured using a vernier caliper and photogrammetry. The measurement results are shown in Table 4.
From the data in Table 4, we can see that the photogrammetry method’s average relative error is 0.046%, and the absolute error is less than 0.011 mm. Moreover, the relative error decreases with increasing spacing because the number of CT points identified by photogrammetry increases, thereby improving the measurement accuracy. The test results show that the photogrammetry method meets the plane accuracy requirements.
2.
Measurement of CT point spacing on curved surfaces in the air
The measurement object is a rigid cylinder with CT points attached to its surface (Figure 10). The cylinder’s axial height and radial length were measured using a vernier caliper as the true value. Subsequently, images of the rigid cylinder were captured from multiple angles using a verified camera, ensuring that each encoding point appeared in at least three photos. By importing these captured images into the PhotoModeler (PM) software, a three-dimensional stereo model of the cylinder was reconstructed. The encoding point coordinates determined the axial height, and the radial length was obtained by fitting the MATLAB program 23.2.0.2365128 (R2023b). The measurement results are shown in Table 2.
From the data in Table 5, we can see that the axial absolute error does not exceed 0.11 mm, the average value is 0.011 mm, and the average relative error is 0.012%; the radial absolute error does not exceed 0.0.7 mm, the average value is 0.03 mm, and the average relative error is 0.088%. The results show that the photogrammetry method meets the surface accuracy requirements.
3.
Measurement of CT point spacing in the glass cover
To verify the accuracy of the glass cover, the confining pressure was set to 0 kPa, and the axial height and radial length of the triaxial model in the glass cover in air and after water injection were tested. The test values in air were taken as the true values, and the test errors were compared. The results after correction using the spatial refraction correction model are shown in Table 6. The upper, middle, and lower parts correspond to the three regions (I, II, and III) divided by the rubber membrane, as shown in Figure 11.
According to Table 6, the influence of refraction on the radial direction is much greater than that on the axial direction. The maximum relative error before correction is 20.79%. However, the test value in the glass cover after the spatial correction model is close to the true value in the air, with an absolute error of less than 0.05 mm and an average relative error of only 0.18%. This fully demonstrates the effectiveness of the spatial refraction correction model under a fixed medium combination and greatly improves the accuracy of photogrammetry. Therefore, the photogrammetry method after refraction correction meets the accuracy requirements of the glass cover.

3. Triaxial Photogrammetry and Numerical Simulation

3.1. Triaxial Photogrammetry

Before the test, CT points (Coded Targets) were pasted on the triaxial apparatus and the outer surface of the rubber membrane, which was divided into three areas, as shown in Figure 11.
Photogrammetry was carried out using the calibrated single-lens camera and conventional undrained consolidation triaxial tests (CU tests). The analysis was carried out after the images were collected and prepared for conversion of the coordinate system, ray tracing, image binarization techniques, and refraction correction (see Figure 4). The soft clay was saturated with back pressure, and the target confining pressure values were set to 100 kPa, 200 kPa, and 300 kPa for the tests. One image acquisition was carried out before the axial loading, serving as the initial reference image. After applying the confining pressure, another image was acquired, and thereafter, one wrap-around image acquisition was carried out for every 2.5% increase in axial strain, allowing us to observe the deformation process of the soft clay.
Figure 12 presents the post-test state, with photogrammetry in line with the conventional triaxial test results in barrel deformation. The most significant deformation is in the middle zone II, with the end zones I and III showing smaller deformations after testing. This underscores the significant influence of the end constraints and the intriguing inhomogeneity of the deformation within the soft clay, prompting us to consider its implications.

3.2. Numerical Simulation

ABAQUS finite element software 2022_09_29-02.11.55 183150 was used to simulate a cylindrical soil specimen with a diameter of D = 0.0391 m and H = 0.080 m in three dimensions. The upper end of the specimen is open and permeable. The bottom is fixed, the pore pressure is set to zero to simulate drained conditions, confining pressure is applied to the sides, and downward displacement is applied to the top. The mesh uses a hexahedral element type, neutral axis method, and sweeping technique. The loading plate is assumed to be completely smooth, and the selected cell is an eight-node hexahedral cell with three-way linear displacement and three-way linear pore pressure (C3D8P). There are 2000 elements in the mesh of ABAQUS. The model’s calculation parameters are shown in Table 7. The models are crucial for accurately simulating the soil specimen’s behavior. The analysis process should consider the soil layer’s initial ground stress, initial pore water pressure, and initial void ratio.
The CU test is divided into consolidation and undrained shear phases, so two analysis steps are set. The first step is the consolidation and ground stress balance analysis, and the second is the undrained shear analysis. Each step of the analysis process was meticulously executed, ensuring the validity of the results. During the shear process, undrained shear was modeled by sealing the pore pressure and rendering the top surface impermeable. In the first step of the numerical simulation, the testing protocol applied a confining pressure to create a self-equilibrating stress state. Subsequently, a vertical load was used in a displacement-controlled manner at the top of the specimen until the test reached its conclusion, with the soil sample experiencing a displacement of 12 mm and an axial strain of 15%.
Figure 13 shows the deformation of the model after the test. As can be seen from the figure, after the model deformed, the most significant expansion phenomenon occurred in the middle area. At the same time, the two ends remained unchanged and still maintained a cylindrical appearance. Comparing the results obtained by the ABAQUS simulation (Figure 13) with the deformation state of the specimen after the traditional triaxial test (Figure 12), it can be observed that in both cases, the specimen showed the characteristics of the largest deformation in the middle and the smallest deformation in the area affected by the end constraints. This deformation law is highly consistent with the situation observed during the actual test, which further verifies the reliability and rationality of the relevant research results and provides a strong basis for the subsequent in-depth study of the mechanical properties of soil.

4. Comparative Analysis of Test Results

4.1. Numerical Simulation Reliability Analysis

Figure 14 illustrates the outcomes of the numerical simulation alongside the conventional triaxial test. The numerical simulation effectively captures the pore pressure data, with the curves aligning closely, and it provides a more accurate prediction of the peak value in the stress–strain curve. The stress–strain curves obtained by numerical simulation are very close to the test data at the beginning and the end of loading, which are slightly smaller than the conventional test values. However, there is a significant difference with the conventional triaxial test data in the middle part of the curve. The numerical simulation curves rapidly approach the peak values when the specimens are subjected to smaller axial strains. In contrast, the conventional triaxial test slows the curve significantly before reaching the maximum bias stress. Yin Jianhua [31] described that the same problem exists existed in modeling the stress–strain characteristics of Hong Kong marine sediments.
Taking the conventional triaxial test bias stress as the true value, it can be seen from Table 8 that the relative error of the bias stress decreases with the increase in the confining pressure, with an average absolute error of 0.45 kPa and an average relative error of only 0.21%, which is negligible. The finite element simulation results are consistent with the actual test results and can match well through the stress–strain curve and the pore pressure curve. The stress–strain curve also indicated that the deformation of the soft clay is in the form of cylinder deformation, which is consistent with the actual situation, indicating that the modified Cam-Clay model in the numerical simulation of ABAUQS adopted in this paper is reliable.

4.2. Comparative Analysis of Numerical Simulation and Triaxial Photogrammetry

The stress–strain curves, shear strength indexes, and local deformation results obtained by conventional triaxial, finite element analysis, and photogrammetry are compared and analyzed.

4.2.1. Comparative Analysis of Stress–Strain Curves

The deformation of the inner part of the soil sample shows inhomogeneity. As shown in Figure 15, the bias stress of soft clay obtained by the three methods reaches the peak at about 6% of axial strain, and the bias stress shows a slightly increasing trend after the peak. In contrast, the bias stress values obtained by the photogrammetric method are lower than those obtained by numerical simulation and conventional triaxial test. The photogrammetric method allows for real-time acquisition of surface information from soft clay, resulting in more precise deformation data for each section, which more accurately reflects the actual deformation. The analysis of the stress–strain curves indicates that the bias stress values obtained from the conventional triaxial test are increased by factors of 1.069, 1.039, and 1.028, resulting in an average increase of 1.045 times compared to the photogrammetric method. The bias stress values in the numerical simulation are increased by factors of 1.061, 1.046, and 1.021, resulting in an average increase of 1.043. The amplification of bias stress diminishes as the confining pressure rises, suggesting that photogrammetry achieves higher accuracy at lower confining pressures.

4.2.2. Comparative Analysis of Shear Strength Indicators

Mohr’s circle’s radius and center were calculated using the bias stress at the time of damage. The Mohr’s circles under different confining pressures of the three methods were obtained by editing the program and running it with MATLAB. The program automatically calculated and fitted the common tangent of the three Mohr’s circles, i.e., the shear-strength envelopes. Figure 16 illustrates that the simulated values for cohesion, angle of internal friction, and conventional three-axis results are closely aligned. This consistency supports the reliability of the numerical simulation and demonstrates that it is a viable method for determining the shear strength of soft clay. The numerical simulation can effectively replicate the conventional triaxial test for this type of soil sample. It allows for the rapid determination of cohesion and internal friction angle, enhancing efficiency and lowering laboratory testing costs.
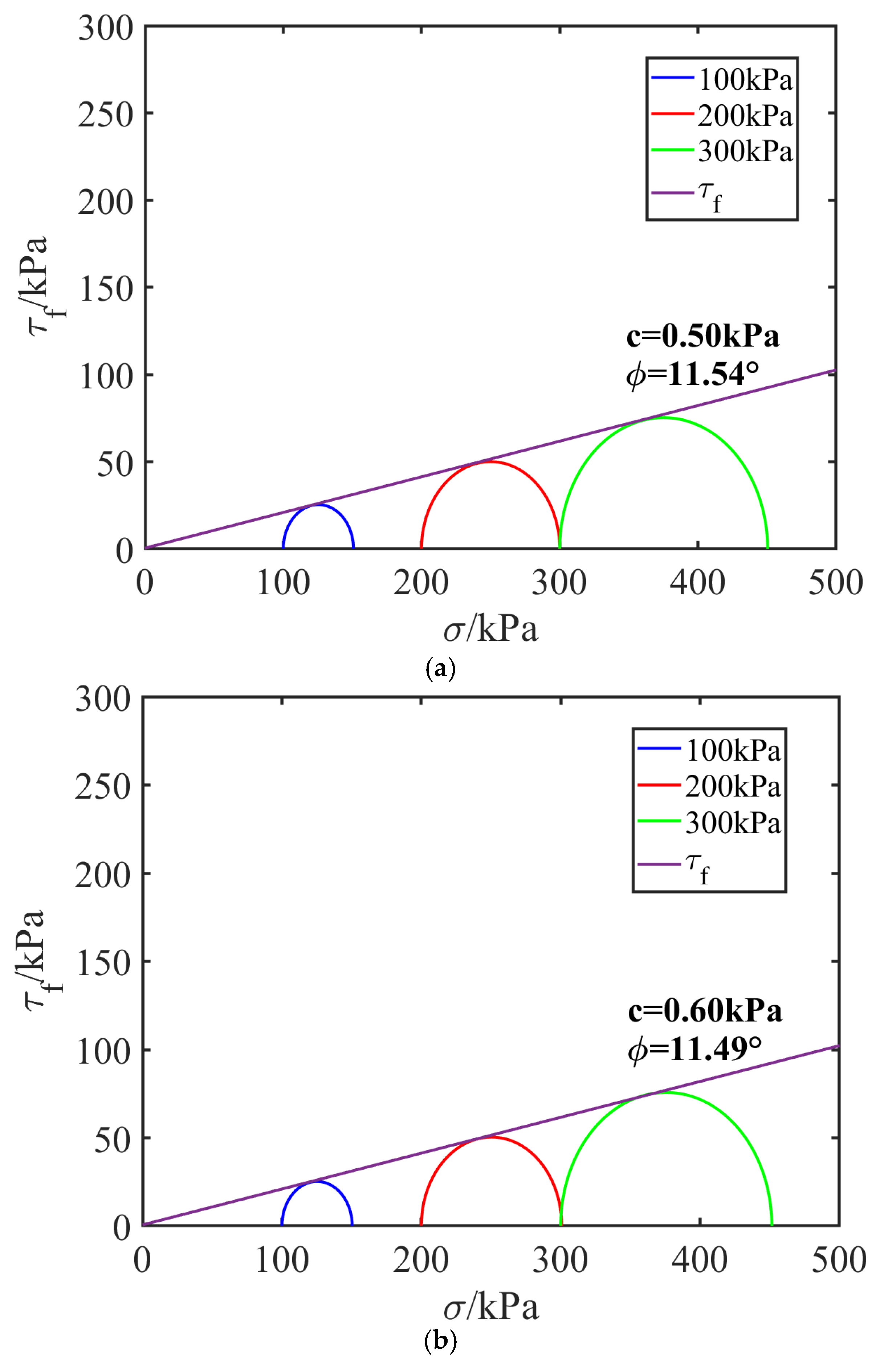
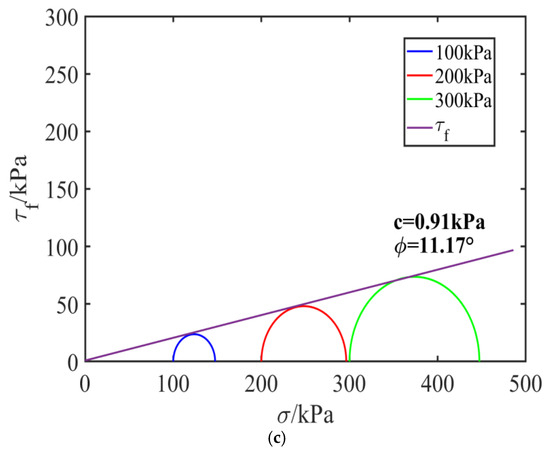
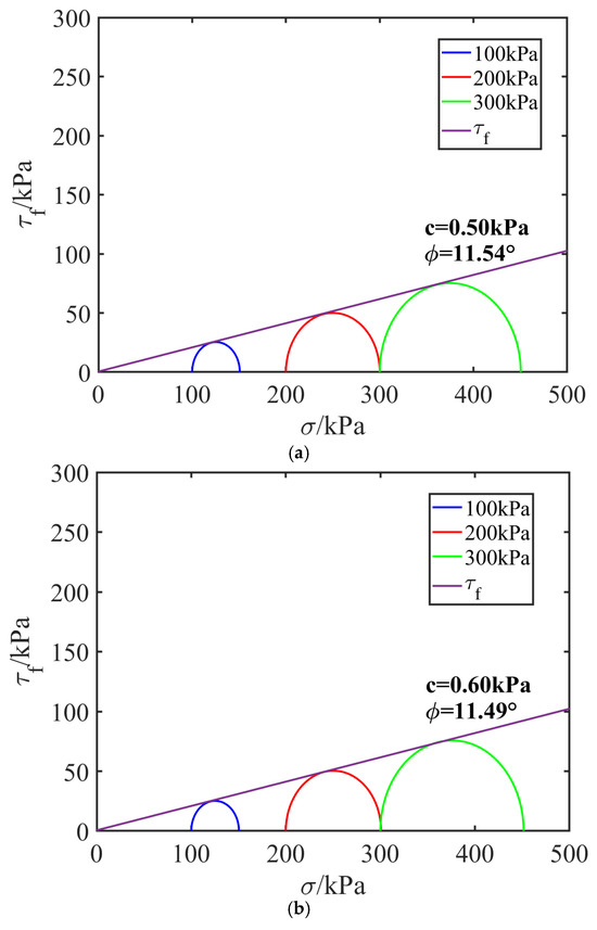
The test results of conventional triaxial, numerical simulation, and photogrammetry were plotted as Mohr–Coulomb envelope plots (e.g., Figure 16). The shear strength index was obtained from Figure 16 as in Figure 17.
From Figure 17, it can be seen that the cohesive forces obtained by conventional triaxial, numerical simulation, and photogrammetry are 0.50, 0.60, and 0.91 kPa, respectively, and the angles of internal friction are 11.54, 11.49, and 11.17 degrees, respectively. It can be seen that the conventional triaxial cohesion is the smallest, and the angle of internal friction is the largest. Taking the conventional triaxial as the true value, the numerical simulation of the cohesive force increases by 0.10 kPa, while the photogrammetric increase is 0.41 kPa; the numerical simulation of the angle of internal friction decreases by 0.05 degrees, while the photogrammetric decrease is 0.37 degrees. The numerical simulation results align with the conventional triaxial test outcomes regarding the variations in cohesion and the internal friction angle. This suggests that numerical simulations can effectively replace traditional triaxial tests for determining the shear strength index. On the other hand, the photogrammetric method provides a more precise measurement of the deformation across the entire surface by monitoring the CT points, resulting in slightly larger increases and decreases.
Figure 18 depicts the shear strength envelope on the axes. The figure illustrates that a confining pressure of 100 kPa serves as a critical threshold. Below this pressure, the shear strength remains relatively consistent across the three methods. However, when the confining pressure exceeds 100 kPa, the shear strength derived from photogrammetry is lower than that obtained from conventional triaxial testing and numerical simulations. Numerical simulations can efficiently derive the cohesion and internal friction angle for soft clay in areas with pressure less than or equal to 100 kPa. When the pressure exceeds 100 kPa, photogrammetry is advised to obtain more precise cohesion and internal friction angle values. The three curves remain closely aligned at pressures up to 100 kPa, but they begin to diverge as peripheral pressure gradually increases to 300 kPa. Consequently, 300 kPa is selected as the reference point for this study.

4.2.3. Comparative Analysis of Local Deformation

Due to the inability to obtain local deformation values from traditional triaxial tests, the local deformation values derived from numerical simulations were compared to those obtained through photogrammetry at a peripheral pressure of 300 kPa. The results of this comparison are illustrated in Figure 19 and Figure 20.
From Figure 19 and Figure 20, and combined with the three zones of soft clay in Figure 4, it can be seen that, for axial deformation, the deformation values of the numerical simulation in zone I and zone III are 2.36 mm and 2.37 mm, respectively. The deformation values of photogrammetry in zones I and III are 2.31 and 2.33 mm, respectively, and the difference between them in zones I and III is 0.05 mm and 0.04 mm; in zone II, the deformation values of numerical simulation and photogrammetry are 7.07 and 6.88 mm, respectively, and their difference is 0.19 mm at the most. For the radial deformation, the numerical simulation results are 1.09 and 0.95 mm in zone I and zone III, respectively, and the photogrammetric deformation values are 1.58 and 1.41 mm in zone I and zone III, respectively; the difference between the two in zone I and zone III is 0.49 and 0.46 mm. In zone III, the numerical simulation and photogrammetric deformation values are 2.38 and 2.33 mm, respectively; the difference between the two in zone I and zone III is 0.05 mm and 0.04 mm. In zone II, the deformation values of numerical simulation and photogrammetry are 2.38 and 4.69 mm, respectively, with a maximum difference of 2.31 mm. It can be seen that the axial deformation values of numerical simulation and photogrammetry have very small differences, while the radial deformation values have larger differences. This is because the photogrammetric method can dynamically capture the local changes of the soft clay in real time, and the influence of the refraction effect is considered in the spatial refraction correction model, so the radial deformation values of the three-axis photogrammetric method are closer to the true value. The results of axial and radial deformations are presented in Table 9.

5. Discussion

The proposed photogrammetry method is accurate, time- and cost-effective, and requires only a digital camera to capture images of the soil specimen during triaxial testing, from which accurate full-field 3D models of the soil specimen at different loading steps are reconstructed. The accuracy of the photogrammetry method can be independently verified by using various values. Another advantage of the photogrammetry method is that it can be utilized for deformation measurements on both saturated and unsaturated soils during triaxial testing with the same system setup.
This study innovatively combines triaxial photogrammetry and finite element numerical simulation to explore the mechanical properties of undisturbed soft clay, offering valuable insights and methods for geotechnical engineering research. The photogrammetry method used in this research shows significant advantages. It can effectively overcome the limitations of traditional triaxial tests, such as difficulties in local strain measurement and end constraint issues. It provides more accurate and detailed deformation information by capturing real-time surface deformation images of soil samples and using image-processing techniques. For example, it can precisely measure the local peak stress of soil samples, which is more accurate than conventional triaxial tests.
Additionally, it can be applied to both saturated and unsaturated soils with the same system setup, enhancing its versatility. However, the method also has some challenges. The spatial refraction correction model is crucial for accurate measurement, but the complexity of light refraction in the test environment may introduce potential errors. Although the model is designed to eliminate the refraction effect using the reversibility of light and Snell’s law, in actual operation, factors such as the inhomogeneity of the test apparatus and the influence of soil–water–air interactions on light propagation may still affect the accuracy of the correction. Using the modified Cam-Clay model in the ABAQUS software 2022_09_29-02.11.55 183150 is reasonable in terms of the numerical simulation part. The model parameters, including the consolidation slope (λ), rebound slope (κ), and critical state slope (Μ), are carefully determined through laboratory tests, ensuring the reliability of the simulation results. The simulation can capture the pore pressure data well and predict the peak value of the stress–strain curve. The average absolute error of 0.45 kPa and relative error of 0.21% in stress–strain curve acquisition demonstrate its high accuracy.
Nevertheless, the numerical simulation also has limitations. As shown in the comparison with conventional triaxial tests, there are differences in the stress–strain curves in the middle part of the loading process. The numerical simulation curves approach the peak values more rapidly under smaller axial strains, which may be due to the simplification of the soil model. Although widely used, the modified Cam-Clay model may not fully consider all the complex characteristics of undisturbed soft clay, such as the influence of microstructure and the coupling effect of multi-physical fields. In the comparative analysis of different methods, the study provides a comprehensive and in-depth understanding. The stress–strain curves obtained by the three methods show different characteristics. The photogrammetry method reflects the actual deformation more accurately, while the conventional triaxial test and numerical simulation somewhat overestimate the deviator stress values.
Regarding shear strength indicators, the numerical simulation can effectively replicate the conventional triaxial test results for soft clay in areas with a confining pressure less than or equal to 100 kPa. However, photogrammetry is more accurate when the confining pressure exceeds 100 kPa. For local deformation comparison, the photogrammetry method can better capture the local changes of soft clay in real time, especially in radial deformation, which is closer to the true value due to the consideration of the refraction effect. However, it should be noted that the comparison is based on specific experimental conditions and soil samples. The performance and accuracy of these methods may vary in different geological environments and for different types of soft clay. Future research could focus on further improving the photogrammetry method and, for example, developing more advanced image-processing algorithms to enhance the accuracy of deformation measurement and exploring the use of multi-sensor fusion technology to supplement and verify the data obtained by photogrammetry. In numerical simulation, more complex and accurate soil models can be developed, considering factors such as soil microstructure, anisotropy, and the influence of environmental factors on soil properties. Additionally, more experimental studies on a larger scale and with different types of soil are needed to comprehensively validate the methods and results of this study, providing more reliable references for geotechnical engineering design and construction.
Moreover, the triaxial photogrammetry method in this study can measure volume changes, which is a significant advancement. By analyzing the images captured during the triaxial test, the surface deformation of the soil specimen can be obtained, and the total and localized volume changes can be calculated. This is crucial for understanding the deformation mechanism of soft clay. When the soil is under load, the volume change reflects the internal structural adjustment of the soil particles and the change in pore space. In traditional triaxial tests, measuring local volume changes is difficult due to factors like non-homogeneity and end constraints. However, the photogrammetry method can overcome these problems. It can track the movement of the soil surface in real time and, through image-processing algorithms, calculate the volume change corresponding to different parts of the soil specimen. This volume change data can be further combined with stress–strain analysis to more comprehensively understand the mechanical behavior of soft clay, such as its compressibility and shear-induced volume change characteristics.
This paper is currently studying the soft soil in China’s coastal areas. For different soft soils around the world, this method uses non-contact measurement to solve the problem of disturbing soil samples and avoids the limitations of traditional triaxial measurement. It provides a convenient method for other researchers and engineering practices to investigate undisturbed soft soil. The triaxial photogrammetry method not only has theoretical value but also has certain guiding significance for engineering practice.

6. Conclusions

This study employs triaxial photogrammetry to assess undisturbed soft soil and utilizes finite element software for numerical simulations. It compares and analyzes the results from conventional triaxial testing, finite element analysis, and photogrammetry. The results of this study lead to the following conclusions:
1.
The MCC (modified Cam-Clay) parameters of undisturbed soft soil were obtained through the test as the critical state slope equal to 0.5810, the consolidation slope equal to 0.150, and the rebound slope equal to 0.022.
2.
In the case of low confining pressure, i.e.,σ3 less than or equal to 100 kPa, numerical simulation is used to directly obtain a more accurate shear strength index by combining the soil conventional parameters; when σ3 greater than 100 kPa, a more accurate shear strength index can be obtained by using triaxial photogrammetry.
3.
The shear strength index obtained by triaxial photogrammetry was closest to the true value and superior to numerical simulation, with conventional triaxial tests being the relatively weakest.
4.
ABAQUS simulation can substitute traditional tests to acquire stress–strain curves. It achieves an average absolute error of only 0.45 kPa and a relative error of merely 0.21%. Moreover, it can accurately predict the pore water pressure curve and the peak value of deviator stress. These results indicate that the modified Cam-Clay model within the ABAQUS finite element program is reliable.
5.
Future research should focus on the following two areas:
BP neural network method: The BP neural network can validate and supplement numerical simulation results. It is trained with experimental data from triaxial tests and photogrammetry, learning patterns, and relationships in the data. The network is then used to check the reliability of the numerical simulation results. Applying the BP neural network can improve deformation measurement accuracy in photogrammetry. The BP neural network can build more complex and accurate soil models in numerical simulations.
More laboratory tests: Conducting more laboratory tests is necessary to determine the reasons for the deviations, especially for radial deformation. It will consider factors such as the material properties of the soil samples, the experimental setup (including the influence of the confining pressure system and the camera’s position in the photogrammetry), and the assumptions in the numerical simulation model.

Author Contributions

Y.Z.: writing and revision, and data analysis; J.L.: methodology and conceptualization; C.M.: writing—original draft, formal analysis, and result interpretation; Z.Q.: data collection and experiment execution; M.F.: data curation, data analysis, and result interpretation; C.L.: computational simulation studies. All authors have read and agreed to the published version of the manuscript.

Funding

This paper is supported by Guangxi Science and Technology Program (Project No. AD25069101); Hubei Provincial Department of Housing and Construction (202341); Research Program of Hubei Polytechnic University (Grant Nos. 23xjz01A, KY2024-139); the General Projects of Hubei Provincial Natural Science Foundation (Grant Nos. 2025AFB935); Hubei Talent Project of Chutian Scholars, Hubei Key Talent Plan “Hundred People Plan”.

Institutional Review Board Statement

Not applicable.

Informed Consent Statement

Not applicable.

Data Availability Statement

The datasets used and/or analyzed during the current study are available from the corresponding author upon reasonable request. All data, models, and code generated or used during the study appear in the submitted article.

Conflicts of Interest

The authors declare no conflicts of interest.

References

  1. Jin, H.; Yuan, D.; Zhou, S.; Zhao, D. Short-Term and Long-Term Displacement of Surface and Shield Tunnel in Soft Soil: Field Observations and Numerical Modeling. Appl. Sci. 2022, 12, 3564. [Google Scholar] [CrossRef]
  2. Chai, J.C.; Carter, J.P. Simulation of the progressive failure of an embankment on soft soil. Comput. Geotech. 2009, 36, 1024–1038. [Google Scholar] [CrossRef]
  3. Shahu, J.T.; Reddy, Y.R. Clayey soil reinforced with stone column group: Model tests and analyses. J. Geotech. Geoenvironmental Eng. 2011, 137, 1265–1274. [Google Scholar] [CrossRef]
  4. Roscoe, K.H.; Schofield, A.N.; Wroth, C.P. On yielding of soils. Geotechnique 1958, 8, 22–53. [Google Scholar] [CrossRef]
  5. Roscoe, K.H.; Schofield, A.N.; Thurairajah, A. Yielding of clays in states wetter than critical. Geoteehnique 1963, 13, 211–240. [Google Scholar] [CrossRef]
  6. Wei, H.; Gu, Z.; Liu, Z.; Wang, Y.; Shi, Y. Creep Properties and Creep Modelling of Guilin Red Clay. Appl. Sci. 2023, 13, 12052. [Google Scholar] [CrossRef]
  7. Wang, Y.; Pan, J.; Zhang, H.; Zhou, S.; Xu, H. Study on the Strength and Deformation Characteristics of Coarse-Grained Soil under End-Restraint and End-Free (Microfriction) Conditions. Appl. Sci. 2023, 13, 11521. [Google Scholar] [CrossRef]
  8. Alshibli, K.A.; Sture, S.; Costes, N.C.; Frank, M.L.; Lankton, M.R.; Batiste, S.N.; Swanson, R.A. Assessment of localized deformation in sand using X-ray computed tomography. Geotech. Test. J. 2000, 23, 274–299. [Google Scholar] [CrossRef]
  9. Liu, G. Study on Shear Failure Process of Soil Specimen in Triaxial Test Based on the Whole Surface Digital Measurement Technology. Ph.D. Thesis, Dalian University of Technology, Dalian, China, 2017. [Google Scholar]
  10. Liu, S.Y. Numerical Analysis of the Effects of the End Restraint on the Drained Triaxial Test. J. Hebei Univ. Eng. (Nat. Sci. Ed.) 2019, 36, 62–66. [Google Scholar]
  11. Chen, X.; Liu, Z.Q.; Cui, L.S.; Tang, J.B. An automatic identification method for width of shear band of sand in PFC simulations. Chin. J. Geotech. Eng. 2022, 44, 179–182. [Google Scholar]
  12. Chen, X.Z.; Ye, J. Soil Mechanics and Geotechnical Engineering, 5th ed.; Tsinghua University Press: Beijing, China, 2013; pp. 156–161. [Google Scholar]
  13. Ji, E.; Zhu, J.; Chen, S.; Jin, W. Analytical solution and experimental study of membrane penetration in triaxial test. Geomech. Eng. 2017, 13, 1027–1044. [Google Scholar]
  14. Cai, Y.; Li, L.; Lu, Y. Measuring absolute volume of triaxial soil specimens. Chin. J. Geotech. Eng. 2021, 43, 2300–2307. [Google Scholar]
  15. Shao, L.T.; Liu, G.T.; Zeng, F.T.; Guo, X.S. Recognition of the Stress-Strain Curve Based on the Local Deformation Measurement of Soil Specimens in the Triaxial Test. Geotech. Test. J. 2016, 39, 20140273. [Google Scholar] [CrossRef]
  16. Li, L.; Zhang, X.; Chen, G.; Lytton, R. Measuring unsaturated soil deformations during triaxial testing using a photogrammetry-based method. Can. Geotech. J. 2016, 53, 472–489. [Google Scholar] [CrossRef]
  17. Li, L.; Zhang, X. Factors influencing the accuracy of the photogrammetry-based deformation measurement method. Acta Geotech. 2019, 14, 559–574. [Google Scholar] [CrossRef]
  18. Zhang, X.; Li, L.; Chen, G.; Lytton, R.L. A photogrammetry-based method to measure total and local volume changes of unsaturated soils during triaxial testing. Acta Geotech. 2015, 10, 55–82. [Google Scholar] [CrossRef]
  19. Fayek, S.; Xia, X.L.; Li, L.; Zhang, X. Photogrammetry-based method to determine the absolute volume of soil specimen during triaxial testing. Transp. Res. Rec. J. Transp. Res. Board 2020, 2674, 206–218. [Google Scholar] [CrossRef]
  20. Li, L.; Lu, Y.; Cai, Y.; Peng, L. A calibration technique to improve accuracy of the photogrammetry-based deformation measurement method for triaxial testing. Acta Geotech. 2021, 16, 1053–1060. [Google Scholar] [CrossRef]
  21. Xia, X.; Zhang, X.; Mu, C. A multi-camera based photogrammetric method for three-dimensional full-field displacement measurements of geosynthetics during tensile test. Geotext. Geomembr. 2021, 49, 1192–1210. [Google Scholar] [CrossRef]
  22. Xia, Y.; Mu, C.; Li, W.; Kai, Y. Study of Dynamic Evolution of the Shear Band in Triaxial soft clay Using Photogrammetry Technology. Sustainability 2022, 14, 14660. [Google Scholar] [CrossRef]
  23. Li, L.; Chen, Z.W.; Cai, Y.; Hu, X.D. Validation of fine measurement method of triaxial specimen deformation based on GeoPIV-RG technology. J. Chang. Acad. Sci. 2024, 41, 131–139. [Google Scholar]
  24. Huang, Z.H.; Wu, J.; Cai, J.; Li, L.Y.; Mu, C.M. Analysis of error and accuracy in triaxial soil sample photogrammetry. China Test. 2024, 50, 98–106. Available online: http://kns.cnki.net/kcms/detail/51.1714.tb.20230606.1350.006.html (accessed on 12 October 2024).
  25. Cai, J.; Huang, Z.H.; Wu, J.; Mu, C.M. Analysis of refraction error affecting the accuracy of triaxial photogrammetric test. People’s Chang. 2024, 55, 212–217. [Google Scholar] [CrossRef]
  26. Zhang, B.; Mu, C.M.; Pan, Q.; Li, Y.X.; Yang, J. Accuracy analysis of refraction error correction model in triaxial photogrammetry. J. Metrol. 2024, 45, 1654–1664. Available online: http://kns.cnki.net/kcms/detail/11.1864.tb.20240307.0741.004.html (accessed on 10 October 2024).
  27. Mu, C.M.; Li, L.Y.; Xia, X. Triaxial soil shear zone evolution law based on photogrammetry. J. Eng. Sci. 2024, 46, 927–936. [Google Scholar] [CrossRef]
  28. Liang, Y.; Sun, G.; Zhao, Y. Optimization and Experimental Study of Penetration Depth of Pocket Penetrometer. Appl. Sci. 2025, 15, 711. [Google Scholar] [CrossRef]
  29. Chowdhury, B.; Haque, A.; Muhunthan, B. New pressure—Void ratio relationship for structured soils in thevirgin compression range. J. Geotech. Geoenvironmental Eng. 2014, 140, 06014009. [Google Scholar] [CrossRef]
  30. Chen, B.; Sun, D.; Lv, H.B. Experimental study of compression behavior of marine soft clays. Rock Soil Mech. 2013, 34, 381–388. [Google Scholar] [CrossRef]
  31. Yin, J.H.; Zhu, J.G. Measured and predicted timedependent stress-strain behavior of Hong Kong marine deposits. Can. Geotech. J. 1999, 36, 760–766. [Google Scholar] [CrossRef]
Figure 1. In situ samples obtained at the project site.
Figure 1. In situ samples obtained at the project site.
Applsci 15 04752 g001
Figure 2. Schematic diagram of this research program.
Figure 2. Schematic diagram of this research program.
Applsci 15 04752 g002
Figure 3. Conventional triaxial test.
Figure 3. Conventional triaxial test.
Applsci 15 04752 g003
Figure 4. Critical state line.
Figure 4. Critical state line.
Applsci 15 04752 g004
Figure 5. Consolidation compression test. (a) Consolidated compression specimens and (b) Beijing Huakan fully automated consolidation meter.
Figure 5. Consolidation compression test. (a) Consolidated compression specimens and (b) Beijing Huakan fully automated consolidation meter.
Applsci 15 04752 g005
Figure 6. e-log p curve.
Figure 6. e-log p curve.
Applsci 15 04752 g006
Figure 7. Spatial refraction correction model [18]. (a) Secondary refraction effects, (b) ray tracing, and (c) image binarization techniques.
Figure 7. Spatial refraction correction model [18]. (a) Secondary refraction effects, (b) ray tracing, and (c) image binarization techniques.
Applsci 15 04752 g007
Figure 8. Image acquisition device (Nikon D5600).
Figure 8. Image acquisition device (Nikon D5600).
Applsci 15 04752 g008
Figure 9. Measurement of the spacing between plane CT points in air.
Figure 9. Measurement of the spacing between plane CT points in air.
Applsci 15 04752 g009
Figure 10. Rigid cylinder with CT points attached.
Figure 10. Rigid cylinder with CT points attached.
Applsci 15 04752 g010
Figure 11. Pasting of CT (Coded Targets) identification points and partition.
Figure 11. Pasting of CT (Coded Targets) identification points and partition.
Applsci 15 04752 g011
Figure 12. Deformation of soft clay in triaxial test. (a) Conventional triaxial deformation diagram and (b) photogrammetric deformation figures.
Figure 12. Deformation of soft clay in triaxial test. (a) Conventional triaxial deformation diagram and (b) photogrammetric deformation figures.
Applsci 15 04752 g012
Figure 13. Model deformation diagram.
Figure 13. Model deformation diagram.
Applsci 15 04752 g013
Figure 14. Numerical simulation and conventional triaxial test results. (a) Stress–strain curves and (b) pore pressure and axial strain.
Figure 14. Numerical simulation and conventional triaxial test results. (a) Stress–strain curves and (b) pore pressure and axial strain.
Applsci 15 04752 g014
Figure 15. Stress–strain graph: (a) 100 kPa, (b) 200 kPa, and (c) 300 kPa.
Figure 15. Stress–strain graph: (a) 100 kPa, (b) 200 kPa, and (c) 300 kPa.
Applsci 15 04752 g015
Figure 16. Mohr stress circle: (a) CTC, (b) FEM, and (c) photogrammetry.
Figure 16. Mohr stress circle: (a) CTC, (b) FEM, and (c) photogrammetry.
Applsci 15 04752 g016aApplsci 15 04752 g016b
Figure 17. Comparison of shear strength parameters.
Figure 17. Comparison of shear strength parameters.
Applsci 15 04752 g017
Figure 18. Shear strength envelope.
Figure 18. Shear strength envelope.
Applsci 15 04752 g018
Figure 19. Comparison of axial deformation.
Figure 19. Comparison of axial deformation.
Applsci 15 04752 g019
Figure 20. Comparison of radial deformation.
Figure 20. Comparison of radial deformation.
Applsci 15 04752 g020
Table 1. Other researchers’ conclusions in previous studies.
Table 1. Other researchers’ conclusions in previous studies.
ScholarsResearch ObjectResearch Achievement and Limitations
Shao Longtan et al. [15]Unsaturated soilIt overcomes the problem of local strain measurement and corrects the assumption of uniform deformation. The non-contact measurement method has the advantage of avoiding soil sample disturbance. However, the experimental objects are all unsaturated soils.
Li L, Zhang X et al. [16,17,18]Unsaturated soilConducting triaxial tests on different materials (such as stainless steel cylinders, saturated sand, and aluminum cylinders), measuring the deformation of soil samples under different test conditions (different confining pressures, different loading paths, etc.), and comparing and analyzing the measurement results with traditional methods or theoretical values can evaluate the measurement accuracy and reliability of this method.
Xia Y et al. [22], Huang Ziheng et al. [24], Cai Jiao et al. [25], Zhang Bo et al. [26], Mu Chunmei et al. [27]Saturated red clayThe local measurement problem of traditional triaxial measurement was solved, and the application scope of triaxial photogrammetry was further expanded. However, the soil samples were all reshaped, and the structural properties were not considered.
Table 2. Physical property indexes of soft clays.
Table 2. Physical property indexes of soft clays.
Water Content (%)Liquid Limit (%)Plastic Limit (%)Intensity (g/cm3)Plasticity IndexLiquidity IndexInitial Void RatioSpecific Gravity
51.446.725.01.7521.71.221.3882.76
Table 3. Comparison of camera parameters before and after calibration.
Table 3. Comparison of camera parameters before and after calibration.
Correction ParametersBefore CorrectionAfter Correction
Focal length f (mm)4.15004.4616
Total number of pixels in the x direction of the sensor M (pixel)32643264
Total number of pixels in the y direction of the sensor N (pixel)24482448
Sensor size Fx (mm)5.15175.1439
Sensor size Fy (mm)3.86383.8638
Image principal point coordinates Px (mm)2.57592.5680
Image principal point coordinates Py (mm)1.93201.9187
Radial distortion parameter K1 (10-3)−3.5910
Radial distortion parameter K2 (10-4)2.7210
Tangential distortion parameter P1 (10-4)1.9620
Tangential distortion parameter P2 (10-5)−2.7120
Table 4. Comparative analysis of vernier caliper and photogrammetry planes.
Table 4. Comparative analysis of vernier caliper and photogrammetry planes.
No.Caliper
/mm
Photogrammetry
/mm
Absolute Error
/mm
Relative Error
/%
1-26.686.6860.0060.090
1-420.5320.5390.0090.044
1-633.8633.8710.0110.032
1-846.3246.3280.0080.017
Average 0.0090.046
Table 5. Comparative analysis of surfaces using vernier calipers and photogrammetry.
Table 5. Comparative analysis of surfaces using vernier calipers and photogrammetry.
DirectionSurvey NumberCaliper
/mm
Photogrammetry
/mm
Absolute Error
/mm
Relative Error
/%
Axial directionH-187.1187.1640.0540.062
H-287.1086.995−0.105−0.121
H-387.0887.1630.0830.095
Average 0.011 0.012
Radial directionD-134.4034.4370.0370.108
D-234.4034.4250.0250.073
D-334.4134.4390.0290.084
Average 0.030 0.088
Table 6. Axial and radial measurement values after spatial refraction correction.
Table 6. Axial and radial measurement values after spatial refraction correction.
DirectionMeasuring PositionTest Value in Air/mmTest Value in Glass Cover/mmMagnificationCorrection FactorCorrected Test Value in Rear Glass Cover/mmAbsolute Error
/mm
Relative Error
/%
Before CorrectionAfter RevisionBefore CorrectionAfter Revision
Axial directionI20.0320.091.0030.99820.050.060.020.300.10
II39.9640.031.00239.950.070.010.180.03
III60.1360.211.00160.090.080.040.130.07
Axially corrected mean value0.020.200.06
Radial directionI20.0424.191.2070.82920.064.150.0220.710.10
II20.0624.231.20820.094.170.0320.790.17
III20.0824.151.20320.034.070.0520.270.26
Radial corrected mean value0.0420.590.18
Table 7. Modified Cambridge model calculation parameters.
Table 7. Modified Cambridge model calculation parameters.
ParameterValueParameterValueConfining Pressure/kPa e 0 a 0 /kPa
M0.5810 k / ( m s 1 ) 5 × 10 8 1001.13350
λ0.150 γ / ( k N m 3 ) 17.52001.045100
κ0.022β13000.940150
Table 8. Comparison of numerical simulation and conventional triaxial test results.
Table 8. Comparison of numerical simulation and conventional triaxial test results.
Confining PressureDeviator Stress
/kPa
Pore Pressure
/kPa
Deviator Stress
Error
Pore Pressure
Error
CTCFEMCTCFEMUnconditional
/kPa
Counterpart
/%
Unconditional
/kPa
Counterpart
/%
100 kPa50.7850.4013.2113.43−0.38−0.750.221.67
200 kPa100.01100.7120.7621.000.700.700.241.16
300 kPa150.42151.4434.2834.531.020.680.250.73
Average value 0.450.210.241.18
Note: CTC as the true value; absolute error equal to FEM value–CTC value, relative error equal to absolute error/true value.
Table 9. Comparison table of axial and radial deformation (300 kPa).
Table 9. Comparison table of axial and radial deformation (300 kPa).
Local Site ABAQUSPhotogrammetry
Pre-Test
/mm
Post-Test
/mm
Deflection
/mm
Post-Test
/mm
Deflection
/mm
Absolute Error
/mm
Relative Error
/%
Magnification
Axial directionZone I20.0017.642.3617.692.310.050.251.003
Zone II40.0032.937.0733.126.880.190.471.006
Zone III20.0017.632.3717.672.330.040.201.002
Radial directionZone I39.1040.191.0940.681.580.491.251.012
Zone II39.1041.482.3843.794.692.315.911.056
Zone III39.1040.050.9540.511.410.461.181.011
Disclaimer/Publisher’s Note: The statements, opinions and data contained in all publications are solely those of the individual author(s) and contributor(s) and not of MDPI and/or the editor(s). MDPI and/or the editor(s) disclaim responsibility for any injury to people or property resulting from any ideas, methods, instructions or products referred to in the content.

Share and Cite

MDPI and ACS Style

Zhang, Y.; Liu, J.; Mu, C.; Qiao, Z.; Fan, M.; Liu, C. The Comparative Behavior of Undisturbed Soft Clay Results Based on Photogrammetry and Numerical Simulation. Appl. Sci. 2025, 15, 4752. https://doi.org/10.3390/app15094752

AMA Style

Zhang Y, Liu J, Mu C, Qiao Z, Fan M, Liu C. The Comparative Behavior of Undisturbed Soft Clay Results Based on Photogrammetry and Numerical Simulation. Applied Sciences. 2025; 15(9):4752. https://doi.org/10.3390/app15094752

Chicago/Turabian Style

Zhang, Yi, Jungang Liu, Chunmei Mu, Zhibo Qiao, Mingliang Fan, and Chunfan Liu. 2025. "The Comparative Behavior of Undisturbed Soft Clay Results Based on Photogrammetry and Numerical Simulation" Applied Sciences 15, no. 9: 4752. https://doi.org/10.3390/app15094752

APA Style

Zhang, Y., Liu, J., Mu, C., Qiao, Z., Fan, M., & Liu, C. (2025). The Comparative Behavior of Undisturbed Soft Clay Results Based on Photogrammetry and Numerical Simulation. Applied Sciences, 15(9), 4752. https://doi.org/10.3390/app15094752

Note that from the first issue of 2016, this journal uses article numbers instead of page numbers. See further details here.

Article Metrics

Back to TopTop