Next Article in Journal
Groundwater Tracer Tests as a Supporting Method for Interpreting the Complex Hydrogeological Environment of the Urbas Landslide in NW Slovenia
Previous Article in Journal
Fréchet-Derivative-Based Global Sensitivity Analysis and Its Physical Meanings in Structural Design
Previous Article in Special Issue
Recent Advances in Tunable External Cavity Diode Lasers
 
 
Font Type:
Arial Georgia Verdana
Font Size:
Aa Aa Aa
Line Spacing:
Column Width:
Background:
Article

Surface Deformation and Straightness Detection of Electromagnetic Launcher Based on Laser Point Clouds

National Key Laboratory of Electromagnetic Energy, Naval University of Engineering, Wuhan 430033, China
*
Author to whom correspondence should be addressed.
Appl. Sci. 2025, 15(5), 2706; https://doi.org/10.3390/app15052706
Submission received: 6 January 2025 / Revised: 25 February 2025 / Accepted: 28 February 2025 / Published: 3 March 2025
(This article belongs to the Special Issue Optical Sensors: Applications, Performance and Challenges)

Abstract

Bore deterioration phenomena, such as surface ablation, wear, aluminum deposition, and structural bending, severely restrict the service life and performance of electromagnetic launchers. Efficient bore inspection is necessary to study the deterioration mechanism, guide design, and health management. In this paper, an inspection system for electromagnetic launchers is presented which utilizes structured light scanning, time-of-flight, and laser alignment methods to acquire bore laser point clouds, and ultimately extracts the surface deformation of rails and insulators, as well as the straightness of the bore, through the registration of point cloud data. First, the system composition and detection principles are introduced. Second, the impacts of the detection device’s attitude deflection are analyzed. Next, focusing on the key registration issue of laser point clouds, a coarse registration method is proposed which utilizes the arc features of the rail by combining circle and parabola equations, thereby maximizing registration efficiency. Finally, the trimmed iterative closest-point (TrICP) algorithm is employed for fine registration to handle non-axisymmetric bore deformations. The experimental results show that the proposed method can detect bore surface deformation and straightness efficiently and precisely.

1. Introduction

Electromagnetic launch is an advanced launch method that utilizes electromagnetic forces to accelerate objects, and its launcher needs to deliver megajoule-level energy to the armature within a few milliseconds to push the projectile from rest to hypervelocity over a meter-scale distance [1]. As the core component of the launcher, the inner bore, which is composed of rails and insulators, will suffer from surface ablation [2], wear [3] aluminum deposition [4], structural bending [5], and other degradation phenomena under the repeated extreme conditions of high-speed, high-voltage, and high-current sliding electrical contact between the armature and rails [6]; ultra-high-speed lateral collision of the projectile [7]; and transient electromagnetic thermal shock [8]. These degradation phenomena affect the electrical contact performance between the armature and rails, the degree of collision between the projectile and barrel, and the launch directionality, leading to an increase in projectile exit perturbation, attitude destabilization, velocity reduction [9], and even the occurrence of projectile disintegration, bore burst, and other failures. In order to facilitate the study of the evolution patterns and mechanisms of these degradation phenomena [10], guide the matching design of the launcher and projectile [11], and develop the in-service capability for detecting, evaluating, and maintaining the health status of the inner bore [12], it is necessary to efficiently observe these degradation conditions of the inner bore without disassembling the launcher.
Since these degradation phenomena are ultimately reflected in their deformation, the observation of bore degradation can begin with deformation detection. Compared to the unilateral rail surface deformation detection after disassembling the launcher [13,14], the characteristics and challenges of non-disassembled deformation detection lie in the closed and narrow detection space, the absence of spatial localization references, the extension of the detection scope to the surface deformation around the bore, and the straightness along the launching direction. Moreover, as a health monitoring method, the detection system needs to consider rapidity and portability. In addition, electromagnetic launchers typically employ arc-surface rails and flat-surface insulators, and their bore profiles are significantly different from the circular inner profiles of conventional pipelines [15,16,17,18,19,20], which also have their own specificity in the detection of bore deformation.
Pei et al. [21,22] measured the spacing between the upper and lower rails based on the principle of the angular bisector by using a contact method. However, this method can only measure the spacing change at a certain point on the rail surface, and requires the assumption that the rail spacing changes uniformly within a certain length, which leads to significant assumption errors. Wang et al. [23,24] reconstructed the deformation of a bore surface by combining laser projection with binocular stereo vision, and utilized global correlation coding to enhance the completeness of matching results. Due to the necessity of accurate feature point matching in the images captured by the two cameras, this method faces significant data processing challenges, making it difficult to ensure stable and efficient operation of the measurement system. Dong et al. [25] conducted measurements of a bore’s three-dimensional dimensions based on the laser triangulation principle, and improved the detection efficiency by replacing point laser rotational forward scanning with ring-structured light scanning [26]. Ma et al. [27] proposed a deviation correction method to address the issue of detection devices’ self-deflection, but this method requires frequent external intervention during the measurement and data post-processing stages, resulting in low automation [28]. Additionally, it does not further consider the extraction of surface deformation and straightness.
Based on these observations, the motivations for this study are as follows:
  • The current methods for detecting inner bore deformation in electromagnetic launchers are inefficient, poorly integrated, and lack a comprehensive means of detecting both surface deformation and straightness. These limitations hinder the frequent application of these methods in the research, optimization, and management of electromagnetic launchers.
  • Current methods lack adequate discussion and viable solutions to the self-deflection issue of detection devices. This deficiency undermines the effective application of detection methods in actual rugged inner bore environments.
  • The current detection methods do not fully utilize the unique inner bore shape of electromagnetic launchers. Consequently, there remains much potential for optimization in the post-processing stage of point cloud data.
In this article, a highly effective system for detecting the surface deformation and straightness of the bore in electromagnetic launchers is presented. The system utilizes ring-structured light to scan bore profiles, and incorporates a laser with alignment and ranging capabilities to correct the spatial coordinates of the in-bore detection device. By employing point cloud registration, the widespread issue of the self-deflection in detection devices present in existing methods is resolved, and we ultimately extract the surface deformation and straightness of the bore from the registered point cloud data. Additionally, a coarse registration method that combines circle and parabola equations to leverage rail shape features is proposed, and we use the trimmed iterative closest-point algorithm for the fine registration of non-axisymmetrically deformed bores. Compared with existing methods, the proposed method exhibits the highest detection efficiency.
The remainder of this paper is organized as follows: Section 2 describes the composition and detection principles of the inspection system and analyzes the impact of the detection device’s self-deflection on the detection results. Section 3 introduces the coarse and fine registration methods for laser point clouds. Section 4 presents the results and a discussion of the bore inspection experimental validation. Section 5 provides a concise conclusion of the main findings of this paper.

2. Detection Principles and Self-Deflection Analysis

This section describes the composition and principle of the detection system and analyzes the impact of self-deflection in the detection device.

2.1. System Composition and Detection Principles

The bore surface deformation and straightness detection system consists of a self-propelled borescope trolley, a spatial positioning device fixed at the bore end face, and a data processing terminal, as shown in Figure 1.
The borescope trolley, primarily used to measure the profile shape of the bore at each position, comprises a ring laser, reflector, camera, forearm, glass pane, driving mechanism, etc. Among these, the ring laser, fixed at the head of the forearm, is used to project ring-structured light onto the bore surface; the forearm, used to place the ring laser and the reflector, is fixed to the glass pane on the front side of the trolley. The camera, positioned inside the trolley body with its lens aimed at the glass pane, captures images of the laser pattern on the bore surface and reflector. On the opposite side of the trolley’s support wheels, spring-matched auxiliary wheels are arranged to reduce the vibration amplitude during trolley movement. The spatial positioning device consists of a dot laser and a two-axis turntable, in which the dot laser can generate a collimated beam and measure the drive distance of the borescope trolley. The data processing terminal is used to control system operation and calculate the detection results in real time.
To obtain the surface deformation of the bore, it is first necessary to acquire laser point cloud data of the bore profile at each position. This can be achieved using the laser triangulation method, the basic principle of which is shown in Figure 2. Assuming the focal length of the camera lens is f, the distance from the ring laser to the lens is d, and the coordinates of the ring-structured light falling on the camera image sensor after diffuse reflection from the inner bore surface are X, then the distance x from the bore surface to the central axis of the ring laser can be determined according to the following trigonometric relationship:
x = X d f
When considering the differences among the axes of the ring laser, camera lens, and image sensor, as well as the pixel length and width of the image sensor, the relationship between the pixel coordinate system (Xp, Yp) and the ring laser plane coordinate system (xp, yp) can be described as follows [29]:
s X p Y p 1 = M I M E x p y p 1 = f 1 γ u 0 0 f 2 v 0 0 0 1 r 1 r 2 t 1 r 3 r 4 t 2 r 5 r 6 t 3 x p y p 1
where s represents the scale factor; MI is the intrinsic matrix that characterizes the relationship between the pixel coordinate system and the camera lens coordinate system, composed of five parameters: f1, f2, γ, u0, v0; and ME is the extrinsic matrix that characterizes the relationship between the camera lens coordinate system and the ring laser plane coordinate system, composed of six rotation parameters from r1 to r6 and three translation parameters from t1 to t3. Using the Zhang calibration method [30], these parameters and the image distortion can be calibrated.
Since the bore deformation is a relative quantity, the deformation cannot be calculated solely based on (xp, yp). It is necessary to first register these point clouds with the standard bore profile point clouds:
x r y r 1 = R r T r 0 1 x p y p 1 = r r 1 r r 2 t r 1 r r 3 r r 4 t r 2 0 0 1 x p y p 1
where (xr,yr) represents the registered laser point cloud data, and Rr and Tr are the rotation matrix and translation vector corresponding to the registration transformation, respectively, containing four rotation parameters from rr1 to rr4 and two translation parameters from tr1 to tr2.
To obtain the surface deformation, it is also necessary to acquire the point cloud’s axial coordinates perpendicular to the bore profile plane, which can be achieved using a dot laser based on the time-of-flight method of ranging. By measuring the distance zp from the dot laser to the reflector on the borescope trolley, the axial coordinates zn of the n-th (where n = 1, …, N) profile point cloud can be obtained:
z n = z p + Δ z p + l
with Δzp representing the axial offset of the dot laser installation within the bore, and l representing the distance from the reflector to the ring laser plane.
Then, the left and right surface deformations δx,n and the upper and lower surface deformations δy,n of the bore satisfy
δ x , n = x r , n x s δ y , n = y r , n y s
The bore straightness is defined as the deviation of the profile center point at each position from the line connecting the center points of the first and last profiles, as shown in Figure 3. Assuming the coordinates of the n-th profile center point in the world coordinate system (xw, yw, z) are (xw,o,n, yw,o,n, zn), then the bore straightness can be expressed as
u n = ( x w , o , n x w , o , 1 ) ( x w , o , N x w , o , 1 ) z n z 1 z N z 1 v n = ( y w , o , n y w , o , 1 ) ( y w , o , N y w , o , 1 ) z n z 1 z N z 1
where un is the side straightness, and vn is the arch straightness.
During the capture of the inner bore profile by the camera mounted on the bore borescope trolley, the dot laser spot image on the reflector is also recorded within the same frame. By translating the registered profile center point (0, 0, zn) using the registered dot laser spot center (xr,p,n, yr,p,n, zn) as the origin, the coordinates of the n-th profile center point in the world coordinate system can be obtained as follows:
x w , o , n = x r , p , n y w , o , n = y r , p , n
According to (6) and (7), the bore straightness (un, vn) described by the registered point cloud data can be obtained as follows:
u n = ( x r , p , N x r , p , 1 ) z n z 1 z N z 1 ( x r , p , n x r , p , 1 ) v n = ( y r , p , N y r , p , 1 ) z n z 1 z N z 1 ( y r , p , n y r , p , 1 )

2.2. Analysis of Borescope Trolley Attitude Deflection

By utilizing the alignment and ranging capabilities of the dot laser, it is possible to correct the three-axis position of the borescope trolley, but three-axis attitude cannot be rectified. Meanwhile, due to phenomena such as wear and aluminum deposition, the bore surface becomes uneven, causing the borescope trolley to pitch, yaw, and roll during its movement. Roll deviation can be mitigated by registering the profile laser point clouds, whereas pitch and yaw deviations cannot be mitigated. Therefore, it is necessary to analyze their impact. In addition, since the manners in which pitch and yaw affect the trolley’s detection are similar, only the influence of pitch will be discussed.
Assuming that the borescope trolley experiences a pitch deviation as illustrated in Figure 4, where the rear wheel drop depth is h1, the front wheel lift height is h2, and the distance between the front and rear wheels is L, the pitch angle θ is given by
θ = arcsin h 1 + h 2 L
The trolley can be considered a rigid body, so the ring laser plane also undergoes a deflection angle of θ. From this, the vertical coordinates yw of the deflected point clouds in the world coordinate system, with the dot laser spot center p as the origin, satisfy
y w = y w cos θ
where yw is the vertical coordinate of the undeflected point clouds in the world coordinate system.
Before and after deflection, the world coordinate system centered at p and the registered coordinate system satisfy
y w = y r y r , p y w = y r y r , p
where yr and yr are the vertical coordinates of the laser point clouds in the registered coordinate system before and after deflection, respectively, and yr,p and yr,p are the vertical coordinates of point p in the registered coordinate system before and after deflection.
According to (10) and (11),
y r = y r y r , p cos θ + y r , p
Regardless of whether deflection occurs, the vertical coordinate of the center point of the bore profile in the registered coordinate system should be 0. That is, when yr = 0, then yr = 0; therefore,
y r , p = y r , p cos θ , y r = y r cos θ
Consequently, the surface deformation detection deviation Eδ,y and the arch straightness detection deviation Ev caused by trolley attitude pitch satisfy
E δ , y = δ y δ y = y r cos 1 arcsin h 1 + h 2 L 1
E v = v v = y r , p 1 cos 1 arcsin h 1 + h 2 L
From (14) and (15), it can be seen that h1 and h2 have the same effect on Eδ,y and Ev, so only the influence of h2 needs to be analyzed. Figure 5 shows the variation in Eδ,y and Ev with the height of the front wheel lift-off, where yr = 40 mm and yr,p = 30 mm. It can be observed that the detection deviations of surface deformation and arch straightness exhibit positive and negative growth, respectively, with an increase in h2. Additionally, increasing the wheelbase L can effectively reduce the magnitude of this growth.

3. Laser Point Cloud Registration

The registration of laser point clouds (xp, yp) is a crucial post-processing step that impacts the efficiency and precision of the system’s detection. This section discusses this issue from two aspects: coarse registration and fine registration.

3.1. Coarse Registration

The bore of an electromagnetic launcher typically consists of a pair of arc-surface rails and a pair of flat-surface insulators, where the arc-surface rail can be divided into concave and convex types. Therefore, coarse registration can leverage the arc features of the rail to extract the deflection angle α and offset vector (Δx, Δy), in order to rotate and translate the laser point clouds of the bore profile to a position close to the standard bore profile. Taking the concave rail bore shown in Figure 6 as an example, first, the deflection angle α of profile point clouds can be obtained by identifying the arc centers of the upper and lower side rails before registration, and then connecting them.
The arc centers of the upper and lower side rails can be determined using the least-squares-based circle fitting method. Taking the upper side rail as an example, the coordinates of its center (xp,1, yp,1) satisfy
x p , 1 y p , 1 = 0.5 0 0 0 0.5 0 ( A T A ) 1 A T x p 2 + y p 2
where A = [xp yp 1].
Similarly, the arc center coordinates (xp,2, yp,2) of the lower side rail can be calculated, thereby obtaining the deflection angle α as follows:
α = arctan x p , 1 x p , 2 y p , 1 y p , 2
Then, the rotationally corrected laser point clouds (xpr, ypr) satisfy
x pr y pr = cos α sin α sin α cos α x p y p
Next, the offset vector (Δx, Δy) of the bore profile is solved, which mainly involves solving for the center point of the laser point clouds (xpr, ypr). Here, the fitting function is replaced by a parabola equation:
x pr 2 x pr 1 p 1 p 2 p 3 T = y pr
Based on (19), by least-squares fitting the vertex coordinates (xpr,1, ypr,1) and (xpr,2, ypr,2) of the upper and lower parabola curves, the following can be obtained:
Δ x Δ y = 1 2 x pr , 1 x pr , 2 + y pr , 1 y pr , 2
Translating (xpr, ypr) according to (Δx, Δy), the laser point clouds (xpt, ypt) of the bore profile after coarse registration are obtained:
x pt y pt = x pr y pr + Δ x Δ y

3.2. Fine Registration

Building upon the coarse registration results, the trimmed iterative closest-point (TrICP) algorithm is employed for fine registration. TrICP is an optimized version of the classic ICP algorithm, which mitigates the impact of outliers on registration accuracy by trimming point pairs with excessive distance residuals [31]. The specific computational steps are as follows:
Step 1: Adopt the Delaunay triangular mesh method [32] to pair nearby points between the bore profile laser point clouds pt and the standard bore profile point cloud ps, and calculate the distance residuals E(n) for different point pairs [33]:
E ( n ) = p t , n p s , n 2
Step 2: Extract the point pairs (pt,tr,n, ps,tr,n) with E(n) less than the trimming threshold Eth, and calculate the centroid of the point clouds based on these pairs:
p t , o = 1 N tr n = 1 N tr p t , Tr , n , p s , o = 1 N tr n = 1 N tr p s , Tr , n
Step 3: Obtain the rotation matrix Rr and translation vector Tr through singular value decomposition [34]:
U Σ V T = n = 1 N ( p s , tr , n p s , o ) ( p t , tr , n p t , o ) T
R r = U 1 0 0 det ( U V T ) V T T r = p s , o R r p r , o
Step 4: Update the coordinates of the laser point cloud pr and calculate the average residual J as follows:
p r = R r p r + T r
J = 1 N n = 1 N R r p r , n + T r p s , n 2 2
Step 5: Repeat these steps until the residual reduction between two consecutive iterations is less than the preset threshold ΔJset:
J i 1 J i < Δ J set

4. Results

This section details the experimental validation of the proposed method on real electromagnetic launchers, and provides a comparison between the registration method presented in this study and existing techniques.

4.1. Experimental Validation

For the developed bore surface deformation and straightness detection system, the distance between the front and rear wheels of the borescope trolley is 150 mm, with a maximum drive speed of 36 mm/s. The system is configured to sample once every 6 mm of movement, resulting in a maximum capture frequency of 6 frames per second. After setting up the detection system, the trolley is first controlled to move to the other end of the bore. Meanwhile, the two-axis turntable is adjusted so that the laser beam emitted by the dot laser can continuously illuminate the reflector on the trolley’s front during its movement. Then, the borescope trolley is controlled to scan the inner bore.
Figure 7 shows the registration results of 833 sets of bore profile point clouds from a single measurement. In the coarse registration algorithm, the required arc point clouds (xp, yp) are extracted based on the criterion |xp| ≤ 20 mm. During the fine registration step, the residual trimming threshold Eth is set to be the third quartile of the distance residuals, and the residual reduction threshold ΔJset is set to 0.1 μm. It can be observed that the sets of unregistered profile point clouds exhibit varying degrees of rotation and offset. However, after registration, each set of profile point clouds aligns well with the standard bore profile, with the surrounding walls symmetrically distributed around the standard bore profile.
To verify the detection accuracy of the system and the correctness of the attitude deflection analysis, the ring laser plane of the borescope trolley was placed in a square measuring tool with an inner profile measurement accuracy of 3 μm. Additionally, the effects of the bore deformation were simulated by lifting the front wheels of the trolley by 3 mm and 5 mm. The results are shown in Figure 8, where the error band represents the 95% statistical confidence interval. It can be observed that the calculation results of the attitude deflection analysis basically coincide with the measured errors. In addition, the systematic errors of the surface deformation detection μi in the areas on both sides are slightly higher than those in the middle. This is because the distortion of the camera lens and the glass pane of the trolley has not been fully corrected. Assuming that the error of the measuring tool δg conforms to a uniform distribution and the random errors of the test σi conform to a Gaussian distribution, the testing accuracy can be expressed as
A c c = E ( μ i ) ± 1.96 δ g / 3 2 + Var ( μ i ) + E ( σ i 2 )
According to (29), the accuracy of the borescope trolley under different front wheel lift heights is shown in Table 1.
Figure 9 shows the bore surface deformation detection results calculated according to (5). It can be observed that the extracted bore surface deformation exhibits a trend of symmetrical distribution along the axial direction z. Specifically, the rail depressions are concentrated in the middle position along the horizontal normal direction x, primarily caused by the high-speed current-carrying friction between the armature and the rail, leading to fusion and erosion wear damage. Conversely, the insulator depressions are concentrated on both sides along the vertical normal direction y, mainly resulting from the splashing and erosion of aluminum liquid towards the sides due to the melting of the armature under the combined effect of Joule heat and frictional heat.
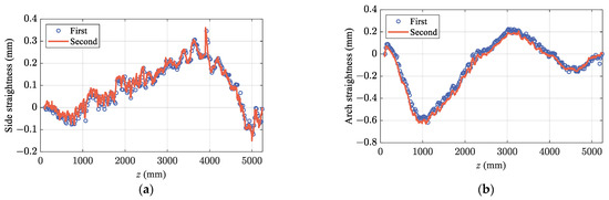
Figure 10 shows the bore straightness calculated according to (8) after two detections of the same bore section. The reliability of the results is evaluated using the intraclass correlation coefficient (ICC) [35]. The ICC values for side straightness and arch straightness are 0.982 and 0.994, respectively, indicating excellent reliability in the repeated detections.

4.2. Method Comparison

Since the primary purpose of coarse registration is to provide an appropriate initial pose of the profile, thereby improving the speed of subsequent fine registration, it is necessary to compare the computation time of the method proposed in this paper with that of conventional registration methods, as shown in Table 1, where the TrICP algorithm is used for all the fine registrations. It can be observed that if only the circle equation is used for the coarse registration of translation and rotation by the orbital arc features, the random sample consensus (RANSAC) fitting algorithm [36,37], which requires complex iterative calculation, is more effective than the least-squares (LS) fitting method in reducing the fine registration time. However, when considering the coarse registration method proposed in this paper (No. 6 in Table 2), which combines both circle and parabola equations, using simple LS fitting alone can achieve the shortest registration time. This may be attributed to the fact that under the influence of degradation phenomena such as surface ablation, wear, and aluminum deposition, the arc shape of the rail gradually deviates from the standard circular arc. Therefore, directly using the midpoint of the line connecting the centers of the upper and lower fitted arcs as the center point of the bore profile may not be accurate.
To verify the precision of bore profile registration under the non-axisymmetric deformation scenario, a 5 mm thick interference block was installed on the surface of the left insulator inside the bore. The profile point clouds before and after registration are shown in Figure 11, which reveals that the profile after fine registration using the classical ICP algorithm is affected by the anomalous point cloud and exhibits an overall leftward shift. However, when the TrICP algorithm is employed, the anomalous offset is effectively eliminated.

5. Conclusions

This paper presents an optical in-service detection method for determining the surface deformation and straightness of an electromagnetic launcher. By utilizing ring-structured light scanning, time-of-flight ranging, and laser alignment, the point cloud data of the bore are obtained. Through registration with the standard profile point cloud, the surface deformation distribution of the rails and insulators and the straightness of side-bending and arch-bending are detected. The analysis reveals that increasing the wheelbase can mitigate the accuracy issues caused by the pitching and yawing of the detection device itself within the bore, whereas the rolling issue needs to be addressed through point cloud registration. Notably, the coarse registration of the rail arc features based on the combination of the circle and parabola equations can significantly enhance the overall registration efficiency, and the shortest registration time can be obtained by using only simple least-squares fitting. Additionally, the fine registration algorithm based on TrICP has more accurate results than the ICP algorithm in the non-axisymmetric bore deformation scenario. These experiments show that the bore surface deformation and straightness can be detected efficiently and precisely using the proposed method. During the detection process, the post-processing of data registration can be completed in real time. The test accuracy reaches 22.6 ± 6.3 μm in a simulated environment with an inner bore undulation of 5 mm.
It should be acknowledged that this paper does not delve deeply into the impact of body structural vibrations and deformations during the movement of the detection device. Predictably, such vibrations and deformations can disrupt the accuracy of the pre-calibrated extrinsic matrix parameters, thereby inhibiting further improvements in detection resolution. In future work, this issue will be investigated through full-trolley structural dynamics simulations that take into account the effects of assembly gaps, and effective methods for vibration suppression will be explored.

Author Contributions

Methodology, K.Y.; validation, L.C.; formal analysis, S.T.; investigation, K.Y.; data curation, D.Z.; writing—original draft, K.Y.; writing—review and editing, L.C.; funding acquisition, D.Z. All authors have read and agreed to the published version of the manuscript.

Funding

This work was supported by the National Natural Science Foundation of China (NSFC) under Grant 92166108 and 52207070.

Institutional Review Board Statement

Not applicable.

Informed Consent Statement

Not applicable.

Data Availability Statement

The data presented in this study are available upon reasonable request from the corresponding author. The data are not publicly available due to privacy reasons.

Conflicts of Interest

The authors declare no conflicts of interest.

References

  1. Ma, W.; Lu, J. Thinking and study of electromagnetic launch technology. IEEE Trans. Plasma Sci. 2017, 45, 1071–1077. [Google Scholar] [CrossRef]
  2. Zhao, W.; Tian, W.; Yuan, W.; Yan, P. Armature ejecta and its effects on insulator degradation in solid-armature launchers. IEEE Trans. Plasma Sci. 2022, 50, 489–495. [Google Scholar] [CrossRef]
  3. Lu, T.; Hua, D.; An, B.; Hafeez, M.A.; Pan, J.; Chen, L.; Lu, J.; Zhou, Q.; Zhang, C.; Liu, L. Improved anti-adhesive wear performance of rail/armature pair via interfacial energy modulation for electromagnetic launching applications. Scr. Mater. 2023, 236, 115677. [Google Scholar] [CrossRef]
  4. Xu, J.; Ruan, J.; Li, C.; Yang, H.; Xia, S. Analysis of melt erosion and deposition at contact interface in convex rail launcher. IEEE Trans. Plasma Sci. 2022, 50, 4996–5000. [Google Scholar] [CrossRef]
  5. Hu, X.; Lu, J.; Zhang, Y.; Tan, S.; Li, B.; Zhang, J. Research on delamination failure of insulator in electromagnetic rail launcher. IEEE Trans. Plasma Sci. 2022, 50, 4987–4995. [Google Scholar] [CrossRef]
  6. Wu, K.; Wu, W.; Pan, A.; Guo, C.; Cui, F.; Yang, X.; Yang, G. Investigation on the microstructure evolution and mechanical properties of electromagnetic rail material in a launch environment. Mater. Charact. 2024, 208, 113582. [Google Scholar] [CrossRef]
  7. Lin, Q.; Li, B. Modeling and numerical simulation on launch dynamics of integrated launch package in electromagnetic railgun. J. Phys. Conf. Ser. 2020, 1507, 072016. [Google Scholar] [CrossRef]
  8. Zhang, B.; Kou, Y.; Jin, K.; Zheng, X. A multi-field coupling model for the magnetic-thermal-structural analysis in the electromagnetic rail launch. J. Magn. Magn. Mater. 2021, 519, 167495. [Google Scholar] [CrossRef]
  9. Zhang, G.; Cao, R.; Li, P. Analysis of a measurement method for the railgun current and the armature’s speed and initial position. IEEE Sens. J. 2018, 18, 9526–9533. [Google Scholar] [CrossRef]
  10. Xie, H.; Yang, H.; Yu, J.; Gao, M.; Shou, J.; Fang, Y.; Liu, J.; Wang, H. Research progress on advanced rail materials for electromagnetic railgun technology. Def. Technol. 2021, 17, 429–439. [Google Scholar] [CrossRef]
  11. Du, P.; Lu, J.; Li, X.; Feng, J.; Li, K. Interior ballistic characteristics of electromagnetic rail launcher considering the dynamic characteristics of real launcher. IEEE Trans. Ind. Electron. 2021, 68, 6087–6096. [Google Scholar] [CrossRef]
  12. Zeng, D.; Lu, J. Online fault diagnosis of electromagnetic launch system via time series anomaly detection. IEEE Trans. Plasma Sci. 2024, 52, 3285–3293. [Google Scholar] [CrossRef]
  13. Meger, R.A.; Huhman, B.M.; Neri, J.M.; Brintlinger, T.H.; Jones, H.N.; Cairns, R.L.; Douglass, S.R.; Lockner, T.R.; Sprague, J.A. NRL materials testing facility. IEEE Trans. Plasma Sci. 2013, 41, 1538–1541. [Google Scholar] [CrossRef]
  14. Yang, K.; Kim, S.; Lee, B.; An, S.; Lee, Y.; Yoon, S.H.; Koo, I.S.; Jin, Y.S.; Kim, Y.B.; Kim, J.S.; et al. Electromagnetic launch experiments using a 4.8-MJ pulsed power supply. IEEE Trans. Plasma Sci. 2015, 43, 3369–3373. [Google Scholar] [CrossRef]
  15. Zhang, Y.; Zheng, Y. Research on a method for the optical measurement of the rifling angle of artillery based on angle error correction. Curr. Opt. Photonics 2020, 4, 500–508. Available online: https://opg.optica.org/copp/abstract.cfm?URI=copp-4-6-500 (accessed on 1 February 2025).
  16. Du, H.; Zhao, X.; Yu, D.; Shi, H.; Zhou, Z. Research on point cloud acquisition and calibration of deep hole inner surfaces based on collimated ring laser beams. Sensors 2024, 24, 5790. [Google Scholar] [CrossRef]
  17. Wakayama, T.; Takahashi, Y.; Ono, Y.; Fujii, Y.; Gisuji, T.; Ogura, T.; Shinozaki, N.; Yamauchi, S.; Shoji, M.; Kawasaki, H.; et al. Three-dimensional measurement of an inner surface profile using a supercontinuum beam. Appl. Opt. 2018, 57, 5371–5379. [Google Scholar] [CrossRef]
  18. Li, X.; Deng, C.; Wu, Y.; Yang, T.; Yang, R.; Ni, N.; Xie, G. Accuracy improvement of a multi-ring beam structured inner surface measurement: Via novel calibration methodology and light source optimization. Meas. Sci. Technol. 2024, 35, 095002. [Google Scholar] [CrossRef]
  19. Li, M.; Feng, X.; Hu, Q. 3D laser point cloud-based geometric digital twin for condition assessment of large diameter pipelines. Tunn. Undergr. Sp. Technol. 2023, 142, 105430. [Google Scholar] [CrossRef]
  20. Zheng, L.; Lou, H.; Xu, X.; Lu, J. Tire Defect Detection via 3D Laser Scanning Technology. Appl. Sci. 2023, 13, 11350. [Google Scholar] [CrossRef]
  21. Pei, P.; Cao, B.; Li, M.; Ge, X. The continuous high precision measurement technique of bore spacing about rail-gun. In Proceedings of the 16th Annual Conference of China Electrotechnical Society, Beijing, China, 24–26 September 2021. [Google Scholar] [CrossRef]
  22. Cao, B.; Ge, X.; Pei, P.; Li, M. Analysis of the influence of bore spacing variation on the static contact about rail-gun. In Proceedings of the 16th Annual Conference of China Electrotechnical Society, Beijing, China, 24–26 September 2021. [Google Scholar] [CrossRef]
  23. Wang, Z.; Li, B. A high reliability 3D scanning measurement of the complex shape rail surface of the electromagnetic launcher. Sensors 2020, 20, 1485. [Google Scholar] [CrossRef] [PubMed]
  24. Wang, Z.; Yue, J.; Han, J.; Jin, Y.; Li, B. Regional fuzzy binocular stereo matching algorithm based on global correlation coding for 3D measurement of rail surface. Optik 2020, 207, 164488. [Google Scholar] [CrossRef]
  25. Dong, E.; Cao, R. The inner surface profile measurement apparatus for an electromagnetic rail-gun launcher. IEEE Sens. J. 2018, 18, 4269–4274. [Google Scholar] [CrossRef]
  26. Dong, E.; Cao, R.; Hao, X. Research on the inner bore profile detecting system of railgun. Measurement 2020, 150, 107053. [Google Scholar] [CrossRef]
  27. Ma, X.; Cao, R.; Zhou, Y.; Hu, X.; Li, F. A calibration method of inner bore profile detecting on electromagnetic railgun. IEEE Sens. J. 2021, 21, 20440–20446. [Google Scholar] [CrossRef]
  28. Zhou, Y.; Cao, R.; Li, P.; Ma, X.; Hu, X.; Li, F. A damage detection system for inner bore of electromagnetic railgun launcher based on deep learning and computer vision. Expert. Syst. Appl. 2022, 202, 117351. [Google Scholar] [CrossRef]
  29. Szeliski, R. Computer Vision: Algorithms and Applications; Springer: Cham, Switzerland, 2010; pp. 46–56. [Google Scholar]
  30. Zhang, Z. A flexible new technique for camera calibration. IEEE Trans. Pattern Anal. Mach. Intell. 2000, 22, 1330–1334. [Google Scholar] [CrossRef]
  31. Wen, C.; Huang, S. A LiDAR point cloud registration method combining linear feature extraction and TrICP algorithm. Multimedia. Syst. 2023, 29, 3209–3221. [Google Scholar] [CrossRef]
  32. Anderson, J.D.; Raettig, R.M.; Larson, J.; Nykl, S.L.; Taylor, C.N.; Wischgoll, T. Delaunay walk for fast nearest neighbor: Accelerating correspondence matching for ICP. Mach. Vision. Appl. 2022, 33, 31. [Google Scholar] [CrossRef]
  33. Chetverikov, D.; Svirko, D.; Stepanov, D.; Krsek, P. The Trimmed Iterative Closest Point algorithm. In Proceedings of the 16th International Conference on Pattern Recognition, Quebec, QC, Canada, 11–15 August 2002. [Google Scholar] [CrossRef]
  34. Besl, P.J.; McKay, N.D. A method for registration of 3-D shapes. IEEE Trans. Pattern Anal. Mach. Intell. 1992, 14, 239–256. [Google Scholar] [CrossRef]
  35. Carrasco, J.L. Assessing repeatability of spatial trajectories. Methods. Ecol. Evol. 2024, 15, 144–152. [Google Scholar] [CrossRef]
  36. Xu, M.; Ma, H.; Zhong, X.; Zhao, Q.; Chen, S.; Zhong, R. Fast and accurate registration of large scene vehicle-borne laser point clouds based on road marking information. Opt. Laser. Technol. 2023, 159, 108950. [Google Scholar] [CrossRef]
  37. Weon, I.; Lee, S.; Yoo, J. Real-Time Semantic Segmentation of 3D LiDAR Point Clouds for Aircraft Engine Detection in Autonomous Jetbridge Operations. Appl. Sci. 2024, 14, 9685. [Google Scholar] [CrossRef]
Figure 1. A schematic of the bore surface deformation and straightness detection system.
Figure 1. A schematic of the bore surface deformation and straightness detection system.
Applsci 15 02706 g001
Figure 2. Schematic of laser triangulation for acquiring bore profile point clouds.
Figure 2. Schematic of laser triangulation for acquiring bore profile point clouds.
Applsci 15 02706 g002
Figure 3. Schematic of bore straightness extraction.
Figure 3. Schematic of bore straightness extraction.
Applsci 15 02706 g003
Figure 4. Schematic of detection deviations caused by the borescope trolley attitude pitch.
Figure 4. Schematic of detection deviations caused by the borescope trolley attitude pitch.
Applsci 15 02706 g004
Figure 5. Relationship between detection deviation and front wheel lift height under different wheelbases: (a) Surface deformation detection deviation; (b) Arch straightness detection deviation.
Figure 5. Relationship between detection deviation and front wheel lift height under different wheelbases: (a) Surface deformation detection deviation; (b) Arch straightness detection deviation.
Applsci 15 02706 g005
Figure 6. Schematic of coarse registration principle.
Figure 6. Schematic of coarse registration principle.
Applsci 15 02706 g006
Figure 7. The registration results of the bore profile point clouds.
Figure 7. The registration results of the bore profile point clouds.
Applsci 15 02706 g007
Figure 8. Comparison of calculated and tested values for surface deformation detection deviation.
Figure 8. Comparison of calculated and tested values for surface deformation detection deviation.
Applsci 15 02706 g008
Figure 9. Bore surface deformation detection results: (a) rail surface deformation; (b) insulator surface deformation.
Figure 9. Bore surface deformation detection results: (a) rail surface deformation; (b) insulator surface deformation.
Applsci 15 02706 g009
Figure 10. Bore straightness detection results: (a) side straightness; (b) arch straightness.
Figure 10. Bore straightness detection results: (a) side straightness; (b) arch straightness.
Applsci 15 02706 g010
Figure 11. Bore profile point cloud registration results under the non-axisymmetric deformation.
Figure 11. Bore profile point cloud registration results under the non-axisymmetric deformation.
Applsci 15 02706 g011
Table 1. Accuracy of the borescope trolley under different front wheel lift heights.
Table 1. Accuracy of the borescope trolley under different front wheel lift heights.
Front Wheel Lift Height0 mm3 mm5 mm
Calculation accuracy (μm)0.08.022.2
Testing accuracy (μm)0.5 ± 4.88.6 ± 5.322.6 ± 6.3
Table 2. Comparison of point cloud registration computation time (fine registration using TrICP algorithm).
Table 2. Comparison of point cloud registration computation time (fine registration using TrICP algorithm).
No.Coarse Registration MethodRegistration Computation Time (s)
RotationTranslationCoarseFineTotal
10.00101.23101.23
2LS-circleLS-circle0.2357.3257.55
3RANSAC-circleRANSAC-circle0.6644.1344.79
4RANSAC-circleLS-parabola0.7814.4215.20
5RANSAC-circleRANSAC-parabola 1.1414.3415.48
6LS-circle LS-parabola0.2314.5114.74
Disclaimer/Publisher’s Note: The statements, opinions and data contained in all publications are solely those of the individual author(s) and contributor(s) and not of MDPI and/or the editor(s). MDPI and/or the editor(s) disclaim responsibility for any injury to people or property resulting from any ideas, methods, instructions or products referred to in the content.

Share and Cite

MDPI and ACS Style

Yan, K.; Zeng, D.; Cheng, L.; Tan, S. Surface Deformation and Straightness Detection of Electromagnetic Launcher Based on Laser Point Clouds. Appl. Sci. 2025, 15, 2706. https://doi.org/10.3390/app15052706

AMA Style

Yan K, Zeng D, Cheng L, Tan S. Surface Deformation and Straightness Detection of Electromagnetic Launcher Based on Laser Point Clouds. Applied Sciences. 2025; 15(5):2706. https://doi.org/10.3390/app15052706

Chicago/Turabian Style

Yan, Kangwei, Delin Zeng, Long Cheng, and Sai Tan. 2025. "Surface Deformation and Straightness Detection of Electromagnetic Launcher Based on Laser Point Clouds" Applied Sciences 15, no. 5: 2706. https://doi.org/10.3390/app15052706

APA Style

Yan, K., Zeng, D., Cheng, L., & Tan, S. (2025). Surface Deformation and Straightness Detection of Electromagnetic Launcher Based on Laser Point Clouds. Applied Sciences, 15(5), 2706. https://doi.org/10.3390/app15052706

Note that from the first issue of 2016, this journal uses article numbers instead of page numbers. See further details here.

Article Metrics

Back to TopTop