A Neural Network-Based Method for Predicting Wind Turbine Fatigue Loads
Abstract
1. Introduction
2. Methodology
2.1. Simulation Platform and Fatigue Load Calculation
2.2. Simulation Case Setup
2.3. Dataset Establishment
2.4. Prediction Models and Methods
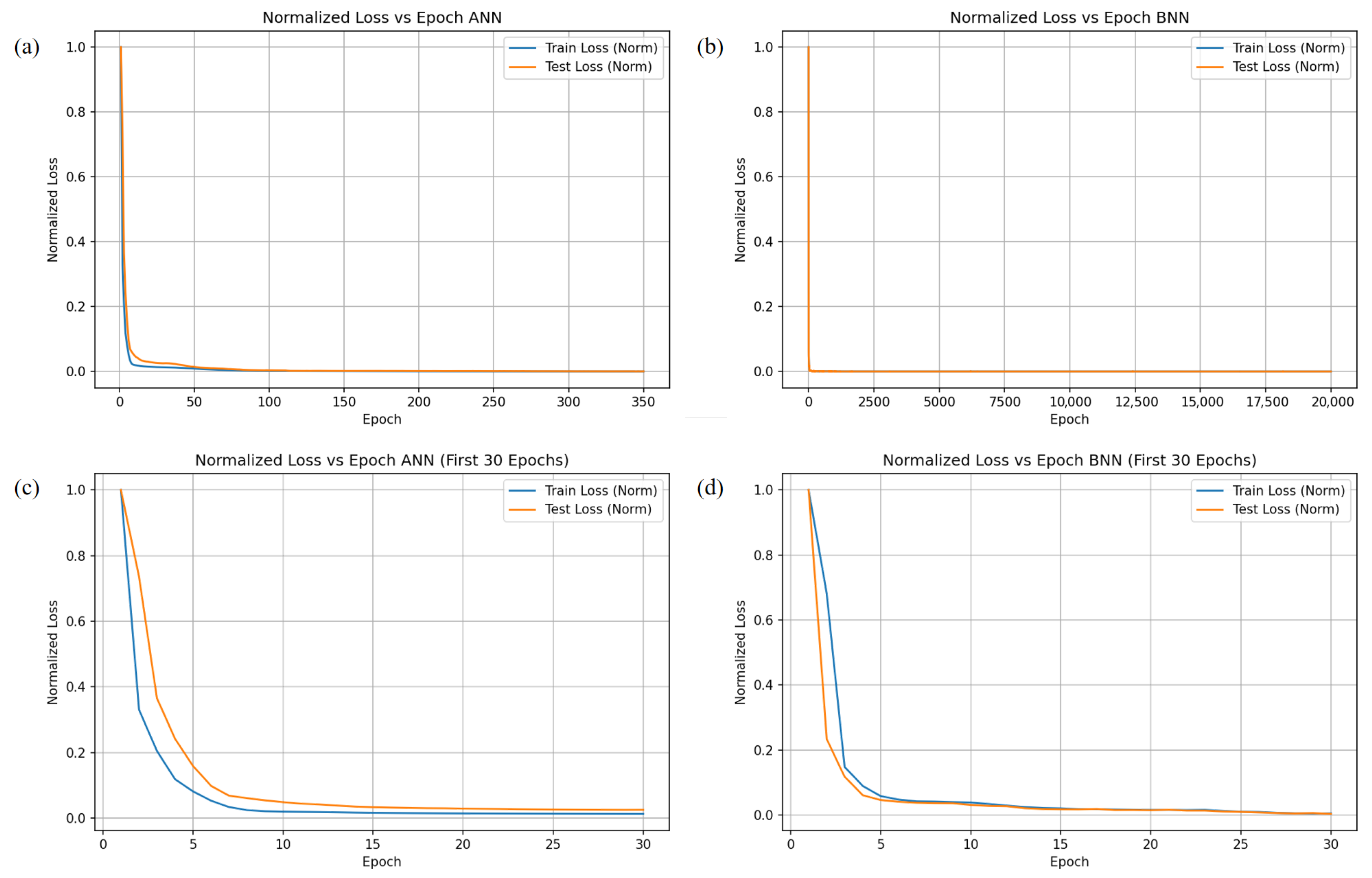
3. Results
4. Discussion
5. Conclusions
Author Contributions
Funding
Institutional Review Board Statement
Informed Consent Statement
Data Availability Statement
Conflicts of Interest
References
- Arslan Tuncar, E.; Sağlam, Ş.; Oral, B. A review of short-term wind power generation forecasting methods in recent technological trends. Energy Rep. 2024, 12, 197–209. [Google Scholar] [CrossRef]
- Global Wind Report 2024; Global Wind Energy Council: Brussels, Belgium, 2024.
- Bai, G.; Feng, Y.; Ma, Z.-Q.; Li, X. An Asynchronous Distributed Optimal Wake Control Scheme for Suppressing Fatigue Load and Increasing Power Extraction in Wind Farms. Renew. Energy 2024, 232, 121048. [Google Scholar] [CrossRef]
- Fleming, P.A.; Gebraad, P.M.O.; Lee, S.; van Wingerden, J.-W.; Johnson, K.; Churchfield, M.; Michalakes, J.; Spalart, P.; Moriarty, P. Evaluating techniques for redirecting turbine wakes using SOWFA. Renew. Energy 2014, 70, 211–218. [Google Scholar] [CrossRef]
- Campagnolo, F.; Petrović, V.; Bottasso, C.L.; Croce, A. Wind tunnel testing of wake control strategies. In Proceedings of the 2016 American Control Conference (ACC), Boston, MA, USA, 6–8 July 2016. [Google Scholar]
- Fleming, P.A.; Scholbrock, A.K.; Jehu, A.; Davoust, S.; Osler, E.; Wright, A.D.; Clifton, A. Field-test results using a nacelle-mounted lidar for improving wind turbine power capture by reducing yaw misalignment. J. Phys. Conf. Ser. 2014, 524, 012002. [Google Scholar] [CrossRef]
- Lin, M.; Porté-Agel, F. Power Maximization and Fatigue-Load Mitigation in a Wind-turbine Array by Active Yaw Control: An LES Study. J. Phys. Conf. Ser. 2020, 1618, 042036. [Google Scholar] [CrossRef]
- Kanev, S.; Bot, E.; Giles, J. Wind Farm Loads under Wake Redirection Control. Energies 2020, 13, 4088. [Google Scholar] [CrossRef]
- Meng, H.; Yu, X.; Chang, S. Study on equivalent fatigue damage of two in-a-line wind turbines under yaw-based optimum control. Int. J. Green Energy 2022, 20, 181–191. [Google Scholar] [CrossRef]
- Huo, T.; Tong, L. An approach to wind-induced fatigue analysis of wind turbine tubular towers. J. Constr. Steel Res. 2020, 166, 105917. [Google Scholar] [CrossRef]
- Fu, Y.; Chen, P.; Zou, L.; Wu, W.; Dou, W.; Zhang, J. Wind Farm Fatigue Load Site Suitability Tool Based on Database. Ship Eng. 2020, 42, 269–272. [Google Scholar] [CrossRef]
- Sun, X.; Huang, L.; Li, J.; Xia, Z.; Ding, Y.; Fang, Q.; Liu, B.; He, W.; Xie, H. Intelligent localization method of fatigue crack tips in enormous high-temperature DIC images. Opt. Laser Technol. 2025, 186, 112666. [Google Scholar] [CrossRef]
- Ramadevi, B.; Kasi, V.R.; Bingi, K. Enhancement of Texas wind turbine power predictions using fractional order neural network by incorporating machine learning models to impute missing data. Knowl.-Based Syst. 2024, 300, 112176. [Google Scholar] [CrossRef]
- Qiu, H.; Shi, K.; Wang, R.; Zhang, L.; Liu, X.; Cheng, X. A novel temporal–spatial graph neural network for wind power forecasting considering blockage effects. Renew. Energy 2024, 227, 120499. [Google Scholar] [CrossRef]
- Ali, Y.; Aly, H.H. Short term wind speed forecasting using artificial and wavelet neural networks with and without wavelet filtered data based on feature selections technique. Eng. Appl. Artif. Intell. 2024, 133, 108201. [Google Scholar] [CrossRef]
- Zheng, Y.; Wang, C.; Huang, C.; Li, K.; Yang, J.; Xie, N.; Liu, B.; Zhang, Y. Hierarchical spatial–temporal autocorrelation graph neural network for online wind turbine pitch system fault detection. Neurocomputing 2024, 586, 127574. [Google Scholar] [CrossRef]
- Rizk, P.; Rizk, F.; Karganroudi, S.S.; Ilinca, A.; Younes, R.; Khoder, J. Advanced wind turbine blade inspection with hyperspectral imaging and 3D convolutional neural networks for damage detection. Energy AI 2024, 16, 100366. [Google Scholar] [CrossRef]
- Zhu, W.; Wu, Y.; Sun, Z.; Shen, W.; Guo, G.; Lin, J. A method of convolutional neural network based on frequency segmentation for monitoring the state of wind turbine blades. Theor. Appl. Mech. Lett. 2023, 13, 100479. [Google Scholar] [CrossRef]
- Sharma, S.; Nava, V. Condition monitoring of mooring systems for Floating Offshore Wind Turbines using Convolutional Neural Network framework coupled with Autoregressive coefficients. Ocean Eng. 2024, 302, 117650. [Google Scholar] [CrossRef]
- Taghinezhad, J.; Sheidaei, S. Prediction of operating parameters and output power of ducted wind turbine using artificial neural networks. Energy Rep. 2022, 8, 3085–3095. [Google Scholar] [CrossRef]
- Ren, C.; Xing, Y. An efficient active learning Kriging approach for expected fatigue damage assessment applied to wind turbine structures. Ocean Eng. 2024, 305, 118034. [Google Scholar] [CrossRef]
- Vera-Tudela, L.; Kühn, M. Analysing wind turbine fatigue load prediction: The impact of wind farm flow conditions. Renew. Energy 2017, 107, 352–360. [Google Scholar] [CrossRef]
- Dolatabadi, A.; Abdeltawab, H.; Mohamed, Y.A.-R.I. Deep Spatial-Temporal 2-D CNN-BLSTM Model for Ultrashort-Term LiDAR-Assisted Wind Turbine’s Power and Fatigue Load Forecasting. IEEE Trans. Ind. Inform. 2022, 18, 2342–2353. [Google Scholar] [CrossRef]
- He, R.; Yang, H.; Sun, S.; Lu, L.; Sun, H.; Gao, X. A machine learning-based fatigue loads and power prediction method for wind turbines under yaw control. Appl. Energy 2022, 326, 120013. [Google Scholar] [CrossRef]
- Ren, C.; Xing, Y. AK-MDAmax: Maximum fatigue damage assessment of wind turbine towers considering multi-location with an active learning approach. Renew. Energy 2023, 215, 118977. [Google Scholar] [CrossRef]
- Avendaño-Valencia, L.D.; Abdallah, I.; Chatzi, E. Virtual fatigue diagnostics of wake-affected wind turbine via Gaussian Process Regression. Renew. Energy 2021, 170, 539–561. [Google Scholar] [CrossRef]
- Zhu, D.; Ding, Z.; Huang, X. Probabilistic model for fatigue damage estimation of wind turbines with hidden markov model and neural network. Ocean Eng. 2024, 310, 118663. [Google Scholar] [CrossRef]
- AlShannaq, H.; Aly, A.M. Review of Artificial Neural Networks for Wind Turbine Fatigue Prediction. SDHM Struct. Durab. Health Monit. 2024, 18, 707–737. [Google Scholar] [CrossRef]
- Kim, H.-J.; Jang, B.-S.; Park, C.-K.; Bae, Y.H. Fatigue analysis of floating wind turbine support structure applying modified stress transfer function by artificial neural network. Ocean Eng. 2018, 149, 113–126. [Google Scholar] [CrossRef]
- Ziane, K.; Ilinca, A.; Karganroudi, S.S.; Dimitrova, M. Neural Network Optimization Algorithms to Predict Wind Turbine Blade Fatigue Life under Variable Hygrothermal Conditions. Eng 2021, 2, 278–295. [Google Scholar] [CrossRef]
- Luna, J.; Falkenberg, O.; Gros, S.; Schild, A. Wind turbine fatigue reduction based on economic-tracking NMPC with direct ANN fatigue estimation. Renew. Energy 2020, 147, 1632–1641. [Google Scholar] [CrossRef]
- Wang, Y.; Liu, Z. Fatigue analysis of wind turbine and load reduction through wind-farm-level yaw control. Energy 2025, 326, 136266. [Google Scholar] [CrossRef]
- Babbar, S.; Lau, C. Medium term wind speed forecasting using combination of linear and nonlinear models. Solid State Technol. 2020, 63, 874–882. [Google Scholar]
- Deng, Z.; Zhang, X.; Li, Z.; Yang, J.; Lv, X.; Wu, Q.; Zhu, B. Probabilistic prediction of wind power based on improved Bayesian neural network. Front. Energy Res. 2024, 11, 1309778. [Google Scholar] [CrossRef]
- Blfgeh, A.; Alkhudhayr, H. A Machine Learning-Based Sustainable Energy Management of Wind Farms Using Bayesian Recurrent Neural Network. Sustainability 2024, 16, 8426. [Google Scholar] [CrossRef]
- Natarajan, A. Damage equivalent load synthesis and stochastic extrapolation for fatigue life validation. Wind Energy Sci. 2022, 7, 1171–1181. [Google Scholar] [CrossRef]
- IEC 61400-1; Design Requirements for Wind Turbines. International Electrotechnical Commission: Geneva, Switzerland, 2005.
- Sun, J.; Chen, Z.; Yu, H.; Gao, S.; Wang, B.; Ying, Y.; Sun, Y.; Qian, P.; Zhang, D.; Si, Y. Quantitative evaluation of yaw-misalignment and aerodynamic wake induced fatigue loads of offshore Wind turbines. Renew. Energy 2022, 199, 71–86. [Google Scholar] [CrossRef]
- Kalogirou, S.A. Artificial neural networks in renewable energy systems applications: A review. Renew. Sustain. Energy Rev. 2001, 5, 373–401. [Google Scholar] [CrossRef]
- Lampinen, J.; Vehtari, A. Bayesian approach for neural networks—Review and case studies. Neural Netw. 2001, 14, 257–274. [Google Scholar] [CrossRef]
- Linka, K.; Holzapfel, G.A.; Kuhl, E. Discovering uncertainty: Bayesian constitutive artificial neural networks. Comput. Methods Appl. Mech. Eng. 2025, 433, 117517. [Google Scholar] [CrossRef]
- Kucukelbir, A.; Ranganath, R.; Gelman, A.; Blei, D.M. Automatic variational inference in Stan. In Proceedings of the 28th International Conference on Neural Information Processing Systems-Volume 1, Montreal, QC, Canada, 8–13 December 2014; MIT Press: Cambridge, MA, USA, 2015; pp. 568–576. [Google Scholar]









| Wind Turbine Model | IEA-15-240-RWT |
|---|---|
| Class | IB |
| Rotor Diameter (m) | 241.94 |
| Hub Height (m) | 150 |
| Rated Power (kW) | 15,000 |
| Rated Wind Speed (m/s) | 10.59 |
| Cut-in/Cut-out Wind Speed (m/s) | 3/25 |
| Rated Speed (rpm) | 7.56 |
| Turbine Type | Direct Drive |
| Parameter | Value |
|---|---|
| Wind speed | 3–25 m/s |
| Turbulence intensity | 0.12, 0.14, 0.16 |
| Yaw angle | 0°, ±2°, ±4°, ±6°, ±8°, ±10°, ±12°, ±14°, ±16°, ±18°, ±20°, ±22°, ±24°, ±26°, ±28°, ±30° |
| Number of Hidden Layers | Number of Neurons | Activation Function | Optimizer | |
|---|---|---|---|---|
| 4 | 50, 40, 30, 20 | PReLU | Adam | |
| Noise Value | Learning Rate | Training Epochs | Sampling Times | Batch Size |
| 0.0007 | 0.001 | 20,000 | 2 | 10 |
| Load | ANN | BNN | ||||
|---|---|---|---|---|---|---|
| RMSE | MAPE | R2 | RMSE | MAPE | R2 | |
| BrFZ | 0.0230 | 0.4760% | 0.9696 | 0.0087 | 0.1497% | 0.9960 |
| BrMX | 0.0169 | 0.2807% | 0.8503 | 0.0055 | 0.0884% | 0.9787 |
| BrMY | 0.0284 | 0.4722% | 0.9917 | 0.0121 | 0.1741% | 0.9987 |
| TbFX | 0.0286 | 0.6391% | 0.9795 | 0.0107 | 0.2016% | 0.9948 |
| TbFY | 0.0545 | 1.455% | 0.8551 | 0.0105 | 0.2324% | 0.9671 |
| TbMX | 0.0620 | 0.9678% | 0.8350 | 0.0165 | 0.1896% | 0.9707 |
| TbMY | 0.0330 | 0.4784% | 0.9736 | 0.0135 | 0.1506% | 0.9964 |
| YbFX | 0.0295 | 0.6749% | 0.9823 | 0.0139 | 0.2532% | 0.9967 |
| YbFY | 0.0590 | 1.659% | 0.8433 | 0.0138 | 0.2620% | 0.9730 |
| YbMZ | 0.0216 | 0.3658% | 0.9898 | 0.0116 | 0.1751% | 0.9967 |
Disclaimer/Publisher’s Note: The statements, opinions and data contained in all publications are solely those of the individual author(s) and contributor(s) and not of MDPI and/or the editor(s). MDPI and/or the editor(s) disclaim responsibility for any injury to people or property resulting from any ideas, methods, instructions or products referred to in the content. |
© 2025 by the authors. Licensee MDPI, Basel, Switzerland. This article is an open access article distributed under the terms and conditions of the Creative Commons Attribution (CC BY) license (https://creativecommons.org/licenses/by/4.0/).
Share and Cite
Jia, H.; Zou, J.; Gao, H.; Lan, S.; Sun, X.; Zhang, Q.; Xing, Y.; Liu, B.; He, W. A Neural Network-Based Method for Predicting Wind Turbine Fatigue Loads. Appl. Sci. 2025, 15, 12992. https://doi.org/10.3390/app152412992
Jia H, Zou J, Gao H, Lan S, Sun X, Zhang Q, Xing Y, Liu B, He W. A Neural Network-Based Method for Predicting Wind Turbine Fatigue Loads. Applied Sciences. 2025; 15(24):12992. https://doi.org/10.3390/app152412992
Chicago/Turabian StyleJia, Haikun, Jinluo Zou, Hongjun Gao, Shuzhao Lan, Xing Sun, Quan Zhang, Yihua Xing, Bo Liu, and Wei He. 2025. "A Neural Network-Based Method for Predicting Wind Turbine Fatigue Loads" Applied Sciences 15, no. 24: 12992. https://doi.org/10.3390/app152412992
APA StyleJia, H., Zou, J., Gao, H., Lan, S., Sun, X., Zhang, Q., Xing, Y., Liu, B., & He, W. (2025). A Neural Network-Based Method for Predicting Wind Turbine Fatigue Loads. Applied Sciences, 15(24), 12992. https://doi.org/10.3390/app152412992

