In Situ Permeability Measurements and Impedance Spectroscopy for Assessing Separation Performance and Nano-Structure in CO2-Selective Polymeric Mixed-Matrix Membrane
Abstract
1. Introduction
2. Materials and Methods
2.1. Mixed-Matrix Membrane Preparation
2.2. In Situ Gas Separation—Impedance Measurements
3. Results and Discussion
3.1. Gas Permeance/Selectivity Measurements
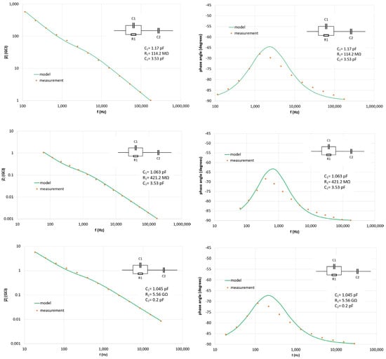
3.2. Electric Impedance Spectroscopy
4. Conclusions and Future Prospects
Author Contributions
Funding
Data Availability Statement
Acknowledgments
Conflicts of Interest
Abbreviations
| CA | Contact angle |
| CCS | Carbon capture and storage |
| CLSM | Confocal laser scanning microscopy |
| DO | Direct observation |
| FID | Flame ionization detector |
| GNP | Graphene nanoplatelet |
| HIM | Helium-ion microscopy |
| HF | Hollow fiber |
| MMM | Mixed-matrix membrane |
| NG | Natural gas |
| NMP | N-Methyl-2-pyrrolidone |
| SEM | Scanning electron microscopy |
| TCD | Thermal conductivity detector |
| GBL | γ-Butyrolactone |
References
- Ghasem, N. CO2 removal from natural gas. In Advances in Carbon Capture; Rahimpour, M.R., Farsi, M., Makarem, M.A., Eds.; Woodhead Publishing: Sawston, UK, 2020; pp. 479–501. [Google Scholar] [CrossRef]
- Kadirkhan, F.; Goh, P.S.; Ismail, A.F.; Wan Mustapa, W.N.F.; Halim, M.H.M.; Soh, W.K.; Yeo, S.Y. Recent Advances of Polymeric Membranes in Tackling Plasticization and Aging for Practical Industrial CO2/CH4 Applications—A Review. Membranes 2022, 12, 71. [Google Scholar] [CrossRef] [PubMed]
- Adewole, J.K.; Sultan, A.S. Polymeric Membranes for Natural Gas Processing: Polymer Synthesis and Membrane Gas Transport Properties. In Functional Polymers; Mazumder, M.A.J., Sheardown, H., Al-Ahmed, A., Eds.; Springer: Cham, Switzerland, 2019; pp. 1–37. [Google Scholar] [CrossRef]
- He, X. Membranes for Natural Gas Sweetening. In Encyclopedia of Membranes; Drioli, E., Giorno, L., Eds.; Springer: Berlin/Heidelberg, Germany, 2016; pp. 1266–1267. [Google Scholar] [CrossRef]
- Chen, X.Y.; Vinh-Thang, H.; Ramirez, A.A.; Rodrigue, D.; Kaliaguine, S. Membrane gas separation technologies for biogas upgrading. RSC Adv. 2015, 5, 24399. [Google Scholar] [CrossRef]
- Baena-Moreno, F.M.; le Saché, E.; Pastor-Pérez, L.; Reina, T.R. Membrane-based technologies for biogas upgrading: A review. Environ. Chem. Lett. 2020, 18, 1649–1658. [Google Scholar] [CrossRef]
- Brunetti, A.; Lei, L.; Avruscio, E.; Karousos, D.S.; Lindbråthen, A.; Kouvelos, E.P.; He, X.; Favvas, E.P.; Barbieri, G. Long-term performance of highly selective carbon hollow fiber membranes for biogas upgrading in the presence of H2S and water vapor. Chem. Eng. J. 2022, 448, 137615. [Google Scholar] [CrossRef]
- Mirza, N.; Kearns, D. State of the Art: CCS Technologies; Technical Report; Global CCS Institute: Tokyo, Japan, 2022. [Google Scholar]
- Stefanopoulos, K.L.; Favvas, E.P.; Karanikolos, G.N.; Alameri, W.; Kelessidis, V.C.; Youngs, T.G.A.; Bowron, D.T. Monitoring the CO2 Enhanced Oil Recovery Process at the Nanoscale: An In-Situ Neutron Scattering Study. Energy Adv. 2022, 1, 67–75. [Google Scholar] [CrossRef]
- National Academies of Sciences, Engineering, and Medicine. Sequestration of Supercritical CO2 in Deep Sedimentary Geological Formations. In Negative Emissions Technologies and Reliable Sequestration: A Research Agenda; The National Academies Press: Washington, DC, USA, 2019; pp. 319–350. [Google Scholar] [CrossRef]
- Karousos, D.S.; Theodorakopoulos, G.V.; He, X.; Romanos, G.E.; Brunetti, A.; Favvas, E.P. A comprehensive review of pristine Pebax-1657 membranes for CO2 gas separations. Chem. Eng. J. 2025, 170938. [Google Scholar] [CrossRef]
- Herzig, A.; Johlitz, M.; Lion, A. Ageing Phenomena in Polymers: A Short Survey. In Adhesive Joints: Ageing and Durability of Epoxies and Polyurethanes, 1st ed.; Possart, W., Brede, M., Eds.; Wiley-VCH Verlag GmbH & Co. KGaA: Weinheim, Germany, 2019; pp. 169–204. [Google Scholar]
- Domininghaus, H. Kunststoffe: Eigenschaften und Anwendungen, 8th ed.; Springer: Berlin/Heidelberg, Germany, 2012; pp. 1–1494. [Google Scholar]
- Volkov, A. Membrane Compaction. In Encyclopedia of Membranes; Drioli, E., Giorno, L., Eds.; Springer: Berlin/Heidelberg, Germany, 2014; pp. 1–2. [Google Scholar] [CrossRef]
- Sutrisna, P.D.; Hou, J.; Li, H.; Zhang, Y.; Chen, V. Improved operational stability of Pebax-based gas separation membranes with ZIF-8: A comparative study of flat sheet and composite hollow fibre membranes. J. Membr. Sci. 2017, 524, 266–279. [Google Scholar] [CrossRef]
- Wu, Z.; Liu, X.; Ma, C.; Du, M.; Ding, X.; Xiang, C. Polymer Additives with Gas Barrier and Anti-Aging Properties Made from Asphaltenes via Supercritical Ethanol. Adv. Sci. 2024, 11, 2307619. [Google Scholar] [CrossRef]
- Pazani, F.; Aroujalian, A. Enhanced CO2-selective behavior of Pebax-1657: A comparative study between the influence of graphene-based fillers. Polym. Test. 2020, 81, 106264. [Google Scholar] [CrossRef]
- Theodorakopoulos, G.V.; Karousos, D.S.; Mansouris, K.G.; Sapalidis, A.A.; Kouvelos, E.P.; Favvas, E.P. Graphene nanoplatelets based polyimide/Pebax dual-layer mixed matrix hollow fiber membranes for CO2/CH4 and He/N2 separations. Int. J. Greenh. Gas Control 2022, 114, 103588. [Google Scholar] [CrossRef]
- Farashi, Z.; Azizi, S.; Arzhandi, M.R.-D.; Noroozi, Z.; Azizi, N. Improving CO2/CH4 separation efficiency of Pebax-1657 membrane by adding Al2O3 nanoparticles in its matrix. J. Nat. Gas Sci. Eng. 2019, 72, 103019. [Google Scholar] [CrossRef]
- Visser, T.; Masetto, N.; Wessling, M. Materials dependence of mixed gas plasticization behavior in asymmetric membranes. J. Membr. Sci. 2007, 306, 16–28. [Google Scholar] [CrossRef]
- Wang, S.; Liu, Y.; Huang, S.; Wu, H.; Li, Y.; Tian, Z.; Jiang, Z. Pebax–PEG–MWCNT hybrid membranes with enhanced CO2 capture properties. J. Membr. Sci. 2014, 460, 62–70. [Google Scholar] [CrossRef]
- Car, A.; Stropnik, C.; Yave, W.; Peinemann, K.-V. Pebax®/polyethylene glycol blend thin film composite membranes for CO2 separation: Performance with mixed gases. Sep. Purif. Technol. 2008, 62, 110–117. [Google Scholar] [CrossRef]
- Reijerkerk, S.R.; Knoef, M.H.; Nijmeijer, K.; Wessling, M. Poly(ethylene glycol) and poly(dimethyl siloxane): Combining their advantages into efficient CO2 gas separation membranes. J. Membr. Sci. 2010, 352, 126–135. [Google Scholar] [CrossRef]
- Aqilah, N.; Fauzan, B.; Mukhtar, H.; Nasir, R. Composite amine mixed matrix membranes for high- pressure CO2–CH4 separation: Synthesis, characterization and performance evaluation. R. Soc. Open Sci. 2020, 7, 200795. [Google Scholar]
- Ma, X.; Swaidan, R.; Belmabkhout, Y.; Zhu, Y.; Litwiller, E.; Jouiad, M.; Pinnau, I.; Han, Y. Synthesis and Gas Transport Properties of Hydroxyl-Functionalized Polyimides with Intrinsic Microporosity. Macromolecules 2012, 45, 3841–3849. [Google Scholar] [CrossRef]
- Schmeling, N.; Konietzny, R.; Sieffert, D.; Rölling, P.; Staudt, C. Functionalized copolyimide membranes for the separation of gaseous and liquid mixtures. Beilstein J. Org. Chem. 2010, 6, 789–800. [Google Scholar] [CrossRef]
- Li, X.; Mo, Y.; Li, J.; Guo, W.; Ngo, H.K. In-situ monitoring techniques for membrane fouling and local filtration characteristics in hollow fiber membrane processes: A critical review. J. Membr. Sci. 2017, 528, 187–200. [Google Scholar] [CrossRef]
- Rudolph, G.; Virtanen, T.; Ferrando, M.; Güell, C.; Lipnizki, F.; Kallioinen, M. A review of in situ real-time monitoring techniques for membrane fouling in the biotechnology, biorefinery and food sectors. J. Membr. Sci. 2019, 588, 117221. [Google Scholar] [CrossRef]
- Bakhtin, D.S.; Sokolov, S.E.; Borisov, I.L.; Volkov, V.V.; Volkov, A.V.; Samoilov, V.O. Mitigation of Physical Aging of Polymeric Membrane Materials for Gas Separation: A Review. Membranes 2023, 13, 519. [Google Scholar] [CrossRef]
- Liu, J.; Xue, P.; Yan, X.; Qi, N.; Chen, Z.; Wang, Z.; Li, N. In situ monitoring of nonlinear physical aging and anti-aging in polymer-based separation membranes. J. Membr. Sci. 2025, 727, 124054. [Google Scholar] [CrossRef]
- DuToit, M.; Ngaboyamahina, E.; Wiesner, M. Pairing electrochemical impedance spectroscopy with conducting membranes for the in situ characterization of membrane fouling. J. Membr. Sci. 2021, 618, 118680. [Google Scholar] [CrossRef]
- Joshi, S.G.; Childress, A.E.; McGaughey, A.L. Onset, rate, and depth of wetting front progression in membrane distillation. J. Membr. Sci. 2025, 713, 123253. [Google Scholar] [CrossRef]
- Huisman, K.T.; Blankert, B.; Horn, H.; Wagner, M.; Vrouwenvelder, J.S.; Bucs, S.; Fortunato, L. Noninvasive monitoring of fouling in membrane processes by optical coherence tomography: A review. J. Membr. Sci. 2024, 692, 122291. [Google Scholar] [CrossRef]
- Lay, H.T.; Chew, J.W. Critical flux of colloidal foulant in microfiltration: Effect of organic solvent. J. Membr. Sci. 2020, 616, 118531. [Google Scholar] [CrossRef]
- Suwarno, S.R.; Chen, X.; Chong, T.H.; McDougald, D.; Cohen, Y.; Rice, S.A.; Fane, A.G. Biofouling in reverse osmosis processes: The roles of flux, crossflow velocity and concentration polarization in biofilm development. J. Membr. Sci. 2014, 467, 116–125. [Google Scholar] [CrossRef]
- Kim, L.H.; Bucs, S.S.; Witkamp, G.-J.; Vrouwenvelder, J.S. Organic composition in feed solution of forward osmosis membrane systems has no impact on the boron and water flux but reduces scaling. J. Membr. Sci. 2020, 611, 118306. [Google Scholar] [CrossRef]
- Joens, M.S.; Huynh, C.; Kasuboski, J.M.; Ferranti, D.; Sigal, Y.J.; Zeitvogel, F.; Obst, M.; Burkhardt, C.J.; Curran, K.P.; Chalasani, S.H.; et al. Helium Ion Microscopy (HIM) for the imaging of biological samples at sub-nanometer resolution. Sci. Rep. 2013, 3, 3514. [Google Scholar] [CrossRef]
- Gode, P.; Lindbergh, G.; Sundholm, G. In-situ measurements of gas permeability in fuel cell membranes using a cylindrical microelectrode. J. Electroanal. Chem. 2002, 518, 115–122. [Google Scholar] [CrossRef]
- Lazik, D.; Ebert, S.; Leuthold, M.; Hagenau, J.; Geistlinger, H. Membrane Based Measurement Technology for in situ Monitoring of Gases in Soil. Sensors 2009, 9, 756–767. [Google Scholar] [CrossRef]
- Craster, B.; Jones, T.G.J. Permeation of a Range of Species through Polymer Layers under Varying Conditions of Temperature and Pressure: In Situ Measurement Methods. Polymers 2019, 11, 1056. [Google Scholar] [CrossRef]
- Zhao, B.; Zhang, X.; Deng, J.; Zhang, C.; Li, Y.; Guo, X.; Zhang, R. Flexible PEBAX/graphene electromagnetic shielding composite films with a negative pressure effect of resistance for pressure sensors applications. RSC Adv. 2020, 10, 1535–1543. [Google Scholar] [CrossRef]
- Zotti, A.; Zuppolini, S.; Borriello, A.; Zarrelli, M. Polymer nanocomposites based on Graphite Nanoplatelets and amphiphilic graphene platelets. Compos. B Eng. 2022, 246, 110223. [Google Scholar] [CrossRef]
- Yee, K.; Ghayesh, M.H. A review on the mechanics of graphene nanoplatelets reinforced structures. Int. J. Eng. Sci. 2023, 186, 103831. [Google Scholar] [CrossRef]
- Kazi, S.N.; Badarudin, A.; Zubir, M.N.M.; Ming, H.N.; Misran, M.; Sadeghinezhad, E.; Mehrali, M.; Syuhada, N.I. Investigation on the use of graphene oxide as novel surfactant to stabilize weakly charged graphene nanoplatelets. Nanoscale Res. Lett. 2015, 10, 212. [Google Scholar] [CrossRef]
- Cataldi, P.; Athanassiou, A.; Bayer, I.S. Graphene Nanoplatelets-Based Advanced Materials and Recent Progress in Sustainable Applications. Appl. Sci. 2018, 8, 1438. [Google Scholar] [CrossRef]
- Chiou, Y.-C.; Chou, H.-Y.; Shen, M.-Y. Effects of adding graphene nanoplatelets and nanocarbon aerogels to epoxy resins and their carbon fiber composites. Mater. Des. 2019, 178, 107869. [Google Scholar] [CrossRef]
- Theodorakopoulos, G.V.; Karousos, D.S.; Benra, J.; Forero, S.; Hammerstein, R.; Sapalidis, A.A.; Katsaros, F.K.; Schubert, T.; Favvas, E.P. Well-established carbon nanomaterials: Modification, characterization and dispersion study at different solvents. J. Mater. Sci. 2024, 59, 3339–3362. [Google Scholar] [CrossRef]
- Vasileiou, A.N.; Theodorakopoulos, G.V.; Karousos, D.S.; Bouroushian, M.; Sapalidis, A.A.; Favvas, E.P. Nanocarbon-Based Mixed Matrix Pebax-1657 Flat Sheet Membranes for CO2/CH4 Separation. Membranes 2023, 13, 470. [Google Scholar] [CrossRef]
- Karousos, D.S.; Lei, L.; Lindbråthen, A.; Sapalidis, A.A.; Kouvelos, E.P.; He, X.; Favvas, E.P. Cellulose-based carbon hollow fiber membranes for high-pressure mixed gas separation of CO2/CH4 and CO2/N2. Sep. Purif. Technol. 2020, 253, 117473. [Google Scholar] [CrossRef]
- Macdonald, J.R.; Garber, J.A. Analysis of Impedance and Admittance Data for Solids and Liquids. J. Electrochem. Soc. 1977, 124, 1022. [Google Scholar] [CrossRef]
- Tena, A.; Shishatskiy, S.; Filiz, V. Poly(ether–amide) vs. poly(ether–imide) copolymers for post-combustion membrane separation processes. RSC Adv. 2015, 5, 22310–22318. [Google Scholar] [CrossRef]
- Khayet, M. The effects of air gap length on the internal and external morphology of hollow fiber membranes. Chem. Eng. Sci. 2003, 58, 3091–3104. [Google Scholar] [CrossRef]
- Liang, C.Z.; Yong, W.F.; Chung, T.-S. High-performance composite hollow fiber membrane for flue gas and air separations. J. Membr. Sci. 2017, 541, 367–377. [Google Scholar] [CrossRef]
- Xiang, L.; Pan, Y.; Jiang, J.; Chen, Y.; Chen, J.; Zhang, L.; Wang, C. Thin poly(ether-block-amide)/attapulgite composite membranes with improved CO2 permeance and selectivity for CO2/N2 and CO2/CH4. Chem. Eng. Sci. 2017, 160, 236–244. [Google Scholar] [CrossRef]
- Bernardo, P.; Drioli, E.; Golemme, G. Membrane gas separation: A review/state of the art. Ind. Eng. Chem. Res. 2009, 48, 4638–4663. [Google Scholar] [CrossRef]
- Zhang, Z.; Wei, J.; Deng, M.; Yang, L.; Yao, L.; Jiang, W.; He, X.; Wang, K.; Tang, J.; Tang, B.; et al. A pragmatic thermal treatment strategy for improved gas separation in 2D zeolite-based mixed matrix membranes. Sep. Purif. Technol. 2025, 370, 133246. [Google Scholar] [CrossRef]
- Mogbojuri, G.; Abtahi, S.; Hendeniya, N.; Chang, B. The Effects of Chain Conformation and Nanostructure on the Dielectric Properties of Polymers. Materials 2025, 18, 198. [Google Scholar] [CrossRef]
- Chu, K.; Lee, S.-C.; Lee, S.; Kim, D.; Moon, C.; Park, S.-H. Smart conducting polymer composites having zero temperature coefficient of resistance. Nanoscale 2015, 7, 471–478. [Google Scholar] [CrossRef]
- Cui, X.; Chen, J.; Zhu, Y.; Jiang, W. Lightweight and conductive carbon black/chlorinated poly(propylene carbonate) foams with a remarkable negative temperature coefficient effect of resistance for temperature sensor applications. J. Mater. Chem. C. 2018, 6, 9354–9362. [Google Scholar] [CrossRef]
- Nistal, A.; Garcia, E.; Pérez -Coll, D.; Prieto, C.; Belmonte, M.; Osendi, M.I.; Miranzo, P. Low percolation threshold in highly conducting graphene nanoplatelets/glass composite coatings. Carbon 2018, 139, 556–563. [Google Scholar] [CrossRef]
- Ge, N.; Banerjee, R.; Muirhead, D.; Lee, J.; Liu, H.; Shrestha, P.; Wong, A.K.C.; Jankovic, J.; Tam, M.; Susac, D.; et al. Membrane dehydration with increasing current density at high inlet gas relative humidity in polymer electrolyte membrane fuel cells. J. Power Sources 2019, 422, 163–174. [Google Scholar] [CrossRef]






| GNPs (wt% Based on Polymer) | 1 |
| Dope solution (P84/NMP/GBL/GNPs, wt%) | 20.93/37.75/41.08/0.24 |
| Bore fluid (GBL/H2O, % v/v) | 70/30 |
| Qdope flow rate (mL/min) | 2 |
| Qbore fluid flow rate (mL/min) | 0.83 |
| Air gap (cm) | 11 |
| Dope solution temperature (°C) | 26.5 |
| Coagulation bath temperature (°C) | 25 |
| Take-up velocity (m/min) | 3.05 |
| State | CO2/CH4 Selectivity | CO2% v/v (Permeate) | C1 (pF) | R1 (MΩ) | C2 (pF) | fp (Hz) |
|---|---|---|---|---|---|---|
| M0 | 61.42 ± 0.60 | 1.71 | min: 1.136 ± 0.012 | min: 95.9 ± 0.93 | 3.53 | 1250 ± 600 |
| max: 1.205 ± 0.012 | max: 147 ± 1.22 | |||||
| M1 | 21.98 ± 0.40 | 1.14 | min: 1.056 ± 0.003 | min: 402 ± 12.2 | 3.53 | 340 ± 30 |
| max: 1.071 ± 0.003 | max: 435 ± 13.4 | |||||
| M2 | 68.47 ± 1.00 | 0.93 | min: 1.040 ± 0.004 | min: 5390 ± 56 | 0.20 | 115 ± 20 |
| max: 1.090 ± 0.004 | max: 5700 ± 60 |
Disclaimer/Publisher’s Note: The statements, opinions and data contained in all publications are solely those of the individual author(s) and contributor(s) and not of MDPI and/or the editor(s). MDPI and/or the editor(s) disclaim responsibility for any injury to people or property resulting from any ideas, methods, instructions or products referred to in the content. |
© 2025 by the authors. Licensee MDPI, Basel, Switzerland. This article is an open access article distributed under the terms and conditions of the Creative Commons Attribution (CC BY) license (https://creativecommons.org/licenses/by/4.0/).
Share and Cite
Karousos, D.S.; Maistros, G.; Theodorakopoulos, G.V.; Gotzias, A.; Sapalidis, A.A.; Barbe, S.; Favvas, E.P. In Situ Permeability Measurements and Impedance Spectroscopy for Assessing Separation Performance and Nano-Structure in CO2-Selective Polymeric Mixed-Matrix Membrane. Appl. Sci. 2025, 15, 12799. https://doi.org/10.3390/app152312799
Karousos DS, Maistros G, Theodorakopoulos GV, Gotzias A, Sapalidis AA, Barbe S, Favvas EP. In Situ Permeability Measurements and Impedance Spectroscopy for Assessing Separation Performance and Nano-Structure in CO2-Selective Polymeric Mixed-Matrix Membrane. Applied Sciences. 2025; 15(23):12799. https://doi.org/10.3390/app152312799
Chicago/Turabian StyleKarousos, Dionysios S., George Maistros, George V. Theodorakopoulos, Anastasios Gotzias, Andreas A. Sapalidis, Stéphan Barbe, and Evangelos P. Favvas. 2025. "In Situ Permeability Measurements and Impedance Spectroscopy for Assessing Separation Performance and Nano-Structure in CO2-Selective Polymeric Mixed-Matrix Membrane" Applied Sciences 15, no. 23: 12799. https://doi.org/10.3390/app152312799
APA StyleKarousos, D. S., Maistros, G., Theodorakopoulos, G. V., Gotzias, A., Sapalidis, A. A., Barbe, S., & Favvas, E. P. (2025). In Situ Permeability Measurements and Impedance Spectroscopy for Assessing Separation Performance and Nano-Structure in CO2-Selective Polymeric Mixed-Matrix Membrane. Applied Sciences, 15(23), 12799. https://doi.org/10.3390/app152312799

