Balancing Efficiency and Sustainability in Last-Mile Logistics: A Novel Multi-Truck Multi-Drone Collaborative Framework with Bi-Objective Optimization
Abstract
1. Introduction
- 1.
- Unified Multi-mode Framework
- 2.
- Problem-Oriented Evolutionary Solver with Adaptive Neighborhoods
- 3.
- Systematic Evaluation of the Efficiency–Sustainability Trade-off
2. Literature Review
3. Problem Definition and Mathematical Models
3.1. Unified Multi-Mode Framework
- Each truck begins and ends its route at the depot.
- Drones are carried by the trucks and can be launched and recovered at customer locations or the depot.
- A customer can be served by either a truck or a drone, but not both (exclusive service).
- All operations are subject to vehicle and drone payload capacities, energy/fuel limitations, and spatiotemporal synchronization for drone launch and recovery.
- Micro-operational factors such as drone landing area capacity, queuing and safety restrictions are not considered.
- 1.
- customer-related constraints:
- 2.
- truck-related constraints:
- 3.
- drone-related constraints:
- 4.
- truck–drone coordination constraints:
- 5.
- Routing Continuity Constraints:
- 6.
- Temporal Feasibility and Synchronization Constraints:
- 7.
- Resource Consumption Constraints:
- Customer-to-Mode Assignment (DoF 1): Decide whether each customer is served by a truck or a drone.
- Truck Customer Assignment (DoF 2): Assign customers designated for truck delivery to specific truck routes.
- Truck Customer Sequencing (DoF 3): Determine the visit order for customers on each truck’s route.
- Drone Customer Assignment (DoF 4): Assign customers designated for drone delivery to a specific “parent” truck.
- Drone Sortie Grouping (DoF 5): Group drone-served customers into feasible delivery sorties (i.e., which customers are served together by one drone trip).
- Drone Customer Sequencing (DoF 6): Determine the visit order for customers within a single drone sortie.
- Drone Launch/Recovery Node Selection (DoF 7): Specify the truck route nodes from which each drone sortie is launched and at which it is recovered.
3.2. Objective Functions
- 1.
- minimizing the total completion time
- 2.
- minimizing total carbon emissions
4. The Solution Process Based on the NSGA-II Algorithm Combined with Variable Neighbourhood Descent
- Exploitation: It intensifies the local search around promising solutions generated by NSGA-II, refining solution quality and accelerating convergence toward the Pareto front.
- Structural Refinement: It applies a set of tailored neighborhood operators that effectively handle the intricate constraints of vehicle–drone coordination—operations that conventional crossover and mutation cannot readily achieve.
4.1. Encoding Scheme
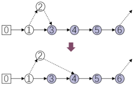
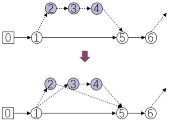
4.2. Neighborhood Structures
- Recovery Node Relocation
- 2.
- Sortie Grouping
4.3. NSGA-II Framework with an Innovative Variable Neighborhood Mechanism
| Algorithm 1. Pseudocode for the neighbourhood process. |
| function P = OverallNeighborhoodSearch(P, Mode, Params) |
| % Overall neighborhood search based on operation mode |
| switch Mode |
| case 1 % Single vehicle–single drone |
| P = RechooseRecovery(P, Params); |
| case {2,3} % Single vehicle–multi drone/Multi vehicle–multi drone |
| % Step 1. Split routes |
| SubRoutes = SplitRoute(P, Mode, Params); |
| % Step 2. Traverse subroutes and apply neighborhood operations |
| for r = 1:length(SubRoutes) |
| feasibledrones = CountAvailableDrones(SubRoutes{r}, Params); |
| if feasibledrones > 0 |
| SubRoutes{r} = RechooseRecovery(SubRoutes{r},Params, feasibleUAVs); |
| end |
| end |
| % Step 3. Merge updated subroutes |
| NewP = MergeSubRoutes(SubRoutes, Params); |
| % Step 4. Update solution if domination holds |
| if Dominates(NewP, P), P = NewP; end |
| end |
| end |
5. Experiments and Analyses
5.1. Dataset Instances
- Clustered (C-type): Customers grouped in distinct clusters.
- Random (R-type): Customers randomly distributed across the service area.
- Random–Clustered (RC-type): A hybrid pattern combining both clustered and random distributions.
5.2. Parameter Settings
5.3. Algorithm Performance and Effectiveness Verification
- Feasible solution ratio (%), measuring the robustness of constraint handling.
- Spacing metric (SP), reflecting solution uniformity and diversity along the Pareto front.
- Average hypervolume (HV), quantifying the overall quality and coverage of the obtained Pareto front. The results are summarized in Table 5.
5.4. Objective Conflict Analysis
5.5. Statistical Superiority Analysis on Combined Pareto Front
5.6. Multi-Objective Optimization Results Analysis
5.7. Sensitivity Analysis of Drone Fleet Size
- Impact on the Best-Compromise Solution (Small-Scale): For small-scale instances, where a single operational plan is often desired, we use TOPSIS to select the best-compromise solution from the Pareto front for each value of d. We then track the trajectory of this single point’s performance as the drone fleet grows.
- Impact on the Pareto Frontier (Large-Scale): For large-scale instances, a more strategic perspective is adopted. We analyze the shift of the entire Pareto front, particularly the improvements at the extreme points (the absolute minimum time and minimum emissions) as d increases.
6. Conclusions
Author Contributions
Funding
Data Availability Statement
Conflicts of Interest
Abbreviations
| VRP-D | Vehicle Routing Problem with Drones |
| DPR | Drone Participation Ratio |
| VND | Variable Neighborhood Descent |
| NSGA | Non-Dominated Sorting Genetic Algorithm |
| TOPSIS | Technique for Order Preference by Similarity to Ideal Solution |
| FSTSP | Flying Sidekick Traveling Salesman Problem |
| GNSR | Global Non-dominated Solutions Ratio |
References
- Tran, T.P.A.; Gavade, S.A. Evaluating sustainable last mile delivery solutions: A multi-criteria decision analysis. J. Supply Chain Manag. Sci. 2025, 6. [Google Scholar] [CrossRef]
- Yu, V.F.; Lin, S.-W.; Jodiawan, P.; Lai, Y.-C. Solving the flying sidekick traveling salesman problem by a simulated annealing heuristic. Mathematics 2023, 11, 4305. [Google Scholar] [CrossRef]
- Hokama, P.H.D.B.; Lintzmayer, C.N.; San Felice, M.C. A faster heuristic for the traveling salesman problem with drone. Optim. Lett. 2025, 19, 771–791. [Google Scholar] [CrossRef]
- Guo, J.; Song, R.; He, S. Vehicle and onboard UAV collaborative delivery route planning: Considering energy function with wind and payload. J. Syst. Eng. Electron. 2025, 36, 194–208. [Google Scholar] [CrossRef]
- Gacal, J.; Urera, M.; Cruz, D.E. Flying sidekick traveling salesman problem with pick-up and delivery and drone energy optimization. In Proceedings of the 2020 IEEE International Conference on Industrial Engineering and Engineering Management (IEEM), Singapore, 14–17 December 2020; pp. 1167–1171. [Google Scholar]
- Baldisseri, A.; Siragusa, C.; Seghezzi, A.; Mangiaracina, R.; Tumino, A. Truck-based drone delivery system: An economic and environmental assessment. Transp. Res. Part D Transp. Environ. 2022, 107, 103296. [Google Scholar] [CrossRef]
- Meng, Z.; Zhou, Y.; Li, E.Y.; Peng, X.; Qiu, R. Environmental and economic impacts of drone-assisted truck delivery under the carbon market price. J. Clean. Prod. 2023, 401, 136758. [Google Scholar] [CrossRef]
- Xiao, Q.; Gao, J. The Multi-Visit Vehicle Routing Problem with Drones under Carbon Trading Mechanism. Sustainability 2024, 16, 6145. [Google Scholar] [CrossRef]
- Zhu, L.; Wang, T.; Ma, X.; Yang, L.; Lou, X. Route optimization of green truck-drone collaborative delivery with multiple drops considering demand distribution. Int. J. Sustain. Transp. 2025, 19, 854–862. [Google Scholar] [CrossRef]
- Stolaroff, J.K.; Samaras, C.; O’Neill, E.R.; Lubers, A.; Mitchell, A.S.; Ceperley, D. Energy use and life cycle greenhouse gas emissions of drones for commercial package delivery. Nat. Commun. 2018, 9, 409. [Google Scholar] [CrossRef]
- Lu, Y.; Yang, C.; Yang, J. A multi-objective humanitarian pickup and delivery vehicle routing problem with drones. Ann. Oper. Res. 2022, 319, 291–353. [Google Scholar] [CrossRef]
- Freitas, J.C.; Penna, P.H.V.; Toffolo, T.A. Exact and heuristic approaches to drone delivery problems. arXiv 2021, arXiv:2108.01996. [Google Scholar] [CrossRef]
- Wu, G.; Mao, N.; Luo, Q.; Xu, B.; Shi, J.; Suganthan, P.N. Collaborative truck-drone routing for contactless parcel delivery during the epidemic. IEEE Trans. Intell. Transp. Syst. 2022, 23, 25077–25091. [Google Scholar] [CrossRef]
- Jeong, H.Y.; Lee, S. Drone routing problem with truck: Optimization and quantitative analysis. Expert Syst. Appl. 2023, 227, 120260. [Google Scholar] [CrossRef]
- Luo, Q.; Wu, G.; Ji, B.; Wang, L.; Suganthan, P.N. Hybrid multi-objective optimization approach with pareto local search for collaborative truck-drone routing problems considering flexible time windows. IEEE Trans. Intell. Transp. Syst. 2021, 23, 13011–13025. [Google Scholar] [CrossRef]
- Arishi, A.; Krishnan, K.; Arishi, M. Machine learning approach for truck-drones based last-mile delivery in the era of industry 4.0. Eng. Appl. Artif. Intell. 2022, 116, 105439. [Google Scholar] [CrossRef]
- Murray, C.C.; Chu, A.G. The flying sidekick traveling salesman problem: Optimization of drone-assisted parcel delivery. Transp. Res. Part C-Emerg. Technol. 2015, 54, 86–109. [Google Scholar] [CrossRef]
- Agatz, N.; Bouman, P.; Schmidt, M. Optimization approaches for the traveling salesman problem with drone. Transp. Sci. 2018, 52, 965–981. [Google Scholar] [CrossRef]
- Bouman, P.; Agatz, N.; Schmidt, M. Dynamic programming approaches for the traveling salesman problem with drone. Networks 2018, 72, 528–542. [Google Scholar] [CrossRef]
- Quang Minh, H.; Deville, Y.; Quang Dung, P.; Minh Hoang, H. On the min-cost Traveling Salesman Problem with Drone. Transp. Res. PART C Emerg. Technol. 2018, 86, 597–621. [Google Scholar]
- Wang, X.; Poikonen, S.; Golden, B. The Vehicle Routing Problem with Drones: Several Worst-Case Results. Optim. Lett. 2017, 11, 679–697. [Google Scholar] [CrossRef]
- Schermer, D.; Moeini, M.; Wendt, O. A matheuristic for the vehicle routing problem with drones and its variants. Transp. Res. Part C Emerg. Technol. 2019, 106, 166–204. [Google Scholar] [CrossRef]
- Poikonen, S.; Wang, X.; Golden, B. The vehicle routing problem with drones: Extended models and connections. Networks 2017, 70, 34–43. [Google Scholar] [CrossRef]
- Michelotto, F. An Exact and Heuristic Approach for the Traveling Salesman Problem with Drone and Variable Drone Speeds Selection. Available online: https://thesis.unipd.it/handle/20.500.12608/36505 (accessed on 19 September 2025).
- Liu, Z.; Li, X.; Khojandi, A. The flying sidekick traveling salesman problem with stochastic travel time: A reinforcement learning approach. Transp. Res. Part E Logist. Transp. Rev. 2022, 164, 102816. [Google Scholar] [CrossRef]
- Boccia, M.; Mancuso, A.; Masone, A.; Sterle, C. A feature based solution approach for the flying sidekick traveling salesman problem. In Proceedings of the International Conference on Mathematical Optimization Theory and Operations Research, Novosibirsk, Russia, 6–10 July 2021; pp. 131–146. [Google Scholar]
- Joo, J.; Lee, C. An Exact Algorithm for Robust Drone-Vehicle Routing Problem with Time Windows. Korean Inst. Ind. Eng. 2023, 2023, 939–983. [Google Scholar]
- Liu, Y.-Q.; Han, J.; Zhang, Y.; Li, Y.; Jiang, T. Multivisit drone-Vehicle Routing Problem with Simultaneous Pickup and Delivery Considering No-Fly Zones. Discret. Dyn. Nat. Soc. 2023, 2023, 1183764. [Google Scholar] [CrossRef]
- Han, J.; Liu, Y.; Li, Y. Vehicle routing problem with drones considering time windows and dynamic demand. Appl. Sci. 2023, 13, 13086. [Google Scholar] [CrossRef]
- Kuroswiski, A.R.; Pires, H.B.; Passaro, A.; Frutuoso, L.N.; Senne, E.L.F. Hybrid genetic algorithm and mixed integer linear programming for flying sidekick tsp. arXiv 2023, arXiv:2304.13832. [Google Scholar] [CrossRef]
- Dukkanci, O.; Kara, B.Y.; Bektas, T. The drone delivery problem. SSRN Electron. J. 2019, 10. [Google Scholar] [CrossRef]
- Madani, B.; Ndiaye, M. Traveling salesman problem with a moving depot: A mathematical formulation and a saving-based algorithm. In Proceedings of the AIP Conference Proceedings, Crete, Greece, 24–27 September 2024; p. 090010. [Google Scholar]
- Mao, N.; Wu, G.; Luo, Q.; Shi, J. A Variable Neighborhood Descent Method for Cooperative Delivery Routing Problem of Trucks and Drones. In Proceedings of the International Conference on Autonomous Unmanned Systems, Guangzhou, China, 6–8 December 2021; pp. 1537–1546. [Google Scholar]
- Lei, D.; Chen, X. An improved variable neighborhood search for parallel drone scheduling traveling salesman problem. Appl. Soft Comput. 2022, 127, 109416. [Google Scholar] [CrossRef]
- Mara, S.T.W.; Elsayed, S.; Essam, D.; Sarker, R. Vehicle routing problem for an integrated electric vehicles and drones system. In Proceedings of the International Conference on Intelligent Transport Systems, Lisbon, Portugal, 15–16 December 2022; pp. 197–214. [Google Scholar]
- Wang, K.; Yuan, B.; Zhao, M.; Lu, Y. Cooperative route planning for the drone and truck in delivery services: A bi-objective optimisation approach. J. Oper. Res. Soc. 2020, 71, 1657–1674. [Google Scholar] [CrossRef]
- Das, D.N.; Sewani, R.; Wang, J.; Tiwari, M.K. Synchronized truck and drone routing in package delivery logistics. IEEE Trans. Intell. Transp. Syst. 2020, 22, 5772–5782. [Google Scholar] [CrossRef]
- Zhang, S.; Liu, S.; Xu, W.; Wang, W. A novel multi-objective optimization model for the vehicle routing problem with drone delivery and dynamic flight endurance. Comput. Ind. Eng. 2022, 173, 108679. [Google Scholar] [CrossRef]
- Ma, J.; Ma, X.; Li, C.; Li, T. Vehicle-drone collaborative distribution path planning based on neural architecture search under the influence of carbon emissions. Discov. Comput. 2024, 27, 42. [Google Scholar] [CrossRef]
- Kuo, R.; Edbert, E.; Zulvia, F.E.; Lu, S.-H. Applying NSGA-II to vehicle routing problem with drones considering makespan and carbon emission. Expert Syst. Appl. 2023, 221, 119777. [Google Scholar] [CrossRef]
- Cheng, C.; Adulyasak, Y.; Rousseau, L.-M. Drone routing with energy function: Formulation and exact algorithm. Transp. Res. Part B Methodol. 2020, 139, 364–387. [Google Scholar] [CrossRef]
- Poikonen, S.; Golden, B. Multi-visit drone routing problem. Comput. Oper. Res. 2020, 113, 104802. [Google Scholar] [CrossRef]
- Windras Mara, S.T.; Rifai, A.P.; Sopha, B.M. An adaptive large neighborhood search heuristic for the flying sidekick traveling salesman problem with multiple drops. Expert Syst. Appl. 2022, 205, 117647. [Google Scholar] [CrossRef]













| Symbol | Meaning |
|---|---|
| The set of all nodes, , where 0 and n + 1 represent warehouses | |
| All customer points set, | |
| The set of all vehicles, | |
| The set of all drones, | |
| the set of demand quantities at customer points, |
| Symbol | Meaning |
|---|---|
| Distance from node to node | |
| The average speed of the vehicle | |
| The average speed of the drone | |
| Time of vehicle arrival at the node | |
| Time taken for the vehicle -launched drone to reach the node | |
| The rated payload of the drone | |
| Truck capacity | |
| The drone’s own weight | |
| The maximum energy of a drone battery | |
| The payload weight of the drone launched from vehicle at node upon reaching node | |
| The remaining energy of the drone launched from the vehicle at node upon reaching node | |
| The number of drones on each vehicle upon departure from the warehouse | |
| The maximum number of drones each vehicle can accommodate | |
| The number of drones deployed by vehicle along path | |
| Fuel consumption rate when vehicle travels from node to node | |
| Power emitted by the drone when flying from node to node upon launch from the vehicle | |
| Carbon dioxide emission factor for fuel used in vehicles | |
| Carbon dioxide emission factor for electricity used by drones | |
| A very large number |
| Symbol | Meaning |
|---|---|
| When the vehicle travels from node to node , it is 1; otherwise, it is 0. | |
| When the drone launched from vehicle travels from node to node , it is 1; otherwise, it is 0. | |
| When the vehicle has delivered to the node , the value is 1; otherwise, it is 0. | |
| When the drone launched from vehicle has delivered to the node , the value is 1; otherwise, it is 0. | |
| When the vehicle has no available drones at the node , it is 1; otherwise, it is 0. |
| Relevant Parameter | Exact Figure |
|---|---|
| Drone’s weight | 3 kg |
| Number of rotors | 6 |
| Rotor area | 0.0962 |
| g | 9.8 |
| Air density | 1.225 |
| Drone battery capacity | 385 × 3600 J |
| Maximum vehicle load | 200 kg |
| No-load fuel consumption rate | 0.2 |
| Full-load fuel consumption rate | 0.4 |
| Cooperation Model | Experiment Scale | Algorithm | Feasible Solution Ratio | SP | HV |
|---|---|---|---|---|---|
| Model 1 | small | NSGA-II | 86.3 | 0.367 | 125.43 |
| H-NSGA-II | 89.5 | 0.120 | 247.36 | ||
| middle | NSGA-II | 83.5 | 0.065 | 1794.16 | |
| H-NSGA-II | 84.5 | 0.005 | 2191.32 | ||
| big | NSGA-II | 81.5 | 0.437 | 4758.37 | |
| H-NSGA-II | 84.5 | 0.490 | 6431.48 | ||
| Model 2 | small | Two-stage | 85.0 | 0.215 | 95.34 |
| H-NSGA-II | 87.5 | 0.116 | 115.42 | ||
| middle | Two-stage | 75.0 | 0.903 | 1800.56 | |
| H-NSGA-II | 77.5 | 0.703 | 2490.93 | ||
| big | Two-stage | 72.0 | 0.675 | 4200.75 | |
| H-NSGA-II | 77.5 | 0.059 | 5152.34 | ||
| Model 3 | small | ALNS | 80.7 | 1.225 | 203.32 |
| H-NSGA-II | 89.0 | 0.908 | 384.51 | ||
| middle | ALNS | 78.6 | 0.897 | 1837.37 | |
| H-NSGA-II | 90.0 | 0.678 | 2846.36 | ||
| big | ALNS | 76.4 | 1.382 | 3984.73 | |
| H-NSGA-II | 88 | 0.957 | 5736.25 |
| Dataset | GNSR for Model 1 | GNSR for Model 2 | GNSR for Model 3 |
|---|---|---|---|
| C101 | 11.1 | 80.0 | 80.0 |
| R101 | 0 | 12.5 | 96.5 |
| RC101 | 12.5 | 42.1 | 66.7 |
| C102 | 42.9 | 50.0 | 77.8 |
| R102 | 33.3 | 48.7 | 75.0 |
| RC102 | 27.7 | 30.4 | 65.4 |
| C103 | 16.5 | 63.4 | 92.3 |
| R103 | 23.6 | 53.2 | 67.3 |
| RC103 | 24.1 | 55.6 | 74.2 |
| Model | Dataset | Completion Time | Carbon Emission | Drone Participation Ratio |
|---|---|---|---|---|
| Single-Drone Anchor-Chain Model | C101 | 110.21 | 84.95 | 21.05 |
| C102 | 246.45 | 275.13 | 32.65 | |
| C103 | 560.73 | 632.74 | 27.85 | |
| R101 | 209.01 | 109.30 | 42.11 | |
| R102 | 358.90 | 377.44 | 40.82 | |
| R103 | 425.54 | 635.90 | 24.05 | |
| RC101 | 225.39 | 112,68 | 47.37 | |
| RC102 | 397.23 | 500.63 | 26.53 | |
| RC103 | 598.30 | 846.49 | 24.05 | |
| Mothership-Swarm Model | C101 | 143.95 | 53.37 | 42.11 |
| C102 | 308.63 | 315.27 | 36.73 | |
| C103 | 523.44 | 631.20 | 29.11 | |
| R101 | 241.61 | 92.20 | 42.11 | |
| R102 | 364.10 | 333.00 | 26.53 | |
| R103 | 433.00 | 584.22 | 35.44 | |
| RC101 | 184.95 | 114.48 | 47.37 | |
| RC102 | 506.78 | 427.89 | 20.41 | |
| RC103 | 549.88 | 865.64 | 20.25 | |
| Migratory Bird Relay Model | C101 | 114.98 | 68.27 | 36.84 |
| C102 | 402.58 | 393.74 | 51.02 | |
| C103 | 400.80 | 543.60 | 36.71 | |
| R101 | 190.54 | 86.28 | 47.37 | |
| R102 | 449.94 | 370.38 | 44.90 | |
| R103 | 527.41 | 695.13 | 34.18 | |
| RC101 | 164.86 | 106.08 | 57.89 | |
| RC102 | 450.60 | 635.26 | 36.73 | |
| RC103 | 537.26 | 770.77 | 46.84 |
| Method Category | Normalization Method | Weight (Time, Carbon Emissions) | Model 1 | Model 2 | Model 3 | Rank Results |
|---|---|---|---|---|---|---|
| Benchmark method | Min-Max | (0.5,0.5) | 2 | 3 | 4 | 3 > 2 > 1 |
| Robustness test | IQR | (0.5,0.5) | 2 | 2 | 5 | 3 > 2 > 1 |
| Weight sensitivity | Min-Max | (0.3,0.7) | 2 | 3 | 4 | 3 > 2 > 1 |
| Weight sensitivity | Min-Max | (0.7,0.3) | 2 | 2 | 5 | 3 > 2 > 1 |
| Multi-criteria synthesis | PROMETHEE II | (0.5,0.5) | −0.088 | 0.024 | 0.064 | 3 > 2 > 1 |
Disclaimer/Publisher’s Note: The statements, opinions and data contained in all publications are solely those of the individual author(s) and contributor(s) and not of MDPI and/or the editor(s). MDPI and/or the editor(s) disclaim responsibility for any injury to people or property resulting from any ideas, methods, instructions or products referred to in the content. |
© 2025 by the authors. Licensee MDPI, Basel, Switzerland. This article is an open access article distributed under the terms and conditions of the Creative Commons Attribution (CC BY) license (https://creativecommons.org/licenses/by/4.0/).
Share and Cite
Chen, Y.; Sheng, W.; Yi, W. Balancing Efficiency and Sustainability in Last-Mile Logistics: A Novel Multi-Truck Multi-Drone Collaborative Framework with Bi-Objective Optimization. Appl. Sci. 2025, 15, 12619. https://doi.org/10.3390/app152312619
Chen Y, Sheng W, Yi W. Balancing Efficiency and Sustainability in Last-Mile Logistics: A Novel Multi-Truck Multi-Drone Collaborative Framework with Bi-Objective Optimization. Applied Sciences. 2025; 15(23):12619. https://doi.org/10.3390/app152312619
Chicago/Turabian StyleChen, Yong, Weimin Sheng, and Wenchao Yi. 2025. "Balancing Efficiency and Sustainability in Last-Mile Logistics: A Novel Multi-Truck Multi-Drone Collaborative Framework with Bi-Objective Optimization" Applied Sciences 15, no. 23: 12619. https://doi.org/10.3390/app152312619
APA StyleChen, Y., Sheng, W., & Yi, W. (2025). Balancing Efficiency and Sustainability in Last-Mile Logistics: A Novel Multi-Truck Multi-Drone Collaborative Framework with Bi-Objective Optimization. Applied Sciences, 15(23), 12619. https://doi.org/10.3390/app152312619

