Changes in Intra-Set Biomechanics During a 3RM Deadlift in Strength-Trained Women: A Biomechanical Analysis
Abstract
1. Introduction
2. Materials and Methods
2.1. Experimental Design
2.2. Sample Size Rationale and Participants
2.3. Procedures
2.4. Measurements
2.5. Data Analysis
2.6. Statistical Analysis
3. Results
3.1. Kinematics
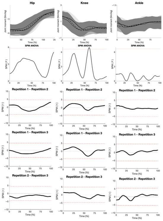
3.2. Net Joint Moments
3.3. Surface Electromyography Amplitude
4. Discussion
4.1. Kinematics
4.2. Kinetics
4.3. sEMG Amplitude
4.4. Limitations
5. Conclusions
Author Contributions
Funding
Institutional Review Board Statement
Informed Consent Statement
Data Availability Statement
Acknowledgments
Conflicts of Interest
Abbreviations
| RM | Repetition Maximum |
| NJMs | Net Joint Moments |
| SPM | Statistical Parametric Mapping |
References
- Bird, S.; Barrington-Higgs, B. Exploring the Deadlift. Strength Cond. J. 2010, 32, 46–51. [Google Scholar] [CrossRef]
- Stock, M.S.; Thompson, B.J. Sex comparisons of strength and coactivation following ten weeks of deadlift training. J. Musculoskelet. Neuronal Interact. 2014, 14, 387–397. [Google Scholar] [PubMed]
- Martín-Fuentes, I.; Oliva-Lozano, J.M.; Muyor, J.M. Electromyographic activity in deadlift exercise and its variants. A systematic review. PLoS ONE 2020, 15, e0229507. [Google Scholar] [CrossRef]
- Hales, M.E. Improving the Deadlift: Understanding Biomechanical Constraints and Physiological Adaptations to Resistance Exercise. Strength Cond. J. 2010, 32, 44–51. [Google Scholar] [CrossRef][Green Version]
- Ramirez, V.J.; Bazrgari, B.; Spencer, A.; Gao, F.; Samaan, M.A. Influence of Repetitions-to-Failure Deadlift on Lumbo-Pelvic Coordination, with and Without Body Armor. J. Strength Cond. Res. 2024, 38, 1732–1738. [Google Scholar] [CrossRef]
- Winwood, P.W.; Hume, P.A.; Cronin, J.B.; Keogh, J.W. Retrospective Injury Epidemiology of Strongman Athletes. J. Strength Cond. Res. 2014, 28, 28–42. [Google Scholar] [CrossRef]
- Schoenfeld, B.J.; Grgic, J.; Van Every, D.W.; Plotkin, D.L. Loading Recommendations for Muscle Strength, Hypertrophy, and Local Endurance: A Re-Examination of the Repetition Continuum. Sports 2021, 9, 32. [Google Scholar] [CrossRef]
- Cholewicki, J.; McGill, S.; Norman, R.W. Lumbar spine loads during the lifting of extremely heavy weights. Med. Sci. Sports Exerc. 1991, 23, 1179–1186. [Google Scholar] [CrossRef]
- Escamilla, R.F.; Francisco, A.C.; Fleisig, G.S.; Barrentine, S.W.; Welch, C.M.; Kayes, A.V.; Speer, K.P.; Andrews, J.R. A three-dimensional biomechanical analysis of sumo and conventional style deadlifts. Med. Sci. Sports Exerc. 2000, 32, 1265–1275. [Google Scholar] [CrossRef]
- Spencer, K.; Croiss, M. The effect of increasing loading on powerlifting movement form during the squat and deadlift. J. Hum. Sport Exerc. 2015, 10, 764–774. [Google Scholar] [CrossRef]
- Howe, L.; Lehman, G. Getting out of neutral: The risks and rewards of lumbar spine flexion during lifting exercises. Strength Cond. J. 2021, 3, 1–38. [Google Scholar]
- Mawston, G.; Holder, L.; O’sUllivan, P.; Boocock, M. Flexed lumbar spine postures are associated with greater strength and efficiency than lordotic postures during a maximal lift in pain-free individuals. Gait Posture 2021, 86, 245–250. [Google Scholar] [CrossRef]
- Pinto, B.L.; Beaudette, S.M.; Brown, S.H.M. Tactile cues can change movement: An example using tape to redistribute flexion from the lumbar spine to the hips and knees during lifting. Human Mov. Sci. 2018, 60, 32–39. [Google Scholar] [CrossRef] [PubMed]
- Németh, G.; Ohlsén, H. In vivo moment arm lengths for hip extensor muscles at different angles of hip flexion. J. Biomech. 1985, 18, 129–140. [Google Scholar] [CrossRef] [PubMed]
- Ramirez, V.J.; Bazrgari, B.; Gao, F.; Samaan, M. Low Back Biomechanics during Repetitive Deadlifts: A Narrative Review. IISE Trans. Occup. Ergon. Human Factors 2021, 10, 34–46. [Google Scholar] [CrossRef] [PubMed]
- van Dieën, J.H.; van der Burg, P.; Raaijmakers, T.A.; Toussaint, H.M. Effects of repetitive lifting on kinematics: Inadequate anticipatory control or adaptive changes? J. Mot. Behav. 1998, 30, 20–32. [Google Scholar] [CrossRef]
- Falch, H.N.; Gundersen, A.H.; Larsen, S.; Haugen, M.E.; Tillaar, R.v.D. Comparison of kinematics and electromyography in the last repetition during different maximum repetition sets in the barbell back squat. PeerJ 2024, 12, e16865. [Google Scholar] [CrossRef]
- Larsen, S.; Haugen, M.; van den Tillaar, R. Comparison of Kinematics and Electromyographic Activity in the Last Repetition during Different Repetition Maximums in the Bench Press Exercise. Int. J. Environ. Res. Public Health 2022, 19, 14238. [Google Scholar] [CrossRef]
- Hegdahl Gundersen, A.; Falch, H.N.; Fredriksen, A.B.; Tillaar, R.v.D. The Effect of Sex and Different Repetition Maximums on Kinematics and Surface Electromyography in the Last Repetition of the Barbell Back Squat. J. Funct. Morphol. Kinesiol. 2024, 9, 75. [Google Scholar] [CrossRef]
- Aasa, U.; Bengtsson, V.; Berglund, L.; Öhberg, F. Variability of lumbar spinal alignment among power-and weightlifters during the deadlift and barbell back squat. Sports Biomech. 2022, 21, 701–717. [Google Scholar] [CrossRef]
- Strömbäck, E.; Aasa, U.; Gilenstam, K.; Berglund, L. Prevalence and Consequences of Injuries in Powerlifting: A Cross-sectional Study. Orthop. J. Sports Med. 2018, 6, 2325967118771016. [Google Scholar] [CrossRef]
- McGill, S.M. Distribution of tissue loads in the low back during a variety of daily and rehabilitation tasks. J. Rehabil. Res. Dev. 1997, 34, 448. [Google Scholar]
- McGill, S.M.; Hughson, R.L.; Parks, K. Changes in lumbar lordosis modify the role of the extensor muscles. Clin. Biomech. 2000, 15, 777–780. [Google Scholar] [CrossRef]
- Byl, T.; Cole, J.A.; Livingston, L.A. What Determines the Magnitude of the Q Angle? A Preliminary Study of Selected Skeletal and Muscular Measures. J. Sport Rehabil. 2000, 9, 26–34. [Google Scholar] [CrossRef]
- Herrington, L.; Nester, C. Q-angle undervalued? The relationship between Q-angle and medio-lateral position of the patella. Clin. Biomech. 2004, 19, 1070–1073. [Google Scholar] [CrossRef]
- Janssen, I.; Heymsfield, S.B.; Wang, Z.; Ross, R. Skeletal muscle mass and distribution in 468 men and women aged 18–88 yr. J. Appl. Physiol. 2000, 89, 81–88. [Google Scholar] [CrossRef]
- Kanehisa, H.; Ikegawa, S.; Fukunaga, T. Comparison of muscle cross-sectional area and strength between untrained women and men. Eur. J. Appl. Physiol. Occup. Physiol. 1994, 68, 148–154. [Google Scholar] [CrossRef]
- Miller, A.E.J.; MacDougall, J.D.; Tarnopolsky, M.A.; Sale, D.G. Gender differences in strength and muscle fiber characteristics. Eur. J. Appl. Physiol. Occup. Physiol. 1993, 66, 254–262. [Google Scholar] [CrossRef]
- Binder, D.; Brown-Cross, D.; Shamus, E.; Davies, G. Peak torque, total work and power values when comparing individuals with Q-angle differences. Isokinet. Exerc. Sci. 2001, 9, 27–30. [Google Scholar] [CrossRef]
- Henneman, E. Relation between Size of Neurons and Their Susceptibility to Discharge. Science 1957, 126, 1345–1347. [Google Scholar] [CrossRef]
- Gundersen, A.H.; Tillaar, R.v.D.; Falch, H.N.; Fredriksen, A.B.; Larsen, S. A Biomechanical Comparison Between Conventional, Sumo, and Hex-Bar Deadlifts Among Resistance Trained Women. J. Strength Cond. Res. 2025, 39, 281–288. [Google Scholar] [CrossRef]
- Lakens, D. Sample Size Justification. Collabra Psychol. 2022, 8, 33267. [Google Scholar] [CrossRef]
- Larsen, S.; Kristiansen, E.; van den Tillaar, R. New Insights About the Sticking Region in Back Squats: An Analysis of Kinematics, Kinetics, and Myoelectric Activity. Front. Sports Act. Living 2021, 3, 691459. [Google Scholar] [CrossRef]
- Hermens, H.J.; Freriks, B.; Disselhorst-Klug, C.; Rau, G. Development of recommendations for SEMG sensors and sensor placement procedures. J. Electromyogr. Kinesiol. 2000, 10, 361–374. [Google Scholar] [CrossRef]
- Grood, E.S.; Suntay, W.J. A joint coordinate system for the clinical description of three-dimensional motions: Application to the knee. J. Biomech. Eng. 1983, 105, 136–144. [Google Scholar] [CrossRef]
- Papi, E.; Bull, A.M.; McGregor, A.H. Spinal segments do not move together predictably during daily activities. Gait Posture 2019, 67, 277–283. [Google Scholar] [CrossRef] [PubMed]
- Xi, X.; Ling, Z.; Wang, C.; Gu, C.; Zhan, X.; Yu, H.; Lu, S.; Tsai, T.-Y.; Yu, Y.; Cheng, L. Lumbar segment-dependent soft tissue artifacts of skin markers during in vivo weight-bearing forward–Backward bending. Front. Bioeng. Biotechnol. 2022, 10, 960063. [Google Scholar] [CrossRef] [PubMed]
- Kristianslund, E.; Krosshaug, T.; van den Bogert, A.J. Effect of low pass filtering on joint moments from inverse dynamics: Implications for injury prevention. J. Biomech. 2012, 45, 666–671. [Google Scholar] [CrossRef] [PubMed]
- Mai, P.; Willwacher, S. Effects of low-pass filter combinations on lower extremity joint moments in distance running. J. Biomech. 2019, 95, 109311. [Google Scholar] [CrossRef]
- Cohen, J.; Cohen, J. Statistical Power Analysis for the Behaviour Sciences (Revised Edition); Routledge: Oxfordshire, UK, 1988; pp. 19–74. [Google Scholar]
- Pataky, T.C. One-dimensional statistical parametric mapping in Python. Comput. Methods Biomech. Biomed. Eng. 2012, 15, 295–301. [Google Scholar] [CrossRef]
- Hart, J.M.; Fritz, J.M.; Kerrigan, D.C.; Saliba, E.N.; Gansneder, B.M.; Ingersoll, C.D. Reduced quadriceps activation after lumbar paraspinal fatiguing exercise. J. Athl. Train. 2006, 41, 79–86. [Google Scholar] [PubMed]
- Coswig, V.S.; Freitas, D.F.M.; Gentil, P.; Fukuda, D.H.; Del Vecchio, F.B. Kinematics and Kinetics of Multiple Sets Using Lifting Straps During Deadlift Training. J. Strength Cond. Res. 2015, 29, 3399–3404. [Google Scholar] [CrossRef] [PubMed]
- Dolan, P.; Adams, M.A. Repetitive lifting tasks fatigue the back muscles and increase the bending moment acting on the lumbar spine. J. Biomech. 1998, 31, 713–721. [Google Scholar] [CrossRef] [PubMed]
- Hu, B.; Ning, X. The influence of lumbar extensor muscle fatigue on lumbar-pelvic coordination during weightlifting. Ergonomics 2015, 58, 1424–1432. [Google Scholar] [CrossRef]
- Sparto, P.J.; Parnianpour, M.; Reinsel, T.E.; Simon, S. The effect of fatigue on multijoint kinematics and load sharing during a repetitive lifting test. Spine 1997, 22, 2647–2654. [Google Scholar] [CrossRef]
- Bonato, P.; Ebenbichler, G.R.; Roy, S.H.; Lehr, S.; Posch, M.; Kollmitzer, J.; Della Croce, U. Muscle fatigue and fatigue-related biomechanical changes during a cyclic lifting task. Spine 2003, 28, 1810–1820. [Google Scholar] [CrossRef]
- Kraemer, W.J.; Ratamess, N.A. Fundamentals of Resistance Training: Progression and Exercise Prescription. Med. Sci. Sports Exerc. 2004, 36, 674–688. [Google Scholar] [CrossRef]
- Purslow, P.P. Strain-induced reorientation of an intramuscular connective tissue network: Implications for passive muscle elasticity. J. Biomech. 1989, 22, 21–31. [Google Scholar] [CrossRef]
- Adams, M.A.; Dolan, P. How to Use the Spine, Pelvis, and Legs Effectively in Lifting, in Movement, Stability & Lumbopelvic Pain; Elsevier: Amsterdam, The Netherlands, 2007; pp. 167–183. [Google Scholar]
- Robinson, M.A.; Vanrenterghem, J.; Pataky, T.C. Sample size estimation for biomechanical waveforms: Current practice, recommendations and a comparison to discrete power analysis. J. Biomech. 2021, 122, 110451. [Google Scholar] [CrossRef]
- Izquierdo, M.; González-Badillo, J.; Häkkinen, K.; Ibáñez, J.; Kraemer, W.; Altadill, A.; Eslava, J.; Gorostiaga, E. Effect of loading on unintentional lifting velocity declines during single sets of repetitions to failure during upper and lower extremity muscle actions. Int. J. Sports Med. 2006, 27, 718–724. [Google Scholar] [CrossRef]
- Sanchez-Medina, L.; González-Badillo, J.J. Velocity loss as an indicator of neuromuscular fatigue during resistance training. Med. Sci. Sports Exerc. 2011, 43, 1725–1734. [Google Scholar] [CrossRef]
- Gordon, T.; Thomas, C.K.; Munson, J.B.; Stein, R.B. The resilience of the size principle in the organization of motor unit properties in normal and reinnervated adult skeletal muscles. Can. J. Physiol. Pharmacol. 2004, 82, 645–661. [Google Scholar] [CrossRef]
- Bishop, A.; DeBeliso, M.; Sevene, T.G.; Adams, K.J. Comparing one repetition maximum and three repetition maximum between conventional and eccentrically loaded deadlifts. J. Strength Cond. Res. 2014, 28, 1820–1825. [Google Scholar] [CrossRef] [PubMed]
- NSCA. Essentials of Strength Training and Conditioning; Human Kinetics: Champaign, IL, USA, 2021. [Google Scholar]
- Yavuz, H.U.; Erdag, D. Kinematic and Electromyographic Activity Changes during Back Squat with Submaximal and Maximal Loading. Appl. Bionics Biomech. 2017, 2017, 9084725. [Google Scholar] [CrossRef] [PubMed]
- Larsen, S.; Kristiansen, E.; Falch, H.N.; Haugen, M.E.; Fimland, M.S.; Tillaar, R.v.D. Effects of barbell load on kinematics, kinetics, and myoelectric activity in back squats. Sports Biomech. 2022, 1–15. [Google Scholar] [CrossRef] [PubMed]
- International Powerlifting Federation. IPF Technical Rules Book; International Powerlifting Federation: Luxembourg, 2024. [Google Scholar]
- Papi, E.; Koh, W.S.; McGregor, A.H. Wearable technology for spine movement assessment: A systematic review. J. Biomech. 2017, 64, 186–197. [Google Scholar] [CrossRef]
- Edington, C. Lumbar Spine Kinematics and Kinetics During Heavy Barbell Squat and Deadlift Variations; University of Saskatchewan: Saskatoon, SK, Canada, 2017. [Google Scholar]
- Zemp, R.; List, R.; Gülay, T.; Elsig, J.P.; Naxera, J.; Taylor, W.R.; Lorenzetti, S. Soft tissue artefacts of the human back: Comparison of the sagittal curvature of the spine measured using skin markers an open upright MRI. PLoS ONE 2014, 9, e95426. [Google Scholar] [CrossRef]




| Repetition | Hip | Knee | Ankle |
|---|---|---|---|
| 1 | 129.1 ± 65.4 * | 75.6 ± 28.4 | 27.0 ± 13.0 |
| 2 | 109.3 ± 48.0 | 74.3 ± 28.7 | 26.9 ± 9.4 |
| 3 | 97.7 ± 55.3 * | 84.5 ± 53.9 | 33.0 ± 19.9 |
Disclaimer/Publisher’s Note: The statements, opinions and data contained in all publications are solely those of the individual author(s) and contributor(s) and not of MDPI and/or the editor(s). MDPI and/or the editor(s) disclaim responsibility for any injury to people or property resulting from any ideas, methods, instructions or products referred to in the content. |
© 2025 by the authors. Licensee MDPI, Basel, Switzerland. This article is an open access article distributed under the terms and conditions of the Creative Commons Attribution (CC BY) license (https://creativecommons.org/licenses/by/4.0/).
Share and Cite
Gundersen, A.H.; van den Tillaar, R.; Falch, H.N.; Larsen, S. Changes in Intra-Set Biomechanics During a 3RM Deadlift in Strength-Trained Women: A Biomechanical Analysis. Appl. Sci. 2025, 15, 12116. https://doi.org/10.3390/app152212116
Gundersen AH, van den Tillaar R, Falch HN, Larsen S. Changes in Intra-Set Biomechanics During a 3RM Deadlift in Strength-Trained Women: A Biomechanical Analysis. Applied Sciences. 2025; 15(22):12116. https://doi.org/10.3390/app152212116
Chicago/Turabian StyleGundersen, Andreas H., Roland van den Tillaar, Hallvard N. Falch, and Stian Larsen. 2025. "Changes in Intra-Set Biomechanics During a 3RM Deadlift in Strength-Trained Women: A Biomechanical Analysis" Applied Sciences 15, no. 22: 12116. https://doi.org/10.3390/app152212116
APA StyleGundersen, A. H., van den Tillaar, R., Falch, H. N., & Larsen, S. (2025). Changes in Intra-Set Biomechanics During a 3RM Deadlift in Strength-Trained Women: A Biomechanical Analysis. Applied Sciences, 15(22), 12116. https://doi.org/10.3390/app152212116

