Study on the Permeability Evolution Laws and Damage Characteristics of Gas-Bearing Coal Under Different Cyclic Loading–Unloading Conditions
Abstract
1. Introduction
2. Materials and Methods
2.1. Test Setup
2.2. Test Schemes
2.3. Test Coal Sample
3. Test Results and Analysis
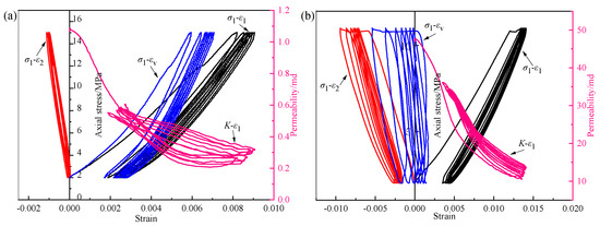
3.1. Analysis of Deformation and Permeability of Coal Samples Under Isobaric Cyclic Loading–Unloading Path
3.2. Analysis of Deformation and Permeability of Coal Samples Under Stepwise Cyclic Loading–Unloading Path
3.3. Analysis of Deformation and Permeability of Coal Samples Under Stepwise Incrementally Increasing Cyclic Loading–Unloading Path
3.4. Analysis of Deformation and Permeability of Coal Samples Under Cross-Cyclic Loading–Unloading Path
4. Discussion
4.1. Analysis of Residual Deformation in Coal Samples Under Four Types of Cyclic Loading–Unloading Stress Path
4.2. Analysis of Permeability Recovery Rates in Coal Samples Under Four Types of Cyclic Loading–Unloading Stress Path
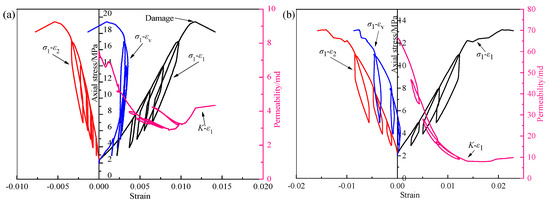
4.3. Analysis of Damage Characteristics in Coal Samples Under Four Types of Cyclic Loading–Unloading Stress Path
5. Conclusions and Outlook
- (1)
- Among the four cyclic loading–unloading paths, axial compression exerted the strongest influence on axial strain, followed by volumetric strain, while radial strain was least affected. The permeability variation closely corresponded to the stress–strain behavior of the coal samples.
- (2)
- Under isobaric cyclic loading and unloading (with stresses below the sample’s failure strength), specimens with greater initial damage (0.6) showed a significant permeability drop (75.47%) after the first cycle, followed by gradual recovery during subsequent cycles.
- (3)
- Under stepwise, incrementally increased, and cross-cyclic loading–unloading paths, samples with minor initial damage (0.05) initially showed higher permeability during loading than unloading. As cycling continued, permeability during both phases converged, eventually becoming higher in the unloading phase.
- (4)
- A sharp rise in relative residual deformation and a relative permeability recovery rate exceeding 100% were identified as precursors to coal sample failure instability across all four loading paths, and the relative permeability recovery rate exceeding 100% may serve as a quantitative failure criterion.
- (5)
- Damage accumulation in coal samples increased progressively with the number of cycles. However, the evolution pattern depended on the initial damage level. Highly damaged samples experienced rapid deterioration from the start, whereas those with minimal initial damage exhibited gradual degradation until failure occurred once the axial compressive stress exceeded the sample strength.
Author Contributions
Funding
Institutional Review Board Statement
Informed Consent Statement
Data Availability Statement
Acknowledgments
Conflicts of Interest
References
- Li, Z.; Wei, G.; Liang, R.; Shi, P.; Wen, H.; Zhou, W. LCO2-ECBM technology for preventing coal and gas outburst: Integrated effect of permeability improvement and gas displacement. Fuel 2021, 285, 119219. [Google Scholar] [CrossRef]
- Cheng, L.; Xu, J.; Peng, S.; Qin, L.; Yan, F.; Bai, Y.; Zhou, B. Influence of different coal seam gas pressures and their pulse characteristics on coal-and-gas outburst impact airflow. Nat. Resour. Res. 2022, 31, 2749–2767. [Google Scholar] [CrossRef]
- Qu, Q.; Shi, J.; Wilkins, A. A Numerical Evaluation of Coal Seam Permeability Derived from Borehole Gas Flow Rate. Energies 2022, 15, 3828. [Google Scholar] [CrossRef]
- Wang, K.; Gong, H.; Wang, G.; Yang, X.; Xue, H.; Du, F.; Wang, Z. N2 injection to enhance gas drainage in low-permeability coal seam: A field test and the application of deep learning algorithms. Energy 2024, 290, 130010. [Google Scholar] [CrossRef]
- Ren, Z.; Wang, M. Study on Deep Hole Blasting for Roof Cutting, Pressure Relief and Roadway Protection in Deep Multi-Coal Seam Mining. Appl. Sci. 2025, 15, 10138. [Google Scholar] [CrossRef]
- He, A.; Fu, H.; Huo, B.; Fan, C. Permeability enhancement of coal seam by lower protective layer mining for gas outburst prevention. Shock Vib. 2020, 2020, 8878873. [Google Scholar] [CrossRef]
- Xu, C.; Wang, K.; Li, X.; Yuan, L.; Zhao, C.; Guo, H. Collaborative gas drainage technology of high and low level roadways in highly-gassy coal seam mining. Fuel 2022, 323, 124325. [Google Scholar] [CrossRef]
- Jiang, W.; Zhao, L.; Cheng, B. Variation characteristics of coal rock layer and gas extraction law of surface well under mining pressure relief. Arab. J. Geosci. 2021, 14, 298. [Google Scholar] [CrossRef]
- Li, B.; Wang, J.; Liang, Y.; Qin, Z.; Li, Y.; Liu, H. Stress sensitivity of permeability in the loading and unloading process of broken coal-rock masses under different influencing factors. Phys. Fluids 2025, 37, 080701. [Google Scholar] [CrossRef]
- Li, B.; Zou, Q.; Liang, Y. Experimental research into the evolution of permeability in a broken coal mass under cyclic loading and unloading conditions. Appl. Sci. 2019, 9, 762. [Google Scholar] [CrossRef]
- Lu, A.; Song, D.; Li, Z.; He, X.; Dou, L.; Xue, Y.; Yang, H. Numerical simulation study on pressure-relief effect of protective layer mining in coal seams prone to rockburst hazard. Rock Mech. Rock Eng. 2024, 57, 6421–6440. [Google Scholar] [CrossRef]
- Li, Q.; Liang, Y.; Zou, Q. Seepage and damage evolution characteristics of gas-bearing coal under different cyclic loading–unloading stress paths. Processes 2018, 6, 190. [Google Scholar] [CrossRef]
- Luo, L.; Zhang, L.; Pan, J.; Li, M.; Tian, Y.; Wang, C.; Li, S. Evolution of Broken Coal’s Permeability Characteristics under Cyclic Loading–Unloading Conditions. Nat. Resour. Res. 2024, 33, 2279–2297. [Google Scholar] [CrossRef]
- Wang, M.; Gao, X.; Xu, J.; Li, X.; Liu, R.; Li, M.; Chen, B. Evolution of gas permeability and porosity of sandstone under stress loading and unloading conditions. Phys. Fluids 2024, 36, 087149. [Google Scholar] [CrossRef]
- Tan, T.; Wang, E.; Wang, X.; Ma, L.; Yao, W. Resistivity and damage of coal under cyclic loading and unloading. Eng. Geol. 2023, 323, 107234. [Google Scholar] [CrossRef]
- Zhang, L.; Kan, Z.; Zhang, C.; Tian, S.; Zeng, S.; Hao, D. Permeability and Stress Sensitivity of Coals with Different Fracture Directions Under Cyclic Loading–Unloading Conditions: A Case Study of the Xutuan Coal Mine in Huaibei Coalfield, China. Rock Mech. Rock Eng. 2025, 58, 1–19. [Google Scholar] [CrossRef]
- Song, D.; Liu, Q.; Qiu, L.; Zhang, J.; Majid, K.; Peng, Y.; Zhao, Y.; Wang, M.; Guo, M.; Hong, T. Experimental study on resistivity evolution law and precursory signals in the damage process of gas-bearing coal. Fuel 2024, 362, 130798. [Google Scholar] [CrossRef]
- Momeni, A.; Karakus, M.; Khanlari, G.R.; Heidari, M. Effects of cyclic loading on the mechanical properties of a granite. Int. J. Rock Mech. Min. Sci. 2015, 77, 89–96. [Google Scholar] [CrossRef]
- Mukherjee, S.; Rajabi, M.; Esterle, J. Relationship between coal composition, fracture abundance and initial reservoir permeability: A case study in the Walloon Coal Measures, Surat Basin, Australia. Int. J. Coal Geol. 2021, 240, 103726. [Google Scholar] [CrossRef]
- Casal, M.D.; Díaz-Faes, E.; Alvarez, R.; Díez, M.A.; Barriocanal, C. Influence of the permeability of the coal plastic layer on coking pressure. Fuel 2006, 85, 281–288. [Google Scholar] [CrossRef]
- Wang, F.; Li, X.; Cui, B.; Hao, J.; Chen, P. Study on the Permeability Change Characteristic of Gas-Bearing Coal under Cyclic Loading and Unloading Path. Geofluids 2021, 2021, 5562628. [Google Scholar] [CrossRef]
- Liu, Z.; Liu, Y.; Wang, Z.; Huang, W. Evolution of permeability and sensitivity analysis of gas-bearing coal under cyclic dynamic loading. Appl. Sci. 2024, 14, 8373. [Google Scholar] [CrossRef]
- Li, S.; Wang, C.; Zhou, B.; Shuang, H.; Lin, H.; Peng, S.; Liu, H. Deformation and Seepage Characteristics of Gassy Coal Subjected to Cyclic Loading–Unloading of Pore Pressure. Nat. Resour. Res. 2025, 34, 2775–2796. [Google Scholar] [CrossRef]
- Guo, H.; Cheng, Z.; Wang, K.; Qu, B.; Yuan, L.; Xu, C. Coal permeability evolution characteristics: Analysis under different loading conditions. Greenh. Gases Sci. Technol. 2020, 10, 347–363. [Google Scholar] [CrossRef]
- Yang, X.; Cao, J.; Cheng, X.; Liu, Y.; Li, X.; Sun, Z.; Guo, J. Mechanical response characteristics and permeability evolution of coal samples under cyclic loading. Energy Sci. Eng. 2019, 7, 1588–1604. [Google Scholar] [CrossRef]
- Fan, L.; Liu, S. Evaluation of permeability damage for stressed coal with cyclic loading: An experimental study. Int. J. Coal Geol. 2019, 216, 103338. [Google Scholar] [CrossRef]
- Ren, C.; Li, B.; Xu, J.; Wang, Z.; Li, J.; Zhang, Y.; Yu, J. Coal permeability evolution during damage process under different mining layouts. Energy Sources Part A 2025, 47, 4010–4025. [Google Scholar] [CrossRef]
- Abdellah, W.R.; Bader, S.A.; Kim, J.G.; Ali, M.A.M. Numerical simulation of mechanical behavior of rock samples under uniaxial and triaxial compression tests. Mining Miner. Depos. 2023, 17, 1–11. [Google Scholar] [CrossRef]
- Wang, K.; Guo, Y.; Xu, H.; Dong, H.; Du, F.; Huang, Q. Deformation and permeability evolution of coal during axial stress cyclic loading and unloading: An experimental study. Geomech. Eng. 2021, 24, 519–529. [Google Scholar]
- Duan, M.; Jiang, C.; Xing, H.; Zhang, D.; Peng, K.; Zhang, W. Study on damage of coal based on permeability and load-unload response ratio under tiered cyclic loading. Arab. J. Geosci. 2020, 13, 250. [Google Scholar] [CrossRef]
- Bielski, J.; Skrzypek, J.J.; Kuna-Ciskal, H. Implementation of a model of coupled elastic-plastic unilateral damage material to finite element code. Int. J. Damage Mech. 2006, 15, 5–39. [Google Scholar] [CrossRef]




















| Cyclic Loading–Unloading Path | Coal Sample Number | Length of Coal Sample/mm | Coal Sample Diameter/mm | Coal Sample Quality/g |
|---|---|---|---|---|
| Isobaric cyclic loading–unloading | D1 | 100.52 | 50.20 | 244.26 |
| D2 | 101.20 | 49.84 | 245.44 | |
| Stepwise cyclic loading–unloading | J1 | 99.78 | 50.00 | 243.72 |
| J2 | 94.84 | 48.64 | 242.53 | |
| Stepwise incrementally increasing cyclic loading–unloading | Z1 | 98.88 | 49.42 | 245.86 |
| Z2 | 101.10 | 49.42 | 247.52 | |
| Cross-cyclic loading–unloading | C1 | 103.00 | 49.90 | 249.68 |
| C2 | 96.30 | 49.62 | 246.46 |
Disclaimer/Publisher’s Note: The statements, opinions and data contained in all publications are solely those of the individual author(s) and contributor(s) and not of MDPI and/or the editor(s). MDPI and/or the editor(s) disclaim responsibility for any injury to people or property resulting from any ideas, methods, instructions or products referred to in the content. |
© 2025 by the authors. Licensee MDPI, Basel, Switzerland. This article is an open access article distributed under the terms and conditions of the Creative Commons Attribution (CC BY) license (https://creativecommons.org/licenses/by/4.0/).
Share and Cite
Li, B.; Wang, J.; Liang, Y.; Li, Y.; Mao, Z. Study on the Permeability Evolution Laws and Damage Characteristics of Gas-Bearing Coal Under Different Cyclic Loading–Unloading Conditions. Appl. Sci. 2025, 15, 12102. https://doi.org/10.3390/app152212102
Li B, Wang J, Liang Y, Li Y, Mao Z. Study on the Permeability Evolution Laws and Damage Characteristics of Gas-Bearing Coal Under Different Cyclic Loading–Unloading Conditions. Applied Sciences. 2025; 15(22):12102. https://doi.org/10.3390/app152212102
Chicago/Turabian StyleLi, Bo, Jingyang Wang, Yunpei Liang, Yong Li, and Zhenbin Mao. 2025. "Study on the Permeability Evolution Laws and Damage Characteristics of Gas-Bearing Coal Under Different Cyclic Loading–Unloading Conditions" Applied Sciences 15, no. 22: 12102. https://doi.org/10.3390/app152212102
APA StyleLi, B., Wang, J., Liang, Y., Li, Y., & Mao, Z. (2025). Study on the Permeability Evolution Laws and Damage Characteristics of Gas-Bearing Coal Under Different Cyclic Loading–Unloading Conditions. Applied Sciences, 15(22), 12102. https://doi.org/10.3390/app152212102
