Abstract
The dielectric response of clay-bearing rocks is complex, which seriously affects the evaluation of oil saturation. This paper introduces the dual-Debye model to characterize the dielectric dispersion characteristics of pore water and the Debye model to establish the dielectric dispersion characteristics of water-absorbing clay minerals. A dielectric dispersion simulation method is established to study dielectric dispersion characteristics of 12 clay-bearing digital cores of the publicly available Berea sandstones. The results show that the numerical simulation method is perfectly verified by using a pure clay-bearing rock, and the established method can effectively characterize the dielectric dispersion phenomenon of clay-rich sandstones. The clay content has a strong influence on the dielectric dispersion characteristics of clay-bearing rocks. The higher the clay content, the stronger the dielectric dispersion, and the contribution of pore water also needs to be considered. It is also crucial to consider the dielectric dispersion anisotropy related to the distribution of rock components, which will be beneficial for the saturation evaluation of clay-bearing reservoirs based on dielectric dispersion.
1. Introduction
Clay-bearing rocks often exhibit more complex petrophysical properties than pure rocks, which poses difficulties for hydrocarbon saturation evaluation []. The reason is that clay minerals, such as montmorillonite, kaolinite, and illite, have strong adsorption ability. They show additional electrical conductive features at low frequencies and dielectric dispersion features at high frequencies []. Utilizing these features can help establish evaluation methods for hydrocarbon saturation in clay-bearing rocks. For example, the dual-water model [], the Waxman–Smits model [], the Simandoux model, and the Indonesian model [] take into account the additional conductive features of clay. However, in fresh or brackish water reservoirs, the contrast of the water salinities is low, and the applicability of these low-frequency methods will be reduced []. Therefore, in these cases, the dielectric dispersion at different frequencies can be used to characterize the hydrocarbon saturation of clay-bearing rocks. Dielectric dispersion, as the name implies, refers to the polarization phenomena occurring at different frequencies, such as interfacial polarization, molecular orientation polarization, and electronic polarization []. These polarizations cause changes in the permittivity and the electrical conductivity. The dielectric dispersion of clay stems from its surface-charged property (usually negatively charged) and the electric double-layer formed by the adsorbed counter-ions, namely, the Stern layer and the diffusion layer []. The ions in the diffusion layer migrate back and forth in the alternating electric field, leading to the accumulation of charges on the clay surface, which has a decisive influence on the degree of clay dielectric dispersion in the MHz range [].
To characterize the variation in hydrocarbon saturation in reservoirs using dielectric dispersion, based on the conventional complex refractive index method (CRIM) model [,], many developed advanced models have been developed such as the Maxwell–Garnett (MG) model [], Stroud–Milton–De (SMD) model [], dual CRIM model [,], perfectly polarized interfacial polarization and surface-conductance-assisted interfacial polarization (PPIP-SCAIP) model [,], and Bruggeman–Hanai–Sen (BHS) model []. In addition to the rock matrix components, pore water, pore hydrocarbons, and clay minerals are also incorporated to establish dielectric dispersion models applicable to clay-bearing rocks. These models in combination with actual array dielectric tools (ADTs) quantify the hydrocarbon saturation of clay-bearing reservoirs such as shales and argillaceous sandstones [,]. However, the effectiveness of these commonly used models in characterizing the dielectric dispersion characteristics of clay-bearing rocks warrants further investigation. For example, most of these models have not taken into account the anisotropy representation. In addition to these models, the most direct and accurate method is to measure the dielectric dispersion responses of reservoir rocks using impedance network testers under laboratory conditions [,]. Another economical approach is to utilize numerical simulation techniques based on digital core technology to study the dielectric dispersion response of reservoir rocks [,,].
This paper focuses on the dielectric dispersion of clay-bearing rocks based on digital cores and numerical simulation, especially observing their anisotropy. Here, a dielectric dispersion model suitable for pore water is introduced, and a special dielectric dispersion model suitable for clay minerals is established. These two models are integrated into a numerical simulation model of digital cores to investigate the dielectric dispersion characteristics of clay-bearing rocks. In particular, the anisotropic dielectric dispersion characteristics of clay-bearing rocks are also investigated.
2. Method Details
In sedimentary rocks, rock matrix grains, cement, and hydrocarbons in pores are generally non-dispersive phases, and pore water and water-absorbing clay minerals are dispersive phases. Conductive minerals such as pyrite and chalcopyrite are also dispersive, but their dispersion mainly occurs in the frequency range below 1 MHz and is negligible in the frequency range of MHz~GHz for ADT logging [].
2.1. Dielectric Dispersion Model of Pore Water
Water molecules are polar and will undergo orientation polarization in a varying electric field. Researchers have developed some models to describe the dielectric dispersion phenomenon caused by the orientation polarization of water molecules. Among them, the Debye model is the most commonly used one []. Subsequently, researchers developed a more accurate double Debye model to represent the dielectric dispersion of water [,], and the double Debye model is adopted to describe the dielectric dispersion of pore water, where the temperature and water salinity are the main influencing factors. The double Debye model can be expressed as
where is the imaginary unit, and . is the water permittivity (relative) as a function of temperature and water salinity . is the static (zero frequency) water permittivity. is the water permittivity at infinite frequencies. denotes the water permittivity at intermediate frequencies. is the electrical conductivity of water. is the radiation frequency, and are the first and second Debye relaxation frequencies. is the vacuum permittivity, 8.854 × 10−12 F/m. The effect of temperature and water salinity on the permittivity and electrical conductivity of water can be expressed as
where and are the fit coefficients, and . By combining Equations (1) and (2), dielectric dispersion responses of pore water can be obtained.
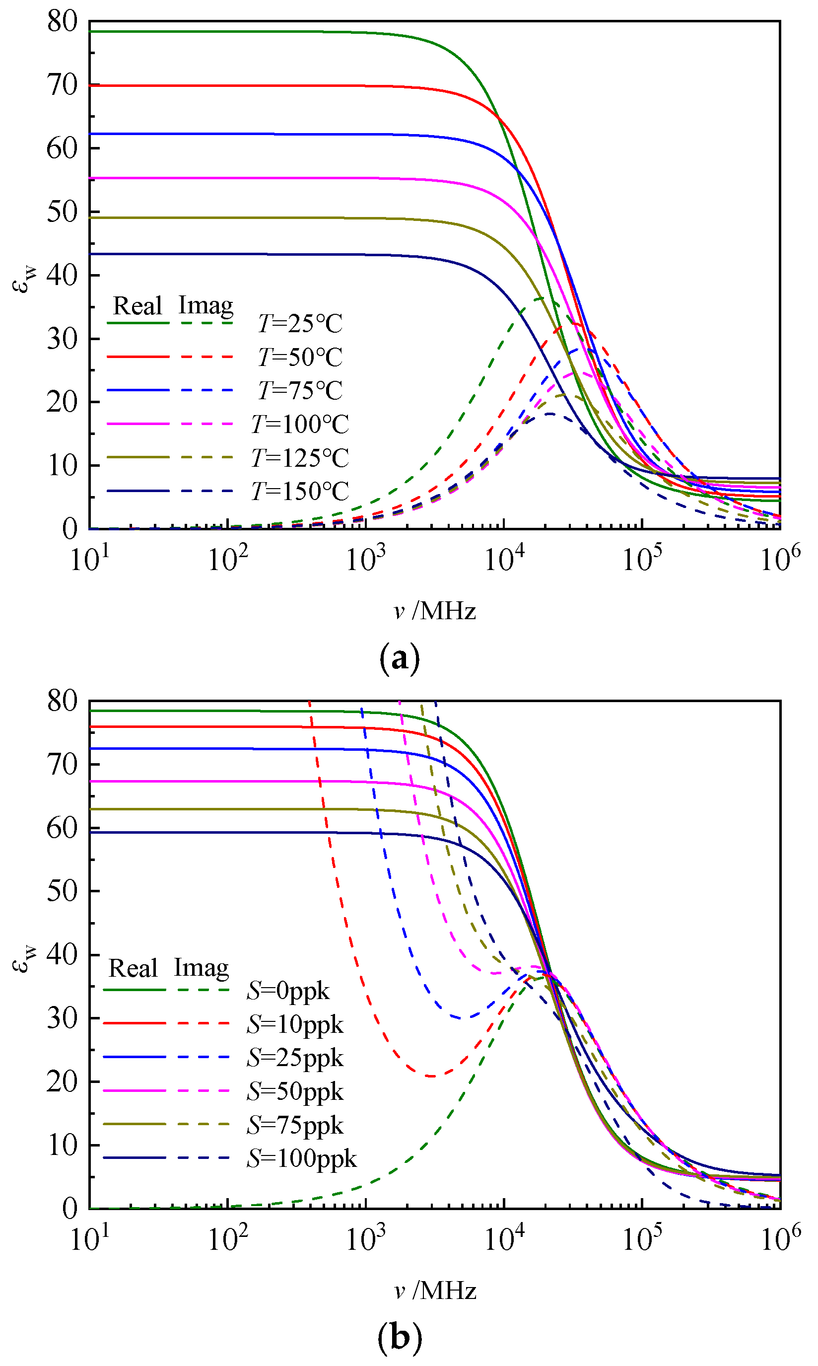
Figure 1 shows the obtained dielectric dispersion curves of the real and imaginary parts of pore water permittivity based on Equations (1) and (2) under different temperatures (a) and different salinities (b). In Figure 2b, S = 0 represents pure water. It can be observed that, in the frequency range from 10 MHz to 1000 MHz, the permittivity of pore water is unaffected by the frequency change; i.e., the dielectric dispersion trend is weak. When the frequency is greater than 1000 MHz, the dielectric dispersion phenomenon of pore water becomes obvious. In addition, temperatures and salinities have a significant effect on the permittivity of pore water. When the temperature increases, the permittivity of pore water decreases because the intensified thermal motion of water molecules hinders the directional alignment of polar water molecules. When the salinity increases, the migration of ions can partially shield the external electric field, which can weaken the polarization ability of water molecules, and lead to a decrease in the macroscopic permittivity of pore water.
Figure 1.
Dielectric dispersion of pore water under (a) different temperatures and (b) different salinities.
Figure 2.
Dielectric dispersion of water-absorbing clay minerals under (a) different critical frequencies, (b) different temperatures, and (c) different salinities.
2.2. Dielectric Dispersion Model of Clay Minerals
Clay minerals themselves, such as montmorillonite and illite, have very weak dielectric dispersion and can be neglected. However, clay minerals usually adsorb water in underground reservoirs, forming the Stern layer and the diffusion layer []. At this time, clay minerals also exhibit obvious dielectric dispersion described by a model similar to the Debye formula [], which can be expressed as
where is the permittivity of water-absorbing clay minerals and is also related to temperature and pressure. is the static (zero frequency) permittivity of water-absorbing clay minerals. is the permittivity of water-absorbing clay minerals at infinite frequencies. is the critical frequency of water-absorbing clay minerals. Normally, is close to 1000, is approximately equal to 5, and is approximately 200 MHz []. is the electrical conductivity of water-absorbing clay minerals related to the electrical conductivity of pore water and can be expressed as [,]
where the coefficient describes the diffusion ability of ions and satisfies
is a constant and is usually equal to 0.35 mol/L.
Figure 2 shows the obtained dielectric dispersion curves of the real and imaginary parts of water-absorbing clay minerals based on Equations (3)–(5) under different critical frequencies (a), different temperatures (b), and different salinities (c). It can be observed that, in the frequency range from 10 MHz to 1000 MHz, as the critical frequency increases, the real steep parts of permittivity curves shift to the right. In the high-frequency range, the imaginary parts also show separation. This indicates that the dielectric dispersion of water-absorbing clay minerals is closely related to critical frequencies and the frequencies of the external excitation field. In addition, the temperatures and salinities mainly influence the imaginary permittivity of water-absorbing clay minerals. As shown in Figure 2b, when the temperature rises, the migration ability of ions is improved, and the imaginary permittivity increases, indicating that electrical conductivity is enhanced. As shown in Figure 2c, when the salinity increases to 25 ppk, the imaginary permittivity no longer increases, indicating that the electrical conductivity does not enhance anymore. The reason is that, at this time, the ion concentration of the electric double-layer on the clay surface reaches the saturated state, and the ion migration reaches equilibrium and no longer increases.
2.3. Digital Core and Dielectric Dispersion Simulation
Using digital core technology to conduct rock physics simulation experiments is an effective alternative to real core physical experiments and has been widely used now []. Berea Sandstone is a fine-grained to medium-grained quartz sandstone. Due to its homogeneity, high porosity, and good permeability, it is often used as a standard rock sample in research in petroleum engineering, geology, and geotechnics. As shown in Figure 3, an open-source digital 3D image of water-wet Berea sandstone is selected here [], and it includes 1200 × 1200 × 1200 voxels. This core includes quartz–feldspar (77.5% volume fraction), clay (3.0% volume fraction), pore water (3.7% volume fraction), pore oil (4.8% volume fraction), calcareous cement (10.5% volume fraction), and other minerals (0.5% volume fraction). Figure 4 shows a two-dimensional slice at a certain position, clearly demonstrating the distribution of different phases in the core. It can be found that this core is mainly composed of quartz-feldspar, a considerable amount of calcareous cement, and the other phases scattered throughout this core.
Figure 3.
Three-dimensional digital core display of a Berea sandstone sample with six phases, 1200 × 1200 × 1200 voxels. Quartz–feldspar: red; clay: blue; pore water: cyan; pore oil: orange; calcareous cement: green; and other minerals: yellow.
Figure 4.
Two-dimensional slice of six phases at a certain position for a Berea sandstone, (a) quartz-feldspar, (b) calcite cementation, (c) clay, (d) other minerals, (e) pore water, (f) pore oil.
Here, 12 representative digital core samples of clay-bearing sandstone were selected. The specific contents of minerals and pore fluids are shown in Table 1. The quartz-feldspar content ranges from 65.72% (S2) to 88.69% (S11), the clay content ranges from 0.02% (S7) to 22.06% (S2), the pore water content ranges from 0.40% (S5) to 8.48% (S6), the pore-oil content ranges from 1.33% (S5) to 16.03% (S12), and the content of calcareous cement ranges from 1.27% (S1) to 13.39% (S10). No other minerals are present except in sample S3. The environmental parameters are as follows: the temperature T is 25 °C, the salinity S of the pore water is 30 ppk, and other components do not exhibit dielectric dispersion characteristics. The permittivities of non-dispersive phases, i.e., quartz-feldspar, calcite cementation, and pore oil, were assumed to be 4.7, 8.0, and 2.2, respectively.
Table 1.
The contents of minerals and pore fluids in the 12 representative digital core samples.
Next, it is necessary to study the dielectric dispersion characteristics of the digital core using numerical simulation calculation methods. The following equation needs to be solved in the frequency domain [], i.e.,
where and are the electrical conductivity and the permittivity of the digital rock, respectively. is the angular frequency of oscillation of the electromagnetic field and satisfies the equation . is the scalar electric potential in the internal volume of the digital core.
During the actual numerical measurement, a voltage varying with the frequency is applied between two opposite faces of this digital core, and the current is measured simultaneously. The composite permittivity and the composite electrical conductivity of the digital core are, respectively, expressed as
where is the side length of the digital rock. It should be noted that, if the numerical simulation is directly carried out on the entire digital core, the difficulty of mesh generation and the challenge of computing power are very great. Therefore, it is necessary to extract a partial volume from the entire digital core. Based on representative elementary volume (REV) analysis [], representative subvolumes of size 200 × 200 × 200 were selected for numerical simulation measurement.
3. Results and Discussion
3.1. Simulation Validation
First of all, it is necessary to test the accuracy of the numerical simulation method adopted here. To achieve this goal, a pure core model containing only clay minerals is adopted, and the dielectric dispersion of this model is determined by using Equations (3)–(5) and is regarded as the reference values. Then, the numerical simulation method is used to measure the dielectric dispersion data of this pure core model, and the simulation values are compared with the reference values. Figure 5 shows the comparison between the simulation values and the reference values. The reference values are calculated under the conditions of a critical-off frequency of 200 MHz and a temperature of 25 °C. It can be observed that the simulation values are completely consistent with the reference values, which verifies the accuracy and rationality of the numerical simulation method adopted here.
Figure 5.
Comparison between reference values and simulation values for pure clay minerals.
3.2. Dielectric Dispersion in Single Direction
The numerical simulation method is adopted to conduct dielectric dispersion measurement on the above 12 digital core samples in a single direction (x-direction). Figure 6a shows the curves of permittivity along with the changes in frequency ν, and Figure 6b shows the curves of electrical conductivity along with the changes in frequency ν. Overall, the results show that, although these 12 digital cores all belong to the type of argillaceous sandstone, due to the different mineral contents, they exhibit varying degrees of dielectric dispersion. Among them, samples S1 and S5 show the highest degree of dielectric dispersion, followed by samples S6 and S10, while samples S7 and S12 have the weakest degree of dispersion. The analysis suggests that samples S1 and S5 contain a considerable proportion of clay minerals. In particular, sample S1 also contains 5.48% pore water. The clay content in sample S6 is much lower, but it still contains 8.48% pore water. Sample S10 mainly consists of pore water. Both the clay content and pore-water content in samples S7 and S12 are quite low, especially the clay content can be negligible. It should also be noted that sample S2 contains the highest amount of clay minerals and a considerable pore water content, but it only exhibits a moderate level of dielectric dispersion. The reason is that the dielectric dispersion characteristics are also related to the distribution of clay minerals and pore water, which leads to different degrees of dielectric dispersion in different directions, i.e., dielectric dispersion anisotropy.
Figure 6.
Dielectric dispersion curves of 12 digital core samples.
3.3. Dielectric Dispersion Anisotropy
To study the characteristics of dielectric dispersion anisotropy, among the 12 digital core samples, 6 comparable samples (S2, S5, S7, S8, S10, S12) are selected to realize numerical simulation calculation in the x-, y-, and z-directions. Figure 7 shows the numerical simulation results of dielectric dispersion anisotropy. The left column corresponds to the relationship between permittivities and frequencies, while the right column corresponds to the relationship between electrical conductivities and frequencies. It can be observed that the permittivity curves and electrical conductivity curves of all 6 samples in the three directions exhibit varying degrees of anisotropic characteristics, especially in the low-frequency band. Sample S2 exhibits moderate dielectric dispersion in the x- and z-directions but extremely strong dispersion in the y-direction, as seen in Figure 7a,b. For sample S5, the dielectric dispersion in the y-direction is significantly weaker than in the x- and z-directions. A similar phenomenon is also observed corresponding to sample S10, although the content of clay minerals is only 0.50% and the content of pore water is 6.75% in sample S10, as seen in Figure 7i,j. The dielectric dispersion anisotropy of samples S7 and S8 is obviously weak because of the quite low clay content, as seen in Figure 7e,f and Figure 7g,h, respectively. However, although the clay content and pore water content of sample S12 are similar to the samples S7 and S8, the dielectric dispersion anisotropy of sample S12 is higher than that of samples S7 and S8, as seen in Figure 7k,l.


Figure 7.
Dielectric dispersion curves of 6 digital core samples. The left column corresponds to permittivities vs. frequencies, and the right column corresponds to electrical conductivity vs. frequencies.
4. Conclusions
The dielectric dispersion characteristics of clay-bearing rocks have been mainly studied and analyzed using digital core and numerical simulation. In the frequency range above MHz, only the dielectric dispersion characteristics of pore water and water-absorbing clay minerals are considered. The double Debye model is introduced here, which can better characterize the dielectric dispersion characteristics of pore water in rocks. The representation form of the electrical conductivity of water-absorbing clay minerals is successfully established, and the Debye model is used to express the dielectric dispersion characteristics of water-absorbing clay minerals. The basic principle of numerical simulation calculation for the dielectric dispersion of rocks is expounded, and the accuracy of the numerical simulation method for dielectric dispersion is perfectly verified using a pure clay-bearing rock sample. In the frequency range from 1 MHz to 10 GHz, the dielectric dispersion curves using the numerical simulation method are successfully obtained using 12 digital core samples of clay-bearing sandstone. Generally, the higher the clay content, the stronger the dielectric dispersion phenomena, and pore water exhibits a similar effect. Samples S1 and S2 exhibit the greatest degree of dielectric dispersion, followed by Samples S6 and S10, and Samples S7 and S12 show the weakest degree of dielectric dispersion. Other samples also exhibit different degrees of dielectric dispersion. Notably, the degree of dielectric dispersion of rocks is not only related to the content of rock components but also to the distribution of rock components, thus showing the anisotropic characteristics of dielectric dispersion. Six digital core samples are selected to conduct numerical simulation of dielectric dispersion in the x-, y-, and z-directions. The results show that, although Sample S2 has the highest clay content, the dispersion strength in the x- and z-directions is significantly weaker than that in the y-direction. The other five core samples also show different degrees of dielectric dispersion anisotropy. This phenomenon indicates that, when evaluating rock saturation and clay content based on the dielectric dispersion phenomenon (for example, using the measurement data of ADT), attention should also be paid to the distribution inhomogeneity of rock components in the detection zone. Otherwise, it may lead to large errors in the final evaluation results. In future research, the focus will be on quantifying the relationship between dielectric dispersion anisotropy and the spatial distribution of rock components.
Author Contributions
Methodology, J.G.; formal analysis, J.W.; investigation, J.W.; writing—original draft, J.G.; visualization, J.W.; writing—review and editing, K.L.; data curation, K.L. All authors have read and agreed to the published version of the manuscript.
Funding
This research was funded by The Open Fund Project of Sinopec Key Laboratory of Shale Oil/Gas Exploration and Production Technology, grant number [33550000-24-ZC0613-0051].
Institutional Review Board Statement
Not applicable.
Informed Consent Statement
Not applicable.
Data Availability Statement
The data presented in this study are available on request from the corresponding author. The data are not publicly available due to privacy.
Acknowledgments
The authors would like to thank the anonymous reviewers for their valuable suggestions and comments.
Conflicts of Interest
Author Kun Liu was employed by the company Sinopec Petroleum Exploration and Production Research Institute. The remaining authors declare that the research was conducted in the absence of any commercial or financial relationships that could be construed as a potential conflict of interest.
References
- Dash, S.; Garcia, A.P.; Heidari, Z. A new workflow for improved resistivity-based water saturation assessment in organic-rich mudrocks: Application to Haynesville, Eagle ford, and Woodford formations. SPE Reserv. Eval. Eng. 2023, 26, 527–542. [Google Scholar] [CrossRef]
- Carmona, R.; Decoster, E.; Hemingway, J.; Hizem, M.; Mossé, L.; Rizk, T.; Julander, D.; Little, J.; McDonald, T.; Mude, J.; et al. Zapping Rocks. Oilfield Rev. 2011, 23, 36–52. [Google Scholar]
- Clavier, C.; Coates, G.; Dumanoir, J. Theoretical and experimental bases for the dual-water model for interpretation of shaly sands. SPE J. 1986, 24, 153–168. [Google Scholar] [CrossRef]
- Waxman, M.H.; Smits, L.J.M. Electrical conductivities in oil-bearing shaly sands. SPE J. 1968, 8, 107–122. [Google Scholar] [CrossRef]
- Yong, S.H.; Zhang, C.M. Logging Data Processing and Comprehensive Interpretation; China University of Petroleum Press: Qingdao, China, 2007; pp. 174–176. [Google Scholar]
- Herlinger, R. Dielectric Logging: Principles, applications, and examples from the Brazilian oilfields. In Proceedings of the Offshore Technology Conference Brasil, Rio de Janeiro, Brazil, 29–31 October 2019. [Google Scholar] [CrossRef]
- Garcia, A.P.; Heidari, Z. Numerical modeling of multifrequency complex dielectric permittivity dispersion of sedimentary rocks. Geophysics 2021, 86, MR179–MR190. [Google Scholar] [CrossRef]
- Han, M.; Cuadros, J.; Suarez, C.A.P.S.; Decoster, E.E.D.; Faivre, O.; Mosse, L.; Seleznev, N. Continuous estimate of cation exchange capacity from log data: A new approach based on dielectric dispersion analysis. In Proceedings of the SPWLA 53rd Annual Logging Symposium, Cartagena, Colombia, 16–20 April 2012. [Google Scholar]
- Birchak, J.R.; Gardner, C.G.; Hipp, J.E.; Victor, J.M. High dielectric constant microwave probes for sensing soil moisture. Proc. IEEE 1974, 62, 93–98. [Google Scholar] [CrossRef]
- Seleznev, N.; Boyd, A.; Habashy, T.; Luthi, S. Dielectric mixing laws for fully and partially saturated carbonate rocks. In Proceedings of the SPWLA 45th Annual Logging Symposium, Noordwijk, The Netherlands, 6–9 June 2004. [Google Scholar]
- Seleznev, N.; Habashy, T.; Boyd, A.; Hizem, M. Formation properties derived from a multi-frequency dielectric measurement. In Proceedings of the SPWLA 47th Annual Logging Symposium, Veracruz, Mexico, 4–7 June 2006. [Google Scholar]
- Stroud, D.; Milton, G.W.; De, B.R. Analytical model for the dielectric response of brine-saturated rocks. Phys. Rev. B 1986, 34, 5145–5153. [Google Scholar] [CrossRef]
- Seleznev, N.; Habashy, T.M.; Claverie, M.; Wang, H.; Wang, H.; Hermes, A.; Gendur, J.; Feng, L.; Loan, M.E. Determining water-filled porosity of tight oil reservoirs with a new interpretation method for dielectric dispersion measurements. In Proceedings of the 61st Annual Logging Symposium, Virtual Online Webinar, 24–29 June 2020. [Google Scholar]
- Wang, H.; Kostinovsky, A.; Saneifar, M. Case study of dielectric logging in the Permian Basin: An opportunity for solving petrophysical challenges in tight formations. In Proceedings of the 2023 SPE Annual Technical Conference and Exhibition, San Antonio, TX, USA, 16–18 October 2023. [Google Scholar]
- Misra, S.; Torres-Verdín, C.; Revil, A.; Rasmus, J.; Homan, D. Interfacial polarization of disseminated conductive minerals in absence of redox-active species—Part 2: Effective electrical conductivity and dielectric permittivity. Geophysics 2016, 81, E159–E176. [Google Scholar] [CrossRef]
- Jacobsen, S.J.; Decoster, E.; Hemingway, J.; Shray, F.; Anderson, B.I.; Swinburne, P.R. Formation permittivity and conductivity simulation from petrophysical volumetric analysis. In Proceedings of the 63rd Annual Logging Symposium, Stavanger, Norway, 11–15 June 2022. [Google Scholar]
- Chen, S.; Ke, S.; Jia, J.; Cheng, L.; Shi, H.; Zhang, Y. A laboratory study on the dielectric spectroscopy of sandstone and the improvement of dispersion model. J. Pet. Sci. Eng. 2022, 216, 110655. [Google Scholar] [CrossRef]
- Freed, D.E.; Seleznev, N.; Hou, C.Y.; Fellah, K.; Little, J.; Dumy, G.; Sen, P. A physics-based model for the dielectric response of shaly sands and continuous CEC logging. Petrophysics 2018, 59, 354–372. [Google Scholar] [CrossRef]
- Jia, B.; Xian, C.; Jia, W.; Su, J. Improved petrophysical property evaluation of shaly sand reservoirs using modified grey wolf intelligence algorithm. Comput. Geosci. 2023, 27, 537–549. [Google Scholar] [CrossRef]
- Garcia, A.P.; Han, Y.; Heidari, Z. Integrated workflow to estimate permeability through quantification of rock fabric using joint interpretation of nuclear magnetic resonance and electric measurements. Petrophysics 2018, 59, 672–693. [Google Scholar] [CrossRef]
- Wang, B.; Li, X.; Liu, X.; Xing, L.; Gao, M.; Lao, L.; Deng, J.; Ge, X.; Wei, Z. Dielectric dispersion of hydrate-bearing artificial sediment-detection method and experimental observations. IEEE Trans. Geosci. Remote Sens. 2023, 61, 5918217. [Google Scholar] [CrossRef]
- Azizoglu, Z.; Heidari, Z. Influence of grain size and shape on the performance of dielectric permittivity-based water saturation assessment models. In Proceedings of the 64th Annual Logging Symposium, Lake Conroe, TX, USA, 10–14 June 2023. [Google Scholar]
- Gomaa, I.; Azizoglu, Z.; Heidari, Z. Quantifying the sensitivity of dielectric dispersion data to fracture properties in fractured rocks. In Proceedings of the 64th Annual Logging Symposium, Lake Conroe, TX, USA, 10–14 June 2023. [Google Scholar]
- Misra, S.; Torres-Verdín, C.; Revil, A.; Rasmus, J.; Homan, D. Interfacial polarization of disseminated conductive minerals in absence of redox-active species-Part 1: Mechanistic model and validation. Geophysics 2016, 81, E139–E157. [Google Scholar] [CrossRef]
- Stogryn, A. Equations for calculating the dielectric constant of saline water. IEEE Trans. Microw. Theory Tech. 1971, 19, 733–736. [Google Scholar] [CrossRef]
- Liebe, H.J.; Hufford, G.A.; Manabe, T. A model for the complex permittivity of water at frequencies below 1 THz. Int. J. Infrared Millim. Waves 1991, 12, 659–675. [Google Scholar] [CrossRef]
- Meissner, T.; Wentz, F.J. The complex dielectric constant of pure and sea water from microwave satellite observations. IEEE Trans. Geosci. Remote Sens. 2004, 42, 1836–1849. [Google Scholar] [CrossRef]
- Huang, B.; Li, Z.; Mo, X.; Fu, Y.; Tao, H.; Wang, H.; Li, Q.; Xu, S. Research on logging interpretation model of complex clayed sandstone reservoir. Geophys. Prospect. Pet. 2009, 48, 40–47. [Google Scholar]
- Chen, J.; Guo, T.; Zhu, L. Evaluation of oil saturation for volcaniclastic rock reservoir with high shale content and low resistivity. J. Chengdu Univ. Technol. 2019, 46, 153–161. [Google Scholar]
- Tan, M. Digital rock physics and its progress in log interpretation. Well Logging Technol. 2022, 46, 371–379. [Google Scholar]
- Garfi, G.; Lin, Q.; Berg, S.; Krevor, S. Berea Sandstone: X-Ray Micro-CT Imaging of Waterflooding in a Water-Wet and a Mixed-Wet Sample. Digital Rocks Portal. Available online: https://www.doi.org/10.17612/Y7YD-H265 (accessed on 16 May 2025).
- Jiang, L.; Sun, J.; Liu, X.; Wang, H.T. Numerical study of the effect of natural gas saturation on the reservoir rocks’ elastic parameters. Well Logging Technol. 2012, 36, 239–243. [Google Scholar]
Disclaimer/Publisher’s Note: The statements, opinions and data contained in all publications are solely those of the individual author(s) and contributor(s) and not of MDPI and/or the editor(s). MDPI and/or the editor(s) disclaim responsibility for any injury to people or property resulting from any ideas, methods, instructions or products referred to in the content. |
© 2025 by the authors. Licensee MDPI, Basel, Switzerland. This article is an open access article distributed under the terms and conditions of the Creative Commons Attribution (CC BY) license (https://creativecommons.org/licenses/by/4.0/).