Abstract
This study presents a comprehensive and critical review of segmentation algorithms applied to digital fundus images, aiming to identify computational strategies that balance diagnostic accuracy with practical feasibility in clinical environments. A systematic search following PRISMA guidelines was conducted for studies published between 2014 and 2025, encompassing deep learning, classical machine learning, hybrid, and semi-supervised approaches. The review examines how each methodological family performs in segmenting key anatomical structures such as blood vessels, the optic disc, and the fovea, considering both algorithmic and clinical metrics. Findings reveal that advanced deep learning models—particularly U-Net and CNN-based architectures—achieve superior accuracy in delineating complex and low-contrast structures but demand high computational resources. In contrast, traditional and hybrid methods offer efficient alternatives for real-time or low-resource settings, maintaining acceptable precision while minimizing cost. Importantly, the analysis underscores the persistent gap between methodological innovation and clinical translation, emphasizing the need for lightweight, clinically interpretable models that integrate algorithmic performance with medical relevance.
1. Introduction
Image segmentation using machine learning techniques has revolutionized medical image analysis, particularly in fields where accuracy and speed in diagnosis are critical. In ophthalmology, automatic segmentation tools for fundus images are particularly relevant, as they focus on identifying and delineating regions of interest, such as blood vessels, the optic disc, and the macula, with high precision. In this context, recent reviews underscore that, despite the advances, inherent challenges persist in the segmentation of fundus images, such as low contrast, anatomical variability, and acquisition differences between devices [1]. This advancement not only focuses on speeding up the diagnostic process by reducing the time experts need to examine each image but also enhances impartiality by minimizing observer variability. Integrating computational techniques into procedures strengthens the early detection of vision-threatening diseases, such as diabetic retinopathy and glaucoma, thereby promoting more effective and affordable healthcare.
Likewise, regarding architectural advances, significant improvements have been proposed, such as the integration of attention mechanisms in convolutional network variants and model optimizations, which have demonstrated high segmentation accuracy across diverse datasets [2]. Recently, machine learning has experienced a significant resurgence, driven by the increase in computational power and the accessibility to large amounts of data. As the volume of data grows, deep learning models have shown significant improvements in performance, surpassing many conventional machine learning methods in both accuracy and efficiency. These results have enabled the development of more precise and efficient diagnostic models with particular significance in ophthalmology, where deep learning applications in ophthalmic images facilitate automated diagnoses and optimizing processing times while reducing costs [3].
However, a significant gap still exists between methodological development and clinical application: the need to achieve the highest possible accuracy with models that do not require excessive computational resources, which would allow for their implementation in settings with limited infrastructure. Likewise, it is essential to adopt metrics that integrate not only computational performance but also clinical relevance, so that the segmentation results in fundus images can translate into real diagnostic value [4]. In this study, we review and analyze recent literature focused on the segmentation of anatomical structures in healthy eyes using various models incorporating a range of architectures. To understand the complexity of these models is key for improving both diagnostic accuracy and efficiency with the ultimate goal of optimizing patient care. In this article, we focus on the evaluation of computational cost in relation to the accuracy of different models to identify the most suitable techniques given the specific characteristics of a clinical setting. A bibliographic review was performed covering the period from 2014 to 2025, following the PRISMA [5] methodology guidelines, ensuring a rigorous selection process and a critical review of the studies included.
Traditional methods for diagnosing ophthalmic diseases rely on clinical evaluations and, increasingly, on imaging devices with various modalities. Although this process is often time-consuming and costly, it has also positioned ophthalmology as one of the medical specialties best suited to leverage deep learning (DL) techniques for clinical applications. There is evidence shown in several studies that the use of deep learning algorithms in digital fundus images and visual field tests facilitates the identification of common diseases that threaten vision therefore resulting in automated diagnosis [6].
2. Materials and Methods
2.1. Research Motivation
This section presents the research questions used as well as the motivation behind them. In the context of the need to identify methodologies used for the segmentation of digital fundus images as well as different methods such as traditional signal processing and machine learning algorithms, evaluate their performance, and determine the knowledge gaps existing in the area. Below is a summary of each research question along with its respective motivation in Table 1:
Table 1.
Table of Research Questions and Motivation.
2.2. Data Sources and Search Strategies
The review was conducted following the PRISMA [5] (Preferred Reporting Items for Systematic Reviews and Meta-Analyses) methodology guidelines. This allowed us to simplify the identification, assessment, relevance selection, and filtering of studies pertinent to the analysis. An exploration strategy was implemented across the following academic databases: PubMed, Scopus, and IEEE Xplore. These databases were chosen for their robustness in multidisciplinary scientific literature. The search was carried out using a combination of keywords and terms related to the segmentation of anatomical structures in digital fundus images through digital processing and machine learning techniques. Search terms included “machine learning” AND “segmentation” AND “fundus photography” AND “image segmentation” AND “Ophthalmology”. The search was restricted to studies published between 2014 and 2025, and only articles in English were included. To structure and optimize the search process, descriptors along with their synonyms were utilized, as shown in Table 2.
Table 2.
Search descriptors and synonyms used.
The complete details of the searches, including the applied filters and structured search strings, are presented in Table 3.
Table 3.
Databases consulted and search queries used for each case.
2.3. Identified Studies
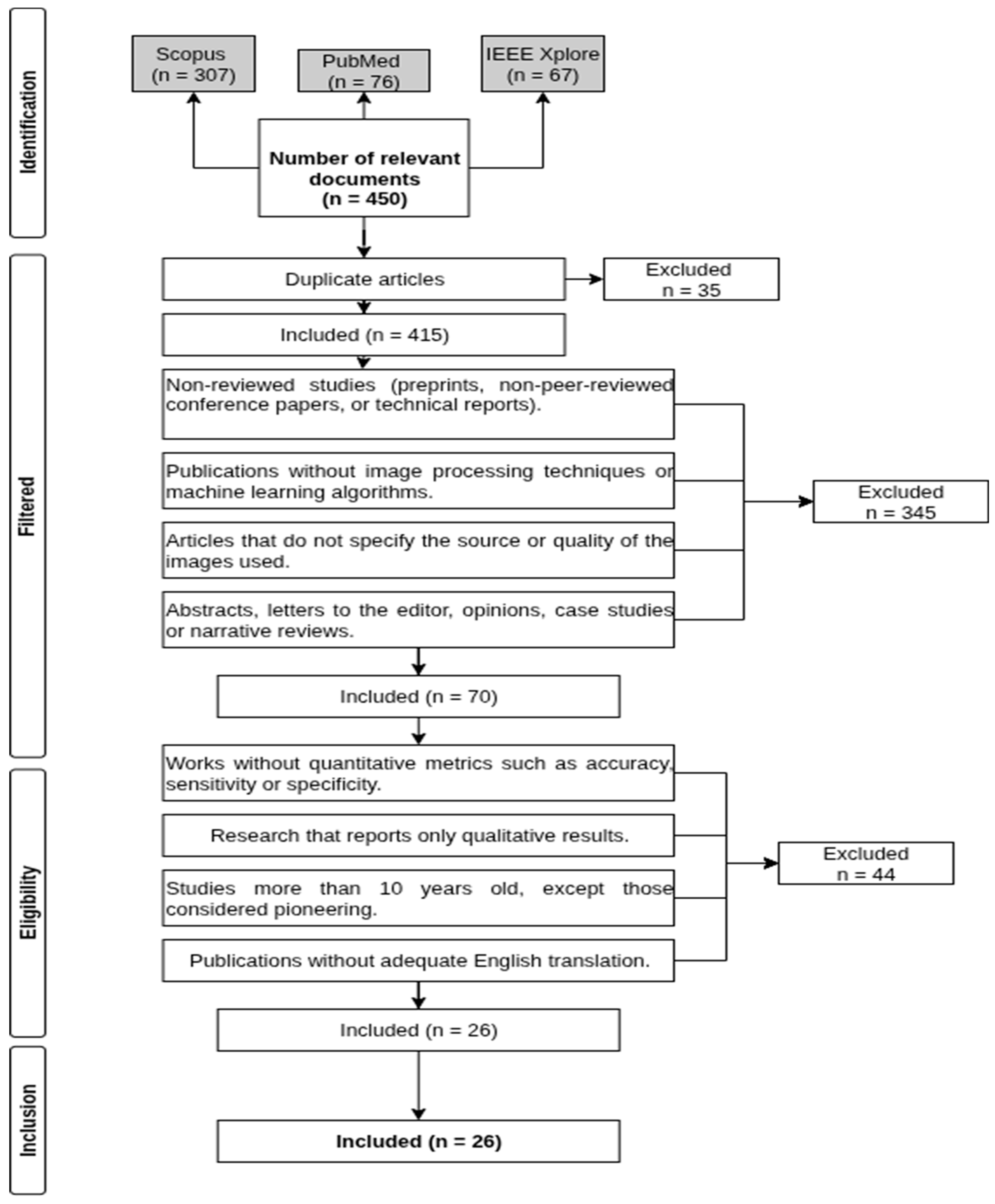
A total of 450 articles were retrieved from the three selected databases, as shown in Figure 1. During this process, articles that did not meet the proposed criteria for this systematic review were excluded based on the tabulation of the study intervention characteristics. This approach helped minimize the risk of errors by prioritizing a detailed description of the anatomical structures of the eye and defining the purpose of the developed algorithm.
Figure 1.
Number of identified studies.
2.4. Selection Criteria
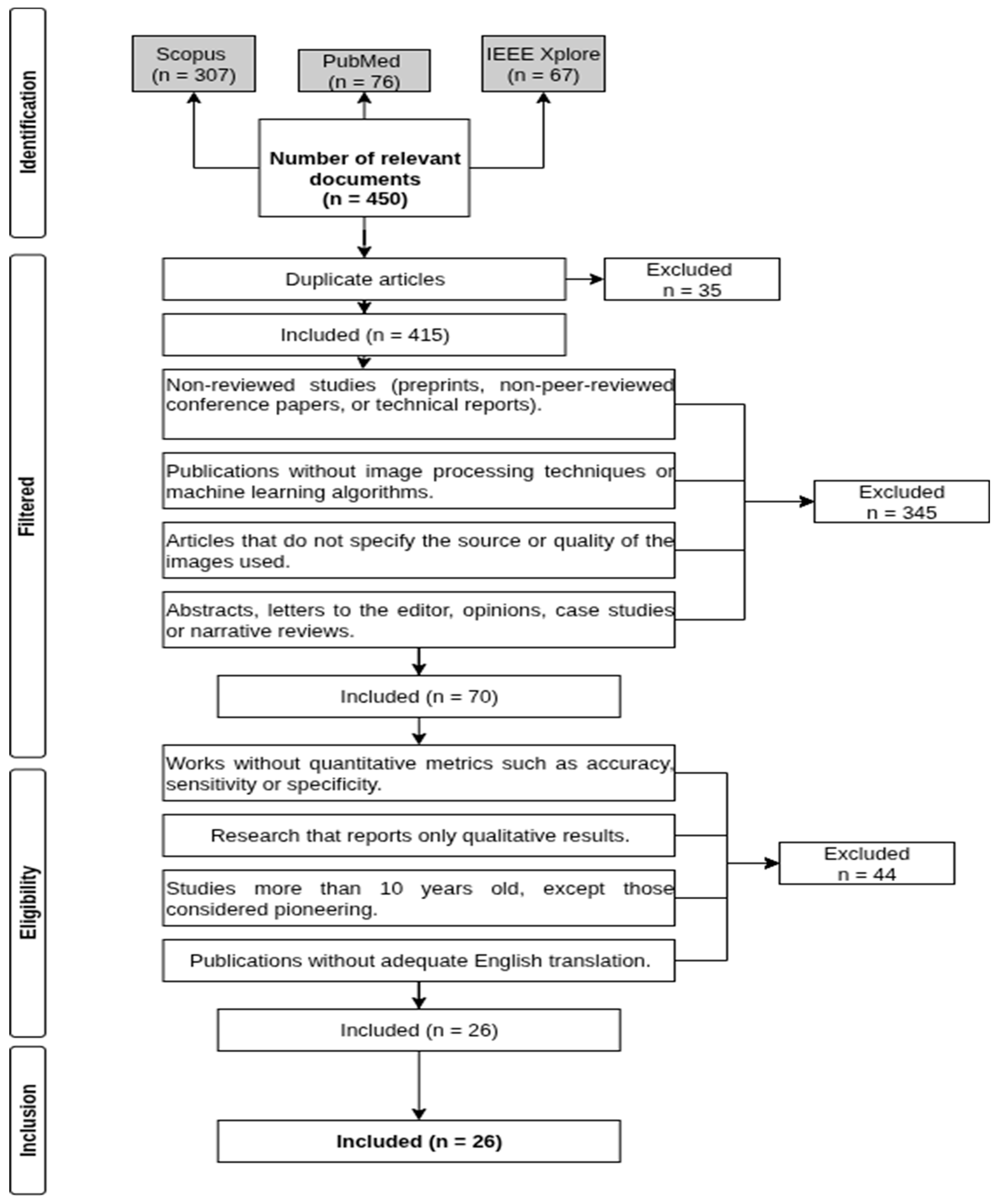
The study selection process was conducted in two stages. First, the titles and abstracts of the identified articles were reviewed to exclude those that did not meet the inclusion criteria. Then, the full texts of the preselected studies were analyzed to assess the effectiveness of segmentation techniques in fundus imaging using machine learning, including only those with complete and detailed results. The reasons for exclusion were documented and presented in a PRISMA flow diagram [7]. Finally, a preliminary comparative synthesis of the reviewed studies was performed.
Studies were excluded if they met any of the following criteria:
- Non-peer-reviewed studies (preprints, non-reviewed conference papers, or technical reports).
- Publications that do not include image processing techniques or machine learning algorithms.
- Articles that do not specify the source or quality of the images used.
- Abstracts, letters to the editor, opinion pieces, case studies, or narrative reviews.
- Studies lacking quantitative metrics such as accuracy, sensitivity, specificity, or AUC-ROC.
- Research reporting only qualitative results.
- Studies older than 10 years, except for those considered pioneering works.
- Publications without an adequate English translation.
2.5. Studio Selection
A total of 450 records were initially identified through database searches (PubMed, Scopus, IEEE Xplore). After removing 35 duplicates, 415 studies were screened for eligibility. Of these, 345 were excluded during the title and abstract screening for not meeting the inclusion criteria. The full-text analysis was then performed on 70 articles, of which 26 were retained for final synthesis. The entire process is documented in the PRISMA flow diagram (Figure 2) [7].
Figure 2.
PRISMA process for article selection.
To ensure methodological transparency, we also report the 44 articles excluded at the last eligibility stage. While these studies often provided valuable insights into retinal imaging and computational methods, they did not align with our predefined scope focused on pixel-level segmentation of healthy anatomical structures in fundus images. Exclusion criteria included works primarily aimed at disease classification, glaucoma-specific cup-to-disc ratio estimation, pathology-driven studies, outdated methodologies, or approaches relying exclusively on weakly supervised or few-shot paradigms.
Table 4 provides a clustered summary of representative exclusions, including the study reference, its main contribution, and the rationale for exclusion.
Table 4.
Representatives excluded studies grouped by thematic cluster.
The full tabulation of all excluded articles at this point of the PRISMA process (Eligibility) including title, main findings, and reason for exclusion, is presented in the Appendix A (Table A1).
2.6. Quality Assessment
During this stage, the selected studies were analyzed using six quality assessment (QA) criteria. In the final selection and filtering phase, the official list of included articles was compiled through a quality evaluation, ensuring that the research described in the studies was both comprehensible and precise. Each fully analyzed article was assessed using the six criteria on a scale from 1 to 3, where 1 represents “Poor,” 2 represents “Fair,” and 3 represents “Excellent.” A minimum threshold of 10 out of 18 points was set for study inclusion. As a result, all primary studies met the quality criteria, scoring 10 or higher. This process followed the methodology proposed by Kitchenham, Mendes, and Travassos [22], which establishes a systematic approach for quality assessment in literature reviews. Table 5 provides a detailed description of the aspects evaluated in each article, while Table 6 presents the score distribution for each criterion across the selected studies, illustrating their compliance with the established standards.
Table 5.
Quality assessment criteria.
Table 6.
Results of the quality assessment.
2.7. Synthesis of Findings or Data Synthesis
After the selection process, a total of 26 articles were obtained. Of these, 22 employ supervised learning approaches, with 19 focusing on deep learning techniques. Among these 19 studies, 7 utilize convolutional neural networks (CNNs), 2 implement fully convolutional networks (FCNs), 5 employ U-Net architectures, and the remaining 4 explore various advanced deep learning architectures. Additionally, two articles were identified that apply more traditional machine learning approaches. One of these employs an Extreme Learning Machine (ELM), while the other focuses on a structured learning-based method for image processing. Regarding digital image processing techniques, two studies were found: one utilizing a modified matched filter and another applying data mining techniques.
Additionally, two articles are based on unsupervised learning, both utilizing deep learning. One employs a semi-supervised approach with deep networks, while the other utilizes Generative Adversarial Networks (GANs). Figure 3 presents a diagram that classifies the 26 reviewed articles according to the approaches and techniques used.
Figure 3.
Diagram of content in articles selected for this study.
Articles included in this study followed the rationale of determining the most appropriate techniques for the segmentation of fundus images reported in them. The resulting subset of articles aim to address fundamental questions, such as achieving accurate segmentation of anatomical structures, evaluating different machine learning methods, and examining the impact of computational cost in the development of segmentation algorithms for affordable clinical use. Additionally, the results obtained in terms of accuracy and computational efficiency are explored.
In addition, to provide a clear overview of the resources that supported the reviewed experiments, we include a summary of the main publicly available datasets used in the segmentation of fundus images. Highlighting this fact serves as a key indicator of the high methodological quality of the current literature in this field. The frequent use of multiple independent databases minimizes the risk of overfitting and increases confidence in the generalization capacity and clinical robustness of the analyzed algorithms. Table 7 presents the most widely employed datasets, detailing their characteristics and intended purposes.
Table 7.
Publicly available datasets most frequently used in fundus image segmentation studies, including the number of images, resolution, type of annotations, and main purpose.
3. Results
3.1. Deep Learning Algorithms Architecture
This section presents the analysis of various deep learning architectures applied to the segmentation of anatomical structures in fundus images, including Convolutional Neural Networks (CNNs), Fully Convolutional Networks (FCNs), U-Nets, and other advanced architectures. For each group of architectures, a concept map is presented to show the included studies according to their methods, and the main findings have been summarized in comparative tables. The concept map related to CNNs is presented in Figure 4.
Figure 4.
Concept map showing the reviewed studies using Convolutional Neural Networks, organized by anatomical structure segmented [23,24,25,26,27,28,29].
In this section algorithms are applied to the segmentation and characterization of fundus images, primarily using deep neural networks (CNNs) and advanced image processing techniques. Notable approaches include segmentation using encoder–decoder networks, optimization of computational complexity, and the application of dropout patterns to enhance results. The models are evaluated on datasets such as DRIVE and STARE, demonstrating strong performance on key metrics, albeit with a trade-off between accuracy and sensitivity in some cases. GPUs are employed to train the models and optimize computational efficiency. Given the widespread use of CNNs in these studies, two comparative tables have been compiled: one (TA2) detailing the models, preprocessing techniques, image descriptors, classifiers, and computational costs, and another (TA3) summarizing the datasets used, clinical metrics, and performance measures. For further details, readers are referred to Table A2 and Table A3 in the Appendix A.
The provided summaries showcase a wide range of deep learning methodologies for analyzing retinal fundus images. CAMContrast by Yap and Ng [23] uses a two-stage approach to classify abnormalities and extract spatial information, while ColonSegNet by Aurangzeb et al. [25] focuses on computational efficiency, achieving high accuracy and sensitivity with a lightweight architecture suitable for low-performance devices. Other methods combine diverse techniques, such as the hybrid GOFED-RBVSC model from Abdullah Alkhaldi and Halawani [27], which integrates grasshopper optimization and fuzzy edge detection for precise classification and segmentation. Similarly, Zhang et al. [28] utilize advanced filters and a Support Vector Machine (SVM) classifier to enhance vascular contrast. Morís et al. [26] prove the effectiveness of pre-training with a context encoder, particularly with limited datasets. Finally, modular systems like AutoMorph by Zhou et al. [29] and the shape regularization approach by Chen et al. [24] tackle multiple segmentation and classification tasks with outstanding results, highlighting the evolution towards more comprehensive and specialized solutions in medical image analysis.
Next, an alternative approach for fundus image segmentation is introduced: Fully Convolutional Networks (FCNs). Unlike traditional CNNs, which use fully connected layers at the end of the network, FCNs replace these with convolutional layers, enabling more efficient pixel-wise segmentation. Figure 5 illustrates the organization of the studies for FCNs.
Figure 5.
Concept map showing the reviewed studies using Fully Convolutional Networks, organized by anatomical structure segmented [30,31].
Both methods (CNNs and FCNs) employ deep learning techniques, integrating image preprocessing and prior knowledge to enhance the accuracy of anatomical structures classification, such as blood vessels and the optic disc. These networks combine high-level semantic feature extraction with deconvolution techniques or weakly supervised learning, achieving high performance in specific tasks such as cataract segmentation or optic disc detection, demonstrating good accuracy on datasets.
Both Li et al. [30] and Wang et al. [31] propose solutions for fundus image analysis using Fully Convolutional Neural Networks (FCNs), but they focus on different tasks: vessel segmentation and optic disc detection, respectively. Li et al. [30] use a complex FCN architecture with three parallel deep convolutional networks, combining grayscale and edge information to extract blood vessels. Their method, implemented using Caffe on a system with a Quadro K620 GPU, shows strong performance on normal fundus images with an accuracy of 0.9491, though its effectiveness decreases with more severe cataracts. In contrast, Wang et al. [31] present a weakly supervised FCN approach for optic disc detection. Their method integrates high-level semantic information with prior knowledge of the optic disc region’s background. Running on a more powerful system with an NVIDIA Quadro P400 GPU, their model demonstrates superior accuracy on public datasets like DRISHTI-GS and IDRiD, achieving an IoU of 0.918 and 0.872, respectively. While Li et al. [30] focus on a specific pathology (cataracts), Wang et al. [31] provide a more robust and widely applicable solution for optic disc detection. Given the widespread use of FCNs in these studies, two comparative tables have been compiled to facilitate analysis: one (TA4) detailing the FCN architecture, preprocessing techniques used, classifiers employed, and performance in terms of accuracy, sensitivity, and specificity; another (TA5) summarizing the datasets used, performance metrics, and evaluation conditions. For further details, readers are referred to Table A4 and Table A5 in the Appendix A.
For U-Net-based models, Figure 6 presents their conceptual map, illustrating the network structure and key components, such as the encoder–decoder architecture, skip connections, and the use of activation and regularization functions.
Figure 6.
Concept map showing the reviewed studies using U-Net Networks, organized by anatomical structure segmented [32,33,34,35,36].
The U-Net architecture, initially proposed for biomedical image segmentation, is characterized by its symmetrical encoder–decoder structure with skip connections that preserve spatial features during the segmentation process. These studies focus on improving the segmentation of blood vessels in fundus images through U-Net architecture variants. The models incorporate advanced techniques such as attention modules, multi-scale convolutions, and transformers to optimize vessel segmentation performance, particularly for thin or complex morphology vessels.
The CF-Loss model by Zhou et al. [32] is unique in integrating vessel density and fractal dimension directly into the loss function, generating more clinically meaningful segmentations. For optic disc and cup segmentation, the hybrid TUNet model by Li et al. [33] combines the global information of Transformers with the spatial detail of U-Net, achieving superior performance. Other studies focus on improving the segmentation of thin vessels and low-contrast images, such as the model by Rong et al. [34], which uses self-calibrated convolutions and spatial attention modules, and the SDAU-Net by Sun et al. [35], which integrates serial deformable convolutions and attention mechanisms. Finally, the CSU-Net model by Wang et al. [36] employs a dual-channel encoder to capture contextual and spatial information, demonstrating its effectiveness in detecting ocular diseases and handling variations in image quality.
Recent research has improved U-Net-based architectures to address the complexity of retinal vessels. Jiang et al. [47] proposed a lightweight U-Net with integrated transformers, incorporating FSTB and RGCTB blocks to select relevant features and capture global context, achieving better segmentation of thin and low-contrast vessels. In turn, Duan et al. [48] developed DAF-UNet, which integrates deformable convolutions and an adaptive dilated fusion block to adapt to irregular morphologies and extract multi-scale information. Both approaches show substantial improvements in accuracy and robustness compared to conventional U-Net models, highlighting the key role of attention mechanisms, deformable operations, and multi-scale feature fusion in achieving clinically meaningful retinal vessel segmentation.
All approaches in this group use common public datasets, enabling consistent result comparisons. Additionally, they apply optimization techniques such as stochastic gradient descent and Adaptive Moment Estimation (ADAM), reporting performance metrics include sensitivity, specificity, F1-score, and AUC, demonstrating significant improvements over traditional methods. Given the frequent use of U-Nets in these studies, two comparative tables have been compiled: one (TA6) detailing the U-Net architectures, preprocessing techniques used, classifiers, and performance metrics such as accuracy, sensitivity, and specificity; and another (TA7) summarizing the datasets used, performance metrics, and evaluation conditions. For further details, readers are referred to Table A6 and Table A7 in the Appendix A.
Finally, various hybrid architectures that combine different approaches and techniques to enhance retinal vessel segmentation in fundus images will be discussed. Figure 7 presents the corresponding diagram. These methods use architectures that integrate deep learning techniques with traditional digital image processing, leveraging the strengths of different methods to address specific challenges such as the segmentation of thin, low-contrast, and hard-to-detect vessels.
Figure 7.
Concept map showing the reviewed studies using other architectures, organized by anatomical structure segmented [37,38,39,40].
The studies in this subset implement deep neural network architectures for the segmentation of retinal vessels in fundus images, employing similar supervised learning-based approaches. These architectures incorporate modules designed to enhance the segmentation of thin and hard-to-detect vessels, such as encoder–decoder networks, focused attention on “difficult” regions, and multi-scale feature learning.
Proposals like CSGNet by Guo [37] and HAnet by Wang et al. [38] implement attention and multi-scale strategies to improve the detection of thin and low-contrast vessels. Guo uses a low-to-high approach with strip convolutions to align with vessel shape, while Wang et al. segment “easy” and “hard” regions separately. Other approaches, such as the one by Liskowski and Krawiec [39], focus on optimizing the network architecture (e.g., by removing max-pooling layers) and using image patches for training, which demonstrated high concordance with manual standards. Similarly, MSR-DNVS by Cherukuri et al. [40] stands out for its ability to learn curvilinear features adapted to vascular morphology.
The commonly used datasets in these studies include DRIVE, STARE, CHASE DB1, and HRF. Experiments were conducted using frameworks such as Caffe and NVIDIA GPUs, with optimization configurations including Xavier initialization and the Adam optimizer. Given the frequent use of diverse architectures in these studies, two comparative tables have been compiled: one (TA8) detailing the model architecture, preprocessing techniques used, classifiers, and performance metrics such as accuracy, sensitivity, and specificity; and another (TA9) summarizing the datasets used, performance metrics, and evaluation conditions. For further details, readers are referred to Table A8 and Table A9 in the Appendix A.
3.2. Machine Learning Architecture
This section analyzes machine learning-based approaches applied to the segmentation of anatomical structures in fundus images. Figure 8 presents a conceptual map that organizes the reviewed studies according to their methodologies and employed techniques.
Figure 8.
Concept map showing the reviewed studies using Machine Learning methods, organized by anatomical structure segmented [41,42].
Machine learning methods are used in this subset of articles to extract image features such as the optic disc and retinal blood vessels. One approach is based on extracting 39-dimensional feature vectors for each pixel, including local, morphological, and other characteristics, combined with an Extreme Learning Machine (ELM) classifier for retinal vessel segmentation, evaluated on datasets such as DRIVE and RIS. Another method focuses on optic disc (OD) detection, utilizing a classifier to detect edges, followed by thresholding and the Hough transform to segment the OD, evaluated on datasets such as MESSIDOR, DRIONS, and ONHSD.
Both Zhu et al. [41] and Fan et al. [42] demonstrate that effective retinal image analysis can be achieved with methods that move away from complex deep learning architectures in favor of traditional classifiers and feature engineering. Zhu et al. [41] propose a fast and efficient approach for vessel segmentation by extracting a comprehensive 39-dimensional feature vector per pixel and using an Extreme Learning Machine (ELM) classifier, achieving competitive performance with notable training times of less than 5 min on the DRIVE dataset. Meanwhile, Fan et al. [42] focus on optic disc detection by employing a Random Forest classifier to detect edges and then a circular Hough transform to approximate the disc’s shape. This method is exceptionally fast, with an average computation time of just 1.75 s. Together, these studies highlight that traditional, feature-based and classifier-driven methods remain a relevant and powerful alternative in computational ophthalmology, offering robust and computationally lightweight solutions for specific tasks.
Both works employ feature extraction techniques and classifiers and are evaluated on public datasets, comparing their results with existing methods using metrics such as accuracy, sensitivity, and specificity. Given the frequent use of diverse architectures in these studies, Table A10 and Table A11 in the Appendix A have been compiled: one detailing the model architectures, preprocessing techniques used, classifiers, and performance metrics such as accuracy, sensitivity, and specificity; and another summarizing the datasets used, performance metrics, and evaluation conditions. Additionally, comparisons are made regarding the datasets used, performance metrics, and evaluation conditions. For further details, refer to Table A10 and Table A11 in the Appendix A.
3.3. Digital Image Processing
This section analyzes digital image processing-based approaches applied to the segmentation of anatomical structures in fundus images. Figure 9 presents a conceptual map that organizes the reviewed studies according to their methodologies and employed techniques.
Figure 9.
Concept map showing the reviewed studies using Digital Image Processing methods, organized by anatomical structure segmented [43,44].
The studies propose segmentation methods for fundus images using hybrid approaches that combine image processing and advanced data analysis techniques. One approach employs image processing methods such as color space conversion, contrast enhancement, and Gabor filtering, along with data mining techniques such as principal component analysis, clustering, and classification. Both Geetharamani and Balasubramanian [43] and Dharmawan et al. [44] present non-deep learning approaches for retinal image analysis, leveraging traditional image processing and data mining techniques to achieve their goals. Geetharamani and Balasubramanian [43] focus on vessel segmentation, combining image processing steps like CLAHE and Gabor filtering with data mining methods such as PCA and Naïve-Bayes classification on the STARE dataset. While their approach achieves high accuracy (95.20% in healthy images), it still required post-processing to connect vessels, with a resulting sensitivity of 68.59%. In contrast, Dharmawan et al. [44] concentrate on the more robust task of optic disc (OD) segmentation, proposing a multi-stage algorithm that includes size estimation, localization via a combination of methods, and contour detection using a modified matched filter and the Circular Hough Transform. Their method demonstrates remarkable localization success, achieving a 100% detection rate on the DRIVE dataset and 99.33% on MESSIDOR.
These studies present various architectures, with comparative tables detailing model architectures, preprocessing techniques, classifiers, and performance metrics (accuracy, sensitivity, specificity). Additionally, comparisons are made regarding the datasets used, performance metrics, and evaluation conditions. All this information is reported in Table A12 and Table A13 of the Appendix A.
3.4. Unsupervised and Semi-Supervised Learning
This section analyzes the approaches based on unsupervised and semi-supervised learning techniques used for the segmentation of anatomical structures in fundus images. Figure 10 presents the corresponding concept map.
Figure 10.
Concept map showing the reviewed studies using Unsupervised and Semi-supervised Learning, organized by anatomical structure segmented [45,46].
The two studies suggest architectures based on semi-supervised learning methods to optimize segmentations. The first method uses Conditional Generative Adversarial Networks (cGANs) to segment the optic disc and cup, utilizing both labeled and unlabeled data. The second method employs DeepLabv3+ alongside EfficientNet-B3 for fovea segmentation, also using a combination of labeled and unlabeled information. Both works show advancements in accuracy and performance, highlighting the effectiveness of semi-supervised learning in improving segmentation in scenarios with limited data.
Both Ghosh et al. [45] and Liu et al. [46] leverage semi-supervised learning to address the challenge of limited labeled data in medical imaging. Ghosh et al. [45] propose a fovea segmentation algorithm using an efficient DeepLabv3+ architecture with EfficientNet-B3 as a feature extractor. To improve performance, they incorporate 1200 unlabeled images and a combination of loss functions (BCE and Tversky) to handle class imbalance. Meanwhile, Liu et al. [46] focus on the joint segmentation of the optic disc and cup through a framework of conditional adversarial generative networks (cGANs). This adversarial approach allows them to learn from both labeled and unlabeled data, achieving high precision and an extremely fast inference time. Although both studies demonstrate the effectiveness of semi-supervised learning, they differ in their approach: Ghosh et al. [45] use an encoder–decoder architecture for a specific task, whereas Liu et al. [46] employ a generative framework for a more complex, simultaneous segmentation.
These studies present several models, complemented by comparative tables specifying preprocessing techniques, classifiers used, and performance indicators (accuracy, sensitivity, specificity). Additionally, comparisons are made regarding the datasets employed, performance measures, and evaluation conditions. For more information see Table A14 and Table A15 in the Appendix A.
4. Discussion
The use of artificial intelligence has gained significant relevance in ophthalmology, as it provides powerful tools for achieving more accurate and efficient diagnoses through the segmentation and classification of digital fundus images. In this context, several recent studies have proposed algorithms that address the specific challenges of this task using innovative deep learning techniques, while traditional approaches such as image processing still remain prevalent. In this way, the contrast between deep learning models and classical methods not only highlights their differences in terms of accuracy and efficiency, but also establishes a necessary framework to understand the role they play in resource-constrained environments or real-time applications. In such contexts, the challenge lies in selecting architectures capable of maintaining competitive performance without compromising practical feasibility. However, since the review encompasses a wide range of methodologies, including deep learning models as well as classical image analysis techniques which do not rely on concepts such as layers or parameters, applying the same evaluation criteria uniformly would result in a methodologically biased or incomplete comparison. For this reason, the exact number of layers, neurons, or parameters of each cited model has not been included, as this information is not reported consistently across studies and is secondary to the main objective of the review, which is to compare categories of algorithms and their algorithmic and clinical metrics. Therefore, a detailed breakdown of different technical proposals is presented below, illustrating how each approach has sought to address specific challenges from the segmentation of low-contrast vessels to the optimization of networks for devices with computational limitations, while highlighting both their strengths and the constraints that remain.
CNNs have proven to be one of the most versatile architectures for segmenting anatomical structures. Yap and Ng [23] proposed CAMContrast, a valuable technique based on visible features, though it incurs a high computational cost due to the use of powerful GPUs such as the NVIDIA V100. Aurangzeb et al. [25] introduced ColonSegNet, optimized for low-performance devices, although it requires validation on more complex images.
Similarly, models developed by Morís et al. [26] and Abdullah Alkhaldi & Halawani [27] have shown advancements in blood vessel segmentation, but without detailing the computational cost involved. Zhang et al. [28] improved vascular structure contrast using B-COSFIRE filters, though with low sensitivity in one of the datasets, indicating limitations in detecting thinner vessels. Zhou et al. [29], with AutoMorph, achieved detailed segmentation of retinal structures, but its processing time per image (20 s) could limit its applicability in real-time clinical environments.
FCNs, unlike traditional CNNs, do not contain dense layers and achieve pixel-level segmentation. Li et al. [30] implemented an architecture with three parallel deep convolutional neural networks (DCNNs) to segment blood vessels in patients without cataracts, showing promising results for healthy fundus images. Wang et al. [31] developed a method for optic disc detection by generating an image feature matrix, demonstrating the effectiveness of FCNs in segmenting large and prominent structures.
U-Nets have been widely adopted in medical segmentation due to their ability to detect small structures. Zhou et al. [32] utilized U-Nets and BF-Nets to enhance the inclusion of clinically relevant features in the loss function, optimizing vessel segmentation. Hybrid models have further enhanced segmentation capabilities, as demonstrated in the research by Li et al. [33], who merged a CNN with Transformers, and in the work by Rong et al. [34], who used Self-Calibrated Convolutions (SCC) and an Enhanced Spatial Attention Module (ISAM). Sun et al. [35] integrated Series Deformable Convolution (SDC) and attention mechanisms, while Wang et al. [36] incorporated a context channel and a spatial channel, along with a Feature Fusion Module (FFM) and a Spatial Attention Module (ASM). Building on these foundations, more recent studies have proposed strategies to optimize both performance and efficiency. Jiang et al. [47] introduced a lightweight U-Net with integrated transformers, employing FSTB and RGCTB blocks to selectively capture relevant features and global context, which notably improves the segmentation of thin and low-contrast vessels. Similarly, Duan et al. [48] developed DAF-UNet, incorporating deformable convolutions and an adaptive dilated fusion block to adapt to irregular vessel morphologies while extracting multi-scale information. Both models demonstrate substantial improvements in accuracy and robustness compared to conventional U-Net architectures. Even though these methods enhance accuracy, they also increase computational costs, which could limit their application in resource-constrained environments or real-time applications.
Other architectures have aimed to refine segmentation in more challenging contexts. Guo [37] proposed CSGNet, aimed at segmenting thin and low-contrast vessels, although it could benefit from additional optimization methods. Wang et al. [38] developed HAnet, a model that separately divides “easy” and “difficult” areas, optimizing the identification of small and tortuous vessels, although it requires a solid preprocessing stage. Liskowski and Krawiec [39] experimented with deep neural networks (DNNs), demonstrating their robustness against contrast variations, although requiring high computational demands. Finally, Cherukuri et al. [40] designed MSR-DNVS, which captures geometric details of vascular morphology through multi-scale regularization, though its high computational complexity limits real-time applicability.
In supervised learning, Zhu et al. [41] proposed an Extreme Learning Machine (ELM) classifier that extracts a 39-dimensional feature vector per pixel, achieving high accuracy with short segmentation times, though it could benefit from dimensionality reduction. Fan et al. [42] developed a random forest-based model to detect edges in fundus images, notable for its computational efficiency but with limitations in irregular geometries.
In digital image processing, Geetharamani and Balasubramanian [43] combined image processing techniques (CLAHE, Gabor filtering) and data mining methods (K-means, Naïve Bayes, C4.5 with bagging) to segment vessels in the STARE dataset. They implemented image processing in MATLAB and classification in Tanagra, incorporating additional techniques to improve vessel connectivity. Dharmawan et al. [44] proposed a method to segment the optic disc by estimating its size and location using templates, vessel density, and maximum entropy, followed by contour detection with Dolph-Chebyshev filtering, Circular Hough Transform, and B-spline approximation.
In semi-supervised learning, Ghosh et al. [45] proposed a model based on DeepLabv3+ with EfficientNet-B3, optimized for resource-limited devices, although it requires costly hyperparameter tuning. Liu et al. [46] employed conditional generative adversarial networks (cGANs), enabling adaptation to data variations without the need of a high quantity of labeled images. Although its processing is efficient, training can be unstable and requires special attention to the fine-tuning stages to prevent convergence issues.
As a general observation, we found that preprocessing plays a crucial role in optimizing segmentation, using key methods such as grayscale transformation, normalization, and data augmentation. CLAHE (Contrast Limited Adaptive Histogram Equalization) was the most used procedure, as it enhances contrast in structures with poor visibility, particularly in smaller vessels. The choice of classifiers and image descriptors also significantly impacts the model’s accuracy and efficiency, depending on factors such as data characteristics and available computational resources.
Moreover, it is essential to differentiate the purpose of evaluation: Algorithmic Metrics are technical indicators that measure performance and pixel-level agreement between automatic segmentation and expert-annotated Ground Truth, while Clinical Metrics are biomedical indicators derived from successful segmentation, focused on the diagnostic value of the image and capable of translating technical results into quantifiable and clinically meaningful information for the assessment of ophthalmic normality and the management of ocular diseases. As mentioned previously, the results corresponding to each of these techniques can be found in the Appendix A section.
This work did not aim to perform an exhaustive benchmark of specific implementations, but rather to provide a comparative overview of the main techniques applied to fundus image segmentation, distinguishing between deep learning and classical methods. The goal was to assess the cost–benefit balance between algorithms, considering achieved accuracy and computational resources, without detailing layers, neurons, or model parameters, as such information is inconsistently reported in the literature. Rather than comparing hardware configurations or training times, the emphasis was on algorithm categories to draw conclusions on clinical applicability and feasibility in different settings. It is worth noting that this review focused on the segmentation of healthy anatomical structures; most articles do not report efficiency metrics such as inference time or memory usage, so computational complexity was assessed based on model architecture, and techniques for lesion or pathology segmentation were not addressed, limiting conclusions to early-stage diagnostic or screening applications.
5. Conclusions
In this work, the objective was to present a comprehensive and critical literature review on segmentation and classification approaches in digital fundus images. Beyond merely summarizing existing techniques, this study contributes by systematically contrasting classical machine learning models with advanced deep learning models in terms of accuracy, computational resources, and clinical applicability. In doing so, it provides a structured understanding of how different algorithmic families address the segmentation of key anatomical structures, such as retinal vessels, the optic disc, and the fovea, thus offering a scientific framework that highlights the trade-offs between diagnostic accuracy and computational feasibility. This contribution not only synthesizes the state of the art but also clarifies methodological trends and persistent gaps that hinder clinical translation.
Advanced models, such as U-Net and CNN-based deep learning architectures, demonstrate high precision in segmenting complex and subtle structures, including fine blood vessels, the fovea, and the optic disc. These models excel at extracting specific features and adapting to variations in image quality, making them ideal for clinical diagnostic applications where accuracy is crucial. However, their relatively high computational demands limit their applicability in resource-constrained settings. On the other hand, classical and balanced methods, including classifiers such as SVM, ELM, and random forests, along with feature descriptors, represent effective and resource-efficient alternatives, especially for real-time or near-real-time applications using devices with limited capabilities. Although these methods are less precise in segmenting complex structures, they provide acceptable results in environments where speed and efficiency are prioritized.
From a medical or ophthalmological perspective, the analysis of fundus images has fundamental clinical relevance, as it enables the early detection and monitoring of ocular and systemic diseases. Therefore, tools that segment key anatomical structures allow clinicians to reduce their workload, accelerating and prioritizing cases that require more than a brief consultation. According to the studies reviewed in this article, the segmentation of retinal blood vessels is a problem that can be addressed using most existing techniques, ranging from advanced architectures to data mining. This suggests that it is not a particularly challenging structure to manage in both clinical and computational contexts. However, the optic disc presents a different challenge, as although several studies focus on its segmentation, most rely on supervised learning through deep learning techniques. This means that, unlike retinal vessels, the optic disc requires higher computational costs. The fovea is even more critical due to the scarcity of studies focused on this structure, owing to its complexity. Of the 26 selected studies, only two focus on the fovea, one using semi-supervised learning and the other CNNs. Neither reports the computational cost required for such segmentation, making it difficult to determine the most suitable model for clinical implementation. This remains a significant challenge for future research.
Finally, although the models used are efficient, developing hybrid approaches that combine features of deep models with classical methods could offer balanced solutions, maximizing accuracy while minimizing computational cost. Moreover, future research should explicitly aim to bridge the current gap: achieving clinically relevant precision with lightweight models suitable for low-resource settings and adopting evaluation metrics that integrate both computational and clinical perspectives. Exploring semi-supervised learning, domain adaptation, and transfer learning techniques could also reduce dependence on large, annotated datasets, further expanding applicability in real clinical environments. In this regard, the path forward lies in designing segmentation frameworks that are not only technically robust but also clinically meaningful, resource-aware, and globally accessible, ensuring that the benefits of artificial intelligence in ophthalmology can translate into equitable improvements in visual healthcare.
Author Contributions
Conceptualization, L.J.G.Z., G.J.A.R., J.I.N.H., C.X.N.C. and M.V.B.; methodology, L.J.G.Z., G.J.A.R., J.I.N.H., C.X.N.C. and M.V.B.; analysis, L.J.G.Z. and B.L.L.C.; investigation, L.J.G.Z., B.L.L.C., G.J.A.R., J.I.N.H., C.X.N.C. and M.V.B.; data curation, L.J.G.Z. and B.L.L.C.; writing—original draft preparation, L.J.G.Z., B.L.L.C., G.J.A.R. and J.I.N.H.; writing—review and editing, L.J.G.Z., B.L.L.C., G.J.A.R., J.I.N.H., C.X.N.C. and M.V.B.; visualization, L.J.G.Z., B.L.L.C., G.J.A.R. and J.I.N.H.; supervision, G.J.A.R., J.I.N.H., C.X.N.C. and M.V.B. All authors have read and agreed to the published version of the manuscript.
Funding
L.J.G.Z. was supported by a scholarship from the Secretaría de Ciencia, Humanidades, Tecnología e Innovación (SECIHTI), México.
Conflicts of Interest
The authors declare no conflict of interest.
Abbreviations
The following abbreviations are used in this manuscript:
| ADAM | Adaptive Moment Estimation |
| CAM | Class Activation Maps |
| CNNs | Convolutional Neural Networks |
| cGANs | Conditional Adversarial Generative Networks |
| CLAHE | Contrast Limited Adaptive Histogram Equalization |
| SDC | Deformable Convolution |
| DNNs | Deep Neural Networks |
| DAM | Dual Attention Modules |
| ISAM | Enhanced Spatial Attention Module |
| ELM | Extreme Learning Machine |
| FFM | Feature Fusion Module |
| FCNs | Fully Convolutional Networks |
| GANs | Generative Adversarial Networks |
| GPU | Graphics Processing Unit |
| ICAVE | Improved Conditional Variational Auto Encoder |
| KNN | K-nearest Neighbors |
| LAM | Light Attention Modules |
| M2FL | Multi-Scale and Multi-Directional Learning Module |
| ORB | Oriented FAST and Rotated BRIE |
| OD | Optic Disc |
| PCA | Principal Component Analysis |
| ROI | Regions of Interest Extraction |
| SCC | Self-Calibrated Convolutions |
| SLIC | Simple Linear Iterative Clustering |
| ASM | Spatial Attention Module |
| SVM | Support Vector Machine |
| WLRR | Weighted Low-rank Matrix Recovery |
| WT | Whitening Transform |
Appendix A
Table A1.
Summary of the exclusion criteria applied to the reviewed studies, detailing the main reasons why certain articles were not included in the final survey.
Table A1.
Summary of the exclusion criteria applied to the reviewed studies, detailing the main reasons why certain articles were not included in the final survey.
| Cluster | References | Title | Main Findings/Contribution | Reason for Exclusion |
|---|---|---|---|---|
| Pathology-Oriented (Classification/Diagnosis) | Sivapriya et al. [54] | Automated diagnostic classification of diabetic retinopathy with microvascular structure of fundus images using deep learning method | Used ResEAD2Net with segmentation only as preprocessing; final goal DR classification. | Focus on classification/diagnosis, not segmentation. |
| Oguz et al. [8] | A CNN-based hybrid model to detect glaucoma disease | CNN + ML hybrid for glaucoma detection. | Classification focus, not anatomical segmentation. | |
| Pathan et al. [9] | An automated classification framework for glaucoma detection in fundus images using ensemble of dynamic selection methods | Combined image processing + classifiers for glaucoma detection. | Excluded for diagnostic focus. | |
| Sankari et al. [55] | Automated Detection of Retinopathy of Prematurity Using Quantum Machine Learning and Deep Learning Techniques | Hybrid CNN + QSVM model for pathology detection. | Classification oriented, outside segmentation scope. | |
| Ejaz et al. [56] | A deep learning framework for the early detection of multi-retinal diseases | CNN for detecting multiple retinal diseases. | Focused on disease detection, not segmentation of healthy structures. | |
| Diener et al. [57] | Automated Classification of Physiologic, Glaucomatous, and Glaucoma-Suspected Optic Discs Using Machine Learning | Classified optic discs (healthy, glaucoma, suspected). | Diagnostic objective; not segmentation. | |
| Muangnak et al. [58] | A Comparison of Texture-based Diabetic Retinopathy Classification Using Diverse Fundus Image Color Models | Texture-based classification of DR using multiple color models. | Classification only; not segmentation | |
| Wu et al. [59] | Deep Learning Detection of Early Retinal Peripheral Degeneration From Ultra-Widefield Fundus Photographs | Two-stage DL framework for peripheral degeneration detection. | Pathology-focused (screening/diagnosis). | |
| Dasari et al. [60] | An efficient machine learning approach for classification of diabetic retinopathy stages | Extracted features + SVM to classify DR stages. | Classification of DR severity; not segmentation. | |
| Gupta et al. [61] | Comparative study of different machine learning models for automatic diabetic retinopathy detection using fundus image | Compared ML models for DR detection. | Pathology detection focus. | |
| Rachapudi et al. [62] | Diabetic retinopathy detection by optimized deep learning model | Optimized DL model for DR diagnosis. | Diagnostic/DR focus. | |
| Sanghavy and Kurhekar [63] | An efficient framework for optic disk segmentation and classification of Glaucoma on fundus images | CNN with SLIC and graph cut segmentation. | Motivated by glaucoma detection. | |
| Yi et al. [64] | Compound Scaling Encoder–Decoder (CoSED) Network for Diabetic Retinopathy Related Bio-Marker Detection | Encoder–decoder with attention blocks. | Focused on diabetic retinopathy. | |
| Methodological Misalignment (Not Pixel-Level Segmentation) | Sun et al. [10] | Optic Disc Segmentation from Retinal Fundus Images via Deep Object Detection Networks | Faster R-CNN bounding-box to ellipse OD segmentation. | Treated as object detection, not pixel-level segmentation. |
| Zhang et al. [11] | Deep encoder–decoder neural networks for retinal blood vessels dense prediction | Encoder–decoder U-Net predicting vessel density maps. | Output was density prediction, not anatomical segmentation. | |
| Irshad et al. [65] | A new approach for retinal vessel differentiation using binary particle swarm optimization | Feature optimization for artery/vein classification. | Focused on classification, not segmentation. | |
| Liu et al. [66] | Wave-Net: A lightweight deep network for retinal vessel segmentation from fundus images | Wave-Net is a U-Net variant with detail enhancement and multi-scale fusion for precise retinal vessel segmentation. | Lacks significant methodological novelty. | |
| Raza et al. [67] | DAVS-NET: Dense Aggregation Vessel Segmentation Network for retinal vasculature detection in fundus images | Encoder–decoder with dense aggregation. | Lacks significant methodological novelty. | |
| Li et al. [68] | Accurate Retinal Vessel Segmentation in Color Fundus Images via Fully Attention-Based Networks | U-Net with dual attention modules. | Lacked clinical applicability discussion. | |
| Weak/Alternative Supervision Approaches | Xiong et al. [12] | Weak label based Bayesian U-Net for optic disc segmentation in fundus images | Bayesian U-Net with “weak labels.” | Relied on non-standard labels outside review scope. |
| Lu and Chen [69] | Weakly Supervised and Semi-Supervised Semantic Segmentation for Optic Disc of Fundus Image | Semi/weak supervision to reduce manual annotation. | Annotation methodology focus, not segmentation performance. | |
| Shao et al. [13] | Retina-TransNet: A Gradient-Guided Few-Shot Retinal Vessel Segmentation Net | Proposed few-shot 2Unet + GVF loss. | Excluded for few-shot premise, not general segmentation. | |
| Kadambi et al. [70] | WGAN domain adaptation for the joint optic disc-and-cup segmentation in fundus images | Domain adaptation with Wasserstein GAN. | Focused on domain transfer, not segmentation method. | |
| Artery/Vein Classification Instead of Segmentation | Hu et al. [14] | Multi-Scale Interactive Network With Artery/Vein Discriminator for Retinal Vessel Classification | Multi-scale network for artery/vein discrimination. | Task = classification, not anatomical segmentation. |
| Chowdhury et al. [15] | MSGANet-RAV: A multiscale guided attention network for artery-vein segmentation and classification from optic disc and retinal images | Deep learning network to classify arteries vs. veins. | Substructure classification focus. | |
| Hemelings et al. [71] | Artery-vein segmentation in fundus images using a fully convolutional network | FCN (U-Net) for artery/vein discrimination. | Emphasis on classification of vessel type. | |
| Glaucoma-Specific OD/OC Segmentation | Lui et al. [72] | Combined Optic Disc and Optic Cup Segmentation Network Based on Adversarial Learning | Polar transformation + adversarial learning for OD/OC. | Segmentation done for glaucoma diagnosis. |
| Elmannai et al. [17] | An Improved Deep Learning Framework for Automated Optic Disc Localization and Glaucoma Detection | Mask-RCNN for OD segmentation to detect glaucoma. | Pathology-focused | |
| Fu et al. [73] | Joint Optic Disc and Cup Segmentation Based on Multi-Label Deep Network and Polar Transformation | Multi-label U-Net for OD/OC segmentation. | Intrinsically pathology-driven (glaucoma). | |
| Joint optic disk and cup segmentation for glaucoma screening using a region-based deep learning network | Region-based CNN for OD/OC segmentation. | Motivated by glaucoma detection. | ||
| Ávila et al. [74] | Superpixel-Based Optic Nerve Head Segmentation Method of Fundus Images for Glaucoma Assessment | Superpixel clustering for ONH segmentation. | Goal: glaucoma evaluation. | |
| Gibbon et al. [75] | PallorMetrics: Software for Automatically Quantifying Optic Disc Pallor in Fundus Photographs, and Associations With Peripapillary RNFL Thickness | Quantified optic disc pallor for disease association. | Clinical pallor quantification, not segmentation. | |
| Zhao et al. [76] | Weakly Supervised Simultaneous Evidence Identification and Segmentation for Automated Glaucoma Diagnosis | Weakly Supervised Multi-Task Learning method (WSMTL) | Motivated by glaucoma detection. | |
| Outdated/Traditional Methods | Balasubramanian and N.P. [18] | ANN Classification and Modified Otsu Labeling on Retinal Blood Vessels | Pixel clustering + modified Otsu labeling. | Traditional/obsolete approach. |
| Suhasini and Chari [19] | Retinal Blood Vessel Segmentation through Morphology Cascaded Features and Supervised Learning | Multi-step morphological feature extraction. | Outdated methodology. | |
| Adapa et al. [77] | A supervised blood vessel segmentation technique for digital Fundus images using Zernike Moment based features | Zernike moments + ANN classifier. | Limited scope, no DL methods | |
| Srinidhi et al. [78] | A visual attention guided unsupervised feature learning for robust vessel delineation in retinal images | VA-UFL unsupervised attention model. | Not representative of modern DL segmentation | |
| Fernandez-Granero et al. [79] | Automatic tool for optic disc and cup detection on retinal fundus images | Color-gradient-based pixel classifier using CIE94 in CIE Lab space. | Classical methods with no improvement over DL. | |
| Specialized/Narrow Scope Tasks | Rehman et al. [20] | Microscopic retinal blood vessels detection and segmentation using support vector machine and K-nearest neighbors | SVM/KNN on pixel features, green channel. | Focused on pathology datasets, narrow scope. |
| Saeed [21] | A Machine Learning based Approach for Segmenting Retinal Nerve Images using Artificial Neural Networks | BPNN for retinal nerve segmentation. | Focus on nerves, not standard anatomical targets. | |
| Mathews et al. [80] | EfficientNet for retinal blood vessel segmentation | U-Net with EfficientNet backbone; LinkNet decoder. | Too narrow/specific architecture. |
Table A2.
Summary of the key findings from studies employing deep learning techniques based on CNNs, including the model used, preprocessing, classifiers, descriptors, and computational resource.
Table A2.
Summary of the key findings from studies employing deep learning techniques based on CNNs, including the model used, preprocessing, classifiers, descriptors, and computational resource.
| Article | Model | Preprocessing (P) Classifiers (C) Image Descriptors (D) | Computational Resource |
|---|---|---|---|
| Yap and Ng [23] | CAMContrast | P: Normalization of Heat Maps, oppression of Backgrounds and Negative Activations C: Heatmap generation via Class Activation Maps (CAM) D: Features Based on Density, Shape and Topological | Two NVIDIA V100 GPUs, each with 16 GB of memory |
| Chen et al. [24] | Shape Regularization Extractor (WT-PSE) | P: Whitening Transform (WT) C: Wasserstein’s Distance Guided Knowledge Distillation D: Features Based Shape | PyTorch and is trained on an NVIDIA 3090 GPU |
| Aurangzeb et al. [25] | ColonSegNet V2 | P: CLAHE (Contrast Limited Adaptive Histogram Equalization) C: Support Vector Machine (SVM) and Naïve Bayes D: Features Based in Morphology | N/A |
| Morís et al. [26] | Context Encoder | P: PW-CE (Patch-Wise), GM-CE (CB) (Checkerboard) and GM-CE (CS) (Center-Surround) C: U-Net, encoder–decoder with jump connections D: ORB (Oriented FAST and Rotated BRIEF) | N/A |
| Abdullah Alkhaldi and T. Halawani [27] | GOFED-RBVSC (Grasshopper Optimization with Fuzzy Edge Detection based Retinal Blood Vessel Segmentation and Classification) | P: CLAHE (Contrast Limited Adaptive Histogram Equalization) C: ICAVE (Improved Conditional Variational Auto Encoder) | N/A |
| Zhang et al. [28] | Multi-Scale Feature Fusion | P: B-COSFIRE filter C: Support Vector Machine (SVM) D: Multi-scale and line intensity features | N/A |
| Zhou et al. [29] | AutoMorph | P: Thresholding C: EfficientNet-B4 D: Tortuosity, Fractal dimension, Vascular density and Cup caliber | N/A |
Note: NA = Not Available, not Reported by the original authors.
Table A3.
Summary of the key findings from studies employing CNN-based deep learning techniques, including datasets, metrics used in the algorithm, and in the clinical context.
Table A3.
Summary of the key findings from studies employing CNN-based deep learning techniques, including datasets, metrics used in the algorithm, and in the clinical context.
| Article | Database | Algorithm Metrics | Clinical Metric |
|---|---|---|---|
| Yap and Ng [23] | OIA-ODIR | IDRiD-seg avg. AUC-PR: 66.9 ± 1.18 REFUGE-seg avg. F1-score: 91.66 ± 0.06 Vessel-seg F1-score: 80.82 ± 0.05 | N/A |
| Chen et al. [24] | FUNDUS | N/A | Optical Cup (OC) Segmentation Dice Similarity Coefficient (DSC):83.11 Average Surface Distance (ASD): 13.04 Optical Disk (OD) Segmentation Dice Similarity Coefficient (DSC):93.08 Average Surface Distance (ASD): 10.47 |
| Aurangzeb et al. [25] | DRIVE | Sensitivity:83.9% Specificity:97.9% Accuracy: 96.6% | N/A |
| Morís et al. [26] | CHASE_DB | Sensitivity:86.5% Specificity:97.9% Accuracy: 97.1% | N/A |
| STARE | Sensitivity:86.7% Specificity:98.1% Accuracy: 97.2% | N/A | |
| DRIVE | AUC-ROC:97.94% AUC-PR: 91.17% | N/A | |
| Abdullah Alkhaldi and T. Halawani [27] | Kaggle dataset | Sensitivity:76.15% Specificity:97.31% Accuracy: 97.92% | N/A |
| Zhang et al. [28] | DRIVE | Sensitivity:70.88% Specificity: 99.% Presicion: 86.56% Accuracy: 96.66% | N/A |
| STARE | Sensitivity:61.89% Specificity:99.08% Presicion: 87.82% Accuracy: 94.94% | N/A | |
| Zhou et al. [29] | EyePACS-Q (Image Quality Grading) | Sensitivity: 85% Specificity: 93% Presicion: 87% Accuracy:92% F1-Score: 86% AUC-ROC: 97% | N/A |
| IOSTAR-AV (Artery/Vein segmentation) | Sensitivity: 64% Specificity: 98% | N/A |
Note: NA = Not Available, not Reported by the original authors.
Table A4.
Summary of the key findings from studies employing deep learning techniques based on FCNs, including the model used, preprocessing, classifiers, descriptors, as well as computational resource.
Table A4.
Summary of the key findings from studies employing deep learning techniques based on FCNs, including the model used, preprocessing, classifiers, descriptors, as well as computational resource.
| Article | Model | Preprocessing (P) Classifiers (C) Image Descriptors (D) | Computational Resource |
|---|---|---|---|
| Li et al. [30] | Fully Convolutional Neural Network (FCN) with dual-source fusion approach. | P: Channel extraction (RGB) and histogram equalization D: Non-manual heuristic feature set | An E5-2609 CPU, 8 GB of RAM, a Quadro K620 GPU and the Ubuntu 16 operating system. |
| Wang et al. [31] | Fully convolutional neural network (FCN) combined with a weighted low-rank matrix recovery (WLRR) model. | P: Channel extraction (RGB), Gabor filters and Simple Linear Iterative Clustering (SLIC) D: Color, edge and texture features | An Intel Xeon CPU and an NVIDIA Quadro P400 GPU, with a CPU clock speed of 4 G Hz and 32 GB of RAM. |
Table A5.
Summary of the key findings from studies employing FCN-based deep learning techniques, including datasets, metrics used in the algorithm, and in the clinical context.
Table A5.
Summary of the key findings from studies employing FCN-based deep learning techniques, including datasets, metrics used in the algorithm, and in the clinical context.
| Article | Database | Algorithm Metrics | Clinical Metrics |
|---|---|---|---|
| Li et al. [30] | Tongren Hospital patients | Sensitivity: 72.15% Specificity: 95.76% Accuracy: 92.10% | Extraction performance precision Sensitivity: 76.21% Specificity: 95.14% Accuracy: 94.91% |
| Wang et al. [31] | DRISHTI-GS. | IoU: 91.8% Precision: 93.8% Recall: 96.8% F1 Score: 95.5% MAE: 7.2% | N/A |
Note: NA = Not Available, not Reported by the original authors.
Table A6.
Summary of the key findings from studies employing deep learning techniques based on U-Net, including the model used, preprocessing, classifiers, descriptors, as well as computational resource.
Table A6.
Summary of the key findings from studies employing deep learning techniques based on U-Net, including the model used, preprocessing, classifiers, descriptors, as well as computational resource.
| Article | Model | Preprocessing (P) Classifiers (C) Image Descriptors (D) | Computational Resource |
|---|---|---|---|
| Zhou et al. [32] | U-Net BF-Net | C: Linear discriminant analysis (LDA), k-nearest neighbors (kNN) and random forest D: Features Based on Density, Shape, Topological and Heuristics | Pytorch 1.9 and running on a Tesla T4 GPU (16 GB) |
| Li et al. [33] | Hybrid network based on CNN and Transformer | P: Regions of Interest Extraction (ROI) C: ResNet-18 network | 2 NVIDIA 2080 Ti GPUs |
| Rong et al. [34] | self-calibrated convolutions (SCC) | C: Improved Spatial Attention Module (ISAM) D: Hierarchical Features | NIVIDIA TITAN Xp GPU with 12 GB |
| Sun et al. [35] | SDAU-Net | P: Red-green channel fusion, histogram equalization and CLAHE (Contrast Limited Adaptive Histogram Equalization) D: Serial Deformable Convolutions (SDC), Light Attention Modules (LAM) and Dual Attention Modules (DAM) | Tensorflow and Keras, on an Intel Xeone5-2678 V3 CPU and an NVIDIA GeForce RTX 2080 Ti GPU. |
| Wang et al. [36] | Context Spatial U-Net | P: CLAHE (Contrast Limited Adaptive Histogram Equalization) C: Spatial Attention Module (SAM) and a Feature Fusion Module (FFM) D: ORB (Oriented FAST and Rotated BRIEF) | Pytorch on an Ubuntu 16.04 (64-bit) platform equipped with an NVIDIA GTX 2080 Ti GPU. |
| Jirang et al. [47] | lightweight UNet | P: CLAHE (Contrast Limited Adaptive Histogram Equalization) C: Feature selection transformer block (FSTB) | GPU NVIDIA GeForce RTX 3090 with 24 GB of memory. |
| Duan et al. [48] | DAF-UNet | P: CLAHE (Contrast Limited Adaptive Histogram Equalization) C: Deformable convolution module (DC) | N/A |
Note: NA = Not Available, not Reported by the original authors.
Table A7.
Summary of the key findings from studies employing U-Net-based deep learning techniques, including datasets, metrics used in the algorithm, and in the clinical context.
Table A7.
Summary of the key findings from studies employing U-Net-based deep learning techniques, including datasets, metrics used in the algorithm, and in the clinical context.
| Article | Database | Algorithm Metrics | Clinical Metrics |
|---|---|---|---|
| Zhou et al. [32] | DRIVE-AV | U-Net Sensitivity: 71.37 ± 0.75% F1-score: 73.22 ± 0.98% IOU: 58.25 ± 1.21% MSE: 2.85 ± 0.01% Betti error: 7.92 ± 1.02% BF-Net Sensitivity: 72.91 ± 1.27% F1-score: 73.04 ± 0.58% IOU: 57.99 ± 0.70% MSE: 2.93 ± 0.06% Betti error: 7.75 ± 1.21% | Intraclass compression coefficient (ICC) U-Net Fractal dimension: 0.78 (0.45–0.92) Vessel density: 0.72 (0.36–0.93) BF-Net Fractal dimension: 0.84(0.64–0.92) Vessel density: 0.78(0.56–0.92) |
| LES-AV | U-Net Sensitivity: 62.21 ± 2.14% F1-score: 65.93 ± 1.32% IOU: 50.66 ±1.51% MSE: 2.61 ± 0.25% Betti error: 4.76 ± 1.15% BF-Net Sensitivity: 67.06 ± 1.76% F1-score: 69.87 ± 1.56% IOU: 54.98 ± 1.61% MSE: 2.32 ± 0.10% Betti error: 3.04 ± 0.66% | Intraclass compression coefficient (ICC) U-Net Fractal dimension: 0.72 (0.33–0.94) Vessel density: 0.71 (0.32–0.90) BF-Net Fractal dimension: 0.92 (0.83–0.97) Vessel density: 0.95 (0.88–0.98) | |
| HRF-AV | U-Net Sensitivity: 69.41 ± 1.75% F1-score: 72.17± 0.66% IOU: 57.74 ±0.73% MSE: 1.91 ± 0.02% Betti error: 6.61 ± 0.52% BF-Net Sensitivity 67.61 ± 2.48% F1-score: 71.19 ± 0.58% IOU: 56.48 ± 0.73% MSE: 1.96 ± 0.03% Betti error: 6.82 ± 1.16% | Intraclass compression coefficient (ICC) U-Net Fractal dimension: 0.72 (0.33–0.94) Vessel density: 0.71 (0.32–0.90) BF-Net Fractal dimension: 0.86 (0.71–0.96) Vessel density: 0.91 (0.82–0.96) | |
| Li et al. [33] | REFUGE | CDR: 0.9639 RADR: 0.9639 | CD cup: 0.9006 DC disc: 0.9613 CDR: 0.0337 |
| Drishti-GS | CDR: 0.9286 RADR: 0.9286 | CD cup: 0.9025 DC disc: 0.9727 CDR: 0.0428 | |
| RIM-ONE-r3 | CDR: 0.8125 RADR: 0.7500 | CD cup: 0.8618 DC disc: 0.9690 CDR: 0.0315 | |
| Rong et al. [34] | DRIVE-AV | Sensitivity: 80.36% Specificity: 98.40% Accuracy: 96.80% F1-Score: 81.38% AUC-ROC: 98.40% | N/A |
| CHASE DB1 | Sensitivity: 81.18% Specificity: 98.67% Accuracy: 97.56% F1-Score: 80.68% AUC-ROC: 98.88% | N/A | |
| Sun et al. [35] | DRIVE | Sensitivity: 79.55% Specificity: 98.48% Accuracy: 96.82% AUC-ROC: 98.34% | N/A |
| CHASE DB1 | Sensitivity: 83.21% Specificity: 98.25% Accuracy: 97.32% AUC-ROC: 98.58% | N/A | |
| STARE | Sensitivity: 89.73% Specificity: 99.03% Accuracy: 98.33% AUC-ROC: 99.63% | N/A | |
| Wang et al. [36] | DRIVE-AV | Sensitivity: 80.71% Specificity: 97.82% Accuracy: 95.65% F1-Score: 82.51% AUC-ROC: 98.01% | N/A |
| Jiang et al. [47] | CHASE DB1 | Sensitivity: 80.71% Specificity: 98.78% Accuracy: 97.65% F1-Score: 81.26% IOU: 69.47% MIOU: 82.94% | N/A |
| STARE | Sensitivity: 81.85% Specificity: 98.97% Accuracy: 97.64% F1-Score: 83.83% IOU: 72.38% MIOU: 84.93% | N/A | |
| DRIVE-AV | Sensitivity: 78.56% Specificity: 98.76% Accuracy: 96.96% F1-Score: 81.85% IOU: 69.311% MIOU: 83.02% | N/A | |
| Duan et al. [48] | CHASE DB1 | Specificity: 98.71% Accuracy: 96.22% Dice Similarity Coefficient:82.27% | |
| DRIVE-AV | Specificity: 98.21% Accuracy: 95.92% Dice Similarity Coefficient: 82.98% | N/A |
Note: NA = Not Available, not Reported by the original authors.
Table A8.
Summary of the key findings from studies employing deep learning techniques based on other architectures, including the model used, preprocessing, classifiers, descriptors, and computational resource.
Table A8.
Summary of the key findings from studies employing deep learning techniques based on other architectures, including the model used, preprocessing, classifiers, descriptors, and computational resource.
| Article | Model | Preprocessing (P) Classifiers (C) Image Descriptors (D) | Computational Resource |
|---|---|---|---|
| Guo [37] | CSGNet | P: Normalization and data augmentation C: Multi-Scale and Multi-Directional Learning Module (M2FL) D: Strip Convolutions and Dilated Convolutions | NVIDIA RTX 3090 GPU |
| Wang et al. [38] | HAnet | P: Contrast-limited histogram adaptive equalization method and gamma adjustment (gamma = 1.2) C: An encoder network to extract features and a decoder network that maps those features D: Color intensity, Response to wavelet filters, Edge and line answers D: Hierarchical Features | PyTorch, A single NVIDIA GeForce Titan X GPU |
| Liskowski and Krawiec [39] | Deep Neural Networks (DNN) | P: Zero Phase Component Whitening (ZCA Whitening) and data augmentation C: CNNs are used to classify pixels and predict multiple pixels simultaneously D: Automatically learned and extracted using convolutional layers Features | Intel Core i7 processors and cards NVIDIA GTX Titan and Tesla K20c graphics |
| Cherukuri et al. [40] | Multi-Scale Regularized Deep Network for Vessel Segmentation (MSR-DNVS) | P: Zero Phase Component Whitening (ZCA Whitening) and data augmentation C: Convolutional Neural Network (CNN) in a representation layer, a task layer and convolutional filters at different scales D: Curvilinear geometric features and filters for retinal blood vessels | NVIDIA Titan X GPU (12 GB) using the TensorFlow package |
Table A9.
Summary of the key findings from studies employing deep learning techniques based on other architectures, including datasets, metrics used in the algorithm, and in the clinical context.
Table A9.
Summary of the key findings from studies employing deep learning techniques based on other architectures, including datasets, metrics used in the algorithm, and in the clinical context.
| Article | Database | Algorithm Metrics | Clinical Metrics |
|---|---|---|---|
| Guo [37] | DRIVE-AV | Sensitivity: 0.7984 ± 0.0029 Specificity: 0.9875 ± 0.0003 Accuracy: 0.9709 ± 0.0000 F1-Score: 0.8312 ± 0.0004 AUC-ROC: 0.9881 ± 0.0002 | N/A |
| CHASE DB1 | Sensitivity: 0.7945 ± 0.0026 Specificity: 0.9902 ± 0.0001 Accuracy: 0.9779 ± 0.0001 F1-Score: 0.9923 ± 0.0001 AUC-ROC: 0.8246 ± 0.0009 | N/A | |
| STARE | Sensitivity: 0.8298 ± 0.0031 Specificity: 0.9855 ± 0.0007 Accuracy: 0.9692 ± 0.0005 F1-Score: 0.8493 ± 0.0002 AUC-ROC: 0.9895 ± 0.0006 | N/A | |
| HRF | Sensitivity: 0.7828 ± 0.0028 Specificity: 0.9839 ± 0.0004 Accuracy: 0.9659 ± 0.0002 F1-Score: 0.9905 ± 0.0003 AUC-ROC: 0.8332 ± 0.0021 | N/A | |
| Wang et al. [38] | DRIVE-AV | Sensitivity: 79.91% Specificity: 98.13% Accuracy: 95.81% F1-Score: 82.93% AUC-ROC: 98.23% | N/A |
| CHASE DB1 | Sensitivity: 82.39% Specificity: 98.13% Accuracy: 96.70% F1-Score: 81.91% AUC-ROC: 98.71% | N/A | |
| STARE | Sensitivity: 81.86% Specificity: 98.44% Accuracy: 96.73% F1-Score: 83.79% AUC-ROC: 98.81% | N/A | |
| HRF | Sensitivity: 78.03% Specificity: 98.43% Accuracy: 96.54% F1-Score: 80.74% AUC-ROC: 98.54% | N/A | |
| Liskowski and Krawiec [39] | DRIVE-AV | Sensitivity: 78.11% Specificity: 98.07% Accuracy: 95.35% AUC-ROC: 97.90% Kappa: 79.10% | N/A |
| STARE | Sensitivity: 85.54% Specificity: 98.62% Accuracy: 97.29% AUC-ROC: 99.28% Kappa: 85.07% | N/A | |
| Cherukuri et al. [40] | DRIVE-AV | F1-Score: 80.87% Accuracy: 96.95% AUC-ROC: 98.13% | N/A |
Note: NA = Not Available, not Reported by the original authors.
Table A10.
Summary of the key findings from studies employing deep learning techniques based on other architectures, including datasets, metrics used in the algorithm, and in the clinical context.
Table A10.
Summary of the key findings from studies employing deep learning techniques based on other architectures, including datasets, metrics used in the algorithm, and in the clinical context.
| Article | Model | Preprocessing (P) Classifiers (C) Image Descriptors (D) | Computational Resource |
|---|---|---|---|
| Zhu et al. [41] | Extreme Learning Machine (ELM) | P: Channel extraction (RGB), Bottom-hat transformation and Gaussian filters C: ELM D: Hessian Characteristics, Morphological Transformations, Phase Congruence and Vector Field Divergence | Intel i7-4790K CPU at 4.0 GHz and 32 GB of memory. |
| Fan et al. [42] | Structured Learning | P: Edge Detection, Thresholding and Circular Hough Transform C: Random Forest D: Color, Magnitude, Pairs and Vector Features | PC equipped with an Intel (R) Core (TM) i-5 4210 M processor at 2.60 GHz and 4 GB of RAM |
Table A11.
Summary of the key findings from studies employing Machine Learning techniques, including datasets, metrics used in the algorithm, and in the clinical context.
Table A11.
Summary of the key findings from studies employing Machine Learning techniques, including datasets, metrics used in the algorithm, and in the clinical context.
| Article | Model | Preprocessing (P) Classifiers (C) Image Descriptors (D) | Computational Resource |
|---|---|---|---|
| Zhu et al. [41] | DRIVE-AV | Accuracy: 96.07% Sensitivity: 71.40% Specificity: 98.68% | N/A |
| RIS | Accuracy: 96.28% Sensitivity: 72.05% Specificity: 97.66% | N/A | |
| Fan et al. [42] | MESSIDOR | N/A C: Random Forest D: Color, Magnitude, Pairs and Vector Features | AOL: 0.8636 (0.1268) S: 0.9196 (0.1019) Ac: 0.9770 (0.0284) TPF: 0.9212 (0.1213) FPF: 0.0106 (0.0129) |
Note: NA = Not Available, not Reported by the original authors.
Table A12.
Summary of the key findings from studies employing Digital Image Processing techniques, including the model used, preprocessing, classifiers, descriptors, and computational resource.
Table A12.
Summary of the key findings from studies employing Digital Image Processing techniques, including the model used, preprocessing, classifiers, descriptors, and computational resource.
| Article | Model | Preprocessing (P) Classifiers (C) Image Descriptors (D) | Computational Resource |
|---|---|---|---|
| Geetharamani and Balasubramanian [43] | Feature construction through principal component analysis | P: Color space conversion, channel extraction and Contrast enhancement using CLAHE C: K-Means, Naïve Bayes and C4.5 D: Principal Component Analysis (PCA), Gabor filtering and contrast enhancement technique | Intel i7-4790K CPU at 4.0 GHz and 32 GB of memory. |
| Dharmawan et al. [44] | Modified Dolph-Chebyshev matched filter | P: Regions of Interest Extraction (ROI) C: Template-based method, Vessel density-based method and Maximum entropy-based method | A computer with a 2.30 GHz Intel Core i5 processor and 4 GB of RAM. |
Table A13.
Summary of the key findings from studies employing Digital Image Processing techniques, including datasets, metrics used in the algorithm, and in the clinical context.
Table A13.
Summary of the key findings from studies employing Digital Image Processing techniques, including datasets, metrics used in the algorithm, and in the clinical context.
| Article | Database | Algorithm Metrics | Clinical Metrics |
|---|---|---|---|
| Geetharamani and Balasubramanian [43] | STARE | Accuracy: 95.20% Sensitivity: 71.34% Specificity: 81.46% | N/A |
| Dharmawan et al. [44] | DRIVE | N/A | AOL: 0.873 DC: 0.932 AC: 0.997 TPF: 0.914 TFF: 0.001 Sensitivity: 100% |
Note: NA = Not Available, not Reported by the original authors.
Table A14.
Summary of the key findings from studies employing unsupervised and semi-supervised learning techniques, including the model used, preprocessing, classifiers, descriptors, and computational resource.
Table A14.
Summary of the key findings from studies employing unsupervised and semi-supervised learning techniques, including the model used, preprocessing, classifiers, descriptors, and computational resource.
| Article | Model | Preprocessing (P) Classifiers (C) Image Descriptors (D) | Computational Resource |
|---|---|---|---|
| Ghosh et al. [45] | DeepLabv3+ | P: Gaussian Filtering, Binary Thresholding, Morphological Operations and Data Augmentation C: EfficientNet-B3 D: Binary Cross Entropy Loss (BCE), Tversky Index (TI) and Focal Tversky Loss (FTL) | N/A |
| Liu et al. [46] | Conditional Generative Adversarial Networks (cGANs) | P: Interest Segmentation and Resizing C: U-Net, M-Net, SegNet and cGANs | An GPU NVIDIA GTX 1080 Ti |
Note: NA = Not Available, not Reported by the original authors.
Table A15.
Summary of the key findings from studies employing unsupervised and semi-supervised learning techniques, including datasets, metrics used in the algorithm, and in the clinical context.
Table A15.
Summary of the key findings from studies employing unsupervised and semi-supervised learning techniques, including datasets, metrics used in the algorithm, and in the clinical context.
| Article | Database | Algorithm Metrics | Clinical Metrics |
|---|---|---|---|
| Ghosh et al. [45] | DRIVE, MESSIDOR, IDRiD, DIARETDB0, DIARETDB1 | DICE: 82.43% MIoU: 70.52% Sensitivity: 91.74% Specificity: 99.75% Accuracy: 99.57% | N/A |
| Liu et al. [46] | ORIGA | N/A | IoU od: 0.9420/0.0011 IoU oc: 0.7812 MIoU: 0.8460/0.0025 |
Note: NA = Not Available, not Reported by the original authors.
References
- Qin, Q.; Chen, Y. A review of retinal vessel segmentation for fundus image analysis. Eng. Appl. Artif. Intell. 2023, 128, 107454. [Google Scholar] [CrossRef]
- Chen, N.; Lv, X. Research on segmentation model of optic disc and optic cup in fundus. BMC Ophthalmol. 2024, 24, 273. [Google Scholar] [CrossRef]
- Huang, X.; Wang, H.; She, C.; Feng, J.; Liu, X.; Hu, X.; Chen, L.; Tao, Y. Artificial intelligence promotes the diagnosis and screening of diabetic retinopathy. Front. Endocrinol. 2022, 13, 946915. [Google Scholar] [CrossRef]
- Bansal, A.; Kubíček, J.; Penhaker, M.; Augustynek, M. A comprehensive review of optic disc segmentation methods in adult and pediatric retinal images: From conventional methods to artificial intelligence (CR-ODSeg-AP-CM2AI). Artif. Intell. Rev. 2025, 58, 121. [Google Scholar] [CrossRef]
- Page, M.J.; Moher, D.; Bossuyt, P.M.; Boutron, I.; Hoffmann, T.C.; Mulrow, C.D.; Shamseer, L.; Tetzlaff, J.M.; Akl, E.A.; Brennan, S.E.; et al. PRISMA 2020 explanation and elaboration: Updated guidance and exemplars for reporting systematic reviews. BMJ 2021, 372, n160. [Google Scholar] [CrossRef]
- Li, J.-P.O.; Liu, H.; Ting, D.S.J.; Jeon, S.; Chan, R.V.P.; Kim, J.E.; Sim, D.A.; Thomas, P.B.M.; Lin, H.; Chen, Y.; et al. Digital technology, tele-medicine and artificial intelligence in ophthalmology: A global perspective. Prog. Retin. Eye Res. 2021, 82, 100900. [Google Scholar] [CrossRef] [PubMed]
- PRISMA 2020 Flow Diagram. 2020. Available online: https://www.prisma-statement.org/prisma-2020-flow-diagram (accessed on 15 August 2025).
- Oguz, C.; Aydin, T.; Yaganoglu, M. A CNN-based hybrid model to detect glaucoma disease. Multimed. Tools Appl. 2023, 83, 17921–17939. [Google Scholar] [CrossRef]
- Pathan, S.; Kumar, P.; Pai, R.M.; Bhandary, S.V. An automated classification framework for glaucoma detection in fundus images using ensemble of dynamic selection methods. Prog. Artif. Intell. 2023, 12, 287–301. [Google Scholar] [CrossRef]
- Sun, X.; Xu, Y.; Zhao, W.; You, T.; Liu, J. Optic Disc Segmentation from Retinal Fundus Images via Deep Object Detection Networks. In Proceedings of the 2018 40th Annual International Conference of the IEEE Engineering in Medicine and Biology Society (EMBC), Honolulu, HI, USA, 18–21 July 2018; pp. 5954–5957. [Google Scholar] [CrossRef]
- Zhang, W.; Li, L.; Cheong, V.; Fu, B.; Aliasgari, M. Deep Encoder–Decoder Neural Networks for Retinal Blood Vessels Dense Prediction. Int. J. Comput. Intell. Syst. 2021, 14, 1078. [Google Scholar] [CrossRef]
- Xiong, H.; Liu, S.; Sharan, R.V.; Coiera, E.; Berkovsky, S. Weak label based Bayesian U-Net for optic disc segmentation in fundus images. Artif. Intell. Med. 2022, 126, 102261. [Google Scholar] [CrossRef]
- Shao, H.-C.; Chen, C.-Y.; Chang, M.-H.; Yu, C.-H.; Lin, C.-W.; Yang, J.-W. Retina-TransNet: A Gradient-Guided Few-Shot Retinal Vessel Segmentation Net. IEEE J. Biomed. Health Inform. 2023, 27, 4902–4913. [Google Scholar] [CrossRef]
- Hu, J.; Wang, H.; Wu, G.; Cao, Z.; Mou, L.; Zhao, Y.; Zhang, J. Multi-Scale Interactive Network With Artery/Vein Discriminator for Retinal Vessel Classification. IEEE J. Biomed. Health Inform. 2022, 26, 3896–3905. [Google Scholar] [CrossRef]
- Chowdhury, A.Z.M.E.; Mann, G.; Morgan, W.H.; Vukmirovic, A.; Mehnert, A.; Sohel, F. MSGANet-RAV: A multiscale guided attention network for artery-vein segmentation and classification from optic disc and retinal images. J. Optom. 2022, 15, S58–S69. [Google Scholar] [CrossRef] [PubMed]
- Li, F.; Xiang, W.; Zhang, L.; Pan, W.; Zhang, X.; Jiang, M.; Zou, H. Joint optic disk and cup segmentation for glaucoma screening using a region-based deep learning network. Eye 2023, 37, 1080–1087. [Google Scholar] [CrossRef] [PubMed]
- Elmannai, H.; Hamdi, M.; Meshoul, S.; Alhussan, A.A.; Ayadi, M.; Ksibi, A. An Improved Deep Learning Framework for Automated Optic Disc Localization and Glaucoma Detection. Comput. Model. Eng. Sci. 2024, 140, 1429–1457. [Google Scholar] [CrossRef]
- Balasubramanian, K.; NP, A. ANN Classification and Modified Otsu Labeling on Retinal Blood Vessels. Curr. Signal Transduct. Ther. 2021, 16, 82–90. [Google Scholar] [CrossRef]
- Devi, Y.A.S.; Kamsali, M.C. Retinal Blood Vessel Segmentation through Morphology Cascaded Features and Supervised Learning. J. Sci. Ind. Res. 2024, 83, 264–273. [Google Scholar] [CrossRef]
- Rehman, A.; Harouni, M.; Karimi, M.; Saba, T.; Bahaj, S.A.; Awan, M.J. Microscopic retinal blood vessels detection and segmentation using support vector machine and K-nearest neighbors. Microsc. Res. Tech. 2022, 85, 1899–1914. [Google Scholar] [CrossRef]
- Saeed, A.N. A Machine Learning based Approach for Segmenting Retinal Nerve Images using Artificial Neural Networks. Eng. Technol. Appl. Sci. Res. 2020, 10, 5986–5991. [Google Scholar] [CrossRef]
- Kitchenham, B.; Mendes, E.; Travassos, G. A Systematic Review of Cross-vs. Within-Company Cost Estimation Studies. In Proceedings of the Evaluation and Assessment in Software Engineering (EASE), Keele, UK, 10–11 April 2006. [Google Scholar]
- Yap, B.P.; Ng, B.K. Coarse-to-fine visual representation learning for medical images via class activation maps. Comput. Biol. Med. 2024, 171, 108203. [Google Scholar] [CrossRef]
- Chen, K.; Qin, T.; Lee, V.H.-F.; Yan, H.; Li, H. Learning Robust Shape Regularization for Generalizable Medical Image Segmentation. IEEE Trans. Med. Imaging 2024, 43, 2693–2706. [Google Scholar] [CrossRef]
- Aurangzeb, K.; Alharthi, R.S.; Haider, S.I.; Alhussein, M. Systematic Development of AI-Enabled Diagnostic Systems for Glaucoma and Diabetic Retinopathy. IEEE Access 2023, 11, 105069–105081. [Google Scholar] [CrossRef]
- Morís, D.I.; Hervella, Á.S.; Rouco, J.; Novo, J.; Ortega, M. Context encoder transfer learning approaches for retinal image analysis. Comput. Biol. Med. 2023, 152, 106451. [Google Scholar] [CrossRef]
- Abdullah Alkhaldi, N.; Halawani, H.T. Intelligent Machine Learning Enabled Retinal Blood Vessel Segmentation and Classification. Comput. Mater. Contin. 2023, 74, 399–414. [Google Scholar] [CrossRef]
- Zhang, T.; Wei, L.; Chen, N.; Li, J. Learning based multi-scale feature fusion for retinal blood vessels segmentation. J. Algorithms Comput. Technol. 2022, 16, 174830262110653. [Google Scholar] [CrossRef]
- Zhou, Y.; Wagner, S.K.; Chia, M.A.; Zhao, A.; Woodward-Court, P.; Xu, M.; Struyven, R.; Alexander, D.C.; Keane, P.A. AutoMorph: Automated Retinal Vascular Morphology Quantification Via a Deep Learning Pipeline. Transl. Vis. Sci. Technol. 2022, 11, 12. [Google Scholar] [CrossRef]
- Li, J.; Hu, Q.; Imran, A.; Zhang, L.; Yang, J.; Wang, Q. Vessel Recognition of Retinal Fundus Images Based on Fully Convolutional Network. In Proceedings of the 2018 IEEE 42nd Annual Computer Software and Applications Conference (COMPSAC), Tokyo, Japan, 23–27 July 2018; pp. 413–418. [Google Scholar] [CrossRef]
- Wang, S.; Yu, X.; Jia, W.; Chi, J.; Lv, P.; Wang, J.; Wu, C. Optic disc detection based on fully convolutional network and weighted matrix recovery model. Med. Biol. Eng. Comput. 2023, 61, 3319–3333. [Google Scholar] [CrossRef]
- Zhou, Y.; Xu, M.; Hu, Y.; Blumberg, S.B.; Zhao, A.; Wagner, S.K.; Keane, P.A.; Alexander, D.C. CF-Loss: Clinically-relevant feature optimised loss function for retinal multi-class vessel segmentation and vascular feature measurement. Med. Image Anal. 2024, 93, 103098. [Google Scholar] [CrossRef] [PubMed]
- Li, Z.; Zhao, C.; Han, Z.; Hong, C. TUNet and domain adaptation based learning for joint optic disc and cup segmentation. Comput. Biol. Med. 2023, 163, 107209. [Google Scholar] [CrossRef] [PubMed]
- Rong, Y.; Xiong, Y.; Li, C.; Chen, Y.; Wei, P.; Wei, C.; Fan, Z. Segmentation of retinal vessels in fundus images based on U-Net with self-calibrated convolutions and spatial attention modules. Med. Biol. Eng. Comput. 2023, 61, 1745–1755. [Google Scholar] [CrossRef]
- Sun, K.; Chen, Y.; Chao, Y.; Geng, J.; Chen, Y. A retinal vessel segmentation method based improved U-Net model. Biomed. Signal Process. Control 2023, 82, 104574. [Google Scholar] [CrossRef]
- Wang, B.; Wang, S.; Qiu, S.; Wei, W.; Wang, H.; He, H. CSU-Net: A Context Spatial U-Net for Accurate Blood Vessel Segmentation in Fundus Images. IEEE J. Biomed. Health Inform. 2021, 25, 1128–1138. [Google Scholar] [CrossRef] [PubMed]
- Guo, S. CSGNet: Cascade semantic guided net for retinal vessel segmentation. Biomed. Signal Process. Control 2022, 78, 103930. [Google Scholar] [CrossRef]
- Wang, D.; Haytham, A.; Pottenburgh, J.; Saeedi, O.; Tao, Y. Hard Attention Net for Automatic Retinal Vessel Segmentation. IEEE J. Biomed. Health Inform. 2020, 24, 3384–3396. [Google Scholar] [CrossRef] [PubMed]
- Liskowski, P.; Krawiec, K. Segmenting Retinal Blood Vessels with<?Pub _newline ?>Deep Neural Networks. IEEE Trans. Med. Imaging 2016, 35, 2369–2380. [Google Scholar] [CrossRef]
- Cherukuri, V.; Vijay Kumar, B.G.; Bala, R.; Monga, V. Multi-Scale Regularized Deep Network for Retinal Vessel Segmentation. In Proceedings of the 2019 IEEE International Conference on Image Processing (ICIP), Taipei, Taiwan, 22–25 September 2019; pp. 824–828. [Google Scholar] [CrossRef]
- Zhu, C.; Zou, B.; Zhao, R.; Cui, J.; Duan, X.; Chen, Z.; Liang, Y. Retinal vessel segmentation in colour fundus images using Extreme Learning Machine. Comput. Med. Imaging Graph. 2017, 55, 68–77. [Google Scholar] [CrossRef]
- Fan, Z.; Rong, Y.; Cai, X.; Lu, J.; Li, W.; Lin, H.; Chen, X. Optic Disk Detection in Fundus Image Based on Structured Learning. IEEE J. Biomed. Health Inform. 2018, 22, 224–234. [Google Scholar] [CrossRef]
- Geetharamani, R.; Balasubramanian, L. Automatic segmentation of blood vessels from retinal fundus images through image processing and data mining techniques. Sadhana 2015, 40, 1715–1736. [Google Scholar] [CrossRef]
- Dharmawan, D.A.; Ng, B.P.; Rahardja, S. A new optic disc segmentation method using a modified Dolph-Chebyshev matched filter. Biomed. Signal Process. Control 2020, 59, 101932. [Google Scholar] [CrossRef]
- Ghosh, A.; Khose, S.; Kamath, Y.S.; Kuzhuppilly, N.I.R.; Harish Kumar, J.R. Fovea Segmentation Using Semi-Supervised Learning. In Proceedings of the 2023 IEEE 20th India Council International Conference (INDICON), Hyderabad, India, 14–17 December 2023; pp. 590–595. [Google Scholar] [CrossRef]
- Liu, S.; Hong, J.; Lu, X.; Jia, X.; Lin, Z.; Zhou, Y.; Liu, Y.; Zhang, H. Joint optic disc and cup segmentation using semi-supervised conditional GANs. Comput. Biol. Med. 2019, 115, 103485. [Google Scholar] [CrossRef]
- Jiang, L.; Li, W.; Xiong, Z.; Yuan, G.; Huang, C.; Xu, W.; Zhou, L.; Qu, C.; Wang, Z.; Tong, Y. Retinal Vessel Segmentation Based on Self-Attention Feature Selection. Electronics 2024, 13, 3514. [Google Scholar] [CrossRef]
- Duan, Y.; Yang, R.; Zhao, M.; Qi, M.; Peng, S.-L. DAF-UNet: Deformable U-Net with Atrous-Convolution Feature Pyramid for Retinal Vessel Segmentation. Mathematics 2025, 13, 1454. [Google Scholar] [CrossRef]
- DRIVE 2004. Available online: https://www.kaggle.com/datasets/zionfuo/drive2004 (accessed on 15 October 2025).
- STARE Dataset. Available online: https://www.kaggle.com/datasets/vidheeshnacode/stare-dataset (accessed on 15 October 2025).
- CHASEDB1. Available online: https://www.kaggle.com/datasets/khoongweihao/chasedb1 (accessed on 15 October 2025).
- Odstrcilik, J.; Kolar, R.; Budai, A.; Hornegger, J.; Jan, J.; Gazarek, J.; Kubena, T.; Cernosek, P.; Svoboda, O.; Angelopoulou, E. Retinal vessel segmentation by improved matched filtering: Evaluation on a new high-resolution fundus image database. IET Image Process. 2013, 7, 373–383. [Google Scholar] [CrossRef]
- Maffre Gervais Gauthier, G.P.; Lay, B.; Roger, J.; Elie, D.; Foltete, M.; Donjon, A.; Hugo. Messidor, ADCIS. 2025. Available online: https://www.adcis.net/en/third-party/messidor/ (accessed on 15 October 2025).
- Sivapriya, G.; Manjula Devi, R.; Keerthika, P.; Praveen, V. Automated diagnostic classification of diabetic retinopathy with microvascular structure of fundus images using deep learning method. Biomed. Signal Process. Control 2024, 88, 105616. [Google Scholar] [CrossRef]
- Sankari, V.M.R.; Umapathy, U.; Alasmari, S.; Aslam, S.M. Automated Detection of Retinopathy of Prematurity Using Quantum Machine Learning and Deep Learning Techniques. IEEE Access 2023, 11, 94306–94321. [Google Scholar] [CrossRef]
- Ejaz, S.; Baig, R.; Ashraf, Z.; Alnfiai, M.M.; Alnahari, M.M.; Alotaibi, R.M. A deep learning framework for the early detection of multi-retinal diseases. PLoS ONE 2024, 19, e0307317. [Google Scholar] [CrossRef] [PubMed]
- Diener, R.; Renz, A.W.; Eckhard, F.; Segbert, H.; Eter, N.; Malcherek, A.; Biermann, J. Automated Classification of Physiologic, Glaucomatous, and Glaucoma-Suspected Optic Discs Using Machine Learning. Diagnostics 2024, 14, 1073. [Google Scholar] [CrossRef]
- Muangnak, N.; Sriman, B.; Ghosh, S.; Su, C. A Comparison of Texture-Based Diabetic Retinopathy Classification Using Diverse Fundus Image Color Models. ICIC Exp. Lett. Part B Appl. 2024, 5, 505–513. [Google Scholar] [CrossRef]
- Wu, T.; Ju, L.; Fu, X.; Wang, B.; Ge, Z.; Liu, Y. Deep Learning Detection of Early Retinal Peripheral Degeneration From Ultra-Widefield Fundus Photographs of Asymptomatic Young Adult (17–19 Years) Candidates to Airforce Cadets. Transl. Vis. Sci. Technol. 2024, 13, 1. [Google Scholar] [CrossRef]
- Dasari, S.; Poonguzhali, B.; Rayudu, M.S. An efficient machine learning approach for classification of diabetic retinopathy stages. Indones. J. Electr. Eng. Comput. Sci. 2023, 30, 81. [Google Scholar] [CrossRef]
- Gupta, S.; Thakur, S.; Gupta, A. Comparative study of different machine learning models for automatic diabetic retinopathy detection using fundus image. Multimed. Tools Appl. 2023, 83, 34291–34322. [Google Scholar] [CrossRef]
- Rachapudi, V.; Rao, K.S.; Rao, T.S.M.; Dileep, P.; Deepika Roy, T.L. Diabetic retinopathy detection by optimized deep learning model. Multimed. Tools Appl. 2023, 82, 27949–27971. [Google Scholar] [CrossRef]
- Sanghavi, J.; Kurhekar, M. An efficient framework for optic disk segmentation and classification of Glaucoma on fundus images. Biomed. Signal Process. Control 2024, 89, 105770. [Google Scholar] [CrossRef]
- Yi, D.; Baltov, P.; Hua, Y.; Philip, S.; Sharma, P.K. Compound Scaling Encoder-Decoder (CoSED) Network for Diabetic Retinopathy Related Bio-Marker Detection. IEEE J. Biomed. Health Inform. 2024, 28, 1959–1970. [Google Scholar] [CrossRef]
- Irshad, S.; Yin, X.; Zhang, Y. A new approach for retinal vessel differentiation using binary particle swarm optimization. Comput. Methods Biomech. Biomed. Eng. Imaging Vis. 2021, 9, 510–522. [Google Scholar] [CrossRef]
- Liu, Y.; Shen, J.; Yang, L.; Yu, H.; Bian, G. Wave-Net: A lightweight deep network for retinal vessel segmentation from fundus images. Comput. Biol. Med. 2023, 152, 106341. [Google Scholar] [CrossRef]
- Raza, M.; Naveed, K.; Akram, A.; Salem, N.; Afaq, A.; Madni, H.A.; Khan, M.A.U.; Din, M.-Z. DAVS-NET: Dense Aggregation Vessel Segmentation Network for retinal vasculature detection in fundus images. PLoS ONE 2021, 16, e0261698. [Google Scholar] [CrossRef] [PubMed]
- Li, K.; Qi, X.; Luo, Y.; Yao, Z.; Zhou, X.; Sun, M. Accurate Retinal Vessel Segmentation in Color Fundus Images via Fully Attention-Based Networks. IEEE J. Biomed. Health Inform. 2021, 25, 2071–2081. [Google Scholar] [CrossRef] [PubMed]
- Lu, Z.; Chen, D. Weakly Supervised and Semi-Supervised Semantic Segmentation for Optic Disc of Fundus Image. Symmetry 2020, 12, 145. [Google Scholar] [CrossRef]
- Kadambi, S.; Wang, Z.; Xing, E. WGAN domain adaptation for the joint optic disc-and-cup segmentation in fundus images. Int. J. Comput. Assist. Radiol. Surg. 2020, 15, 1205–1213. [Google Scholar] [CrossRef]
- Hemelings, R.; Elen, B.; Stalmans, I.; Van Keer, K.; De Boever, P.; Blaschko, M.B. Artery–vein segmentation in fundus images using a fully convolutional network. Comput. Med. Imaging Graph. 2019, 76, 101636. [Google Scholar] [CrossRef] [PubMed]
- Liu, Y.; Wu, J.; Zhu, Y.; Zhou, X. Combined Optic Disc and Optic Cup Segmentation Network Based on Adversarial Learning. IEEE Access 2024, 12, 104898–104908. [Google Scholar] [CrossRef]
- Fu, H.; Cheng, J.; Xu, Y.; Wong, D.W.K.; Liu, J.; Cao, X. Joint Optic Disc and Cup Segmentation Based on Multi-Label Deep Network and Polar Transformation. IEEE Trans. Med. Imaging 2018, 37, 1597–1605. [Google Scholar] [CrossRef]
- Ávila, F.J.; Bueno, J.M.; Remón, L. Superpixel-Based Optic Nerve Head Segmentation Method of Fundus Images for Glaucoma Assessment. Diagnostics 2022, 12, 3210. [Google Scholar] [CrossRef] [PubMed]
- Gibbon, S.; Muniz-Terrera, G.; Yii, F.S.L.; Hamid, C.; Cox, S.; Maccormick, I.J.C.; Tatham, A.J.; Ritchie, C.; Trucco, E.; Dhillon, B.; et al. PallorMetrics: Software for Automatically Quantifying Optic Disc Pallor in Fundus Photographs, and Associations with Peripapillary RNFL Thickness. Transl. Vis. Sci. Technol. 2024, 13, 20. [Google Scholar] [CrossRef]
- Zhao, R.; Liao, W.; Zou, B.; Chen, Z.; Li, S. Weakly-Supervised Simultaneous Evidence Identification and Segmentation for Automated Glaucoma Diagnosis. Proc. AAAI Conf. Artif. Intell. 2019, 33, 809–816. [Google Scholar] [CrossRef]
- Adapa, D.; Raj, A.N.J.; Alisetti, S.N.; Zhuang, Z.; K, G.; Naik, G. A supervised blood vessel segmentation technique for digital Fundus images using Zernike Moment based features. PLoS ONE 2020, 15, e0229831. [Google Scholar] [CrossRef]
- Srinidhi, C.L.; Aparna, P.; Rajan, J. A visual attention guided unsupervised feature learning for robust vessel delineation in retinal images. Biomed. Signal Process. Control 2018, 44, 110–126. [Google Scholar] [CrossRef]
- Fernandez-Granero, M.A.; Vega, A.S.; García, A.I.; Sanchez-Morillo, D.; Jiménez, S.; Alemany, P.; Fondón, I. Automatic Tool for Optic Disc and Cup Detection on Retinal Fundus Images. In Advances in Computational Intelligence 10305; Rojas, I., Joya, G., Catala, A., Eds.; In Lecture Notes in Computer Science 10305; Springer International Publishing: Cham, Switzerland, 2017; pp. 246–256. [Google Scholar] [CrossRef]
- Mathews, M.R.; Anzar, S.M.; Krishnan, R.K.; Panthakkan, A. EfficientNet for retinal blood vessel segmentation. In Proceedings of the 2020 3rd International Conference on Signal Processing and Information Security (ICSPIS), DUBAI, United Arab Emirates, 25–26 November 2020; pp. 1–4. [Google Scholar] [CrossRef]
Disclaimer/Publisher’s Note: The statements, opinions and data contained in all publications are solely those of the individual author(s) and contributor(s) and not of MDPI and/or the editor(s). MDPI and/or the editor(s) disclaim responsibility for any injury to people or property resulting from any ideas, methods, instructions or products referred to in the content. |
© 2025 by the authors. Licensee MDPI, Basel, Switzerland. This article is an open access article distributed under the terms and conditions of the Creative Commons Attribution (CC BY) license (https://creativecommons.org/licenses/by/4.0/).