2D Mutation-Based Elitist Genetic Algorithm for Optimal Design of Transmissive Linear-to-Circular Polarization Conversion Metasurfaces
Abstract
1. Introduction
2. Proposed 2DM-EGA and RFF
2.1. 2DM-EGA
2.2. RFF with a Reward Fitness Value
- 1.
- The first formula means that the obtained metasurface has no LTC polarization conversion performance in the entire band; the metasurface should further be phased out in the next generation, and its fitness is therefore set to 0.
- 2.
- If the frequency range of some sampling points is greater than or equal to f1 and less than fa, and also greater than fb and less than or equal to fN, and |β| ≥ 0.15π is met, then the fitness value is computed by using the second formula; this case indicates that although the optimized metasurface may operate out of the designed band, it still has the potential to realize the target; the fitness value is therefore set to greater than 0, but it does not consider a reward.
- 3.
- If not all sampling points but some points in the frequency range varying from fa to fb satisfy |β| ≥ 0.15π, the fitness value is computed by using the third formula; compared with previous cases, this case is more likely to achieve the optimal target, and the minimum reward fitness value R is then set.
- 4.
- The fourth formula implies that the optimized metasurface operating bandwidth is fb − fa with a transmission efficiency less than ηc; therefore, the second-largest reward fitness value 2R is fixed.
- 5.
- If b − a + 1 sampling points in the frequency range varying from fa to fb satisfy |β| ≥ 0.15π and η ≥ ηc, the fitness value is computed by using the fifth formula; in this case, the operating bandwidth and high transmission efficiency are evaluated comprehensively for the target performance; hence, the maximum reward fitness value 3R is given.
3. Optimal Results and Analysis
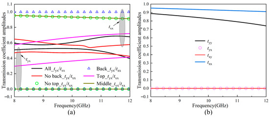
4. Mechanism Analysis
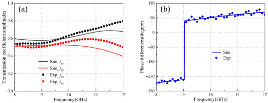
5. Experimental Results
6. Conclusions
Author Contributions
Funding
Institutional Review Board Statement
Informed Consent Statement
Data Availability Statement
Conflicts of Interest
References
- Kossel, M.A.; Kung, R.; Benedickter, H.; Biichtokd, W. An active tagging system using circular-polarization modulation. IEEE Trans. Microw. Theory Tech. 1999, 47, 2242–2248. [Google Scholar] [CrossRef]
- Abadi, S.M.A.M.H.; Behdad, N. Wideband linear-to-circular polarization converters based on miniaturized-element frequency selective surfaces. IEEE Trans. Antennas Propag. 2016, 64, 525–534. [Google Scholar] [CrossRef]
- Tian, F.; Wang, Y.; He, J.; Hao, H.; Ma, X.; Huang, X. Broadband and high-efficient reflective linear-to-circular polarizer with Wi-Fi shaped metasurface. J. Phys. D Appl. Phys. 2022, 55, 325002. [Google Scholar]
- Wiesauer, K.; Jördens, C. Recent advances in birefringence studies at THz frequencies. J. Infrared Millim. Terahz Waves 2013, 34, 663–681. [Google Scholar] [CrossRef]
- Liu, H.; Zhang, J.; Pu, H.; Xu, J.; Xu, R.; Yuan, L. Controlling the abrupt autofocusing of circular airy vortex beam via uniaxial crystal. Photonics 2022, 9, 943. [Google Scholar] [CrossRef]
- Gao, X.; Yu, X.; Cao, W.; Jiang, Y.; Yu, X. Ultra-wideband circular-polarization converter with micro-split Jerusalem-cross metasurfaces. Chin. Phys. B 2016, 25, 28102. [Google Scholar]
- Ran, Y.; Shi, L.; Wang, J.; Wang, S.; Wang, G.; Liang, J. Ultra-wideband linear-to-circular polarization converter with ellipse-shaped metasurfaces. Opt. Commun. 2019, 451, 124–128. [Google Scholar]
- Wang, H.; Cheng, Y. Single-layer dual-band linear-to-circular polarization converter with wide axial ratio bandwidth and different polarization modes. IEEE Trans. Antennas Propag. 2019, 67, 4296–4301. [Google Scholar]
- Wang, C.; Chen, M.; Liu, H.; Teng, C.; Deng, H.; Yuan, L. Wideband circular polarization converter based on graphene metasurface at terahertz frequencies. Opt. Eng. 2019, 58, 043106. [Google Scholar] [CrossRef]
- Fahad, A.K.; Ruan, C.; Chen, K. Dual-wide-band dual polarization terahertz linear to circular polarization converters based on bi-layered transmissive metasurfaces. Electronics 2019, 8, 869. [Google Scholar]
- Wu, J.; Xiao, H.; Zhang, H.; Song, W.; Wang, X. A broadband and wide-angle linear-to-circular polarization converter for mobile microwave wireless power transmission. IEEE Antennas Wirel. Propag. Lett. 2024, 23, 1734–1738. [Google Scholar] [CrossRef]
- Chaudhary, P.; Kumar, A.; Kumar, P.; Kanaujia, B.K.; Birwal, A. Design of a new metasurface and its application for linear to circular polarization conversion. Int. J. Electron. 2021, 108, 411–425. [Google Scholar] [CrossRef]
- Han, B.; Li, S.; Cao, X.; Han, J.; Jidi, L.; Li, Y. Dual-band transmissive metasurface with linear to dual-circular polarization conversion simultaneously. AIP Adv. 2020, 10, 125025. [Google Scholar]
- Fahad, A.K.; Ruan, C.; Ali, S.A.K.M.; Nazir, R.; Ulhaq, T.; Ullah, S.; He, W. Triple-wide-band Ultra-thin Metasheet for transmission polarization conversion. Sci. Rep. 2020, 10, 8810. [Google Scholar]
- Nam, J.; Chang, I.; Lim, J.S.; Woo, H.; Yook, J.G.; Cho, H.H. Flexible metasurface for microwave-infrared compatible camouflage via particle swarm optimization algorithm. Small 2023, 19, 2302848. [Google Scholar]
- Su, J.; Lu, Y.; Zheng, Z.; Li, Z.; Yang, Y.; Che, Y.; Qi, K. Fast analysis and optimal design of metasurface for wideband monostatic and multistatic radar stealth. J. Appl. Phys. 2016, 120, 205107. [Google Scholar] [CrossRef]
- Wu, G.; Yu, W.; Lin, T.; Deng, Y.; Liu, J. Ultra-wideband RCS reduction based on non-planar coding diffusive metasurface. Materials 2020, 13, 4773. [Google Scholar]
- Fu, C.; Han, L.; Liu, C.; Lu, X.; Sun, Z. Reflection-type 1-bit coding metasurface for radar cross section reduction combined diffusion and reflection. J. Phys. D Appl. Phys. 2020, 53, 445107. [Google Scholar]
- Di, L.; Cao, X.; Tang, Y.; Wang, S.; Zhao, Y.; Zhu, X. A new coding metasurface for wideband RCS reduction. Radioengineering 2018, 27, 394–401. [Google Scholar] [CrossRef]
- Zhao, Y.; Cao, X.; Gao, J.; Sun, Y.; Yang, H.; Liu, X.; Zhou, Y.; Han, T.; Chen, W. Broadband diffusion metasurface based on a single anisotropic element and optimized by the simulated annealing algorithm. Sci. Rep. 2016, 6, 23896. [Google Scholar] [CrossRef]
- Chen, P.; Chen, C.; Wang, H.; Tsai, J.; Ni, W.X. Synthesis design of artificial magnetic metamaterials using a genetic algorithm. Opt. Express 2008, 16, 12806–12818. [Google Scholar] [CrossRef] [PubMed]
- Sui, S.; Yu, J.; Ma, H.; Zhang, J.; Wang, J.; Xu, Z.; Qu, S. Ultra-wideband polarization conversion metasurface based on topology optimal design and geometry tailor. Appl. Comput. Electromagn. Soc. J. 2016, 31, 843–846. [Google Scholar]
- Chen, Y.; Xu, C.; Chen, J.; Li, Z.H.; Chen, L.; Huang, W.; Lu, M.H. Optimal design of broadband acoustic metasurface absorbers. Phys. Scr. 2023, 98, 025705. [Google Scholar] [CrossRef]
- Borgese, M.; Costa, F.; Genovesi, S.; Monorchio, A.; Manara, G. Optimal design of miniaturized reflecting metasurfaces for ultra-wideband and angularly stable polarization conversion. Sci. Rep. 2018, 8, 7651. [Google Scholar] [CrossRef]
- Wang, J.; Zhao, X.C.; Jiang, Y.N.; Gu, W.Q.; Xu, K.D. Optimal design of broadband linear-to-circular polarization conversion metasurface. Mater. Des. 2024, 242, 113004. [Google Scholar] [CrossRef]
- Wang, J.; Jin, C.; Jiang, Y.N.; Chen, Y.J. A terahertz wideband linear-to-circular polarization converter based on meandering-structured metasurface. Opt. Commun. 2023, 548, 129876. [Google Scholar] [CrossRef]
- Sofi, M.A.; Saurav, K.; Koul, S.K. Linear-to-circular polarization converter with wide angular stability and near unity ellipticity-application to linearly polarized antenna array. IEEE Trans. Circuits Syst. II 2022, 69, 4779–4783. [Google Scholar] [CrossRef]
- Lin, B.Q.; Guo, J.X.; Huang, B.G.; Fang, L.B.; Chu, P.; Liu, X.W. Wideband linear-to-circular polarization conversion realized by a transmissive anisotropic metasurface. Chin. Phys. B 2018, 27, 054204. [Google Scholar] [CrossRef]
- Arnieri, E.; Greco, F.; Amendola, G. A broadband, wide-angle scanning, linear-to-circular polarization converter based on standard jerusalem cross frequency selective surfaces. IEEE Trans. Antennas Propag. 2021, 69, 578–583. [Google Scholar] [CrossRef]
- Dicandia, F.A.; Genovesi, S. Linear-to-circular polarization transmission converter exploiting meandered metallic slots. Antennas Wirel. Propag. Lett. 2022, 21, 2191–2195. [Google Scholar] [CrossRef]
- Gao, X.; Li, K.X.; Wu, X.B.; Xue, C.H.; Wang, G.F.; Xie, X.M.; Qin, M.M. Ultra-wideband linear-to-circular polarizer realized by bi-layer metasurfaces. Opt. Express 2022, 30, 18392–18401. [Google Scholar]
- Ma, Y.D.; Hu, Y.W.; Zhou, W.Y.; Zhang, T.R. Research on the miniaturization method of the broadband linear-to-circular polarization conversion metasurface based on genetic algorithm. Opt. Express 2024, 32, 49038. [Google Scholar] [CrossRef]
- Martinez-Lopez, L.; Rodriguez-Cuevas, J.; Martinez-Lopez, J.I.; Martynyuk, A.E. A multilayer circular polarizer based on bisected split-ring frequency selective surfaces. Antennas Wirel. Propag. Lett. 2014, 13, 153–156. [Google Scholar] [CrossRef]








| p | w1 | h | h1 | h2 | w2 | l |
|---|---|---|---|---|---|---|
| 8 | 0.5 | 1.524 | 0.035 | 0.035 | 0.5 | 6 |
| Reference | CF (GHz) | RB (%) | NL | Thickness | Periodic Dimensions |
|---|---|---|---|---|---|
| [11] | 5.8 | 38.17 | 1 | 0.10λ | 0.23λ × 0.23λ |
| [27] | 30 | 9.67 | 1 | 0.15λ | 0.394λ × 0.394λ |
| [28] | 15.3 | 40.4 | 2 | 0.20λ | 0.306λ × 0.306λ |
| [29] | 20 | 24 | 2 | 0.27λ | 0.35λ × 0.35λ |
| [30] | 3.575 | 25.45 | 2 | 0.24λ | 0.26λ × 0.26λ |
| [31] | 9.35 | 69 | 2 | 0.11λ | 0.296λ × 0.296λ |
| [32] | 3.86 | 71 | 3 | 0.46λ | 0.18λ × 0.18λ |
| [33] | 31 | 36 | 4 | 0.83λ | 0.51λ × 0.516λ |
| This work | 9.83 | 33.5 | 1 | 0.05λ | 0.26λ × 0.26λ |
| Case | I | II | III | IV | V | VI |
|---|---|---|---|---|---|---|
| Composition | Top, middle, and back | Top and middle | Middle and back | Back | Top | Middle |
| Identification | All | No back | No top | Back | Top | Middle |
Disclaimer/Publisher’s Note: The statements, opinions and data contained in all publications are solely those of the individual author(s) and contributor(s) and not of MDPI and/or the editor(s). MDPI and/or the editor(s) disclaim responsibility for any injury to people or property resulting from any ideas, methods, instructions or products referred to in the content. |
© 2025 by the authors. Licensee MDPI, Basel, Switzerland. This article is an open access article distributed under the terms and conditions of the Creative Commons Attribution (CC BY) license (https://creativecommons.org/licenses/by/4.0/).
Share and Cite
Wang, J.; Xiong, W.; Zhou, H.; Xu, C.; Jiang, Y. 2D Mutation-Based Elitist Genetic Algorithm for Optimal Design of Transmissive Linear-to-Circular Polarization Conversion Metasurfaces. Appl. Sci. 2025, 15, 11265. https://doi.org/10.3390/app152011265
Wang J, Xiong W, Zhou H, Xu C, Jiang Y. 2D Mutation-Based Elitist Genetic Algorithm for Optimal Design of Transmissive Linear-to-Circular Polarization Conversion Metasurfaces. Applied Sciences. 2025; 15(20):11265. https://doi.org/10.3390/app152011265
Chicago/Turabian StyleWang, Jiao, Wanguang Xiong, Hongkai Zhou, Chao Xu, and Yannan Jiang. 2025. "2D Mutation-Based Elitist Genetic Algorithm for Optimal Design of Transmissive Linear-to-Circular Polarization Conversion Metasurfaces" Applied Sciences 15, no. 20: 11265. https://doi.org/10.3390/app152011265
APA StyleWang, J., Xiong, W., Zhou, H., Xu, C., & Jiang, Y. (2025). 2D Mutation-Based Elitist Genetic Algorithm for Optimal Design of Transmissive Linear-to-Circular Polarization Conversion Metasurfaces. Applied Sciences, 15(20), 11265. https://doi.org/10.3390/app152011265

