Estimation of Tomato Quality During Storage by Means of Image Analysis, Instrumental Analytical Methods, and Statistical Approaches
Abstract
1. Introduction
2. Materials and Methods
2.1. Tomato Sampling
2.2. Image Analysis of the Surfaces of Tomato Peels
2.3. Attenuated Total Reflectance Fourier Transform Infrared Spectroscopy (ATR-FTIR) of the Outer Surfaces of Tomato Peels
2.4. Physicochemical Measurements of Tomato Samples
2.5. Extraction of Phenolic Compounds and Spectrophotometric Assays in Phenolic Extracts
2.6. Statistical Analysis and Regression Models
2.7. Discriminant Analysis
3. Results and Discussion
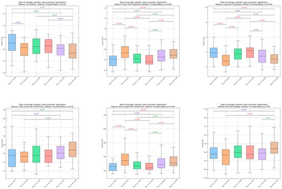
3.1. Characterization of Tomato During Storage Using Textural-Image Analysis of the Outer Surfaces of Tomato Peels
3.2. Interpretation of ATR-FTIR Spectra from Tomato Peels
3.3. Physicochemical Parameters of Tomato Flesh During Storage
3.4. Prediction of Storage Period and Tomato Quality During Storage by Regression Analysis
4. Conclusions
Author Contributions
Funding
Institutional Review Board Statement
Informed Consent Statement
Data Availability Statement
Acknowledgments
Conflicts of Interest
References
- Food and Agriculture Organization. FAOSTAT. Available online: https://www.fao.org/home/en/ (accessed on 26 December 2024).
- Bai, Y.; Lindhout, P. Domestication and Breeding of Tomatoes: What Have We Gained and What Can We Gain in the Future? Ann. Bot. 2007, 100, 1085–1094. [Google Scholar] [CrossRef] [PubMed]
- Van Andel, T.; Vos, R.A.; Michels, E.; Stefanaki, A. Sixteenth-Century Tomatoes in Europe: Who Saw Them, What They Looked like, and Where They Came From. PeerJ 2022, 10, e12790. [Google Scholar] [CrossRef] [PubMed]
- Tsaniklidis, G.; Charova, S.N.; Fanourakis, D.; Tsafouros, A.; Nikoloudakis, N.; Goumenaki, E.; Tsantili, E.; Roussos, P.A.; Spiliopoulos, I.K.; Paschalidis, K.A.; et al. The Role of Temperature in Mediating Postharvest Polyamine Homeostasis in Tomato Fruit. Postharvest Biol. Technol. 2021, 179, 111586. [Google Scholar] [CrossRef]
- Ali, M.Y.; Sina, A.A.I.; Khandker, S.S.; Neesa, L.; Tanvir, E.M.; Kabir, A.; Khalil, M.I.; Gan, S.H. Nutritional Composition and Bioactive Compounds in Tomatoes and Their Impact on Human Health and Disease: A Review. Foods 2020, 10, 45. [Google Scholar] [CrossRef] [PubMed]
- Sies, H.; Jones, D.P. Reactive Oxygen Species (ROS) as Pleiotropic Physiological Signalling Agents. Nat. Rev. Mol. Cell Biol. 2020, 21, 363–383. [Google Scholar] [CrossRef] [PubMed]
- Añibarro-Ortega, M.; Pinela, J.; Ćirić, A.; Martins, V.; Rocha, F.; Soković, M.D.; Barata, A.M.; Carvalho, A.M.; Barros, L.; Ferreira, I.C.F.R. Valorisation of Table Tomato Crop By-Products: Phenolic Profiles and In Vitro Antioxidant and Antimicrobial Activities. Food Bioprod. Process. 2020, 124, 307–319. [Google Scholar] [CrossRef]
- Elbadrawy, E.; Sello, A. Evaluation of Nutritional Value and Antioxidant Activity of Tomato Peel Extracts. Arab. J. Chem. 2016, 9, S1010–S1018. [Google Scholar] [CrossRef]
- Al-Dairi, M.; Pathare, P.B.; Al-Yahyai, R. Chemical and Nutritional Quality Changes of Tomato during Postharvest Transportation and Storage. J. Saudi Soc. Agric. Sci. 2021, 20, 401–408. [Google Scholar] [CrossRef]
- Sibomana, M.S.; Workneh, T.S.; Audain, K. A Review of Postharvest Handling and Losses in the Fresh Tomato Supply Chain: A Focus on Sub-Saharan Africa. Food Secur. 2016, 8, 389–404. [Google Scholar] [CrossRef]
- Tao, J.; Zuo, J.; Watkins, C.B.; Bai, C.; He, X.; Liu, S.; Han, L.; Zhao, X.; Liu, Y.; Li, J.; et al. Low Storage Temperature Affects Quality and Volatile Compounds in Fresh Tomatoes. Food Chem. 2024, 460, 140400. [Google Scholar] [CrossRef] [PubMed]
- Famuyini, M.J.; Olalusi, A.P.; Sedara, A.M. Effect of Maturity Stage on Quality and Shelf Life of Tomato (Lycopersicon esculentum Mill.) Using the Refrigerator Storage System. Eurasian J. Agric. Res. 2020, 4, 23–44. [Google Scholar]
- Sinha, S.R.; Singha, A.; Faruquee, M.; Jiku, A.S.; Rahaman, A.; Alam, A.; Kader, M.A. Post-Harvest Assessment of Fruit Quality and Shelf Life of Two Elite Tomato Varieties Cultivated in Bangladesh. Bull. Natl. Res. Cent. 2019, 43, 185. [Google Scholar] [CrossRef]
- Park, M.-H.; Sangwanangkul, P.; Baek, D.-R. Changes in Carotenoid and Chlorophyll Content of Black Tomatoes (Lycopersicone sculentum L.) during Storage at Various Temperatures. Saudi J. Biol. Sci. 2018, 25, 57–65. [Google Scholar] [CrossRef] [PubMed]
- Tilahun, S.; Park, D.S.; Taye, A.M.; Jeong, C.S. Effects of Storage Duration on Physicochemical and Antioxidant Properties of Tomato (Lycopersicon esculentum Mill.). HST 2017, 35, 89–97. [Google Scholar] [CrossRef]
- Sualeh, A.; Daba, A.; Kiflu, S.; Mohammed, A. Effect of Storage Conditions and Packing Materials on Shelf Life of Tomato. Food Sci. Qual. Manag. 2016, 56, 60–67. [Google Scholar]
- Farneti, B.; Alarcón, A.A.; Papasotiriou, F.G.; Samudrala, D.; Cristescu, S.M.; Costa, G.; Harren, F.J.M.; Woltering, E.J. Chilling-Induced Changes in Aroma Volatile Profiles in Tomato. Food Bioprocess Technol. 2015, 8, 1442–1454. [Google Scholar] [CrossRef] [PubMed]
- Antunes, M.D.C.; Rodrigues, D.; Pantazis, V.; Cavaco, A.M.; Siomos, A.S.; Miguel, G. Nutritional Quality Changes of Fresh-Cut Tomato during Shelf Life. Food Sci. Biotechnol. 2013, 22, 1–8. [Google Scholar] [CrossRef]
- Takahashi, N.; Maki, H.; Nishina, H.; Takayama, K. Evaluation of Tomato Fruit Color Change with Different Maturity Stages and Storage Temperatures Using Image Analysis. IFAC Proc. Vol. 2013, 46, 147–149. [Google Scholar] [CrossRef]
- Nguyen, T.M.V.; Hertog, M.L.A.T.M.; Van de Poel, B.; Tran, D.T.; Nicolaï, B. Targeted System Approach to Ethylene Biosynthesis and Signaling of a Heat Tolerant Tomato Cultivar; the Impact of Growing Season on Fruit Ripening. Front. Plant Sci. 2023, 14, 1195020. [Google Scholar] [CrossRef] [PubMed]
- Quintero Ramírez, M.; Alvarez Valdez, E.; Ceballos Aguirre, N.; Duno, D.; Taborda Ocampo, G. Volatilomic Profile of the Tree Tomato (Solanum betaceum Cav.) Pulp during Ripening and Senescence Using HS–SPME with GC–MS. LWT 2023, 186, 115213. [Google Scholar] [CrossRef]
- Kushwaha, R.; Singh, M.; Singh, V.; Puranik, V.; Kaur, D. Variation of Bioactive Compounds and Antioxidant Activity during Ripening of Tomato Cultivars. J. Food Agric. Res. 2021, 1, 15–29. [Google Scholar]
- Choi, S.-H.; Lee, S.-H.; Kim, H.-J.; Lee, I.-S.; Kozukue, N.; Levin, C.E.; Friedman, M. Changes in Free Amino Acid, Phenolic, Chlorophyll, Carotenoid, and Glycoalkaloid Contents in Tomatoes during 11 Stages of Growth and Inhibition of Cervical and Lung Human Cancer Cells by Green Tomato Extracts. J. Agric. Food Chem. 2010, 58, 7547–7556. [Google Scholar] [CrossRef] [PubMed]
- Venkatachalam, K.; Lekjing, S.; Noonim, P.; Charoenphun, N. Extension of Quality and Shelf Life of Tomatoes Using Chitosan Coating Incorporated with Cinnamon Oil. Foods 2024, 13, 1000. [Google Scholar] [CrossRef] [PubMed]
- Flores-López, M.L.; Vieira, J.M.; Rocha, C.M.R.; Lagarón, J.M.; Cerqueira, M.A.; Jasso De Rodríguez, D.; Vicente, A.A. Postharvest Quality Improvement of Tomato (Solanum lycopersicum L.) Fruit Using a Nanomultilayer Coating Containing Aloe Vera. Foods 2023, 13, 83. [Google Scholar] [CrossRef] [PubMed]
- Liu, Y.; Sun, Y.; Ye, M.; Zhu, L.; Zhang, L.; Zhu, S. Improvement in Storage Quality of Postharvest Tomato Fruits by Nitroxyl Liposomes Treatment. Food Chem. 2021, 359, 129933. [Google Scholar] [CrossRef] [PubMed]
- Patanè, C.; Malvuccio, A.; Saita, A.; Rizzarelli, P.; Siracusa, L.; Rizzo, V.; Muratore, G. Nutritional Changes during Storage in Fresh-Cut Long Storage Tomato as Affected by Biocompostable Polylactide and Cellulose Based Packaging. LWT 2019, 101, 618–624. [Google Scholar] [CrossRef]
- Mirdehghan, S.H.; Valero, D. Bioactive Compounds in Tomato Fruit and Its Antioxidant Activity as Affected by Incorporation of Aloe, Eugenol, and Thymol in Fruit Package during Storage. Int. J. Food Prop. 2016, 20, 1798–1806. [Google Scholar] [CrossRef]
- Shehata, S.A.; Abdelrahman, S.Z.; Megahed, M.M.A.; Abdeldaym, E.A.; El-Mogy, M.M.; Abdelgawad, K.F. Extending Shelf Life and Maintaining Quality of Tomato Fruit by Calcium Chloride, Hydrogen Peroxide, Chitosan, and Ozonated Water. Horticulturae 2021, 7, 309. [Google Scholar] [CrossRef]
- Wang, S.; Qiang, Q.; Xiang, L.; Fernie, A.R.; Yang, J. Targeted Approaches to Improve Tomato Fruit Taste. Hortic. Res. 2023, 10, uhac229. [Google Scholar] [CrossRef] [PubMed]
- Wang, C.; Li, M.; Duan, X.; Abu-Izneid, T.; Rauf, A.; Khan, Z.; Mitra, S.; Emran, T.B.; Aljohani, A.S.M.; Alhumaydhi, F.A.; et al. Phytochemical and Nutritional Profiling of Tomatoes; Impact of Processing on Bioavailability—A Comprehensive Review. Food Rev. Int. 2023, 39, 5986–6010. [Google Scholar] [CrossRef]
- Lima, G.P.P.; Gómez, H.A.G.; Seabra Junior, S.; Maraschin, M.; Tecchio, M.A.; Borges, C.V. Functional and Nutraceutical Compounds of Tomatoes as Affected by Agronomic Practices, Postharvest Management, and Processing Methods: A Mini Review. Front. Nutr. 2022, 9, 868492. [Google Scholar] [CrossRef] [PubMed]
- Pathare, P.B.; Al-Dairi, M.; Al-Mahdouri, A. Effect of Storage Conditions on Postharvest Quality of Tomatoes: A Case Study at Market-Level. J. Agric. Mar. Sci. 2021, 26, 13–20. [Google Scholar]
- Luna-Guevara, M.L.; Jimenez-Gonzalez, O.; Luna-Guevara, J.J.; Hernandez-Carranza, P.; Ochoa-Velasco, C.E. Quality Parameters and Bioactive Compounds of Red Tomatoes (Solanum lycopersicum L.) Cv Roma VF at Different Postharvest Conditions. J. Food Res. 2014, 3, 8. [Google Scholar] [CrossRef][Green Version]
- Christodoulou, P.; Ladika, G.; Tsiantas, K.; Kritsi, E.; Tsiaka, T.; Cavouras, D.; Zoumpoulakis, P.; Sinanoglou, V.J. Quality Assessment of Greenhouse-Cultivated Cucumbers (Cucumis sativus) during Storage Using Instrumental and Image Analyses. Appl. Sci. 2024, 14, 8676. [Google Scholar] [CrossRef]
- Ladika, G.; Strati, I.F.; Tsiaka, T.; Cavouras, D.; Sinanoglou, V.J. On the Assessment of Strawberries’ Shelf-Life and Quality, Based on Image Analysis, Physicochemical Methods, and Chemometrics. Foods 2024, 13, 234. [Google Scholar] [CrossRef] [PubMed]
- Pathare, P.B.; Opara, U.L. Structural Design of Corrugated Boxes for Horticultural Produce: A Review. Biosyst. Eng. 2014, 125, 128–140. [Google Scholar] [CrossRef]
- Sinanoglou, V.J.; Tsiaka, T.; Aouant, K.; Mouka, E.; Ladika, G.; Kritsi, E.; Konteles, S.J.; Ioannou, A.-G.; Zoumpoulakis, P.; Strati, I.F.; et al. Quality Assessment of Banana Ripening Stages by Combining Analytical Methods and Image Analysis. Appl. Sci. 2023, 13, 3533. [Google Scholar] [CrossRef]
- Helrich, K. Official Methods of Analysis of the Association of Official Analytical Chemists, 15th ed.; Association of Official Analytical Chemists: Arlington, TX, USA, 1990; ISBN 978-0-935584-42-4. [Google Scholar]
- Giannakourou, M.C.; Stavropoulou, N.; Tsironi, T.; Lougovois, V.; Kyrana, V.; Konteles, S.J.; Sinanoglou, V.J. Application of Hurdle Technology for the Shelf Life Extension of European Eel (Anguilla anguilla) Fillets. Aquac. Fish. 2023, 8, 393–402. [Google Scholar] [CrossRef]
- Chen, L.; Opara, U.L. Texture Measurement Approaches in Fresh and Processed Foods—A Review. Food Res. Int. 2013, 51, 823–835. [Google Scholar] [CrossRef]
- Kritsi, E.; Tsiaka, T.; Sotiroudis, G.; Mouka, E.; Aouant, K.; Ladika, G.; Zoumpoulakis, P.; Cavouras, D.; Sinanoglou, V.J. Potential Health Benefits of Banana Phenolic Content during Ripening by Implementing Analytical and In Silico Techniques. Life 2023, 13, 332. [Google Scholar] [CrossRef] [PubMed]
- Anđelini, M.; Major, N.; Išić, N.; Kovačević, T.K.; Ban, D.; Palčić, I.; Radunić, M.; Goreta Ban, S. Sugar and Organic Acid Content Is Dependent on Tomato (Solanum lycoperiscum L.) Peel Color. Horticulturae 2023, 9, 313. [Google Scholar] [CrossRef]
- Jati, I.R.A.P.; Setijawaty, E.; Utomo, A.R.; Darmoatmodjo, L.M.Y.D. The Application of Aloe Vera Gel as Coating Agent to Maintain the Quality of Tomatoes during Storage. Coatings 2022, 12, 1480. [Google Scholar] [CrossRef]
- Tadesse, T.N.; Ibrahim, A.M.; Gebreselas, W. Degradation and Formation of Fruit Color in Tomato (Solanum lycopersicum L.) in Response to Storage Temperature. Am. J. Food Technol. 2015, 10, 147–157. [Google Scholar] [CrossRef]
- Ayomide, O.B.; Ajayi, O.O.; Ajayi, A.A. Advances in the Development of a Tomato Postharvest Storage System: Towards Eradicating Postharvest Losses. J. Phys. Conf. Ser. 2019, 1378, 022064. [Google Scholar] [CrossRef]
- Tolasa, M.; Gedamu, F.; Woldetsadik, K. Impacts of Harvesting Stages and Pre-Storage Treatments on Shelf Life and Quality of Tomato (Solanum lycopersicum L.). Cogent Food Agric. 2021, 7, 1863620. [Google Scholar] [CrossRef]
- Breda, C.A.; Morgado, D.L.; De Assis, O.B.G.; Duarte, M.C.T. Effect of Chitosan Coating Enriched with Pequi (Caryocar Brasiliense Camb.) Peel Extract on Quality and Safety of Tomatoes (Lycopersicon esculentum Mill.) during Storage. J. Food Process. Preserv. 2017, 41, e13268. [Google Scholar] [CrossRef]
- Palumbo, M.; Cefola, M.; Pace, B.; Attolico, G.; Colelli, G. Computer Vision System Based on Conventional Imaging for Non-Destructively Evaluating Quality Attributes in Fresh and Packaged Fruit and Vegetables. Postharvest Biol. Technol. 2023, 200, 112332. [Google Scholar] [CrossRef]
- Apte, S.K.; Patavardhan, P.P. Feature Fusion Based Orange and Banana Fruit Quality Analysis with Textural Image Processing. J. Phys. Conf. Ser. 2021, 1911, 012023. [Google Scholar] [CrossRef]
- Subhashree, S.N.; Sunoj, S.; Xue, J.; Bora, G.C. Quantification of Browning in Apples Using Colour and Textural Features by Image Analysis. Food Qual. Saf. 2017, 1, 221–226. [Google Scholar] [CrossRef]
- Kozłowicz, K.; Różyło, R.; Gładyszewska, B.; Matwijczuk, A.; Gładyszewski, G.; Chocyk, D.; Samborska, K.; Piekut, J.; Smolewska, M. Identification of Sugars and Phenolic Compounds in Honey Powders with the Use of GC–MS, FTIR Spectroscopy, and X-Ray Diffraction. Sci. Rep. 2020, 10, 16269. [Google Scholar] [CrossRef] [PubMed]
- Bello-Pérez, L.A.; Ottenhof, M.-A.; Agama-Acevedo, E.; Farhat, I.A. Effect of Storage Time on the Retrogradation of Banana Starch Extrudate. J. Agric. Food Chem. 2005, 53, 1081–1086. [Google Scholar] [CrossRef]
- Skolik, P.; McAinsh, M.R.; Martin, F.L. ATR-FTIR Spectroscopy Non-Destructively Detects Damage-Induced Sour Rot Infection in Whole Tomato Fruit. Planta 2019, 249, 925–939. [Google Scholar] [CrossRef] [PubMed]
- Nandiyanto, A.B.D.; Oktiani, R.; Ragadhita, R. How to Read and Interpret FTIR Spectroscope of Organic Material. Indones. J. Sci. Technol. 2019, 4, 97. [Google Scholar] [CrossRef]
- Movasaghi, Z.; Rehman, S.; Rehman, I.U. Fourier Transform Infrared (FTIR) Spectroscopy of Biological Tissues. Appl. Spectrosc. Rev. 2008, 43, 134–179. [Google Scholar] [CrossRef]
- Li, X.; Huang, H.; Zhang, L.; Zhao, L. Effect of Postharvest Storage Temperature and Duration on Tomato Fruit Quality. Foods 2025, 14, 1002. [Google Scholar] [CrossRef] [PubMed]
- Bu, J.; Yu, Y.; Aisikaer, G.; Ying, T. Postharvest UV-C Irradiation Inhibits the Production of Ethylene and the Activity of Cell Wall-Degrading Enzymes during Softening of Tomato (Lycopersicon esculentum L.) Fruit. Postharvest Biol. Technol. 2013, 86, 337–345. [Google Scholar] [CrossRef]
- Ren, Y.; Sun, P.; Wang, X.; Zhu, Z. Degradation of Cell Wall Polysaccharides and Change of Related Enzyme Activities with Fruit Softening in Annona squamosa during Storage. Postharvest Biol. Technol. 2020, 166, 111203. [Google Scholar] [CrossRef]
- Mohie, M.K.; Mohamed, F.G.; Shaheen, M.S. Fourier Transformer Infrared Spectroscopy for Quality Assurance of Tomato Products. J. Am. Sci. 2011, 7, 559–572. [Google Scholar]
- Hong, T.; Yin, J.-Y.; Nie, S.-P.; Xie, M.-Y. Applications of Infrared Spectroscopy in Polysaccharide Structural Analysis: Progress, Challenge and Perspective. Food Chem. X 2021, 12, 100168. [Google Scholar] [CrossRef] [PubMed]
- Talari, A.C.S.; Martinez, M.A.G.; Movasaghi, Z.; Rehman, S.; Rehman, I.U. Advances in Fourier Transform Infrared (FTIR) Spectroscopy of Biological Tissues. Appl. Spectrosc. Rev. 2017, 52, 456–506. [Google Scholar] [CrossRef]
- Abiso, E.; Satheesh, N.; Hailu, A. Effect of Storage Methods and Ripening Stages on Postharvest Quality of Tomato (Lycopersicom esculentum Mill) Cv. Chali. Annals. Food Sci. Technol. 2015, 16, 127–137. [Google Scholar]
- Tigist, M.; Workneh, T.S.; Woldetsadik, K. Effects of Variety on the Quality of Tomato Stored under Ambient Conditions. J. Food Sci. Technol. 2013, 50, 477–486. [Google Scholar] [CrossRef] [PubMed]
- Ramírez, F.; Kallarackal, J. Tree Tomato (Solanum betaceum Cav.) Reproductive Physiology: A Review. Sci. Hortic. 2019, 248, 206–215. [Google Scholar] [CrossRef]
- Eboibi, O.; Akpokodje, O.I.; Nyorere, O.; Oghenerukevwe, P.; Uguru, H. Evaluation of Textural Qualities and Chemical Properties of Some Tomato Cultivars. Direct Res. J. Agric. Food Sci. 2019, 7, 147–157. [Google Scholar] [CrossRef]
- Borghesi, E.; Ferrante, A.; Gordillo, B.; Rodríguez-Pulido, F.J.; Cocetta, G.; Trivellini, A.; Mensuali-Sodi, A.; Malorgio, F.; Heredia, F.J. Comparative Physiology during Ripening in Tomato Rich-Anthocyanins Fruits. Plant Growth Regul. 2016, 80, 207–214. [Google Scholar] [CrossRef]
- Pila, N.; Gol, N.B.; Rao, T.V.R. Effect of Post Harvest Treatments on Physicochemical Characteristics and Shelf Life of Tomato (Lycopersicon esculentum Mill.) Fruits during Storage. Am. Eurasian J. Agric. Envion.Sci. 2010, 9, 470–479. [Google Scholar]
- Mouhamed, B.A.; Kasnazany, S.A.S. Impact of Harvesting Stages and Postharvest Treatments on the Quality and Storability of Tomato Fruits (Solanum lycopersicum L.) Cv. Sangaw. Coatings 2024, 14, 1143. [Google Scholar] [CrossRef]
- Cruz-Carrión, Á.; Ruiz De Azua, M.J.; Bravo, F.I.; Aragonès, G.; Muguerza, B.; Suárez, M.; Arola-Arnal, A. Tomatoes Consumed In-Season Prevent Oxidative Stress in Fischer 344 Rats: Impact of Geographical Origin. Food Funct. 2021, 12, 8340–8350. [Google Scholar] [CrossRef] [PubMed]
- Del Giudice, R.; Raiola, A.; Tenore, G.C.; Frusciante, L.; Barone, A.; Monti, D.M.; Rigano, M.M. Antioxidant Bioactive Compounds in Tomato Fruits at Different Ripening Stages and Their Effects on Normal and Cancer Cells. J. Funct. Foods 2015, 18, 83–94. [Google Scholar] [CrossRef]
- Ilahy, R.; Hdider, C.; Lenucci, M.S.; Tlili, I.; Dalessandro, G. Antioxidant Activity and Bioactive Compound Changes during Fruit Ripening of High-Lycopene Tomato Cultivars. J. Food Compos. Anal. 2011, 24, 588–595. [Google Scholar] [CrossRef]
- Chaudhary, P.; Sharma, A.; Singh, B.; Nagpal, A.K. Bioactivities of Phytochemicals Present in Tomato. J. Food Sci. Technol. 2018, 55, 2833–2849. [Google Scholar] [CrossRef] [PubMed]
- Rodrigues Da Silva, L.; Maria Silva, B. (Eds.) Natural Bioactive Compounds from Fruits and Vegetables as Health Promoters Part II.; Bentham Science Publishers: Sharjah, United Arab Emirates, 2016; ISBN 978-1-68108-243-1. [Google Scholar]
- Hernández-Fuentes, A.; López-Vargas, E.; Pinedo-Espinoza, J.; Campos-Montiel, R.; Valdés-Reyna, J.; Juárez-Maldonado, A. Postharvest Behavior of Bioactive Compounds in Tomato Fruits Treated with Cu Nanoparticles and NaCl Stress. Appl. Sci. 2017, 7, 980. [Google Scholar] [CrossRef]
- Rivero, R.M.; Ruiz, J.M.; García, P.C.; López-Lefebre, L.R.; Sánchez, E.; Romero, L. Resistance to Cold and Heat Stress: Accumulation of Phenolic Compounds in Tomato and Watermelon Plants. Plant Sci. 2001, 160, 315–321. [Google Scholar] [CrossRef] [PubMed]
- Ropelewska, E.; Noutfia, Y. Application of Image Analysis and Machine Learning for the Assessment of Grape (Vitis L.) Berry Behavior under Different Storage Conditions. Eur. Food Res. Technol. 2024, 250, 935–944. [Google Scholar] [CrossRef]
- Li, D.; Bai, L.; Wang, R.; Ying, S. Research Progress of Machine Learning in Extending and Regulating the Shelf Life of Fruits and Vegetables. Foods 2024, 13, 3025. [Google Scholar] [CrossRef] [PubMed]
- Contreras-López, E.; Jaimez-Ordaz, J.; Ugarte-Bautista, I.; Ramírez-Godínez, J.; González-Olivares, L.G.; García-Curiel, L.; Pérez-Flores, J.G. Use of Image Analysis to Determine the Shelf-Life of an Apple Compote with Wine. Food Sci. Technol. 2022, 42, e04122. [Google Scholar] [CrossRef]











| Regions (cm−1) | Day 3 | Day 7 | Day 10 | Day 14 | Day 17 | Day 24 |
|---|---|---|---|---|---|---|
| 3356 | 0.746 ± 0.013a * | 0.761 ± 0.032a | 0.766 ± 0.026a | 0.859 ± 0.015b | 0.876 ± 0.013b | 0.885 ± 0.014b |
| 2922 | 0.729 ± 0.016a | 0.708 ± 0.019a | 0.712 ± 0.007a | 0.720 ± 0.027a | 0.655 ± 0.025b | 0.592 ± 0.030c |
| 2854 | 0.377 ± 0.012a | 0.377 ± 0.017a | 0.374 ± 0.010a | 0.330 ± 0.006b | 0.325 ± 0.019bc | 0.305 ± 0.009c |
| 1726 | 0.295 ± 0.014a | 0.224 ± 0.009b | 0.227 ± 0.018b | 0.222 ± 0.009b | 0.204 ± 0.007c | 0.199 ± 0.007c |
| 1708 | 0.000 ± 0.000 | 0.000 ± 0.000 | 0.000 ± 0.000 | 0.035 ± 0.004a | 0.034 ± 0.002a | 0.032 ± 0.003a |
| 1624 | 0.025 ± 0.001a | 0.017 ± 0.002b | 0.010 ± 0.001c | 0.000 ± 0.000 | 0.000 ± 0.000 | 0.000 ± 0.000 |
| 1602 | 0.238 ± 0.007a | 0.231 ± 0.014a | 0.239 ± 0.006a | 0.235 ± 0.015a | 0.225 ± 0.013a | 0.245 ± 0.013a |
| 1558 | 0.034 ± 0.001a | 0.045 ± 0.002b | 0.042 ± 0.003b | 0.046 ± 0.002b | 0.042 ± 0.004b | 0.044 ± 0.003b |
| 1512 | 0.116 ± 0.006a | 0.129 ± 0.006b | 0.131 ± 0.013b | 0.136 ± 0.011b | 0.121 ± 0.006a | 0.122 ± 0.009a |
| 1460 | 0.153 ± 0.005a | 0.153 ± 0.005a | 0.157 ± 0.006a | 0.153 ± 0.010a | 0.131 ± 0.005b | 0.129 ± 0.005b |
| 1344 | 0.073 ± 0.004a | 0.084 ± 0.004b | 0.086 ± 0.009b | 0.096 ± 0.008b | 0.089 ± 0.004b | 0.095 ± 0.010b |
| 1280 | 0.028 ± 0.002a | 0.036 ± 0.002b | 0.047 ± 0.002c | 0.046 ± 0.003c | 0.044 ± 0.004c | 0.044 ± 0.004c |
| 1220 | 0.064 ± 0.002a | 0.082 ± 0.002b | 0.094 ± 0.005c | 0.095 ± 0.003c | 0.091 ± 0.003c | 0.093 ± 0.007c |
| 1165 | 0.205 ± 0.007a | 0.203 ± 0.008a | 0.204 ± 0.008a | 0.215 ± 0.007a | 0.183 ± 0.005b | 0.174 ± 0.007b |
| 1105 | 0.067 ± 0.002a | 0.064 ± 0.002a | 0.065 ± 0.004a | 0.067 ± 0.002a | 0.066 ± 0.003a | 0.068 ± 0.003a |
| 1056–1050 | 0.012 ± 0.001a | 0.016 ± 0.001b | 0.015 ± 0.002b | 0.016 ± 0.001b | 0.012 ± 0.001a | 0.010 ± 0.001a |
| 1028–1022 | 0.020 ± 0.002a | 0.019 ± 0.001a | 0.018 ± 0.002a | 0.018 ± 0.002a | 0.019 ± 0.002a | 0.014 ± 0.002b |
| 970 | 0.029 ± 0.002a | 0.029 ± 0.002a | 0.032 ± 0.003ab | 0.034 ± 0.003ab | 0.036 ± 0.002b | 0.035 ± 0.003ab |
| 833–831 | 0.064 ± 0.002a | 0.079 ± 0.003b | 0.081 ± 0.003b | 0.083 ± 0.002b | 0.064 ± 0.005a | 0.060 ± 0.004a |
| 721 | 0.030 ± 0.002a | 0.030 ± 0.002a | 0.032 ± 0.002a | 0.036 ± 0.002b | 0.037 ± 0.002b | 0.028 ± 0.002a |
| 630–623 | 0.008 ± 0.001a | 0.009 ± 0.001a | 0.008 ± 0.001a | 0.010 ± 0.002a | 0.008 ± 0.001a | 0.010 ± 0.002a |
| 550–542 | 0.010 ± 0.001a | 0.009 ± 0.001a | 0.009 ± 0.002a | 0.012 ± 0.002 | 0.011 ± 0.002 | 0.012 ± 0.003 |
| 518–514 | 0.019 ± 0.002a | 0.020 ± 0.002a | 0.020 ± 0.001a | 0.019 ± 0.001a | 0.017 ± 0.002a | 0.017 ± 0.002a |
| aw | Moisture (%w/w) | Brix (Degrees) | Firmness (N) | h Inner (Degrees) | |
|---|---|---|---|---|---|
| Day 3 | 0.9914 ± 0.0012ab * | 93.81 ± 0.23a | 5.4 ± 0.1a | 10.66 ± 0.67a | 36.60 ± 1.10a |
| Day 7 | 0.9935 ± 0.0018a | 93.51 ± 0.15a | 6.0 ± 0.1b | 10.17 ± 0.30a | 36.56 ± 1.52a |
| Day 10 | 0.9894 ± 0.0020b | 93.56 ± 0.17a | 5.3 ± 0.2a | 9.93 ± 0.33a | 35.43 ± 0.80a |
| Day 14 | 0.9924 ± 0.0014ab | 93.56 ± 0.14a | 6.1 ± 0.2b | 8.93 ± 0.27b | 34.62 ± 1.50a |
| Day 17 | 0.9925 ± 0.0020ab | 94.67 ± 0.34b | 5.0 ± 0.1c | 9.02 ± 0.29b | 35.00 ± 0.99a |
| Day 24 | 0.9969 ± 0.0007c | 94.15 ± 0.09c | 5.0 ± 0.1c | 8.79 ± 0.28b | 39.06 ± 1.11b |
| TPC (mg GAE/kg Flesh) | ABTS (mg Trolox (TE)/kg Flesh) | FRAP (mg Fe (II)/kg Flesh) | |
|---|---|---|---|
| Day 3 | 154.17 ± 4.78a * | 232.11 ± 14.65a | 1052.67 ± 47.29a |
| Day 7 | 168.17 ± 10.49a | 218.79 ± 25.46a | 1104.89 ± 47.40a |
| Day 10 | 188.64 ± 9.15b | 212.92 ± 28.59a | 1097.14 ± 63.81a |
| Day 14 | 229.59 ± 9.62c | 273.14 ± 11.44b | 782.43 ± 31.05b |
| Day 17 | 204.81 ± 15.28b | 328.56 ± 15.05c | 763.73 ± 42.91b |
| Day 24 | 167.01 ± 17.76a | 242.44 ± 24.11ab | 801.05 ± 28.99b |
Disclaimer/Publisher’s Note: The statements, opinions and data contained in all publications are solely those of the individual author(s) and contributor(s) and not of MDPI and/or the editor(s). MDPI and/or the editor(s) disclaim responsibility for any injury to people or property resulting from any ideas, methods, instructions or products referred to in the content. |
© 2025 by the authors. Licensee MDPI, Basel, Switzerland. This article is an open access article distributed under the terms and conditions of the Creative Commons Attribution (CC BY) license (https://creativecommons.org/licenses/by/4.0/).
Share and Cite
Christodoulou, P.; Kritsi, E.; Ladika, G.; Tsafou, P.; Tsiantas, K.; Tsiaka, T.; Zoumpoulakis, P.; Cavouras, D.; Sinanoglou, V.J. Estimation of Tomato Quality During Storage by Means of Image Analysis, Instrumental Analytical Methods, and Statistical Approaches. Appl. Sci. 2025, 15, 7936. https://doi.org/10.3390/app15147936
Christodoulou P, Kritsi E, Ladika G, Tsafou P, Tsiantas K, Tsiaka T, Zoumpoulakis P, Cavouras D, Sinanoglou VJ. Estimation of Tomato Quality During Storage by Means of Image Analysis, Instrumental Analytical Methods, and Statistical Approaches. Applied Sciences. 2025; 15(14):7936. https://doi.org/10.3390/app15147936
Chicago/Turabian StyleChristodoulou, Paris, Eftichia Kritsi, Georgia Ladika, Panagiota Tsafou, Kostantinos Tsiantas, Thalia Tsiaka, Panagiotis Zoumpoulakis, Dionisis Cavouras, and Vassilia J. Sinanoglou. 2025. "Estimation of Tomato Quality During Storage by Means of Image Analysis, Instrumental Analytical Methods, and Statistical Approaches" Applied Sciences 15, no. 14: 7936. https://doi.org/10.3390/app15147936
APA StyleChristodoulou, P., Kritsi, E., Ladika, G., Tsafou, P., Tsiantas, K., Tsiaka, T., Zoumpoulakis, P., Cavouras, D., & Sinanoglou, V. J. (2025). Estimation of Tomato Quality During Storage by Means of Image Analysis, Instrumental Analytical Methods, and Statistical Approaches. Applied Sciences, 15(14), 7936. https://doi.org/10.3390/app15147936

