Securing Internet of Things Applications Using Software-Defined Network-Aided Group Key Management with a Modified One-Way Function Tree
Abstract
1. Introduction
- Easy patching and upgradation
- Knowledge of the sleep/wake cycle of IoT devices
- Supports security services by routing traffic through virtualized service functions known as Virtual Service Functions (VSF)
- ➢
- A novel technique, MOFT, for centralized group key management.
- ➢
- A new proposition that proves the collusion resistance property of MOFT.
- ➢
- The evaluation of MOFT proves MOFT reduces network traffic, with limited storage cost and optimal computation cost, proving it is scalable.
2. Related Works
2.1. SDN-Centered Security for IoT
2.2. Group Key Management Techniques
- ➢
- Secrecy, ensuring forward secrecy, backward secrecy, and collusion resistance.
- ➢
- Reduced communication costs, leading to reduced network traffic.
- ➢
- Limited usage of resources in IoT devices.
- ➢
- The technique should be scalable even though the group is large and dynamic.
3. Proposed Work
3.1. SDN-Based Group Management Framework
3.2. Use Case
3.3. Existing OFT
Collusion Attack in OFT
3.4. MOFT
3.4.1. Top-Down Growth
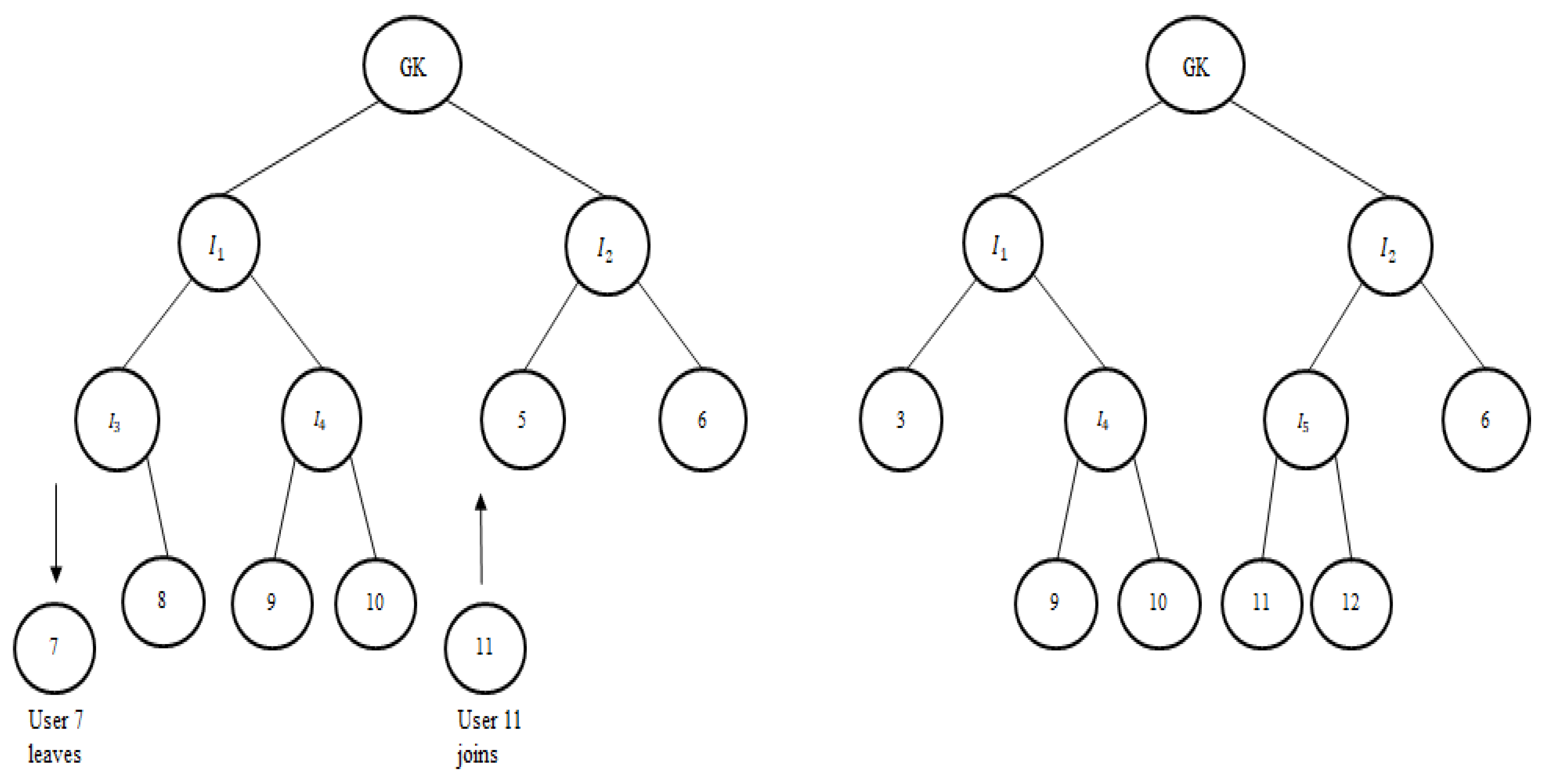
3.4.2. User Leave and Join Event
4. Security Analysis
5. Performance Evaluation
5.1. Load on SDN-Centered KMS
5.2. Storage Cost
6. MOFT Tailored for IoT
7. Conclusions
Author Contributions
Funding
Institutional Review Board Statement
Informed Consent Statement
Data Availability Statement
Conflicts of Interest
References
- Farash, M.S.; Turkanović, M.; Kumari, S.; Hölbl, M. An efficient user authentication and key agreement scheme for heterogeneous wireless sensor network tailored for the Internet of Things environment. Ad Hoc Netw. 2016, 36, 152–176. [Google Scholar] [CrossRef]
- Heo, G.; Chae, K.; Doh, I. Hierarchical Blockchain-based Group and Group Key Management Scheme Exploiting Unmanned Aerial Vehicles for Urban Computing. IEEE Access 2022, 10, 27990–28003. [Google Scholar] [CrossRef]
- Nikbakht Bideh, P. LMGROUP: A Lightweight Multicast Group Key Management for IoT Networks. In International Conference on Information Security Practice and Experience; Springer: Cham, Switzerland, 2022; pp. 213–230. [Google Scholar] [CrossRef]
- Sakarindr, P.; Ansari, N. Survey of security services on group communications. IET Inf. Secur. 2010, 4, 258–272. [Google Scholar] [CrossRef]
- Xu, J.; Li, L.; Lu, S.; Yin, H. A novel batch-based LKH tree balanced algorithm for group key management. Sci. China Inf. Sci. 2017, 60, 108301. [Google Scholar] [CrossRef]
- Kung, Y.-H.; Hsiao, H.-C. GroupIt: Lightweight Group Key Management for Dynamic IoT Environments. IEEE Internet Things J. 2018, 5, 5155–5165. [Google Scholar] [CrossRef]
- Kim, Y.; Perrig, A.; Tsudik, G. Tree-based group key agreement. ACM Trans. Inf. Syst. Secur. 2004, 7, 60–96. [Google Scholar] [CrossRef]
- Zhou, W.; Xu, Y.; Wang, G. Distributed Group Key Management Using Multilinear Forms for Multi-privileged Group Communications. In Proceedings of the 2013 12th IEEE International Conference on Trust, Security and Privacy in Computing and Communications, Melbourne, VIC, Australia, 16–18 July 2013. [Google Scholar] [CrossRef]
- Sepulveda, J.; Flórez, D.; Immler, V.; Gogniat, G.; Sigl, G. Efficient security zones implementation through hierarchical group key management at NoC-based MPSoCs. Microprocess. Microsyst. 2017, 50, 164–174. [Google Scholar] [CrossRef]
- Ali, S.; Rauf, A.; Islam, N.; Farman, H.; Jan, B.; Khan, M.; Ahmad, A. SGKMP: A scalable group key management protocol. Sustain. Cities Soc. 2018, 39, 37–42. [Google Scholar] [CrossRef]
- De Salve, A.; Di Pietro, R.; Mori, P.; Ricci, L. Logical key hierarchy for groups management in Distributed Online Social Network. In Proceedings of the 2016 IEEE Symposium on Computers and Communication (ISCC), Messina, Italy, 27–30 June 2016; pp. 710–717. [Google Scholar] [CrossRef][Green Version]
- Inoue, D.; Kuroda, M. FDLKH: Fully decentralized key management scheme on logical key hierarchy. In Applied Cryptography and Network Security; Springer: Berlin/Heidelberg, Germany, 2004; Volume 3089, pp. 339–354. [Google Scholar] [CrossRef]
- Wu, Q.; Qin, B.; Zhang, L.; Domingo-Ferrer, J.; Farras, O.; Manjon, J.A. Contributory broadcast encryption with efficient encryption and short ciphertexts. IEEE Trans. Comput. 2016, 65, 466–479. [Google Scholar] [CrossRef]
- Der Chou, L.; Tseng, C.-W.; Huang, Y.-K.; Chen, K.-C.; Ou, T.-F.; Yen, C.-K. A Security Service on-demand Architecture in SDN. In Proceedings of the 2016 International Conference on Information and Communication Technology Convergence (ICTC), Jeju, Republic of Korea, 19–21 October 2016; pp. 287–291. [Google Scholar] [CrossRef]
- Taurshia, A.; Kathrine, J.W.; Shibin, D. Prognostic Views on Software Defined Networks Based Security for Internet of Things. Commun. Comput. Inf. Sci. 2019, 1116, 100–116. [Google Scholar] [CrossRef]
- Joshi, K.D.; Kataoka, K. pSMART: A lightweight, privacy-aware service function chain orchestration in multi-domain NFV/SDN. Comput. Netw. 2020, 178, 107295. [Google Scholar] [CrossRef]
- Paolucci, F.; Cugini, F.; Castoldi, P.; Osinski, T. Enhancing 5G SDN/NFV Edge with P4 Data Plane Programmability. IEEE Netw. 2021, 35, 154–160. [Google Scholar] [CrossRef]
- Vijayakumar, P.; Bose, S.; Kannan, A. Chinese remainder Theorem based centralised group key management for secure multicast communication. IET Inf. Secur. 2014, 8, 179–187. [Google Scholar] [CrossRef]
- Sherman, A.T.; McGrew, D.A. Key establishment in large dynamic groups using one-way function trees. IEEE Trans. Softw. Eng. 2003, 29, 444–458. [Google Scholar] [CrossRef]
- Ezekiel, S.; Divakaran, D.M.; Gurusamy, M. Dynamic attack mitigation using SDN. In Proceedings of the 2017 27th International Telecommunication Networks and Applications Conference (ITNAC), Melbourne, VIC, Australia, 22–24 November 2017; pp. 1–6. [Google Scholar] [CrossRef]
- Babiceanu, R.F.; Seker, R. Cyber resilience protection for industrial internet of things: A software-defined networking approach. Comput. Ind. 2019, 104, 47–58. [Google Scholar] [CrossRef]
- Babiceanu, R.F.; Seker, R. Cybersecurity and resilience modelling for software-defined networks-based manufacturing applications. In Service Orientation in Holonic and Multi-Agent Manufacturing; Springer: Berlin/Heidelberg, Germany, 2017; Volume 694, pp. 167–176. [Google Scholar] [CrossRef]
- Piedrahita, A.F.M.; Gaur, V.; Giraldo, J.; Cardenas, A.A.; Rueda, S.J. Leveraging Software-Defined Networking for Incident Response in Industrial Control Systems. IEEE Softw. 2017, 35, 44–50. [Google Scholar] [CrossRef]
- Madhawa, S.; Balakrishnan, P.; Arumugam, U. Employing invariants for anomaly detection in software defined networking based industrial internet of things. J. Intell. Fuzzy Syst. 2018, 35, 1267–1279. [Google Scholar] [CrossRef]
- Mansour, A.; Azab, M.; Rizk, M.R.M.; Abdelazim, M. Biologically-inspired SDN-based Intrusion Detection and Prevention Mechanism for Heterogeneous IoT Networks. In Proceedings of the 2018 IEEE 9th Annual Information Technology, Electronics and Mobile Communication Conference (IEMCON), Vancouver, BC, Canada, 1–3 November 2018; pp. 1120–1125. [Google Scholar] [CrossRef]
- Chung, J.; Jung, E.-S.; Kettimuthu, R.; Rao, N.S.; Foster, I.T.; Clark, R.; Owen, H. Advance reservation access control using software-defined networking and tokens. Future Gener. Comput. Syst. 2018, 79, 225–234. [Google Scholar] [CrossRef]
- Sharma, P.K.; Park, J.H.; Jeong, Y.-S.; Park, J.H. SHSec: SDN based Secure Smart Home Network Architecture for Internet of Things. Mob. Networks Appl. 2019, 24, 913–924. [Google Scholar] [CrossRef]
- Demetriou, S.; Zhang, N.; Lee, Y.; Wang, X.; Gunter, C.A.; Zhou, X.; Grace, M.C. HanGuard: SDN-Driven Protection of Smart Home WiFi Devices from Malicious Mobile Apps. In Proceedings of the 10th ACM Conference on Security and Privacy in Wireless and Mobile Networks, Boston, MA, USA, 18–20 July 2017; Volume 2017, pp. 122–133. [Google Scholar] [CrossRef]
- Caprolu, M.; Raponi, S.; Di Pietro, R. FORTRESS: An efficient and distributed firewall for stateful data plane SDN. Secur. Commun. Netw. 2019, 2019, 6874592. [Google Scholar] [CrossRef]
- Ge, M.; Hong, J.B.; Yusuf, S.E.; Kim, D.S. Proactive defense mechanisms for the software-defined Internet of Things with non-patchable vulnerabilities. Future Gener. Comput. Syst. 2018, 78, 568–582. [Google Scholar] [CrossRef]
- Zarca, A.M.; Bernabe, J.B.; Skarmeta, A.; Calero, J.M.A. Virtual IoT HoneyNets to mitigate cyberattacks in SDN/NFV-Enabled IoT networks. IEEE J. Sel. Areas Commun. 2020, 38, 1262–1277. [Google Scholar] [CrossRef]
- Wang, S.; Gomez, K.; Sithamparanathan, K.; Asghar, M.R.; Russello, G.; Zanna, P. Mitigating ddos attacks in sdn-based iot networks leveraging secure control and data plane algorithm. Appl. Sci. 2021, 11, 929. [Google Scholar] [CrossRef]
- Wani, A.; Revathi, S.; Khaliq, R. SDN-based intrusion detection system for IoT using deep learning classifier (IDSIoT-SDL). CAAI Trans. Intell. Technol. 2021, 6, 281–290. [Google Scholar] [CrossRef]
- Aslam, M.; Ye, D.; Tariq, A.; Asad, M.; Hanif, M.; Ndzi, D.; Chelloug, S.A.; Elaziz, M.A.; Al-Qaness, M.A.A.; Jilani, S.F. Adaptive Machine Learning Based Distributed Denial-of-Services Attacks Detection and Mitigation System for SDN-Enabled IoT. Sensors 2022, 22, 2697. [Google Scholar] [CrossRef]
- Burmester, M.; Desmedt, Y. A secure and efficient conference key distribution system. Lect. Notes Comput. Sci. 1995, 950, 275–286. [Google Scholar] [CrossRef]
- Waller, D.; Harder, E.; Agee, R. Key Management for Multicast: Issues and Architectures. 1999. Available online: https://www.rfc-editor.org/rfc/rfc2627 (accessed on 9 March 2023).
- Ku, W.C.; Chen, S.M. An improved key management scheme for large dynamic groups using one-way function trees. In Proceedings of the 2003 International Conference on Parallel Processing Workshops, Kaohsiung, Taiwan, 6–9 October 2003; Volume 2003, pp. 391–396. [Google Scholar] [CrossRef]
- Xu, X.; Wang, L.; Youssef, A.; Zhu, B. Preventing collusion attacks on the one-way function tree (OFT) scheme. In Applied Cryptography and Network Security; Springer: Berlin/Heidelberg, Germany, 2007; Volume 4521, pp. 177–193. [Google Scholar] [CrossRef]
- Sun, Y.; Chen, M.; Bacchus, A.; Lin, X. Towards collusion-attack-resilient group key management using one-way function tree. Comput. Netw. 2016, 104, 16–26. [Google Scholar] [CrossRef]
- Festijo, E.; Jung, Y.; Peradilla, M. Software-defined security controller-based group management and end-to-end security management. J. Ambient. Intell. Humaniz. Comput. 2019, 10, 3365–3382. [Google Scholar] [CrossRef]
- Mansour, A.; Malik, K.M.; Alkaff, A.; Kanaan, H. ALMS: Asymmetric Lightweight Centralized Group Key Management Protocol for VANETs. IEEE Trans. Intell. Transp. Syst. 2021, 22, 1663–1678. [Google Scholar] [CrossRef]
- Tiloca, M.; Dini, G.; Rizki, K.; Raza, S. Group Rekeying Based on Member Join History; Springer: Berlin/Heidelberg, Germany, 2019; Volume 19, pp. 343–381. [Google Scholar] [CrossRef]
- Zhang, S.; Han, S.; Zheng, B.; Han, K.; Pang, E. Group Key Management Protocol for File Sharing on Cloud Storage. IEEE Access 2020, 8, 123614–123622. [Google Scholar] [CrossRef]
- Tamizhselvan, C. A novel communication-aware adaptive key management approach for ensuring security in IoT networks. Trans. Emerg. Telecommun. Technol. 2022, 2022, e4605. [Google Scholar] [CrossRef]
- Komninos, N.; Philippou, E.; Pitsillides, A. Survey in smart grid and smart home security: Issues, challenges and countermeasures. IEEE Commun. Surv. Tutor. 2014, 16, 1933–1954. [Google Scholar] [CrossRef]
- Mantas, G.; Lymberopoulos, D.; Komninos, N. Security in Smart Home Environment. In Wireless Technologies for Ambient Assisted Living and Healthcare: Systems and Applications; IGI Global: Hershey, PA, USA, 2010; pp. 170–191. [Google Scholar] [CrossRef]
- Chen, Y.-W.; Wang, J.-T.; Chi, K.-H.; Tseng, C.-C. Group-based authentication and key agreement. Wirel. Pers. Commun. 2012, 62, 965–979. [Google Scholar] [CrossRef]
- Ouaissa, M.; Rhattoy, A.; Lahmer, M. Group access authentication of machine to machine communications in LTE networks. In Proceedings of the Second International Conference on Internet of things, Data and Cloud Computing, Cambridge, UK, 22–23 March 2017. [Google Scholar] [CrossRef]
- Mininet for SDN. Available online: https://github.com/mininet/mininet (accessed on 9 March 2023).












| Group key | |
| node key | |
| Blinded secret of node i | |
| Intermediate node | |
| (l,r) | Adjacent shared secret of node l and r | 
| Individual secret key of user i | |
| One-way function | |
| Mixing function | |
| Length of key | |
| No. of users | |
| Node secret of Intermediate node i | |
| Individual key between GMS and user | |
| Key shared between authentication service function and admin | |
| Key shared between authentication service function and key management service function | |
| Key shared between | |
| Group ID | |
| Device ID | 
| Disclaimer/Publisher’s Note: The statements, opinions and data contained in all publications are solely those of the individual author(s) and contributor(s) and not of MDPI and/or the editor(s). MDPI and/or the editor(s) disclaim responsibility for any injury to people or property resulting from any ideas, methods, instructions or products referred to in the content. | 
© 2024 by the authors. Licensee MDPI, Basel, Switzerland. This article is an open access article distributed under the terms and conditions of the Creative Commons Attribution (CC BY) license (https://creativecommons.org/licenses/by/4.0/).
Share and Cite
Taurshia, A.; Kathrine, J.W.; Andrew, J.; Eunice R, J. Securing Internet of Things Applications Using Software-Defined Network-Aided Group Key Management with a Modified One-Way Function Tree. Appl. Sci. 2024, 14, 2405. https://doi.org/10.3390/app14062405
Taurshia A, Kathrine JW, Andrew J, Eunice R J. Securing Internet of Things Applications Using Software-Defined Network-Aided Group Key Management with a Modified One-Way Function Tree. Applied Sciences. 2024; 14(6):2405. https://doi.org/10.3390/app14062405
Chicago/Turabian StyleTaurshia, Antony, Jaspher W. Kathrine, J. Andrew, and Jennifer Eunice R. 2024. "Securing Internet of Things Applications Using Software-Defined Network-Aided Group Key Management with a Modified One-Way Function Tree" Applied Sciences 14, no. 6: 2405. https://doi.org/10.3390/app14062405
APA StyleTaurshia, A., Kathrine, J. W., Andrew, J., & Eunice R, J. (2024). Securing Internet of Things Applications Using Software-Defined Network-Aided Group Key Management with a Modified One-Way Function Tree. Applied Sciences, 14(6), 2405. https://doi.org/10.3390/app14062405
 
         
                                                

 
       