Abstract
This paper presents a comprehensive analysis of Class-E series-tuned radio-frequency power amplifiers (RFPAs), focusing on their design and optimization for high efficiency and performance. However, achieving optimal performance involves navigating trade-offs among efficiency, bandwidth, harmonic suppression, output power capability, and device stress. This work examines the trade-offs involved in the series-tuned () network and establishes the bounds for its quality factor using computer-aided harmonic balance (HB) simulations. Additionally, it explores optimal harmonic termination strategies to enhance the performance and efficiency of the design. Finally, a novel methodology using harmonic termination is proposed, simplifying the design process by eliminating the need for traditional load-pull extraction methods.
1. Introduction
Radio-frequency power amplifiers (RFPAs) play a crucial role in various scientific applications, extending from space exploration to everyday technologies. They are integral to driving acoustic optical tunable filters (AOTFs) used in space exploration [1] and are also employed in induction cooking and medical applications, such as magnetic resonance imaging (MRI) [2]. However, their substantial power consumption contributes notably to overall power dissipation, raising concerns about energy efficiency in RF systems. Furthermore, RFPAs generate harmonics, due to the inherent non-linearity of the transistor that can significantly interfere with the desired output signal. The heat produced by these amplifiers [3] can also adversely affect the precision of measurements in instruments where optical performance is critical [4,5].
In space-based applications, managing the thermal impact of RFPAs is crucial to maintaining the accuracy and reliability of optical measurements [6]. The RF signal used to drive these instruments generally falls within the medium frequency (MF) band, high frequency (HF) band (3–30 MHz), and very high frequency (VHF) band (30–300 MHz). However, designing RFPAs for these frequency ranges presents unique challenges, as the use of transmission lines becomes impractical. As a result, employing discrete or lumped R, L, and C components is crucial to ensure efficient operation and performance at these frequencies.
In this context, Class-F and Class-E amplifiers theoretically offer an efficiency of up to 100%. However, achieving the desired square waveform in Class F amplifiers requires the use of multiple resonators [7], complicating the design. As a result, Class-E amplifiers emerge as a promising alternative, providing a simpler yet highly efficient solution for RF power amplification.
From a technological perspective, gallium nitride (GaN) has emerged as a superior material for such high-efficiency power amplification, surpassing conventional materials like silicon. GaN’s intrinsic properties, particularly its substantial sheet charge density, facilitate the generation of high current densities [8]. This enables the reduction of transistor dimensions, leading to an exceptional watt-per-millimeter ratio of the gate periphery. Furthermore, the high saturated drift velocity of GaN contributes to achieving substantial saturation current densities and higher output power per unit gate periphery [9]. Consequently, GaN transistors exhibit lower output capacitance and drain-to-source resistance per watt, making them ideal for switch-mode amplifiers like Class-E and Class-F designs.
These combined attributes make AlGaN/GaN HEMTs highly suitable for high-efficiency RF applications and deliver excellent performance even in demanding environments. Comprehensive reviews of GaN-based device capabilities, particularly in the context of high-power and high-frequency applications, are provided by Pengelly et al. [10] and Husna et al. [11].
Building on the advantages of GaN-based devices, the design of Class-E RFPAs involves two widely recognized load network topologies, one where the effect of the finite DC feed is ignored [12] and another considering these effects [13]. Nevertheless, both configurations incorporate a series resonator, operating under the assumption of a high-quality factor () to force the fundamental current into the circuitry [14].
Although some studies explored and bandwidth in specific contexts [15], these findings lacked broader generalizations and comparisons across various topologies. Analytical expressions for Class-E amplifiers with arbitrary duty cycles were introduced in [16] and later extended by [17] to account for varying . However, these equations often yield ambiguous values for , indicating the need for more comprehensive methodologies.
Similarly, Sokal and Raab [18] offered valuable insights into harmonic control and design criteria for harmonic suppression networks, but the calculations were complex and not widely applicable. Additionally, Sheikhi et al. [19] developed analytical expressions for 2nd-harmonic tuning parallel to the load, although the comparative analysis was insufficient. Furthermore, the study did not adequately address the impact of the efficiency-bandwidth trade-off on performance metrics, highlighting the need for a more generalized approach to understanding the theoretical limits of across different topologies and harmonic termination strategies. In contrast, this work employs a computer-aided harmonic balance (HB) analysis to offer a generalized approach to finding the bounds.
This work begins with mathematical modeling to derive the closed-form design equations for the Class-E RFPA, considering both infinite and finite DC feeds, as presented in Section 2. In the later sections, computer-aided analytical modeling is used to explore the impact of the series resonant circuit (), tuned to the design frequency, which is critical for optimizing the performance of the RFPA.
It introduces the key design parameter quality factor, , which is a design parameter that affects Class-E performance and discusses its trade-offs with various performance metrics. Section 3 establishes a novel methodology for determining the bounds of , () through computer-aided HB simulations.
This study further extends to a detailed investigation of harmonic termination and its impact on improving efficiency and bandwidth, along with performance metrics in Section 4. Based on these analytical equations, a novel methodology is proposed in Section 5 for designing optimal Class-E RFPAs. This approach aims to eliminate the need for time-consuming load-pull extraction and unnecessary circuit optimizations.
This paper concludes by presenting simulated results and discussions that demonstrate the development of highly efficient Class-E RFPAs operating at 145 MHz, delivering 1 watt of output power. The results obtained underscore the robustness and effectiveness of the proposed methodology. The simulations were carried out using the nonlinear, large signal model of the CGH40010 transistor [20].
2. Mathematical Modeling of Class-E Series-Tuned RFPAs
This section explores the mathematical modeling of Class-E RFPAs. For simplicity, assumptions include a 50% switching duty cycle and zero on-resistance of the transistor. The zero voltage switching (ZVS) and zero voltage derivative switching (ZVDS) are given by Equations (1) and (2) [21].
Based on existing literature, two commonly used topologies are addressed in this work [22]: Topology 1, which assumes an infinite DC feed. It uses a DC choke to provide very high resistance to the RF signal, and Topology 2, which incorporates a finite DC feed. Topology 2 offers an infinite number of potential solutions; however, this work examines two cases, denoted as Topology 2.1 and Topology 2.2, to highlight key design considerations.
2.1. Class-E Load Network Topology with Infinite DC Feed
The schematic of a Class-E-tuned switched-mode power amplifier with a series-tuned resonator is shown in Figure 1a. The load network encompasses a parallel capacitance (), which represents the device’s inherent capacitance , along with any external capacitance , ensuring the current in and out of the switch-capacitor combination. For simplification, is neglected in this work.
Figure 1.
A Class-E amplifier with infinite DC feed (a) schematic and (b) its equivalent circuit, where the arrows show the direction of current flow.
The series inductance produces a reactance with a series resonant circuit () tuned at the design frequency, , which is then finally connected to the optimal load resistance, R. The supply voltage is and is the biasing voltage. and are the voltage and current in the ideal switch respectively. , , and are the currents flowing through the capacitor C, RF choke, and load R, respectively. The equivalent circuit is shown in Figure 1b. The current flowing through the load is given by Equation (3).
where is the initial phase shift, represents the peak amplitude of the current, and .
With the initial on-state condition, the DC can be given as , and the switch current is given by Equation (4).
With the switch being off, the current through the capacitor is given by Equation (5).
and the switch voltage is given by Equation (6), which can then be expanded to Equation (7).
The primary objective of the problem is to find the unknown parameters and . Applying the ZVS condition given by Equation (1), the unknown values can be calculated as and . Finally, the optimal load resistance R and the values of and C can be calculated using Equations (8)–(10).
2.2. Class-E Load Network Topology with Finite DC Feed
The schematic of a Class-E-tuned switched-mode power amplifier with a finite DC feed is shown in Figure 2a. The load network consists of a feed inductance L, which supplies current to the transistor. The series reactance is connected to a series resonant circuit that is tuned to the design frequency . This configuration is then connected to the optimal load resistance R.
Figure 2.
Class-E with finite DC feed (a) schematic and (b) its equivalent circuit, where the arrows show the direction of current flow.
Due to the finite inductance L, the supply current becomes time-varying, denoted as , in contrast to the previous case where it was represented by a constant value . The equivalent circuit is shown in Figure 2b. The load current is given by Equation (11).
where is the initial phase shift and is the peak amplitude of the current. For the time interval , the switch is on and the current flowing through the switch can be given by Equation (12).
When the switch is off, in the interval , the current through the switch becomes zero and the current through the capacitor can be given by , with Equation (13) denoting the initial condition for the feed inductance L.
The switch voltage can be found by solving the differential equation as reported in [22]. The solution is provided by Equation (14), as follows:
Without loss of generality, and using the initial off-state conditions, Equations (15)–(18) are obtained.
where q and p are given by Equations (17) and (18), respectively.
With variable q as a free parameter, the values for the unknown parameters, , and p, can be calculated, applying the ZVS and ZVDS conditions. Two equations with two unknowns can be solved using Equations (19) and (20) to obtain the required values, as follows:
The parameter, q, imposes limitations owing to the extensive design space and complex design equations. A comprehensive tutorial addressing these considerations was conducted by Casallas et al. [23]. This is simplified in this work by evaluating the following two scenarios: when and when .
3. Computer-Aided Analytical Modeling of Class-E Series-Tuned RFPAs
3.1. Key Design Parameter: Quality Factor and Its Trade-Offs
The resonant quality Q factor is a dimensionless parameter that describes the performance of a resonant circuit, such as an L-C tank circuit. It quantifies the sharpness of the resonance peak and the efficiency of the circuit. A higher Q value indicates a narrower bandwidth and greater selectivity, suggesting that the circuit has less energy loss and superior performance at its resonant frequency. The quality factor () of the series-tuned tank circuit, which consists of an inductor and a capacitor , is defined by Equations (28) and (29), regardless of the specific Class-E topology used.
HB simulations are performed using the commercially available Keysight Advanced Design System (ADS) tool [25]. The ADS simulation setup of Topology 2.2 is depicted in Figure 3. For a comparative analysis, the input parameters are normalized to , , and . This setup utilizes an input source, , representing a voltage source with a Fourier series expansion of a periodic rectangular wave, characterized by various pulse widths and duty ratios, within an HB simulator setup. All other important parameters required to run the simulation setup are shown in Figure 3.
Figure 3.
ADS simulation setup for idealized topology 2.2, Class-E.
3.2. Minimum Value of
The HB simulation was conducted for all three topologies. The efficiency versus plots shown in Figure 4 demonstrate exponential behavior, which can be modeled by Equation (30).
where y denotes the efficiency and x represents .
Figure 4.
Efficiency vs. with curve fitted approximation for calculation for (a) Topology 1 (b) Topology 2.1, and (c) Topology 2.2.
The values of a and b were determined for the three topologies using the curve_fit tool from the scipy library in Python [26]. Optimal parameter values and their estimated covariances were returned by the function. The curve-fitting model was found to exhibit behavior almost identical to that of the simulation data, as shown in Figure 4.
Both Topology 1 and Topology 2.1 exhibit similar behavior, while Topology 2.2 has a different b value, as revealed by the data modeling. Nevertheless, for all three cases (Topologies 1, 2.1, and 2.2), the value of a is approximately 99.
The term is now defined as the value of , where a stable efficiency of at least 99% is achieved, assuming a 1% numerical error due to the HB simulation [27]. According to the requirements, this efficiency can be adjusted but must be no less than 99%. To determine , the curve-fitting model is used to solve Equation (31) for each topology respectively.
3.3. Maximum Value of
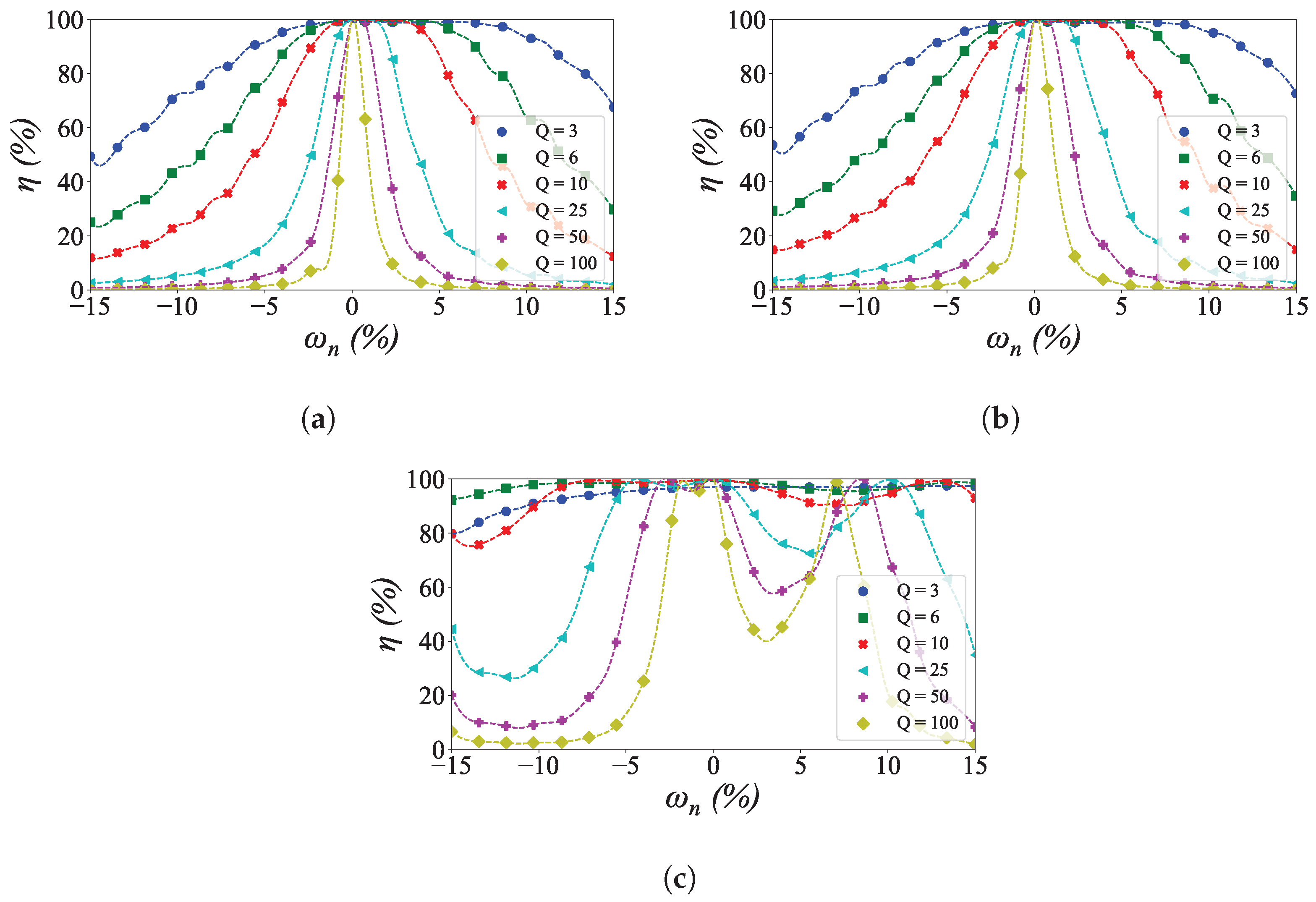
To further investigate the effect of the quality factor of the series resonator, the efficiency versus angular frequency is plotted. The variations on the x-axis are expressed as a ± percentage deviation from the designed angular frequency, using a normalized scale, as shown in Figure 5.
Figure 5.
Efficiency vs. normalized angular frequency for various . (a) Topology 1, (b) Topology 2.1, and (c) Topology 2.2.
Additionally, performance metrics are given in Table 1, including the maximum peak voltage and current and the maximum output power capability, defined by Equation (32), as follows:
where is the output power [28]. Harmonic levels up to the third order are also included. These metrics were also compared with mathematical models reported in previous literature studies to validate the accuracy of the simulation.
Table 1.
Various performance metrics for the three topologies compared to previous literature studies (references shown in square brackets).
Device stress is normalized relative to the supply voltage and is a crucial metric for assessing device reliability, as the peak voltage and peak current at the device can be up to multiplied by the supply voltage and multiplied by the supply current, respectively. Without loss of generality, the device referred to here is a transistor. If the breakdown voltage of the device is lower than this, the device is unsuitable for constructing the Class-E RFPA.
Based on these observations, an additional parameter to determine the upper bound of , referred to as in this work, is introduced. This upper bound ensures that the RFPA achieves its maximum output power capability (). It is evident from Table 1 that while efficiency levels reach at least 99% at , the RFPA was not operating at its maximum . Additionally, harmonic suppression was insufficient, highlighting the need to introduce an upper bound for .
As shown in Figure 6, also exhibits exponential behavior leading to saturation. Therefore, a similar methodology was employed using curve-fitting techniques to determine this upper bound but with some additional constraints. Mathematically, is modeled using Equation (33), as follows:
Figure 6.
model for (a) Topology 1, (b) Topology 2.1, and (c) Topology 2.2.
The condition of saturation arises when . Since the HB method solves nonlinear differential equations and only provides approximate solutions due to numerical errors, this upper bound is defined using perturbation theory with a small parameter [29]. As the value of increases, . For sufficiently large values of , will exhibit negligible variation. This condition is defined by the inequality given in Equation (34).
where is a small value chosen corresponding to the accuracy requirement. The saturation point is defined as the point where the inequality (34) becomes an equation.
Increasing beyond this point does not enhance efficiency or other performance metrics significantly but instead narrows the effective bandwidth of the RFPA. The value of was set to in this work.
The bounds for all three topologies are given in Table 2. Additionally, time-domain waveforms obtained from the ADS simulation for all three topologies are shown in Figure 7. These waveforms verify the non-overlapping voltage and current characteristics of standard Class-E operation.
Table 2.
and for different topologies.
Figure 7.
Time-domain normalized voltage (in blue, its corresponding axis is marked by the arrow) and current (in red) waveforms from ADS simulation results for (a) Topology 1, (b) Topology 2.1, and (c) Topology 2.2.
This analysis illustrates the significant impact of effective harmonic suppression on the trade-offs between efficiency and bandwidth, as well as other critical performance metrics. Understanding and managing these trade-offs provides valuable insights into optimizing the resonator’s performance, particularly in the context of optimal Class-E series-tuned RFPAs.
A novel finding from this analysis is the relationship between the quality factor of the resonator and its impact on the amplifiers’ overall performance, thereby defining the bounds on , which, to the authors’ knowledge, has not been reported elsewhere. For optimal operation, must be carefully chosen within specific bounds, given by Equation (37), as follows:
where
- : Quality factor of the resonator.
- : Saturation quality factor, defining the upper-performance limits.
- : Minimum quality factor defining lower performance limits.
Increasing beyond only degrades the efficiency-bandwidth response, making no significant improvement in the amplifier’s performance. This inequality obtained through HB simulations establishes the fundamental bounds for , which can be applicable across various tuned topologies, guiding the design process to achieve the desired balance between efficiency, bandwidth, and overall performance.
It is important to note that the numerical values presented in this analysis, as reported in Table 2, are based on the assumption of normalized input parameters, as depicted in the simulation setup in Figure 3. Any variation in these normalized values will result in corresponding changes in the limits. Nevertheless, the techniques described in Section 3.2 and Section 3.3 allow for the straightforward determination of these limits even under varying conditions.
3.4. Reactance Compensation Technique for Wide Bandwidth
The series resonator, consisting of and , can be replaced by and , as defined by Equations (38) and (39):
This technique, commonly used to broaden the bandwidth in Class-E amplifiers, is known as the reactance compensation technique in standard literature [22]. In this paper, it will be referred to as Topology 2.2.1 without any loss of generality. The quality factor can then be expressed by Equation (40).
By substituting the value of R from Equation (21) into Equation (40), can be expanded into Equation (41),
With normalized values of and , is obtained for this case. Since this topology is a subset of Topology 2.2, a comparison with the limits provided in Table 2 reveals that does not fall within these bounds, indicating a potential compromise in the amplifier’s performance.
The analysis reveals that Topology 2.2, when combined with the reactance compensation technique, achieves improvements in efficiency-bandwidth response but with certain trade-offs in performance metrics. This issue arises because the quality factor () is lower than . This discrepancy leads to a significant reduction in theoretical efficiency, further constraining the amplifier’s performance.
Despite these limitations, Topology 2.2.1 remains the most effective configuration for balancing efficiency and bandwidth. However, to address these limitations while adhering to the Class-E design equation, the addition of harmonic control circuitry is necessary, which will be discussed in the preceding section.
4. Modified Topology with Harmonic Control
The following section explores three strategies for incorporating harmonic tuning as shown in Figure 8.
- Introducing a series resonator tuned to the 2nd and 3rd harmonics before the load resistance R.
- Transforming and .
- Alternatively, a combination of both strategies.
These approaches aim to improve harmonic suppression while preserving the advantages of Topology 2.2.1 in balancing efficiency and bandwidth response. For the transformation of and , there are four mathematically possible cases. Of these, only two yield valid solutions, as outlined below:
Figure 8.
Possibilities of incorporating the harmonic tuning network.
Figure 8.
Possibilities of incorporating the harmonic tuning network.

The inductor and capacitor can be converted to an equivalent form as shown in Figure 9. This equivalent form consists of a parallel tank circuit, which can be tuned to resonate at by applying Equation (42).
Since there are multiple unknowns, additional equations can be constructed by applying the harmonic shorting condition at m, as given in (43).
For most practical scenarios, considering harmonics up to the third order is sufficient [30]. With this, the following modifications are possible:
- An inductor can be converted into an equivalent circuit consisting of another inductor in series with a parallel resonant circuit. The net impedance shown by Figure 9a is given by Equation (44)Two cases are possible:
- (a)
- The parallel resonator is tuned to the 2nd harmonic and the net impedance is shorted at the 3rd harmonic. The different components are given by the following equations (refer to Appendix A.1 for the calculations):
- (b)
- The parallel resonator is tuned to the 3rd harmonic, and the net impedance is shorted to the 2nd harmonic. This condition is not possible, as shown in Appendix A.1.
- Similar to an inductor, a capacitor can also be converted to a parallel resonant circuit connected by capacitance in series, as shown in Figure 9b. In this condition, the net impedance is given by Equation (48).
- (a)
- The parallel resonator is tuned to the 2nd harmonic and the net impedance is shorted at the 3rd harmonic. This condition is also not possible as shown in Appendix A.2.
- (b)
- The parallel resonator is tuned to the 3rd harmonic and the net impedance is shorted at the 2nd harmonic. The equivalent parameters are given by Equations (49)–(51) (Appendix A.2 contains the calculations):
Figure 9.
Transformation of components (a) transform, and (b) transform.
Figure 9.
Transformation of components (a) transform, and (b) transform.

The comparative trade-off table evaluates various terminations, with performance metrics analyzed and presented in Table 3. The terminologies used in this paper are as follows:
Table 3.
Comparison of modified topologies.
- 2.2.2: and with 2nd-harmonic tuning.
- 2.2.3: and with 3rd-harmonic tuning.
- 2.2.23: and with both 2nd and 3rd-harmonic tuning.
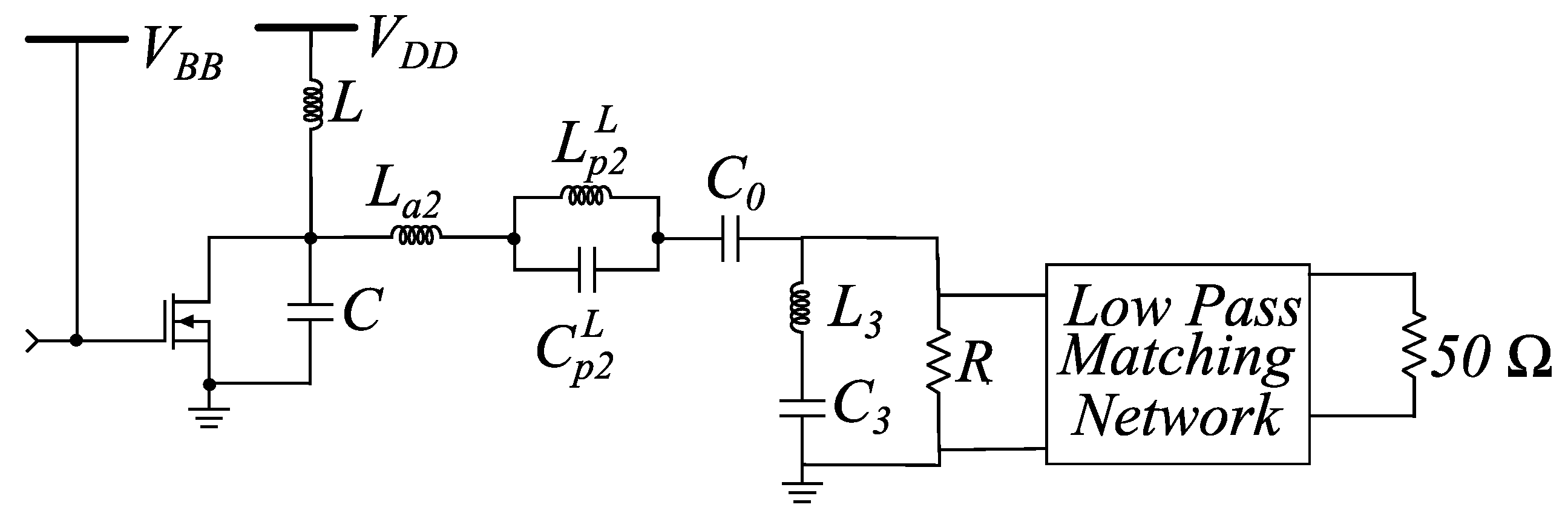
- 2.2.L3: Final topology with transformed with unchanged while also adding 3rd-harmonic tuning before the load resistor, as shown in Figure 10.
Figure 10. Final topology.
Among these strategies, the combination of the transformation with the addition of the 3rd harmonic offers the most favorable trade-off, as evidenced by the key performance metrics presented in Table 3. The efficiency-bandwidth response for this final topology, in comparison to the standard Topology 2.2.2, is illustrated in Figure 11, which shows a significant improvement over the bandwidth of 30%. Additionally, the time-domain current and voltage waveforms obtained from the ADS simulation are displayed in Figure 12.
Figure 11.
Efficiency-bandwidth comparison between the final topology and Topology 2.2.1.
Figure 12.
Time-domain normalized voltage (in blue, its corresponding axis is marked by the arrow) and current (in red) waveforms from the ADS simulation.
5. Results and Discussion
The CAD-based analytical modeling demonstrates that Topology 2.2. L3, referred to as the final topology, can achieve at least a bandwidth of 30% while maintaining optimal performance in other key metrics and ensuring an efficient response across the bandwidth. Improving one performance metric will, however, result in the degradation of others.
Building on the analytical expressions, a simplified design methodology was developed to assist designers. A complete circuit of the final topology is shown in Figure 10, where the idealized values can be calculated using the equations from previous sections.
Additionally, low-pass matching networks can be designed to match the load resistance R of the RFPA to the standard 50- load of [31]. Since harmonics are already suppressed due to the modified topology, higher-order filters can be avoided, thus reducing losses associated with the filter. Based on the analytical expression, the following methodology is developed to assist designers. This methodology provides a systematic approach for optimizing Class-E RFPAs to achieve the best trade-off among all performance metrics. The methodology is outlined below.
- Set the design frequency: The design frequency, set at which the RFPA is intended to operate, is a critical step that influences all subsequent parameters and choices.
- Determine required bias voltage levels: The necessary bias voltage levels are identified for the design. These levels are essential for ensuring the proper operation of the transistor and achieving the desired output power.
- Calculate idealized values: The ideal values for the lumped elements are then calculated using computed Equations (25)–(27), (38), (39) and (45)–(47). These calculations serve as a reference for the initial simulation and guide the optimization process. The values for and are selected such that the series resonator is tuned to the 3rd harmonic.
- Optimize all parameters: All design parameters are optimized, including a frequency range with the goals as follows:
- The output power at the fundamental achieves the specified power level.
- The efficiency is at least 95% (adjustable based on the requirements).
The optimization is performed by searching within the range of [0.5–2] times the initial values for R, L, and C, and [0.5–3] times for , , , , , and to find the optimal design parameters. This optimization accounts for package effects, which are critical to preventing potential design issues. Optimizing the ideal values ensures that package-induced variations do not compromise the design’s performance. - Finalize the design: After completing the optimization, the design parameters are reviewed to ensure they meet the desired specifications. Necessary adjustments are made to fine-tune the design.
- Incorporate a matching network: A low-pass matching network is included to match the amplifier’s optimal load resistance R to the standard 50- load of the AOTF. This low-pass network further suppresses harmonics.
To validate the proposed methodology and demonstrate the design approach, schematic simulations were conducted using a non-linear device model of the CGH40010 transistor [20]. The transistor is operated at a drain bias voltage of V with a gate supply voltage of 10 V for delivering an output power of 30 dBm with a driving input power of 20 dBm. The amplifier is designed to operate at a center frequency of 145 MHz with a span of 40 MHz. The ideal and optimized values derived from these simulations are presented in Table 4.
Table 4.
Ideal and optimized values of different parameters of the final topology.
Figure 13a shows that the designed RFPA achieves an efficiency greater than 90% across the frequency range, resulting in a bandwidth of 27.59%, which closely aligns with the predictions from ideal simulations where a 30% efficiency was achieved. Figure 13b and Figure 13c illustrate the output power and harmonic levels, respectively.
Figure 13.
Simulation results for the RFPA design at 145 MHz delivering 1 watt of output power. (a) Efficiency (%), (b) output power (dBm), and (c) harmonics (dBc).
The designed RFPA achieves a maximum output power of 29.779 dBm, which closely aligns with the specified design goals. The harmonic levels are maintained below dBc across the bandwidth. Additionally, the suppression of the 2nd harmonic is greater than that of the third harmonic, which aligns with the expected behavior of the proposed topology, as demonstrated by the ideal simulation results provided in Table 3. Finally, the schematic for the first-order low-pass matching circuit, along with the filter response, is presented in Figure 14, demonstrating additional suppression of harmonics.
Figure 14.
(a) Schematic for the matching network (, , and ), (b) filter response from the ADS simulation.
The transistor is capable of delivering a maximum power of 40 dBm, as specified in the datasheet. In this case, the biasing voltage can be set to 28 volts, and the circuit parameter values can be recalculated accordingly to ensure optimal performance and meet the design specifications. Additionally, since the typical gain of this transistor is around 10 dB, an input power of 30 dBm is required to drive the transistor into saturation.
6. Conclusions and Future Work
This paper presents a comprehensive design approach for series-tuned Class-E RFPAs, focusing on determining the bounds of the quality factor and implementing advanced harmonic control and suppression techniques. By establishing these bounds on and integrating harmonic control circuits, this study achieved a balance among high efficiency, bandwidth (up to 30%), and maximum output power capability. Simulations of the non-linear device model demonstrated a bandwidth of approximately 27%, which is in close alignment with the predictions. Future work will involve incorporating matching networks directly into the design equations, followed by experimental validation through the fabrication and testing of the RFPA prototype.
Author Contributions
Conceptualization, P.K.G.; Methodology, P.K.G.; Software, A.S.; Validation, P.K.G.; Formal analysis, P.K.G.; Investigation, P.K.G.; Resources, P.K.G.; Data curation, A.S.; Writing—original draft, P.K.G.; Writing—review and editing, A.S. and J.V.; Visualization, A.S.; Supervision, J.V. and J.L.; Project administration, J.L.; Funding acquisition, J.V. All authors have read and agreed to the published version of the manuscript.
Funding
This research is supported by the Delft University of Technology, The Netherlands.
Institutional Review Board Statement
Not applicable.
Informed Consent Statement
Not applicable.
Data Availability Statement
The original contributions presented in the study are included in the article, further inquiries can be directed to the corresponding author.
Acknowledgments
Special thanks are extended to Prakhar Jindal and Ștefan Ștefănescu for their valuable suggestions regarding the structure of this paper. The authors would also like to thank the editor and the anonymous reviewers for their valuable reviews and comments regarding this paper.
Conflicts of Interest
The authors declare no conflicts of interest. The funders had no role in the design of the study; in the collection, analyses, or interpretation of data; in the writing of the manuscript; or in the decision to publish the results.
Abbreviations
The following abbreviations are used in this manuscript:
| RFPA | radio-frequency power amplifier |
| HB | harmonic balance |
| MRI | magnetic resonance imaging |
| MF | medium frequency |
| HF | high frequency |
| VHF | very high frequency |
| ZVS | zero voltage switching |
| ZVDS | zero voltage derivative switching |
| supply voltage | |
| biasing voltage | |
| maximum output power capability | |
| quality factor for topology | |
| quality factor of the resonator | |
| saturation quality factor for the upper limit | |
| minimum quality factor for the lower limit | |
| original inductor | |
| inductor obtained by modifying the original inductor for the harmonic | |
| inductor–capacitor pair obtained by modifying for the harmonic | |
| original capacitor | |
| capacitor obtained by modifying the original capacitor for the harmonic | |
| inductor–capacitor pair obtained by modifying for the harmonic | |
| frequency at 3dB level |
Appendix A
Appendix A.1. Calculations for Matching at Different Harmonics for an Inductor Converted to an Equivalent Circuit
The following two cases are possible:
- The parallel resonator is tuned to the 2nd harmonic, and the net impedance is shorted at the 3rd harmonic. In this condition, the design equations are as follows:
- The parallel resonator is tuned to the 3rd harmonic, and the net impedance is shorted at the 2nd harmonic. Under that condition, the design equations are as follows:Equation (A9) implies that one of the parameters, and , must be negative. Hence, this condition is not possible.
Appendix A.2. Calculations for Matching at Different Harmonics for a Capacitor Converted to an Equivalent Circuit
- The parallel resonator is tuned to the 2nd harmonic and the net impedance is shorted at the 3rd harmonic. Under this condition, the design equations are as follows:Again, Equation (A13) implies that either or must be negative. Hence, this condition is impossible.
- The parallel resonator is tuned to the 3rd harmonic and the net impedance is shorted at the 2nd harmonic. Under that condition, the design equations are as follows:
References
- Korablev, O.I.; Belyaev, D.A.; Dobrolenskiy, Y.S.; Trokhimovskiy, A.Y.; Kalinnikov, Y.K. Acousto-optic tunable filter spectrometers in space missions [Invited]. Appl. Opt. 2018, 57, C103. [Google Scholar] [CrossRef]
- Mediano, A.; Ortega-Gonzalez, F.J. Class-E Amplifiers and Applications at MF, HF, and VHF: Examples and Applications. IEEE Microw. Mag. 2018, 19, 42–53. [Google Scholar] [CrossRef]
- Maák, P.; Takács, T.; Barócsi, A.; Kollár, E.; Richter, P. Thermal behavior of acousto-optic devices: Effects of ultrasound absorption and transducer losses. Ultrasonics 2011, 51, 441–451. [Google Scholar] [CrossRef] [PubMed]
- Dekemper, E.; Fussen, D.; Pieroux, D.; Vanhamel, J.; Opstal, B.V.; Vanhellemont, F.; Mateshvili, N.; Franssens, G.; Voloshinov, V.; Janssen, C.; et al. ALTIUS: A spaceborne AOTF-based UV-VIS-NIR hyperspectral imager for atmospheric remote sensing. In Proceedings of the Sensors, Systems, and Next-Generation Satellites XVIII, Amsterdam, The Netherlands, 22–25 September 2014; SPIE: Bellingham, WA, USA, 2014; Volume 9241, p. 92410L. [Google Scholar] [CrossRef]
- Dekemper, E.; Vanhamel, J.; Opstal, B.V.; Fussen, D.; Voloshinov, V.B. Influence of driving power on the performance of UV KDP-based acousto-optical tunable filters. J. Opt. 2015, 17, 075404. [Google Scholar] [CrossRef]
- Slinkov, G.; Mantsevich, S.N.; Balakshy, V.I.; Magdich, L.N.; MacHikhin, A.S. Control of Acousto-Optic Mode Locker by Means of Electronic Matching Circuit. IEEE Trans. Ultrason. Ferroelectr. Freq. Control 2020, 67, 1242–1249. [Google Scholar] [CrossRef]
- Cripps, S.C. Advanced Techniques in RF Power Amplifier Design; Artech House: Norwood, MA, USA, 2002. [Google Scholar]
- Islam, S.; Anwar, A. Design of GaN/AlGaN HEMT class-E power amplifier considering trapping and thermal effects. In Proceedings of the IEEE Lester Eastman Conference on High Performance Devices, Newark, DE, USA, 6–8 August 2002; pp. 155–163. [Google Scholar] [CrossRef]
- Gibiino, G.P.; Florian, C.; Santarelli, A.; Cappello, T.; Popović, Z. Isotrap Pulsed IV Characterization of GaN HEMTs for PA Design. IEEE Microw. Wirel. Components Lett. 2018, 28, 672–674. [Google Scholar] [CrossRef]
- Pengelly, R.S.; Wood, S.M.; Milligan, J.W.; Sheppard, S.T.; Pribble, W.L. A review of GaN on SiC high electron-mobility power transistors and MMICs. IEEE Trans. Microw. Theory Tech. 2012, 60, 1764–1783. [Google Scholar] [CrossRef]
- Husna Hamza, K.; Nirmal, D. A review of GaN HEMT broadband power amplifiers. AEU-Int. J. Electron. Commun. 2020, 116, 153040. [Google Scholar] [CrossRef]
- Raab, F.H. Effects of circuit variations on the class E tuned power amplifier. IEEE J.-Solid-State Circuits 1978, 13, 239–247. [Google Scholar] [CrossRef]
- Smith, G.; Zulinski, R. An exact analysis of class E amplifiers with finite DC-feed inductance at any output Q. IEEE Trans. Circuits Syst. 1990, 37, 530–534. [Google Scholar] [CrossRef]
- Grebennikov, A.; Jaeger, H. Class E with parallel circuit—A new challenge for high-efficiency RF and microwave power amplifiers. In Proceedings of the 2002 IEEE MTT-S International Microwave Symposium Digest (Cat. No. 02CH37278), Seattle, WA, USA, 2–7 June 2002; Volume 3, pp. 1627–1630. [Google Scholar] [CrossRef]
- Wei, M.D.; Kalim, D.; Erguvan, D.; Chang, S.F.; Negra, R. Investigation of wideband load transformation networks for class-E switching-mode power amplifiers. IEEE Trans. Microw. Theory Tech. 2012, 60, 1916–1927. [Google Scholar] [CrossRef]
- Kazimierczuk, M.; Puczko, K. Exact analysis of class E tuned power amplifier at any Q and switch duty cycle. IEEE Trans. Circuits Syst. 1987, 34, 149–159. [Google Scholar] [CrossRef]
- Sokal, N.O. Class-E High-Efficiency RF/Microwave Power Amplifiers: Principles of Operation, Design Procedures, and Experimental Verification; Springer: New York, NY, USA, 2003; pp. 269–301. [Google Scholar] [CrossRef]
- Sokal, N.; Raab, F. Harmonic output of class-E RF power amplifiers and load coupling network design. IEEE J.-Solid-State Circuits 1977, 12, 86–88. [Google Scholar] [CrossRef]
- Sheikhi, A.; Thian, M.; Vafaee, M. Broadband Parallel-Circuit Class-E Amplifier With Second Harmonic Control Circuit. IEEE Trans. Circuits Syst. II Express Briefs 2019, 66, 928–932. [Google Scholar] [CrossRef]
- CREE. CGH40010 10 W, DC—6 GHz, RF Power GaN HEMT. Online. 2022. Available online: https://www.mouser.com/datasheet/2/90/cgh40010-876424.pdf (accessed on 13 August 2024).
- Eroglu, A. RF Circuit Design Techniques for MF-UHF Applications; CRC Press: Boca Raton, FL, USA, 2017. [Google Scholar]
- Grebennikov, A.; Franco, M.J. Switchmode RF and Microwave Power Amplifiers; Academic Press: Cambridge, MA, USA, 2012. [Google Scholar]
- Casallas, I.; Paez-Rueda, C.I.; Perilla, G.; Pérez, M.; Fajardo, A. Design methodology of the Class-E power amplifier with finite feed inductance—A tutorial approach. Appl. Sci. 2020, 10, 8765. [Google Scholar] [CrossRef]
- Grebennikov, A. Simple design equations for broadband Class-E power amplifiers with reactance compensation. In Proceedings of the 2001 IEEE MTT-S International Microwave Sympsoium Digest (Cat. No. 01CH37157), Phoenix, AZ, USA, 20–24 May 2001; Volume 3, pp. 2143–2146. [Google Scholar] [CrossRef]
- Technologies, K. Understanding RF and Microwave Noise Figure; Technical Report; Keysight Technologies: Santa Rosa, CA, USA, 2015; Available online: https://www.keysight.com/mx/en/assets/7018-06808/application-notes/5952-8255.pdf?ignlcl=truecheckifthisisthecorrectlink (accessed on 17 August 2024).
- SciPy Developers. scipy.optimize.curve_fit: Use Non-Linear Least Squares to Fit a Function to Data. 2024. Available online: https://docs.scipy.org/doc/scipy/reference/generated/scipy.optimize.curve_fit.html (accessed on 17 August 2024).
- Suaŕez, A. Analysis and Design of Autonomous Microwave Circuits; John Wiley & Sons, Ltd.: Hoboken, NJ, USA, 2008; Chapter 1; pp. 1–65. [Google Scholar] [CrossRef]
- Acar, M.; Annema, A.J.; Nauta, B. Analytical design equations for Class-E power amplifiers. IEEE Trans. Circuits Syst. I Regul. Pap. 2007, 54, 2706–2717. [Google Scholar] [CrossRef]
- Shaw, S. Perturbation techniques for nonlinear systems. In Encyclopedia of Vibration; Braun, S., Ed.; Elsevier: Oxford, UK, 2001; pp. 1009–1011. [Google Scholar] [CrossRef]
- Raab, F. Class-E, Class-C, and Class-F power amplifiers based upon a finite number of harmonics. IEEE Trans. Microw. Theory Tech. 2001, 49, 1462–1468. [Google Scholar] [CrossRef]
- Matthaei, G.L.; Young, L.; Jones, E. Microwave Filters, Impedance-Matching Networks, and Coupling Structures; McGraw-Hill: New York, NY, USA, 1964; p. 1096. [Google Scholar]
Disclaimer/Publisher’s Note: The statements, opinions and data contained in all publications are solely those of the individual author(s) and contributor(s) and not of MDPI and/or the editor(s). MDPI and/or the editor(s) disclaim responsibility for any injury to people or property resulting from any ideas, methods, instructions or products referred to in the content. |
© 2024 by the authors. Licensee MDPI, Basel, Switzerland. This article is an open access article distributed under the terms and conditions of the Creative Commons Attribution (CC BY) license (https://creativecommons.org/licenses/by/4.0/).











