Next Article in Journal
Improved GA-LNS Algorithm for Solving Vehicle Path Problems Considering Carbon Emissions
Previous Article in Journal
Dependence of Thermal Conductivity on Size and Specific Surface Area for Different Based CoFe2O4 Cluster Nanofluids
 
 
Font Type:
Arial Georgia Verdana
Font Size:
Aa Aa Aa
Line Spacing:
Column Width:
Background:
Article

Comparative Real-Time Study of Three Enhanced Control Strategies Applied to Dynamic Process Systems

1
Department of Electrical & Electronic Engineering, Erzurum Technical University, Erzurum 25550, Türkiye
2
Department of Electrical & Electronic Engineering, Ataturk University, Erzurum 25550, Türkiye
*
Author to whom correspondence should be addressed.
Appl. Sci. 2024, 14(21), 9955; https://doi.org/10.3390/app14219955
Submission received: 16 September 2024 / Revised: 19 October 2024 / Accepted: 21 October 2024 / Published: 31 October 2024
(This article belongs to the Section Robotics and Automation)

Abstract

In this study, a comparative analysis of three different control methods for precise, real-time control of a complex dynamic double-tank liquid level process system was performed. Since the system in question has a time-delayed structure, feedforward proportional integral (FF-PI) control and cascaded nonlinear feedforward proportional integral delayed (CNPIR) controllers were tested on the process system. While the FF-PI controller improved the response time of the system, it showed limitations in handling external disturbances and nonlinearities. On the other hand, the CNPIR controller showed better improvements in control accuracy and lower overshoot compared to the FF-PI controller. Since the process system has a nonlinear model and is affected by external disturbances, these two controllers were inadequate in this study when compared to the fractional order adaptive proportional integral derivative sliding mode controller (FO-APIDSMC). The FO-APIDSMC controller provided fairly good performance in both tracking accuracy and disturbance rejection control for non-chattering, fast finite-time convergence, increased robustness, and uncertain dynamic processes. Experimental results reveal that the FO-APIDSMC controller achieves superior minimized tracking error and outperforms the FF-PI and CNPIR controllers by effectively handling uncertainties and external disturbances.

1. Introduction

In industrial processes, precise control of liquid levels and flow between multiple tanks is essential across various sectors, including power generation, biochemical and petrochemical industries, and water distribution systems. Accurate regulation of liquids stored, transferred, or mixed within tanks is crucial for ensuring operational efficiency, safety, and reliability. Among the most widely used systems for such applications are coupled tanks, consisting of interconnected vertical tanks that share orifices. These setups typically employ electrical pumps and motorized valves as actuators, while pressure sensors and flowmeters provide real-time monitoring of liquid levels and flow rates. However, managing coupled tank systems comes with unique challenges, primarily due to their nonlinear characteristics. These arise from the dynamic behaviour of pumps, valves, and fluctuations in system parameters. When it comes to industrial process control, attaining accurate as well as steady regulation is critical, particularly for systems exhibiting complex and dynamic tendencies. Because of their simplicity and efficiency, the traditional control methods, which include proportional–integral–derivative (PID) controllers, have been widely adopted. PID control is well-suited for single-input, single-output systems and provides satisfactory performance in environments with minimal disturbances and well-understood dynamics. In a liquid level system, PID controllers are often used to maintain the desired level by adjusting the input flow based on the error between the setpoint and the actual level. However, the effectiveness of PID controllers diminishes when applied to nonlinear systems or systems subject to significant external disturbances [1]. In such cases, the controller may struggle to maintain stable and precise control, leading to oscillations, overshoots, or slow response times.
However, these controllers often fail to meet requirements in cases where there is significant nonlinearity, time delays, and external disturbance processes involved [2]. One of the main problems in real-time control is ensuring that the controller can respond fast enough to dynamic changes in the process [3,4,5,6,7,8]. The speed must be supported by not only processing power but also a way of predicting and compensating for time delays and disturbances applied to the system undergoing control [9]. In some such cases, more advanced control methodologies are required to satisfy demanding performance specifications, especially under real-time conditions. To address the limitations of traditional PID control, more advanced control techniques, such as the cascade nonlinear feedforward proportional integral retarded (CNPIR) controller, have been developed [10]. The CNPIR controller builds upon the foundational principles of PID control by incorporating a cascade control architecture, where an inner loop manages fast system dynamics while the outer loop regulates slower dynamics. This structure enables more effective disturbance rejection and improved control over nonlinear processes like liquid level systems [11]. Additionally, the feedforward component in CNPIR control anticipates disturbances before they affect the system, further enhancing stability and performance [12,13]. Cascade control structures have always been preferred in automation methods based on their capability to decouple various process objectives and handle multiloop systems. The retarded (time-delay) element incorporated into this control scheme allows the system to handle time delays common in industrial processes, such as those caused by sensor lags or actuator delays [14,15,16]. Despite these advantages, the CNPIR controller still has limitations when dealing with highly nonlinear or unpredictable dynamics, as well as when external disturbances are severe [17,18,19,20]. While the controller improves upon PID control in terms of stability and disturbance rejection, it can still struggle with maintaining optimal performance under varying operational conditions [21].
To address these challenges, advanced control methods are needed to provide more robust performance and finer control accuracy under varying operational conditions [22]. For example, a fractional order (FO) control introduces the concept of fractional calculus into the control strategy, which allows for the tuning of non-integer order derivatives and integrals [23]. This flexibility gives FO controllers the ability to handle more complex dynamics and long-term system behaviours, making them particularly well-suited for systems with memory or history effects. In the context of liquid level control, FO controllers provide smoother transitions and more precise control over nonlinearities compared to traditional integer-order controllers like PID [24]. The ability of FO controllers to model and control dynamic processes with more accuracy allows them to outperform conventional control methods in systems with significant time delays and nonlinearities [25,26].
In addition to the above controller, the adaptive control technique has emerged as a powerful technique for managing systems with unknown or time-varying parameters. Adaptive PID controllers adjust their control parameters in real-time based on the observed behaviour of the system, which allows them to maintain effective control even when the system undergoes significant changes [27,28,29]. For liquid level systems, where flow rates, valve characteristics, and other system parameters can change over time, adaptive PID control ensures that the controller can dynamically respond to these variations [30]. By continuously updating its parameters, adaptive PID control offers improved robustness and flexibility over standard PID and CNPIR controllers, particularly in environments where system dynamics are uncertain or subject to frequent changes [31].
Another important controller technique in the literature is the SMC control method. sliding mode control (SMC) is widely recognized for its robustness in handling systems with uncertainties and external disturbances [32]. The SMC approach works by driving the system’s state trajectory onto a predefined sliding surface and keeping it there, ensuring that the system behaves in a desired manner regardless of disturbances [33]. However, a significant drawback of classical SMC is the phenomenon known as “chattering”, which refers to the high-frequency oscillations that occur near the sliding surface due to the discontinuous control action [34]. These oscillations can lead to undesirable effects, such as increased wear and tear on actuators or degraded control performance. To address this issue, modifications to SMC, such as higher-order sliding modes or incorporating fractional-order elements, have been introduced [35,36].
Within the scope of this study, APIDSMC combines the benefits of both adaptive PID control and sliding mode control [37]. This hybrid approach allows for real-time adaptation of the control parameters, ensuring that the system can handle time-varying dynamics and disturbances, while the sliding mode component guarantees robustness against uncertainties [38]. The adaptive nature of the controller allows it to continuously adjust to changing conditions, providing more consistent performance in complex systems like liquid level control. Furthermore, by integrating adaptive control with sliding mode techniques, APIDSMC offers the potential for reduced chattering compared to traditional SMC methods [39,40].
The proposed FO-APIDSMC controller combines the strengths of fractional order calculus, adaptive PID, and sliding mode control into a unified framework. This novel control approach is specifically designed to address the challenges of nonlinear, time-delayed, and dynamically uncertain systems such as liquid level control in industrial processes. By incorporating fractional-order calculus, the FO-APIDSMC controller gains enhanced flexibility and precision, enabling it to more effectively manage long-term system behaviours and nonlinearities. The adaptive PID component continuously adjusts the control parameters in real-time, ensuring that the controller remains robust in the face of system changes. Meanwhile, the sliding mode control component guarantees that the system remains stable and resilient against disturbances while also mitigating the chattering effect that typically plagues traditional SMC approaches [41].
As far as we know from a detailed literature survey, no study has been found in which the FO-APIDSMC controller is applied to a dual tank level system, which is a process system, in real-time. Taking this gap in the literature into account, the FO-APIDSMC method based on the system model has been created and applied to a process system in real-time within the scope of this article.
In a real-time comparison of the FF-PI and CNPIR controllers, FO-APIDSMC presents significant improvements in control accuracy, external disturbance resistance, and robustness. The fractional order calculus allows for smoother control actions and better handling of nonlinearities, while the adaptive PID component ensures real-time responsiveness to changing system conditions. The sliding mode control provides the necessary robustness to external disturbances, making FO-APIDSMC the ideal solution for complex industrial systems like liquid level control.
In the next section, firstly, the system modelling is performed; then, the mathematical equations of FF-PI, CNPIR, and FO-APIDSMC control laws are created based on the system model. In the experimental results section, real-time results are reported. A list of topics that require further research concludes this study.

2. Dynamic Model of Liquid Level and System Description

Figure 1 depicts the closed recirculating test system used for a connected tank. The system comprises two interconnected liquid tanks, an electrically operated pump, a level monitoring aperture at the bottom of each tank, and a pressure sensor. Tank 1 is supplied by the electric pump, and Figure 1 shows how both liquid tanks are mounted on the front plate. Tank 2 receives the outflow from Tank 1. Two pressure-sensitive sensors located at the base of each tank measure the liquid levels in both reservoirs.
The mathematical basis of the interconnected tank system can be found in [41]. The rate of change of the liquid level in each separate reservoir is as follows:
L ˙ 1 t = 1 A 1 F I N 1 F O U T 1 ,
The variable L i ( t ) represents the liquid level in the reservoir, measured in centimeters. A i represents the cross-sectional area of the reservoir, measured in square centimetres. F I N i and F O U T i represent the inflow and outflow rates of the i-th tank, measured in cubic centimetres per second. The rate at which liquid flows into tank 1 is precisely proportional to the voltage that is applied to the pump. This means that as the voltage increases, the inflow rate into the tank also increases.
F I N 1 = K p V p t ,
The constant K p represents the pump’s conversion factor in cubic centimetres per volt-second ( c m 3 / V s ) . The control input, V p ( t ) , also known as the voltage pump u t in volts ( V o l t ), is utilized to attain the desired levels in either tank 1 or tank 2, as follows:
u t = u 1 t + u 2 t ,
The contributions of the cascade rule and the feedforward action are denoted by u 1 t   a n d   u 2 ( t ) , respectively, in Equation (3).
v O U T i t = 2 g L i ( t ) ,
Moreover, Equation (4) provides the outflow velocity from the orifice at the bottom of each unique tank using Bernoulli’s law.
F O U T i t = a i 2 g L i ( t ) ,
Next, using Equation (5), the outflow percentage of a separate liquid tank is calculated, where a i is the cross-sectional area of the outflow orifice ( c m 2 ) at the bottom of the i -th tank, and g is the gravitational acceleration ( 981   c m / s 2 ). Tank 2’s inflow is determined as follows:
F I N 2 t = F O U T 1 t ,
Thus, the following mathematical expression for the liquid level in the connected tanks can be produced by applying the mass balance principle and Equations (1)–(6):
L ˙ 1 t = K p u ( t ) a 1 2 g L 1 ( t ) A 1 ,
L ˙ 2 t = a 1 A 2 2 g L 1 ( t ) a 2 A 2 2 g L 2 t ,
The steady-state pump voltage, u 1 ( t ) , that leads to the steady-state level, L 10 , in reservoir 1 is determined by using Equation (7) when the system is at equilibrium ( L ˙ 1 t = 0 ). Equation (8) is employed to determine the value of L 10 in reservoir 1 when the system is at equilibrium ( L ˙ 2 t = 0 ). This value represents the desired constant level in reservoir 2, referred to as the planned steady-state level.
u 1 t = a 1 2 g L 10 K p ,
L 10 = ( a 2 a 1 ) 2 L 20 ,
The relationships are specified in Equations (9) and (10). Deviation variables can be defined by utilizing the operational range that corresponds to small departure voltages ( u 1 t ) and heights ( L 1 t ,   L 2 t ) :
L 11 t = L 1 t L 10 , L 21 t = L 2 t L 20 ,
The cascade control is denoted by u 2 ( t ) in Equation (11). Thus, it is possible to translate the dynamic equations of Equations (7) and (8) as follows:
L ˙ 1 t = a 1 A 1 2 g L 10 + L 11 ( t ) + K p A 1 ( u 1 t + u 2 t ) ,
L ˙ 2 t = a 1 A 2 2 g L 11 t + L 10 a 2 A 2 2 g L 21 t + L 20 ,
The liquid level system’s dynamic equations are nonlinear due to the characteristics of the pump and valve, as well as variations in the system’s parameters, as shown by Equations (12) and (13). In order to execute the suggested cascade for the connected tank system, it is necessary to linearize the linked tank system model around the operational point L 10 ,   u t = ( L 10 , u 1 t ) . Applying the first-order Taylor series approximation at the points ( L 20 ,   L 10 and u 1 ( t )) to Equations (12) and (13) results in the following [42]:
L ˙ 11 t = α 1 L 11 t + β 1 u 2 t ,
L ˙ 21 t = α 2 L 21 t + β 2 L 11 t ,
where
α 1 a 1 A 1 g 2 L 10 ,       β 1 K p A 1 , α 2 a 2 A 2 g 2 L 20 ,       β 2 a 1 A 2 g 2 L 10
After analysing the subsystem decomposition of Equations (14) and (15), the task of regulating the level in Tank 2 (i.e., achieving set-point control of L 2 t ) is established. In this particular context, L 21 and L 11 symbolize the output and input of the subsystem, respectively, as mentioned in Equation (15).
G 1 s = K 1 τ 1 s + 1 ,
G 2 s = K 2 τ 2 s + 1
In addition, the subsystems in Equations (14) and (15) are modelled as transfer functions, and the Laplace transforms of these equations are given in Equations (17) and (18), where K 1 = K p 2 g L 10 a 1 g , K 2 = a 1 L 20 a 2 L 10 , τ 1 = A 1 2 g L 10 a 1 g , and τ 2 = A 2 2 g L 20 a 2 g . It is evident that Equations (17) and (18) can be applied to both cascade and traditional PI. Table 1 displays the parameters of the connected tank system.

3. Classical Controller Methods for Coupled Tank System

In this section, the liquid level system has been subjected to a classical PI controller design with a feedforward application in order to provide real-time position control. In order to improve the accuracy of controlling the liquid level system, a controller design called cascade nonlinear proportional integral retarded (CNPIR) has been developed. This design takes into consideration the dynamic models of the system.

3.1. Feedforward Proportional Integral Controller for the Coupled Tank System (FF-PI)

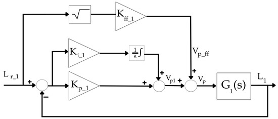
Feedforward action in process control technology counteracts the impact of the measured disturbance on the process output. In this situation, the feedforward action is used to counterbalance the water being taken out (due to gravity) through the orifices at the bottom outlets of Tank 1 and Tank 2. However, the effects of unaccounted dynamics and disturbances are addressed by the cascade proportional–integral controllers, which are designed to handle time delays. A control pump is specifically engineered to modulate the water level or elevation by means of electricity. The control structure at the beginning is a feedforward proportional–integral controller (FF-PI), as shown in Figure 2.
For zero steady-state error, the water level in Tank 1 is controlled through a positive proportional–integral (PI) closed-loop scheme with the addition of feedforward action, as shown in Figure 2.
  V p f f = K f f 1 L r 1 ,
  V p = V p 1 + V p f f ,
The mathematical equation for the voltage feedforward controller is presented in Equations (19) and (20). While the feedforward action compensates for water withdrawal (due to gravity) through the bottom outlet of Tank 1, the PI controller compensates for dynamic disturbances.
G 1 s = L 1 s V p 1 s
The transfer function of the feedforward PI control indicated in Figure 2 can be expressed as in Equation (21). After conducting the liquid level experiment in Tank 1 with the feedforward PI controller, the CNPIR controller was used, considering the system dynamics. Thus, both control structures were compared through real-time experiments.
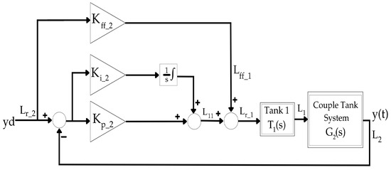
The second tank, which is designed with a feedforward proportional–integral controller, is shown in Figure 3.
T 1 s = L 1 ( s ) L r _ 1 ( s )
In the designed block diagram, the closed-loop transfer function, named T 1 s , represents the water level of the 1st tank and is mathematically expressed in Equation (22).
L f f _ 1 = L r _ 2 K f f _ 2
The feedforward effect is mathematically expressed by the above Equation (23). The input signal for the liquid level in Tank 1, L r _ 1 , is equal to the sum of L 11 , which is called the small increase in liquid height calculated by the proportional–integral (PI) controller, and L f f _ 1 , which is obtained from the feedforward effect.
L r _ 1 = L f f _ 1 + L 11
According to Equation (24), the desired liquid level control of the tank is achieved as a result of the feedforward effect and the values calculated by the PI controller. To calculate the transfer function of Tank 2, the output value of Tank 2 needs to be divided by the input value of Tank 1 as follows:
G 2 s = L 2 ( s ) L 1 ( s )

3.2. CPIR and CNPIR Controllers for Coupled Tank System

In this section, the mathematical model and block structure of the time-delayed CPIR and CNPIR controllers are explained, considering the system dynamic model for the position control of the liquid level tank. Velocity measurements feed the integral retarded (IR) controller, which corresponds to the inner loop. Three parameters need to be adjusted: the gains K i and K i r and the time delay h . The outer loop is closed using a proportional controller with a gain of K p and is supplied with position readings.
u ˙ t = K i K i r K P e t + K i r y ˙ t h K i y ˙ t
Equation (26) defines the time-effective mathematical expression of the CPIR controller [21]. Here, y ˙ ( t ) represents the derivative of the output parameter, in other words, the change in liquid level for Tank 1 and Tank 2. In Figure 3, the reference input y d represents the desired liquid level for Tank 1 and Tank 2, while y ( t ) represents the output magnitude, i.e., the liquid level obtained for Tank 1 and Tank 2.
p s = s 3 + a s 2 + b K i s + b K p K i + K i r b K i r s e s h
The characteristic quasi-polynomial of the closed-loop system is directly obtained with the help of Figure 3 and is presented in Equation (27).
v s = s 2 + a s + b K i ± b K i r s e s h
However, the quasi-polynomial expression of the inner velocity loop can be defined by Equation (28).
u ˙ t = [ K i K i r / G ] S A T ( G K P e t ) + K i r y ˙ t h K i y ˙ ( t )
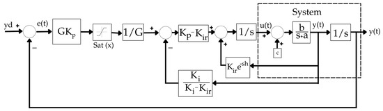
Figure 4 displays the closed-loop CNPIR controller. In this case, the CNPIR control law [21] can be defined in its most general form by Equation (29). The saturation function of CNPIR is shown in Figure 4, and this function, specified in Equation (29), is expressed by Equation (30) as follows:
S A T x = x ,             x       1   1 ,             x     < 1         1 ,             x     >     1      
The saturation function of CNPIR is shown in Figure 4, and this function, specified in Equation (29), is expressed by Equation (30).
Equation (29) defines ‘G’ as the scaling factor. If the positional error e ( t ) is small enough, the value of x = G K P e t does not exceed the saturation limitations, and both the outer and inner loops operate in conjunction. Therefore, the values of G and 1 / G nullify each other. If the positioning task results in a significant position error, S A T ( x )   can be either 1 or −1. Here, the outer loop is disabled, and only the inner velocity loop functions. The system attains a steady velocity. When the position error diminishes, the saturation block functions within its linear range, causing both loops to become active once more. An advantage of the CPIR controller over the standard P-PI controller is its utilization of time delays, which effectively eliminates the need for velocity measurements. The second advantage is that the CPIR method does not use the finite differences method, thereby eliminating the deficiencies associated with high-pass filters. The initial design of the CPIR controller, which does not have a cascade structure, is called the proportional integral retarded (PIR) controller. When a new outer loop is added to this PIR controller, the CPIR controller architecture is obtained. The CPIR controller has a notable advantage over the PIR controller in that the inner loop within the controller can function independently if the extra outer loop is disengaged. The addition of a saturation function (SAT) to the CPIR controller results in the formation of the cascade nonlinear proportional integral retarded (CNPIR) controller design [21]. Incorporating the saturation function into the controller architecture offers a notable benefit, especially in terms of mitigating overshoot in the system’s response. For more detailed information on the tuning methodology for CNPIR, see reference [21].

4. Proposed Controller Method for Coupled Tank System

4.1. Adaptive Model-Based PID-Type Sliding Mode Control (APIDSMC)

This section presents the adaptive model-based PID-type SMC (APIDSMC) control system. The purpose of this technique is to provide robust trajectory tracking in the presence of uncertainties and external disturbances. Figure 5 shows the PID-SMC method block diagram. This figure compares the reference liquid level trajectory with the coupled tank system’s real-time output to calculate the execution error. In this case, we will use a computed error in the sliding surface function (S) and feed this function into the PID-SMC.
In the present scenario, the state variables may be precisely described as follows:
q ˙ 1 t = q t = L 1 t ,
q ˙ 3 ( t ) = q 4 ( t ) = L 2 ( t )
Therefore, by applying the inverse Laplace transformation to Equations (17) and (18), we may derive the differential equation of the system in the following manner:
q ¨ 1 t = 1 τ 1 q ˙ 1 t + K 1 τ 1 u 2 1 t ,
q ¨ 3 t = 1 τ 2 q ˙ 3 t + K 2 τ 2 u 2 2 ( t )
The outputs of the process are determined by the variables q 2 ( t ) and q 4 ( t ) . The control input of Tank 1 is denoted as u 2 1 ( t ) , while the control inputs of Tank 2 are represented by u 2 2 t = L 1 ( t ) . Therefore, it is possible to derive the second-order equation of motion in matrix form as follows:
q ¨ 2 x 1 = f q 2 x 1 + g q 2 x 2 u t 2 x 1 + ζ ( t , u t ) 2 x 1
Let the bounded lumped uncertainty be expressed as ζ ( t , u t ) 2 x 1 . Furthermore, the tracking error e ( t ) 2 x 1 is provided as follows:
e ( t ) 2 x 1 = q d 2 x 1 q 2 x 1
The APIDSMC control approach is illustrated in Figure 6. This figure presents the reference trajectory as the intended trajectory for the experimental application. An analysis will be conducted to identify any errors in the implementation by comparing the output of the reference trajectory with the actual trajectory of the process system. Subsequently, the error was utilized by the sliding surface function to calculate the S parameter. The resulting output of the sliding surface function was then inputted into the adaptive model-based PID-type sliding mode controller. The APIDSMC produces the control action as its output.
The developed APIDSMC controller is conceptually separated into three subsections to facilitate comprehension of the control approach. The initial section can be represented as the phase control law, the subsequent section establishes the control of the switching feedback law, and ultimately, an adaptive control law is provided to estimate the gain parameters of the switching controller. The APIDSMC approach utilizes a PID-type sliding surface to enhance the resilience and efficiency of the system. The associated surface function is defined as
s ˙ t 2 x 1 = k p 2 x 2 e ( t ) 2 x 1 + k i 2 x 2 e ( τ ) 2 x 1 d τ + k d 2 x 2 e ˙ ( t ) 2 x 1
where k p 2 x 2 , k d 2 x 2 , and k i 2 x 2 are the gain matrices for positive control. Upon differentiating Equation (37) with regard to time, the subsequent equation is derived:
s ¨ ( t ) 2 x 1 = k p 2 x 2 e ˙ ( t ) 2 x 1 + k i 2 x 2 e ( t ) 2 x 1 + k d 2 x 2 e ¨ ( t ) 2 x 1
By employing the two-time derivative of the error function, Equation (38) can be reformulated as follows:
s ¨ ( t ) 2 x 1 = k p 2 x 2 e ˙ ( t ) 2 x 1 + k i 2 x 2 e ( t ) 2 x 1 + k d 2 x 2 q ¨ d 2 x 1 q ¨ 2 x 1
By substituting the value of q ¨ 2 x 1 from Equation (35) into Equation (39), we obtain
s ¨ ( t ) 2 x 1 = k p 2 x 2 e ˙ ( t ) 2 x 1 + k i 2 x 2 e ( t ) 2 x 1 + k d 2 x 2 q ¨ d 2 x 1 f q 2 x 1 g q 2 x 2 u t 2 x 1 ζ t , u t 2 x 1
Given that s ( t ) 2 x 1 , s ˙ ( t ) 2 x 1 , and s ¨ ( t ) 2 x 1 are all null under the second-order sliding surface condition, it follows that the tracking error e ( t ) 2 x 1 becomes zero. Hence, by utilizing the s ¨ ( t ) 2 x 1 = 0 , u r p 2 x 1 (the reaching phase control law) is calculated with the following uncertainties:
u r p 2 x 1 = g x 2 x 2 1 ( q ¨ d 2 x 1 f x 2 x 1 + ζ t , u t 2 x 1 + k p 2 x 2 k d 2 x 2 e ˙ ( t ) 2 x 1 + k i 2 x 2 k d 2 x 2 e ( t ) 2 x 1 )
Nevertheless, considering the uncertainties that are limited but unknown, it is not appropriate to regulate the system merely with the reaching phase control law. This may give rise to significant complications during the functioning of the process system. Hence, to enhance the dependability of the system against external or system disruptions, it is necessary to include the switching control law, u s c 2 x 1 , expressed by Equation (42) into the control signal.
u s c 2 x 1 = g x 2 x 2 1 λ 2 x 2 s t 2 x 1 + µ 2 x 2 s i g n s ˙ t 2 x 1
Let λ 2 x 2 and µ 2 x 2 represent the switching gains. Therefore, the feedback control law, denoted as ( u t o t a l 2 x 1 ), for the system without uncertainty may be expressed as
u t o t a l 2 x 1 = g x 2 x 2 1 ( q ¨ d 2 x 1 f x 2 x 1 + ζ t , u t 2 x 1 + k p 2 x 2 k d 2 x 2 e ˙ ( t ) 2 x 1 + k i 2 x 2 k d 2 x 2 e ( t ) 2 x 1 + λ 2 x 2 s t 2 x 1 + µ 2 x 2 s i g n s ˙ t 2 x 1 )
In Equation (43), g x is typically a matrix or function that describes how control inputs influence the system’s states. If g x were to be zero (or non-invertible), it would be impossible to apply the necessary control input to achieve the desired system behaviour, as there would be no well-defined way to map the control law to the actual control signal. Essentially, g x being zero would mean that the system cannot respond to control inputs, resulting in no control authority over the system. Also, control systems often rely on feedback mechanisms to maintain stability. If the inverse of g(x) is not well-defined (i.e., if g x = 0 or is singular), it could result in instability or uncontrollable oscillations in the system. This is particularly critical in systems where precise control over external disturbances and uncertainties is required, as is evident in the sliding mode control method discussed in the paper. Sliding mode controllers, such as those described in the equations, are highly sensitive to discontinuities and rapid changes in the control law. A zero or undefined g x would introduce significant challenges in adapting the system’s switching gains, leading to potential chattering issues that are difficult to mitigate. Thus, ensuring that the inverse of g(x) is non-zero is crucial for guaranteeing that the control input has the intended effect on the system and for maintaining the stability and reliability of the controller.
The fundamental determinant of the stability and chattering impact of the system is the magnitude of the switching gain parameters ( λ 2 x 2 , µ 2 x 2 ). If the gain parameters of the controller are selected using the trial-and-error approach, the voltage on the control signal of the system may rise uncontrollably, perhaps resulting in significant damage to the motors. To mitigate this undesirable impact, it is necessary to estimate and adjust the switching settings of the controller properly during the operation. For the described adaptation approach, the estimated values of the switching gain parameters ( λ 2 x 2 , µ 2 x 2 ) can be derived as follows:
λ ^ ˙ 2 x 2 = ρ 1 s 1 t s ˙ 1 t 0 0 ρ 2 s 2 t s ˙ 2 t ,
µ ^ ˙ 2 x 2 = γ 1 s ˙ 1 t 0 0 γ 2 s ˙ 2 t
Equations (44) and (45) provide the estimated switching gain parameters ( λ ^ 2 x 2 and µ ^ 2 x 2 ), and the positive constants for the adaptation speed of the switching gain parameters are denoted as ρ i   ( i = 1 ,   2 ) and γ i   ( i = 1 ,   2 ) , respectively. For the purpose of controlling the system, the adaptive total feedback control law for both controllers is denoted ( u t o t a l 2 x 1 ) as follows:
u t o t a l 2 x 1 = g x 2 x 2 1 ( q ¨ d 2 x 1 f x 2 x 1 + ζ t , u t 2 x 1 + k p 2 x 2 k d 2 x 2 e ˙ ( t ) 2 x 1 + k i 2 x 2 k d 2 x 2 e t ) 2 x 1 + g x 2 x 1 1 λ ^ 2 x 2 s t 2 x 1 + µ ^ 2 x 2 s i g n s ˙ t 2 x 1
Moreover, the second derivative of the sliding surface can be reformulated from an alternative perspective as follows:
s ¨ ( t ) 2 x 1 = k d 2 x 2 λ ^ 2 x 2 s t 2 x 1 k d 2 x 2 µ ^ 2 x 2 s i g n s ˙ t 2 x 1 k d 2 x 2 ζ t , u t 2 x 1

4.2. Fractional Order Adaptive Model-Based PID-Type Sliding Mode Control (FO-APIDSMC)

In this part, initial information regarding the FO calculus is presented. The Riemann–Liouville definition is the most used among the fractional derivative definitions. We defined the integral and fractional derivative of the α-th, order of function f t , in the time domain, as shown in [43].
D α f t = d α f ( t ) d t α = 1 Γ ( n α ) d n d t n 0 t f ( τ ) ( t τ ) α + 1 n d τ ,
D α f t = L α f t = 1 Γ ( α ) 0 t f ( τ ) ( t τ ) 1 α d τ
where n − 1 < α < n, and n denotes an integer value; the fractional derivative and integral are shown by D n and L n , respectively. Euler’s Gamma function, Γ . , can be shown by
Γ λ = 0 e t t α 1 d t
To express the nth order derivative d n / d t n of the FO derivative operator, D α f t , is turned into the following:
d n d t n D α f t = D α d n f ( t ) d t n = D α + n f ( t )
This section introduces a novel adaptive model-based PID-type SMC control technique that is specifically developed to achieve reliable trajectory tracking even in the presence of uncertainties and external disturbances. The control approach being presented is illustrated in Figure 7. This figure presents the reference trajectory as the intended trajectory for the experimental application. An analysis will be conducted to identify any errors in the implementation by comparing the output of the reference trajectory with the actual trajectory of the industrial process system. Subsequently, the error introduced by the sliding surface function was utilized to determine the S parameter. The resulting output of the sliding surface function was then inputted into the PID-type sliding mode controller based on the FO-adaptive model. As the control action, the output of the FO-APIDSMC is provided.
In order to comprehend the intended controller, the FO-APIDSMC control approach is formally segmented into three subsections. The initial section can be represented as the phase control law. The subsequent section suggests the implementation of the switching feedback law to address the finite uncertainty and disturbances in the system. Lastly, an adaptation component of the control law is executed to estimate the gain parameters of the switching controller.
In order to enhance the efficiency and robustness of the FO-APIDSMC approach, the PID-type sliding surface is utilized. The surface function is defined as follows:
s t 2 x 1 = k p 2 x 2 e ( t ) 2 x 1 + k i 2 x 2 e ( τ ) 2 x 1 d τ + k d 2 x 2 e ˙ ( t ) 2 x 1
Let k p 2 x 2 , k d 2 x 2 , and k i 2 x 2 represent the positive control gain matrix. Given the PID-type sliding surface function in Equation (52), an FO-PID-type sliding surface is developed utilizing an FO calculus to achieve accurate, resilient, and robust control performance and rapid finite-time convergence for an industrial process system.
s t 2 x 1 = k p 2 x 2 e ( t ) 2 x 1 + k i 2 x 2 D α { e t ) 2 x 1 + k d 2 x 2 D α e ( t ) 2 x 1
If we take the derivative of Equation (53) twice in time, we obtain Equation (54) below:
s ¨ ( t ) 2 x 1 = k p 2 x 2 e ¨ ( t ) 2 x 1 + k i 2 x 2 D 2 α { e t ) 2 x 1 + k d 2 x 2 D α + 2 e ( t ) 2 x 1
By employing the two-times derivative of the error function, Equation (54) can be reformulated as follows:
s ¨ ( t ) 2 x 1 = k p 2 x 2 { q ¨ d 2 x 1 q ¨ 2 x 1 } + k i 2 x 2 D 2 α { e t ) 2 x 1 + k d 2 x 2 D α + 2 e ( t ) 2 x 1
By substituting the value of q ¨ 2 x 1 from Equation (35) into Equation (55), we obtain
s ¨ ( t ) 2 x 1 = k p 2 x 2 q ¨ d 2 x 1 f q 2 x 1 g q 2 x 2 u t 2 x 1 ζ t , u t 2 x 1 + k d 2 x 2 D α + 2 e ( t ) 2 x 1 + k i 2 x 2 D 2 α { e ( t ) 2 x 1 }
When the values of s ( t ) 2 x 1 , s ˙ ( t ) 2 x 1 , and s ¨ ( t ) 2 x 1 are all equal to zero in the second-order sliding surface condition, the tracking error e ( t ) 2 x 1 becomes zero. Hence, by utilizing the s ¨ ( t ) 2 x 1 = 0 , the u r p 2 x 1 (the reaching phase control law) is calculated with the following uncertainties:
u r p 2 x 1 = g x 2 x 2 1 ( q ¨ d 2 x 1 f x 2 x 1 ζ t , u t 2 x 1 + k d 2 x 2 k p 2 x 2 D α + 2 e ( t ) 2 x 1 + k i 2 x 2 k p 2 x 2 D 2 α { e ( t ) 2 x 1 } )
Nevertheless, considering the uncertainties that are limited but unknown, it is not appropriate to regulate the system merely with the reaching phase control law. This may give rise to significant complications during the functioning of the industrial process system. Therefore, in order to enhance the reliability of the system against external or system disruptions, it is necessary to include the switching control law, u s c 2 x 1 , as defined by Equation (58) in the control signal.
u s c 2 x 1 = g x 2 x 2 1 λ 2 x 2 s t 2 x 1 + µ 2 x 2 s i g n s ˙ t 2 x 1
Two-dimensional switching gains are denoted as λ 2 x 2 and µ 2 x 2 . The system’s complete feedback control law without uncertainties, denoted as ( u t o t a l 2 x 1 ), is defined as follows:
u t o t a l 2 x 1 = g x 2 x 2 1 ( q ¨ d 2 x 1 f x 2 x 1 ζ t , u t 2 x 1 + k d 2 x 2 k p 2 x 2 D α + 2 e ( t ) 2 x 1 + k i 2 x 2 k p 2 x 2 D 2 α { e t ) 2 x 1 + λ 2 x 2 s t 2 x 1 + µ 2 x 2 s i g n s ˙ t 2 x 1 )
By applying the adaptation law, the controller function of FO-APIDSMC can be reformulated as follows:
u t o t a l 2 x 1 = g x 2 x 2 1 ( q ¨ d 2 x 1 f x 2 x 1 ζ t , u t 2 x 1 + k d 2 x 2 k p 2 x 2 D α + 2 e ( t ) 2 x 1 + k i 2 x 2 k p 2 x 2 D 2 α { e ( t ) 2 x 1 } ) + g x 2 x 1 1 λ ^ 2 x 2 s t 2 x 1 + µ ^ 2 x 2 s i g n s ˙ t 2 x 1
The chattering effect can be amplified by the signum function by increasing the switching gain value, as expressed in Equation (60). To avoid this scenario, the function ( u t o t a l 2 x 1 ) is defined as follows:
u t o t a l 2 x 1 = g x 2 x 2 1 ( q ¨ d 2 x 1 f x 2 x 1 ζ t , u t 2 x 1 + k d 2 x 2 k p 2 x 2 D α + 2 e ( t ) 2 x 1 + k i 2 x 2 k p 2 x 2 D 2 α { e ( t ) 2 x 1 } ) + g x 2 x 1 1 λ ^ 2 x 2 s t 2 x 1 + µ ^ 2 x 2 s a t s ˙ t 2 x 1
where s a t s ˙ t 2 x 1 = s i g n s ˙ t 2 x 1 ,   s ˙ t 2 x 1 > δ > 0 s ˙ t 2 x 1 δ ,         s ˙ t 2 x 1 δ , and δ is a small positive constant.

5. Experimental Results

The experimental system used in this study is shown in Figure 8. This system, produced by Quanser 2023 SP2, operates with MATLAB Simulink. The necessary data for the system are obtained using the Quanser Q8 data acquisition card (Qunser Q8-USB Data Acquisition Device (Markham, ON, Canada). Web address: https://www.quanser.com/products/q8-usb-data-acquisition-device/) (accessed on 11 September 2024). For real-time position control experiments of the liquid level system, FF-PI, CNPIR, and FO-APIDSMC controllers were implemented in the MATLAB-Simulink program (v2023b), as shown in Figure 8. In the experiment, reference position changes were initially defined for each controller design. These reference position changes were used to obtain error variations by comparing them with the liquid level in Tank 1 and Tank 2 (Qunser Coupled Tanks, https://www.quanser.com/products/coupled-tanks/ (accessed on 11 September 2024)). These error variations were then provided as inputs to the controllers. Based on the mathematical equations defined according to the error variations, pump control signals were defined for the system. These control signals were applied directly to the system via the pump, and the liquid level changes were observed.

5.1. Results of Tank 1

Considering the system dynamics, the best parameter values for the controllers were provided to the system, and the control performances of the FF-PI, CNPIR, and FO-APIDSMC controllers for Tank 1 were obtained, as shown in Figure 9. In the experiments, the best controller parameters determined for Tank 1 are presented in Table 2. To achieve these optimal sensitivity parameters, simulation studies were first conducted. During the simulation studies, suitable parameter ranges were defined using a trial-and-error method. In real-time experiments, small variations were made to these parameters to obtain the optimal controller gain values.
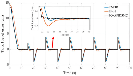
The error of the Tank 1 level in the real-time process can be described as the discrepancy between the provided reference and the actual measured trajectory. In the provided Figure 10, the tracking error of Tank 1 under the control of FF-PI, CNPIR, and FO-APIDSMC controllers is visualized. As seen, the FO-APIDSMC controller produces the most stable and robust performance in terms of error tracking compared to the other controllers. Its error curve (black line) maintains close proximity to zero with minimal overshoot and faster convergence to steady-state. The reduced error values indicate the superior performance of FO-APIDSMC in terms of precision and stability, especially in handling rapid setpoint changes. This enhanced performance is due to the FO-APIDSMC’s adaptive capabilities, which allow it to adjust to dynamic changes more effectively than the CNPIR and FF-PI controllers. The zoomed section (32–40 s) highlights that the FO-APIDSMC controller significantly outperforms the others in minimizing tracking error, reinforcing its advantage in providing a more accurate control response under transient conditions. This superiority of FO-APIDSMC is crucial for applications requiring high-precision control, such as liquid level regulation in industrial processes. In Figure 10, the square wave reference exhibits a minimal error percentage for the suggested FO-APIDSMC method, while the step reference shows a maximum error percentage of around 1.39% for the CNPIR method. In FO-APIDSMC, the maximum exceedance error value is negligible.
To demonstrate the effectiveness of the proposed FO-PIDSMC controller compared to the FF-PI and CNPIR controller, the integral square error (ISE) values, as formulated in Equation (62), were calculated. In this article, the control capability of the system was compared based on the integral square error, considering the changes in the h delay parameter, the application of the disturbance, and the duration of the disturbance.
I S E = 0 t e t 2 d t
The ISE error values of the graph obtained in Figure 10, comparing the control controllers without applying any disturbance to the system, are provided in Table 3. As seen, a lower ISE error value was achieved with the proposed FO-APIDSMC controller technique. The ISE error values obtained for the designed system with the FO-APIDSMC controller, according to the changes in the h delay parameter, are provided in Table 4. The results show that the ISE error value increases significantly when the h delay parameter exceeds 200 milliseconds. It was concluded that the increase in error value is related to the system’s response time.
In order to prove that the FO-APIDSMC control method can perform better than the FF-PI and CNPIR controller, a liquid level position control experiment was conducted and compared. It was observed that the FO-APIDSMC controller could follow the reference better without overshooting and had better steady-state error performance compared to the FF-PI and CNPIR controllers. The signals for the FF-PI, CNPIR, and FO-APIDSMC controllers were obtained, as shown in Figure 11.
In order to evaluate the performance of the FF-PI, CNPIR, and FO-APIDSMC controllers against instantaneous disturbances, instantaneous disturbances of different durations and intervals were applied in the experimental setup. To apply these disturbances, the external outlet valve located at the bottom of Tank 1, as shown in Figure 12, was used.
In order to obtain the response of the proposed controller technique to undesirable situations, the system’s drainage tap was opened every 10 s by external intervention into the system, as seen in Figure 12. This valve was fully opened for 10 s in each interval shown in Figure 13, causing the liquid level in Tank 1 to suddenly decrease. Since the amplitude and magnitude of the suddenly changing disturbance could not be directly measured, this situation became an unmeasurable disturbance for the system.
As shown in Figure 13, the response of the Tank 1 control system to the applied disturbance, based on the ISE error values obtained from the control controllers, is provided in Table 5.
It is evident that the FO-APIDSMC controller performs better than the FF-PI and CNPIR controllers against disturbances applied at different durations and intervals. Against disturbances, the FO-APIDSMC controller exhibited less oscillation and responded faster to the system. Furthermore, its ability to follow the reference signal without overshooting proves its superior performance compared to the FF-PI and CNPIR controllers. As seen in Figure 13, during disturbances lasting 10 s in each interval, the FO-APIDSMC controller generated control signals to quickly bring the liquid level close to the reference value by minimizing the error and forcing the system to stay at the reference value. When the duration and interval of the disturbance, as shown in Figure 13, are increased, it is concluded that the FO-APIDSMC control controller responds better to disturbances compared to the FF-PI and CNPIR controllers. Examining the obtained graphs and the ISE error values, it was concluded that the proposed FO-APIDSMC control technique can control the liquid level in Tank 1 better than the FF-PI and CNPIR controllers.

5.2. Results of Tank 2

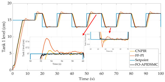
Finally, we applied the same step trajectory to Tank 2 to showcase the performance of the proposed controller. In this setup, Tank 1’s controller calculates the reference level, and Tank 2’s controller is what determines the pump voltage command to ensure that the actual liquid level follows the given reference. As shown in Figure 14, Figure 15 and Figure 16, the proposed FO-APIDSMC controller provides a rapid response with minimal overshoot and precise trajectory tracking compared to the FF-PI and CNPIR controller. Similarly, real-time results indicate that the proposed controller performs well for the Tank 2 configuration. Table 6 presents the optimal controller parameters for Tank 2, determined through experimentation.
As can be seen in Figure 14 and Figure 15, the proposed FO-APIDSMC method exhibited better performance than FF-PI and CNPIR controllers. The percentage overshoot value (Mp) was 0.11% in FO-APIDSMC and 0.47% in CNPIR, while it was 2.65% in FF-PI. The settling time (Ts) was 24.4 s in FO-APIDSMC and 27.4 s in CNPIR, while it was 32.98 s in FF-PI. To demonstrate the effectiveness of the proposed FO-APIDSMC controller compared to the CNPIR and FF-PI controllers, the integral square error (ISE) values, as formulated in Equation (62), were calculated for Tank 2. The ISE error values of the graph obtained in Figure 15 are provided in Table 7. As can be seen from Table 7, lower ISE values are obtained in FO-APIDSMC due to the robust control signal of the FO-APIDSMC controller shown in Figure 16. In the provided Figure 16, the control signals for Tank 2 under three different control strategies, FF-PI, CNPIR, and the proposed FO-APIDSMC, are shown over time. The FO-APIDSMC control demonstrates a significantly robust response, evidenced by smoother control signal transitions and better disturbance rejection compared to FF-PI and CNPIR. The FO-APIDSMC maintains more stable control inputs, leading to a lower Integral Squared Error (ISE), which reflects its superior performance in reducing oscillations and ensuring precise control of the system’s dynamics. The signal output of FO-APIDSMC displays less variance and sharper correction when compared to the others, making it a more efficient choice for controlling nonlinear systems such as the coupled tank system. This is particularly important in minimizing energy consumption and wear on actuators, further highlighting the advantages of the proposed method.

6. Conclusions

This study evaluated the effectiveness of three advanced control strategies in real-time applications: the cascade nonlinear feedforward proportional integral retarded (CNPIR) controller, the feedforward–proportional integral (FF-PI) controller, and the fractional order adaptive PID-type sliding mode control (FO-APIDSMC) method. The CNPIR controller, applied to an industrial liquid level system for the first time, showed improvements in control accuracy and disturbance handling compared to the classical PI controller. However, while the FF-PI controller improved response time, it displayed limitations in handling external disturbances and nonlinearities. Although the FF-PI controller produced faster responses, its performance fell short when compared to the more advanced CNPIR and FO-APIDSMC techniques, particularly in dynamic scenarios.
The FO-APIDSMC controller, which was introduced as a more advanced option, used fractional calculus and adaptive sliding mode control to perform a better job than both the CNPIR and FF-PI controllers. This method provided chattering-free control, finite-time convergence, and significantly increased trajectory tracking accuracy. The adaptive component of FO-APIDSMC automatically adjusted to system uncertainties, further enhancing robustness. The tests showed that FO-APIDSMC not only worked better than the CNPIR and FF-PI controllers but also provided a more accurate and dependable way to manage complex dynamic systems in real-time. In addition, the proposed FO-APIDSMC controller integrates fractional-order and adaptive techniques simultaneously. For the first time, we have applied this proposed strategy in real-time to a liquid level system. This approach allows for superior performance in both tracking precision and disturbance rejection control for nonlinear and uncertain dynamic processes. Future studies will concentrate on developing and implementing hybrid control strategies that integrate artificial intelligence (AI) or machine learning (ML) techniques into the FO-APIDSMC framework.

Author Contributions

Conceptualization, K.K.A. and A.D.; methodology, A.D. and K.K.A.; software, A.D. and K.K.A.; validation, A.D., K.K.A., S.G. and E.T.; formal analysis, A.D. and K.K.A.; investigation, A.D. and K.K.A.; data curation, A.D. and G.K.; writing—original draft preparation, A.D. and K.K.A.; writing—review and editing, K.K.A. and A.D.; visualization, K.K.A. and A.D.; supervision, A.D.; project administration, A.D. and K.K.A.; funding acquisition, K.K.A. All authors have read and agreed to the published version of the manuscript.

Funding

This research received no external funding.

Institutional Review Board Statement

Not applicable.

Informed Consent Statement

Not applicable.

Data Availability Statement

The supporting data of this article will be made available by the authors upon request.

Conflicts of Interest

The authors declare no conflicts of interest.

References

  1. Ahmed, S.; Khan, M. Enhancements in Cascade Control Systems for Complex Industrial Applications. J. Process Control 2022, 47, 345–356. [Google Scholar]
  2. Chen, L.; Rossiter, J.A. Time Delay Compensation Techniques in Feedback Control Systems. IEEE Trans. Ind. Electron. 2023, 70, 1024–1033. [Google Scholar]
  3. de Jesús Rubio, J.; Hernandez, M.A.; Rosas, F.J.; Orozco, E.; Balcazar, R.; Pacheco, J. Genetic High-Gain Controller to Improve the Position Perturbation Attenuation and Compact High-Gain Controller to Improve the Velocity Per-turbation Attenuation in Inverted Pendulums. Neural Netw. 2024, 170, 32–45. [Google Scholar] [CrossRef] [PubMed]
  4. de Jesús Rubio, J. Bat Algorithm Based Control to Decrease the Control Energy Consumption and Modified Bat Algorithm Based Control to Increase the Trajectory Tracking Accuracy in Robots. Neural Netw. 2023, 161, 437–448. [Google Scholar] [CrossRef] [PubMed]
  5. Xie, X.; Wei, C.; Gu, Z.; Shi, K. Relaxed Resilient Fuzzy Stabilization of Discrete-Time Takagi–Sugeno Systems via a Higher Order Time-Variant Balanced Matrix Method. IEEE Trans. Fuzzy Syst. 2022, 30, 5044–5050. [Google Scholar] [CrossRef]
  6. de Jesús Rubio, J.; Orozco, E.; Cordova, D.A.; Hernandez, M.A.; Rosas, F.J.; Pacheco, J. Observer-Based Differential Evolution Constrained Control for Safe Reference Tracking in Robots. Neural Netw. 2024, 175, 106273. [Google Scholar] [CrossRef]
  7. Qiu, J.; Wang, T.; Sun, K.; Rudas, I.J.; Gao, H. Disturbance Observer-Based Adaptive Fuzzy Control for Strict-Feedback Nonlinear Systems with Finite-Time Prescribed Performance. IEEE Trans. Fuzzy Syst. 2021, 30, 1175–1184. [Google Scholar] [CrossRef]
  8. García-Chávez, R.E.; Silva-Ortigoza, R.; Hernández-guzmáN, V.M.; Marciano-Melchor, M.; Orta-Quintana, Á.A.; García-Sánchez, J.R.; Taud, H. A Robust Sliding Mode and PI-Based Tracking Control for the MIMO “DC/DC Buck Converter–Inverter–DC Motor” System. IEEE Access 2023, 11, 119396–119408. [Google Scholar] [CrossRef]
  9. Xia, Y.; Hu, G. Adaptive Control of Nonlinear Systems with Disturbance Rejection Capabilities. Int. J. Control 2020, 93, 1550–1564. [Google Scholar]
  10. Zhang, Y.; Chen, X. Study on the Robustness of Cascade Control Systems in Environments with High Nonlinearity and Unpredictable Disturbances. J. Ind. Control Syst. 2018, 42, 187–205. [Google Scholar]
  11. Li, Z.; Wang, L. Delay Compensation Techniques in Nonlinear Cascade Control Systems: Applications in Chemical Process Industries. Chem. Process Control J. 2019, 55, 102–118. [Google Scholar]
  12. Martínez, C.; Vázquez, E. Comparative Study of Advanced Control Strategies in Energy Systems: The Role of Cascade Nonlinear FF-PI Retarded Controllers. Energy Syst. J. 2021, 34, 467–482. [Google Scholar]
  13. Wang, H.; Zhao, L. Nonlinear Control Strategies in Industrial Automation: Integration of Delay Compensation Techniques within Cascade Control Structures. Int. J. Ind. Autom. 2021, 59, 331–348. [Google Scholar]
  14. Liu, Y.; Shen, J. Adaptive Control Approaches in Industrial Systems: Challenges and Solutions for Nonlinearities and Time Delays. Ind. Control Eng. J. 2020, 78, 212–229. [Google Scholar]
  15. Qin, S.; Zhang, P. Enhancing Cascade Control Systems in the Chemical Industry: A Detailed Study on Delay Compensation. Chem. Process Control J. 2023, 66, 33–50. [Google Scholar]
  16. Gao, X.; Sun, Y. Time-Delay Compensation in Energy Management Systems: The Role of Cascade Nonlinear FF-PI Retarded Controllers. Energy Manag. J. 2022, 41, 109–123. [Google Scholar]
  17. Kumar, R.; Gupta, S. Application of Cascade Control in Automotive Engine Control Systems: Advantages of FF-PI Retarded Controllers. Automot. Control J. 2023, 50, 78–94. [Google Scholar]
  18. Fernández, J.; Rodríguez, P. Advanced Control Strategies in Process Industries with Significant Time Delays: A Comparison of Cascade Nonlinear FF-PI Retarded Controllers and Traditional PID Controllers. Process Eng. J. 2021, 89, 291–306. [Google Scholar]
  19. Chen, Q.; Li, J. Real-Time Control of Thermal Processes with Significant Transport Delays: Evaluating Cascade Nonlinear FF-PI Retarded Controllers. Therm. Process Control J. 2022, 37, 244–259. [Google Scholar]
  20. Wang, X.; Zhou, D. Real-Time Control in Robotics: The Impact of FF-PI Retarded Controllers on Stability and Precision. Robot. Eng. J. 2023, 29, 165–183. [Google Scholar]
  21. López, K.; Garrido, R.; Mondié, S. Cascade Proportional Integral Retarded Control of Servodrives. Proc. Inst. Mech. Eng. Part I J. Syst. Control. Eng. 2018, 232, 662–671. [Google Scholar] [CrossRef]
  22. Hemlata, K.; Varshney, P. Development of Fractional Order Controller for Water Level Coupled Tank System Using Different Optimization Techniques. In Soft Computing Applications in Modern Power and Energy Systems; Springer: Berlin/Heidelberg, Germany, 2023. [Google Scholar]
  23. Hemlata, K.; Varshney, P. Fractional-order PID Controller Optimization for Nonlinear Coupled-tank Systems Using Hybrid Algorithms. In Soft Computing Applications in Modern Power and Energy Systems; Springer: Berlin/Heidelberg, Germany, 2023. [Google Scholar]
  24. Mishra, P.K.; Das, S. Design and Implementation of Fractional Order PID Controller for Coupled Tank System. Int. J. Dyn. Control 2019, 7, 468–475. [Google Scholar]
  25. Radwan, A.G.; Abdelwahab, A. Performance Evaluation of Fractional-order PID Controllers on the Coupled Tank System. IEEE Access 2018, 6, 36012–36020. [Google Scholar]
  26. Kaur, G.; Brar, Y.S. Optimal Tuning of Fractional Order Controllers for a Coupled Tank System. J. Autom. Control Eng. 2020, 8, 90–97. [Google Scholar]
  27. Ziegler, M.; Wang, Y.; Kumar, P.; Singh, P.; Mishra, P.K. Real-time Adaptive PID Controller for Nonlinear Systems in Multi-variable Process Control. J. Control. Sci. Eng. 2020, 12, 45. [Google Scholar]
  28. Wang, Y.; Singh, D.; Patel, R.; Lee, C.; Park, J. Adaptive PID Control for Coupled Tank Liquid Systems with Nonlinearity Considerations. Int. J. Process Control. 2019, 34, 124. [Google Scholar]
  29. Gupta, D.; Patel, R. Multi-objective Optimization for Adaptive PID Controllers in Industrial Process Systems: A Case Study on Coupled Tanks. Int. J. Control. Autom. Syst. 2021, 19, 900. [Google Scholar]
  30. Lee, C.; Park, J. A Multi-objective Optimization Approach for Tuning PID Controllers in Complex Liquid Level Systems. J. Process Control Eng. 2019, 48, 89. [Google Scholar]
  31. Kumar, R.; Singh, P. Diagnostic Technologies for Real-Time Adaptive PID Control in Multi-Tank Systems. J. Process Diagn. Control 2022, 9, 45. [Google Scholar]
  32. Saad, M.; Ramadhan, A. Sliding Mode Control of Nonlinear Coupled Tank Systems. WSEAS Trans. Syst. 2019, 18, 35–44. [Google Scholar]
  33. Meng, X.; Yu, H.; Wu, H.; Xu, T. Disturbance Observer-based Integral Backstepping Control for Two-tank Liquid Level Systems Subject to External Disturbances. Math. Probl. Eng. 2020, 2020, 598345. [Google Scholar] [CrossRef]
  34. Khandani, M.; Shahgholian, G. Design of Adaptive Sliding Mode Control Based on Reaching Law for Nonlinear Coupled Tank System. Meas. Control 2020, 53, 1132–1144. [Google Scholar]
  35. Abu Khadra, F.; Abu Qudeiri, J. Second-order Sliding Mode Control of Coupled Tanks. Math. Probl. Eng. 2015, 2015, 795301. [Google Scholar] [CrossRef]
  36. Aras, M.S.M.; Jusoh, M.H.; Mustafa, M.W.; Rashid, M.Z.A. Sliding Mode Control with Integral Action for Coupled Tank Liquid Level System. Int. J. Autom. Control 2016, 23, 87–92. [Google Scholar]
  37. Khan, N.; Jan, F.; Ali, Z.; Hussain, F. Adaptive Sliding Mode Control for Nonlinear Coupled Tank System Using PID Approach. Int. J. Control Autom. 2023, 16, 82–91. [Google Scholar]
  38. Singh, R.; Kumar, P. Hybrid Adaptive PID Sliding Mode Control for Coupled Tank System. J. Control Eng. Appl. Inform. 2021, 23, 23–32. [Google Scholar]
  39. Qiao, Y.; Zhang, L.; Hu, M. Adaptive PID Sliding Mode Control for Coupled Liquid Level Systems with External Disturbances. IEEE Trans. Control Syst. Technol. 2020, 28, 1839–1847. [Google Scholar]
  40. Roy, S.; Das, T. Robust Adaptive Sliding Mode Control of Coupled Tank System. Int. J. Autom. Comput. 2019, 16, 241–254. [Google Scholar]
  41. Dumlu, A.; Ayten, K.K. A Combined Control Approach for Industrial Process Systems Using Feedforward and Adaptive Action Based on Second Order Sliding Mode Controller Design. Trans. Inst. Meas. Control. 2019, 41, 1160. [Google Scholar] [CrossRef]
  42. Başçi, A.; Sekban, H.T.; Can, K. Real-Time Application of Sliding Mode Controller for Coupled Tank Liquid Level System. Int. J. Appl. Math. Electron. Comput. 2016, 4, 301–306. [Google Scholar] [CrossRef]
  43. Das, S. Functional Fractional Calculus for System Identification and Controls; Springer: Berlin/Heidelberg, Germany, 2008. [Google Scholar]
Figure 1. The coupled-tank recirculating system.
Figure 1. The coupled-tank recirculating system.
Applsci 14 09955 g001
Figure 2. Feedforward PI control block diagram for Tank 1 experiment.
Figure 2. Feedforward PI control block diagram for Tank 1 experiment.
Applsci 14 09955 g002
Figure 3. Feedforward PI control block diagram for Tank 2 experiment.
Figure 3. Feedforward PI control block diagram for Tank 2 experiment.
Applsci 14 09955 g003
Figure 4. CNPIR controller block diagram.
Figure 4. CNPIR controller block diagram.
Applsci 14 09955 g004
Figure 5. The PID-SMC block diagram for industrial process system.
Figure 5. The PID-SMC block diagram for industrial process system.
Applsci 14 09955 g005
Figure 6. The APIDSMC block diagram for industrial process system.
Figure 6. The APIDSMC block diagram for industrial process system.
Applsci 14 09955 g006
Figure 7. The proposed FO-APIDSMC block diagram for wheeled mobile robot.
Figure 7. The proposed FO-APIDSMC block diagram for wheeled mobile robot.
Applsci 14 09955 g007
Figure 8. Schematic representation of Quanser liquid level system.
Figure 8. Schematic representation of Quanser liquid level system.
Applsci 14 09955 g008
Figure 9. Control performances of the FF-PI, CNPIR, and FO-APIDSMC controllers for Tank 1.
Figure 9. Control performances of the FF-PI, CNPIR, and FO-APIDSMC controllers for Tank 1.
Applsci 14 09955 g009
Figure 10. Tracking error for Tank 1 configuration.
Figure 10. Tracking error for Tank 1 configuration.
Applsci 14 09955 g010
Figure 11. Tank 1 level control signs.
Figure 11. Tank 1 level control signs.
Applsci 14 09955 g011
Figure 12. Tank 1 liquid level control giving instant disturbance effect.
Figure 12. Tank 1 liquid level control giving instant disturbance effect.
Applsci 14 09955 g012
Figure 13. Square wave responses during disturbance for Tank 1 configuration.
Figure 13. Square wave responses during disturbance for Tank 1 configuration.
Applsci 14 09955 g013
Figure 14. Control performances of the FF-PI, CNPIR, and FO-APIDSMC controllers for Tank 2.
Figure 14. Control performances of the FF-PI, CNPIR, and FO-APIDSMC controllers for Tank 2.
Applsci 14 09955 g014
Figure 15. Tracking error for Tank 2 configuration.
Figure 15. Tracking error for Tank 2 configuration.
Applsci 14 09955 g015
Figure 16. Control input for Tank 2 configuration (FF-PI, CNPIR, and FO-APIDSMC).
Figure 16. Control input for Tank 2 configuration (FF-PI, CNPIR, and FO-APIDSMC).
Applsci 14 09955 g016
Table 1. Liquid level system parameters.
Table 1. Liquid level system parameters.
DescriptionSymbolValue and Unit
Constant of Pump Flow K p 3.3 c m 3 / s / V
Gravitational constant g 981 c m s 2
Tank 1 and 2 Outlet Areas a 1 = a 2 0.1781 c m 2
Tank 1 and 2 Inside Cross-Section Areas A 1 = A 2 15.5179 c m 2
Table 2. Controller parameters for Tank 1.
Table 2. Controller parameters for Tank 1.
FF-PI Parameters
K p 1 = 7.0152 K i 1 = 9.2061 K f f 1 = 2.354
CNPIR Control Parameters
Square WaveG = 0.422h = 0.0025 K p = 0.84 K i = 25 K i r = 0.014
FO-APIDSMC Control Parameters
k p 1 = 4.11 , k i 1 = 2.28 k d 1 = 0.35 , ρ 1 = 12.1 , γ 1 = 11.6 , δ = 0.01 , α 1 = 0.34
Table 3. ISE values without disturbance according to controllers for Tank 1.
Table 3. ISE values without disturbance according to controllers for Tank 1.
FF-PICNPIRFO-APIDSMC
ISE684.2587.7452.4
Table 4. ISE values according to CNPIR h parameter change.
Table 4. ISE values according to CNPIR h parameter change.
Controllerh ValueISE
CNPIR2 ms587.7
CNPIR10 ms595.2
CNPIR90 ms607.8
CNPIR100 ms622.2
CNPIR200 ms635.4
CNPIR300 ms665.7
CNPIR1 s698.7
Table 5. ISE values with disturbance according to controllers for Tank 1.
Table 5. ISE values with disturbance according to controllers for Tank 1.
FF-PICNPIRFO-APIDSMC
ISE795.2675.3532.1
Table 6. Controller parameters for Tank 2.
Table 6. Controller parameters for Tank 2.
FF-PI Parameters
K p 2 = 5.29 K i 2 = 1.68 K f f 2 = 1
CNPIR control parameters
Square Wave G = 1.12h = 0.11 K p = 10 K i = 0.32 K i r = 0.61
FO-APIDSMC Control Parameters
k p 2 = 8.42 , k i 2 = 6.36 k d 2 = 1.40 , ρ 2 = 21 , γ 2 = 18.2 , δ = 0.02 , α 1 = 0.37
Table 7. ISE values for Tank 2.
Table 7. ISE values for Tank 2.
FF-PICNPIRFO-APIDSMC
ISE1756.31595.71324.2
Disclaimer/Publisher’s Note: The statements, opinions and data contained in all publications are solely those of the individual author(s) and contributor(s) and not of MDPI and/or the editor(s). MDPI and/or the editor(s) disclaim responsibility for any injury to people or property resulting from any ideas, methods, instructions or products referred to in the content.

Share and Cite

MDPI and ACS Style

Ayten, K.K.; Dumlu, A.; Golcugezli, S.; Tusik, E.; Kalınay, G. Comparative Real-Time Study of Three Enhanced Control Strategies Applied to Dynamic Process Systems. Appl. Sci. 2024, 14, 9955. https://doi.org/10.3390/app14219955

AMA Style

Ayten KK, Dumlu A, Golcugezli S, Tusik E, Kalınay G. Comparative Real-Time Study of Three Enhanced Control Strategies Applied to Dynamic Process Systems. Applied Sciences. 2024; 14(21):9955. https://doi.org/10.3390/app14219955

Chicago/Turabian Style

Ayten, Kagan Koray, Ahmet Dumlu, Sadrettin Golcugezli, Emre Tusik, and Gurkan Kalınay. 2024. "Comparative Real-Time Study of Three Enhanced Control Strategies Applied to Dynamic Process Systems" Applied Sciences 14, no. 21: 9955. https://doi.org/10.3390/app14219955

APA Style

Ayten, K. K., Dumlu, A., Golcugezli, S., Tusik, E., & Kalınay, G. (2024). Comparative Real-Time Study of Three Enhanced Control Strategies Applied to Dynamic Process Systems. Applied Sciences, 14(21), 9955. https://doi.org/10.3390/app14219955

Note that from the first issue of 2016, this journal uses article numbers instead of page numbers. See further details here.

Article Metrics

Back to TopTop