Featured Application
Storage conditions for solid sidestreams for improved shelf-life and safety of upcycled products such as food, feed, and value-added products.
Abstract
Brewer’s spent grain (BSG) and spent coffee ground (SCG) are solid sidestreams from beverage production increasingly being upcycled into food, feed and other value-added products. These solid sidestreams are prone to microbial spoilage, negatively impacting their upcycling potential. Three samples each of BSG and SCG were obtained from generators and recycling facilities in Singapore, and their chemical, elemental, and microbial composition was characterized. The spoilage mechanisms were investigated during storage under anaerobic and aerobic conditions. Bacterial loads of sidestreams were low from craft brewery and café sources (<1 and 3.53 ± 0.03 log10 CFU/g) and high from recycling facilities (>6 log10 CFU/g). The microbiome of BSG from recycling facilities was dominated by Bacilli, and B. coagulans was identified as the most prevalent species. SCG from recycling facilities was dominated by lactic acid bacteria, with L. panis being the most prevalent species. Storage up to 14 days under anaerobic conditions led to further bacterial proliferation mainly by Bacilli, lactic acid bacteria, and acetic acid bacteria, while aerobic storage led to extensive fungal contamination, including potential aflatoxin-producing Aspergillus flavus. The results shed light on the spoilage mechanisms, while highlighting the short shelf-life and food safety risks of BSG and SCG to inform valorization strategies.
1. Introduction
Approximately one-third of all produced food is lost or wasted, amounting to a staggering 1.3 billion tons in 2007 [1], a figure estimated to almost have doubled to 2.5 billion tons in 2021 [2]. Industrialized Asia and South and Southeast Asia together account for about 50% of global food waste [1], and the city-state of Singapore generated 755,000 tons of food waste in 2023, with only 18% being recycled [3]. Minimizing and valorizing food waste is receiving increasing attention to prevent the associated greenhouse gas emissions and to improve water, energy, and food security [4,5,6]. Solid sidestreams from beverage production, such as brewer’s spent grain (BSG) from beer brewing and spent coffee ground (SCG) from coffee brewing are prevalent in industrialized countries and urban environments. An estimated 36.4 million tons of BSG and 15.3 million tons of SCG are produced annually on a global scale [7,8].
BSG is nutritionally rich in dietary fiber and protein, containing arabinoxylan and β-glucan and a high proportion of essential amino acids, and is a promising source of human nutrition [7]. BSG protein predominantly contains hordeins, which can be extracted and processed to have functional properties such as emulsifying and foaming capacity suitable for a range of food formulations [9]. A recent market survey identified 125 products containing BSG-derived ingredients, the majority being snacks and bakery products, but also pasta, cereal, meat alternatives, and more [7]. BSG also has potential use in biotechnological processes, such as bioethanol, enzyme production, and other fermentation processes [10]. However, BSG has a high moisture content and is prone to spoilage; therefore, it is typically valorized for animal feed and biogas, while the remainder is landfilled [11,12]. The shelf-life has variously been reported to be 2 days [13], 3–5 days [11], and 7–10 days on average [14], due to differences in definitions of shelf-life and storage conditions [15]. Spoilage is caused by excessive microbial growth, leading to dry matter and nutritional losses, unpleasant odors, low palatability, and even toxin formation [11].
The culturable microbiome of BSG has previously been investigated by Robertson et al. [16] and found to predominantly consist of spores of aerobic thermophilic bacteria capable of surviving the mashing temperatures between 65 °C and 76 °C [17], while microaerophilic (e.g., LAB) and anaerobic bacteria (e.g., Clostridia) are thought to proliferate post-production. Robertson et al. [18] also investigated the microbiome and storage of BSG at different temperatures under aerobic conditions, but without environmental exposure. They found bacteria total plate counts to reach approximately 8 log10 CFU/g for mesophilic bacteria and 6 log10 CFU/g for thermophilic bacteria by day 16 at 20 °C, with most of the growth happening before day 3 and stabilizing by day 7 [18]. Fungal genera such as Aspergillus, Fusarium, Penicillium, Alternaria, and Rhizopus capable of mycotoxin production have all been found in barley grains, and the associated mycotoxins have been found in beer, malted barley, and BSG after 30 days of storage in gunnysacks [7,15,19]. Now, with the advent of advancements in molecular profiling and metagenomics, additional insights may be gleaned from the microflora biology on these economically important residues.
With respect to coffee, SCG predominantly comprises insoluble dietary fiber, proteins, lipids, and a variety of phenolic compounds [20,21] and is rich in bioactive compounds, including prebiotics, which can promote gut health [22]. In the food industry, SCG is being upcycled into functional foods and dietary supplements, tapping into the growing trend of sustainable and health-focused consumption [23,24]. The lipids present in SCG can be extracted for biodiesel production, offering a sustainable energy alternative [8,25]. Additionally, SCG extracts contain potent bioactive compounds with anti-inflammation, anti-cancer, anti-microbial, and anti-fungal properties making them promising candidates for nutraceuticals, cosmetics, preservatives, and biocides [26,27,28,29]. At the time of writing, there are no published reports on the shelf-life or microbiome of SCG.
Fresh coffee cherries contain a natural microbiome, which may be harnessed in spontaneous fermentation to remove the cherry pulp surrounding the bean [30]. Such spontaneous fermentation shows a highly diverse bacterial microbiome comprising 160 genera, but with a majority of LAB, especially Leuconostoc and Lactobacillus, with over 60% relative prevalence [30]. The fungal microbiome is more homogeneous, with Pichia, Candida, and Dipodascus being the prominent genera, with over 90% of the fungal relative prevalence. Yeasts, such as Saccharomyces, Torulaspora, and Candida, have been used as starter cultures for coffee fermentation [31]. However, most of the natural or introduced microbiome of green coffee beans is eliminated in the roasting process, with the exception of some spores, especially of molds, which can survive the roasting temperatures [32]. Therefore, the microbiome of SCG can be expected to be distinct from that of coffee products. Molds, or filamentous fungi, have been found to be the major spoilage-causing microorganisms in SCG, with a prevalence of genera such as Aspergillus, Fusarium, and Penicillium known to potentially produce mycotoxins [32]. Such fungal contamination also represents an occupational risk factor in coffee roasting, milling, and packaging facilities, where Aspergillus is widespread in the environment, and Cladosporium, Penicillium, Chrysosporium, Mucor, and Rhizopus have been observed on coffee grains [33]. Typical microbial loads in roasted coffee are around 2 log10 CFU/g for fungi and around 3 log10 CFU/g for bacteria [33]. After brewing in hot water at 90 °C, the microbial load reduces significantly to an average of 3 CFU/mL in brewed coffee [32]. Cold brew coffee is brewed at a lower temperature but still has a low CFU/mL, typically <25 CFU/mL, and microbial spoilage is not a concern [34].
As these solid sidestreams are increasingly being used for food, feed, and cosmetic purposes, understanding their shelf-life and spoilage characteristics becomes important, and metagenomic analysis tools can provide new insights into the microbial dynamics in these residues. This study investigates the properties and microbiome of three different samples of BSG and SCG, as received and after industrially relevant storage in tropical conditions in Singapore. The findings highlight issues in the logistics and storage of solid sidestreams and inform choices on suitable handling before the valorization of solid sidestreams in industrialized Asia.
2. Materials and Methods
2.1. Solid Sidestreams
Brewer’s spent grain (BSG) was procured from a craft brewery (Alive Brewing Company, Singapore) and two recycling facilities (Tiong Lam Supplies and Envcares) in Singapore. Spent coffee ground (SCG) was procured from a café (Little Big Coffee Roasters, Singapore) and a recycling facility (Tiong Lam Supplies, Singapore). Samples from the craft brewery and café were collected in the evening on the same day as the BSG and SCG were produced, while samples from the recycling facilities were collected in the morning of the day subsequent to production, as the solid sidestreams are stored in bins in ambient conditions during the day before collection and transport to the recycling facility at night. Samples weighing 5 kg to 25 kg were collected in clean plastic ziplock bags, and fresh samples were immediately taken for analysis of moisture content, pH measurement, and microbiome characterization, with the remainder being either frozen at −80 °C or freeze-dried (Martin Christ, Osterode, Germany) for compositional analysis of total carbon and total nitrogen. The time from production to analysis and freezing of the solid sidestreams from the craft brewery and café is estimated to be 3 h to 6 h, and for recycling facility samples, 12 h to 24 h. The sample codes, source and collection is summarized in Table 1.
Table 1.
Sample code, source, and description of the brewer’s spent grain (BSG) and spent coffee ground (SCG) investigated in this study.
2.2. Chemical and Elemental Analysis
The moisture content of the materials was measured by the difference in weight before and after the freeze-drying of samples to complete dryness (no additional weight loss) after 2–3 days. Following that, the solution pH was measured by adding an equivalent mass of distilled water to the freeze-dried sample, equilibrating, and measuring the pH of the resultant slurry. Total carbon (TC) was measured on freeze-dried samples on a TOC-LCPH (Shimadzu, Kyoto, Japan) equipped with a solid-state module SSM-5000A (Shimadzu, Kyoto, Japan). Total nitrogen (TN) was measured on freeze-dried samples using Kjeldahl methodology (FC212 Kjeldahl, AOAC Official Methods; ALS, Singapore), and a Kjeldahl factor of 6.25 was applied to calculate crude protein from total nitrogen.
2.3. Total Plate Counts, Microbial Isolation and Identification
Total plate counts (TPCs) and microbial isolates were obtained from 10 to 25 g samples diluted 10-fold in sterile phosphate-buffered saline (PBS) solution and mixed for 1 min in a BagMixer 400 (Interscience, Saint Nom la Bretêche, France). A volume of 50 mL of filtered liquid was aliquoted and subjected to serial dilution in PBS, obtaining dilution ratios of 10−1, 10−2, 10−3, and 10−4. A volume of 100 μL of diluted liquid was spread-plated onto various agar types (Table 2; Sigma-Aldrich, Burlington, MA, USA) and incubated for 72 h under the conditions for each respective agar medium. TPCs were obtained from duplicate colony counts on non-selective plate count agar (PCA) after 24 h for bacteria and 120 h for fungi, enumerating morphologically distinct filamentous fungi, following ISO 4833-2 [35]. Streak plating was performed on selective agar to isolate morphologically distinct colonies, and a single colony was suspended in 20 μL of sterile water and subjected to polymerase chain reaction (PCR; Platinum Taq DNA Polymerase, Invitrogen, Waltham, MA, USA) using the primers and conditions described in Table 2. Gel electrophoresis was performed on the PCR product with loading dye (DNA Gel Loading Dye, Thermo Scientific, Waltham, MA, USA) and a DNA ladder (GeneRuler 1 kb DNA Ladder, Thermo Scientific, Waltham, MA, USA). On confirmation of positive reaction, the PCR product was cleaned up using E.Z.N.A Cycle Pure Kit (Omega Bio-tek, Norcross, GA USA), and the DNA yield and purity were assessed by 260/280 nm and 260/230 nm absorbance ratios with a NanoDrop™ 2000 Spectrophotometer (Thermo Scientific, Waltham, MA, USA). Sanger sequencing (Bio Basic Asia Pacific, Singapore) of PCR samples was conducted via capillary electrophoresis of fluorescent-labeled DNA fragments, with read lengths of up to 800 bp (typically 500–600 bp). The sequence of each isolate was reviewed, and low-quality bases were trimmed. Subsequently, trimmed sequences were subjected to a Basic Local Alignment Search Tool—Nucleotide (Blastn) search against the NCBI nucleotide database using highly similar sequences (megablast) to ascertain the identity of each isolate, with a threshold of at least 99% percent identity for identification.
Table 2.
Experimental design including agar media and incubation conditions for total plate counts (TPCs) and microbial isolation, PCR primers and run conditions for Sanger sequencing of microbial isolates, and description of storage containers, datalogging, sampling, and storage conditions.
2.4. Amplicon Metagenomic Sequencing
To analyze non-culturable microbiome composition, 100 mg of freeze-dried BSG solid sidestream was added directly to the lysis tube from the DNA extraction kit, DNeasy PowerFood Microbial Kit (Qiagen, Hilden, Germany), and lysed using TissueLyser II (Qiagen, Hilden, Germany) at 25 Hz for 15 min × 2 cycles. DNA clean-up was performed using Mag-Bind® TotalPure NGS (Omega Bio-tek, Norcross, GA, USA). DNA yield and purity were determined using a NanoDrop™ 2000 Spectrophotometer (Thermo Scientific, Waltham, MA, USA). SCG samples were sent for extraction at a commercial lab (NovogeneAIT Genomics, Singapore), where 200 mg freeze-dried solid of each SCG sample was used for extraction using the FastDNA Spin kit (MP Biomedical, Santa Ana, CA, USA). Extracted DNA samples from BSG and SCG were submitted for 16S rRNA and fungal ITS amplicon metagenomics sequencing (NovogeneAIT Genomics, Singapore). 16S rRNA and ITS gene amplicon library construction and sequencing were carried out on the Illumina Novaseq PE250 platform (San Diego, CA, USA) at 100 K raw tags/sample with a focus on the V3–V4 hypervariable region and ITS1-5F region for bacteria and fungi, respectively. Data QC and analysis were carried out using QIIME 2.
2.5. Storage of Solid Sidestreams
Storage trials of BSG and SCG were carried out in duplicate High-Density Polyethylene (HDPE) trays or drums to simulate large-scale storage conditions, with trays intended to facilitate the establishment of aerobic conditions and drums intended to facilitate the establishment of anaerobic conditions. Drums were outfitted with three sampling ports, top, middle, and bottom, by cutting a square hole and outfitting a hinge and bolt-lock. Three small holes were drilled near the sampling port to fit temperature and relative humidity (RH) sensors from a GSP-6, model datalogger (Elitech, San Jose, CA, USA) placed at the center of the drum. The top sample port and datalogger sensor were above the level of the solid sidestream, and therefore, top samples could not be collected, and the sensors were placed on top instead of inside of the solid sidestreams. Three water locks were installed on the lid to maintain anaerobic conditions within the drum. Trays were outfitted with three dataloggers to measure temperature and humidity at the front, middle, and back of the tray, inserted into the solid sidestream. Trays were covered with fine-masked nets secured by magnets to deter pests. Containers were cleaned with 2.5 wt% bleach solution, washed with distilled water, and air-dried prior to loading 40 kg or 100 kg of freshly obtained solid sidestreams from Tiong Lam Supplies. For consistent comparison between aerobic and anaerobic treatments, BSG-2 was used for both tray and drum storage trials, while SCG-2 was used for tray storage and SCG-3 was selected for drum storage. Samples of 100 g wet weight were collected in clean ziplock bags on days 0, 3, 7, and 14 using the sample ports for the drums and digging a sample for the trays. The ambient conditions at Tiong Lam Supplies were measured every morning with a separate thermometer and humidity meter placed in the trial area. The experimental setup is summarized in Table 2, and photographs can be found in the Supplementary Materials Figure S1.
3. Results and Discussion
3.1. Chemical and Elemental Analysis of BSG and SCG
The chemical and elemental analysis of the three sources of BSG and SCG are reported in Table 3. The chemical and elemental properties show relatively low variation between the three samples of BSG and SCG.
Table 3.
Chemical and elemental analysis and total plate counts for BSG and SCG solid sidestreams.
BSG has a moisture content of 69 ± 4%, somewhat lower than the range of 70.6% to 82.6% reported by Coronado et al. [36] and the typical value of 80% [14], while the TC of 48.3 ± 6.3% is in the reported range of 43.6% to 51.6% [36], and the TN of 3.0 ± 0.7% (corresponding to 19 ± 4% crude protein by TN × 6.25) is below the reported range of 3.5% to 4.2% [36] and typical crude protein content of 25% to 30% [14]. The measured pH of 4.8 ± 1.1 is typical of BSG, reported as a range of 3.8 to 6.9 [37].
SCG has a somewhat variable moisture content of 56 ± 8%, higher than the range of 38% to 48% reported by Bejenari et al. [38] but within the wider range from 42% to 65% and a typical value of 60% reported by Johnson et al. [25], presumably due to differences in grinding, roasting, and brewing conditions. The TC of 49.6 ± 6% is in the reported range of 45% to 69% [25], and the TN of 2.1 ± 0.3% is in the reported range of 1.2% to 2.7%, or even up to 4% [25]. In SCG, calculating crude protein by TN × 6.25 will likely overestimate actual protein content due to the presence of nonprotein nitrogenous compounds such as alkaloids, amines, amino acids, and their reaction products [21]. Indeed, the measured crude protein of 13 ± 2% falls in the higher end of the reported range of 6.7% to 14% [21]; however, higher values of 13% to 17% have also been reported [39]. The measured pH of 5.2 ± 0.5 falls within the reported range of 5.0 to 6.0 [39].
3.2. Microbiome Characterization of BSG and SCG
As can be seen in Table 3, the total plate counts (TPCs) depend strongly on the source of the solid sidestream, with those obtained directly from the craft brewery and café having low bacteria TPCs, 3.53 ± 0.03 log10 CFU/g for BSG and not detectable at a level of 1 log10 CFU/g for SCG, and no detectable fungi. This is in stark contrast with the solid sidestreams from recycling facilities especially having high bacterial TPCs of more than 6 log10 CFU/g and one SCG sample having a fungal TPC of 1.94 ± 0.00 log10 CFU/g. The presumed cause is the longer overnight storage time under ambient conditions at the recycling facilities prior to collection and testing and may be accelerated by opportunistic colonization of microorganisms from the environment, such as during transport from the production site to the recycling facility.
The pH of BSG spans a range from 3.7 to 6.0 and decreases in proportion to the measured TPC. This indicates that BSG is only slightly acidic on lautering but is rapidly colonized by acid-producing bacteria, such as lactic acid bacteria (LAB), further lowering the pH. The TPC of BSG-1 from the craft brewery is about 3 orders of magnitude lower than that from the recycling facilities and therefore is expected to be more representative of the microbial load expected from BSG fresh from the brewery lauter tun. The pH of SCG falls in a narrow range of 4.8 to 5.9, without a clear link between pH and TPC. As stated, high bacterial TPCs of 6.16 ± 0.02 and 7.70 ± 0.02 log10 CFU/g were found in the SCGs from the recycling facility, while SCG-1 from the café had significantly lower TPCs below the limit of detection of 1 log10 CFU/g.
The microorganisms isolated and identified from BSG are listed in Table 4. BSG contains the LAB genera Pediococcus, Enterococcus, and Limosilactobacillus, all facultative anaerobic thermotolerant non-spore-forming bacteria [40]. Pediococcus spp. are associated with beer spoilage [41], with P. acidilacti specifically found in a craft brewery [42], while E. durans is a sour milk starter culture [43] and L. fermentum is a common spoilage microorganism in tomato products [44]. Facultative anaerobic spore-forming bacteria of the genus Bacillus and non-spore-forming but desiccation-resistant Chronobacter [45] were also identified. B. subtilis is found in soil and fermented and dried foods such as nattō and milk products [46,47,48]; similarly, B. rugosus [46] is found in soil, and C. malonaticus in milk products [45]. Fungi were not prevalent, as evident also from the TPC in Table 3, yet three yeasts were isolated: Candida tropicalis, Pichia kudriavzevii, and Kluyveromyces marxianus. C. tropicalis is prevalent in Asia and is one of the most common species of Candida in bloodstream infection [49]. P. kudriavzevii (formerly Candida krusei) has also but less frequently been linked with hematological malignancies [49] and is applied in the food industry as a starter for coffee and cocoa fermentation [31,50]. K. marxianus is also known as Candida kefyr and is commonly found in dairy products [51] but can also be used for the production of natural flavors, such as 2-phenylethanol [52]. The three yeasts have in common that they are thermotolerant and pentose-assimilating, and therefore, they are suited for growth on hemicellulosic sugars, such as those present in BSG [53].
Table 4.
Identification of isolated microorganisms in BSG by Sanger sequencing.
The freshest BSG-1 from the craft brewery has the lowest microbial load of 3.53 ± 0.03 log10 CFU/g, similar to the lowest TPC reported by Robertson et al. [16]. The identified microbial species, with the exception of Bacilli, are not spore-formers and would not survive mashing temperatures. Nor are they the species typically found in or applied for beer brewing [54], even considering the unique case of sour beers [55]. Instead, these microorganisms are associated with beer spoilage, or wild fermentation, or are prevalent in the environment, such as in other food products likely occurring in the environment at the production site and contaminating the BSG post-production.
3.3. Chemical Analysis During Storage of BSG and SCG
The results of the chemical analysis of pH and moisture content of BSG and SCG subjected to storage for up to 14 days in aerobic trays and anaerobic drums are shown in Figure 1.
Figure 1.
Chemical analysis on wet matter basis of BSG and SCG during storage in trays (BSG-2 and SCG-2) and drums (BSG-2 and SCG-3): (a) pH of BSG in a 50 wt% solution; (b) moisture content of BSG; (c) pH of SCG in a 50 wt% solution; (d) moisture content of SCG.
The pH of BSG in trays continuously increases from the initial value of 4.7 to 6.9 ± 0.1, with no significant difference between the two trays at day 14, as seen in Figure 1a. The increasing pH in trays is thought to be linked to the observed fungal growth, as fungi with high proteolytic activity can cause ammonia formation on extended solid-state fermentation [56]. In contrast, BSG stored in drums exhibits a slight drop in pH already at day 3 to 4.2 ± 0.5 to 4.3 ± 0.6, which appears to be stable over the course of the storage up to 14 days. The rapid decrease in pH by day 3 is thought to be caused by the proliferation of LAB and the generation of lactic acid from the metabolism of fermentable sugars, similar to many traditional fermented foods [57]. The higher variability of pH in drums reflects larger differences in measurements between the vertically separated sampling positions, in contrast to the laterally separated samplings for trays.
The moisture content for BSG is shown in Figure 1b, and storage on trays shows no significant difference from the initial 70% value at day 3, but then the moisture content lowers over the course of storage with significant differences between the two trays of 35 ± 7% and 58 ± 8%. The BSG in trays apparently dries out under ambient conditions (ca. 30 °C; 70% to 80% RH). In contrast, the BSG stored in drums shows no significant difference in moisture content during storage, maintaining a stable moisture content across the trials of 76 ± 3%. The slightly elevated moisture content compared to the initial 70% is likely caused by free water draining towards the bottom of the drum due to gravity flow and may be the fundamental cause of the observed differences in pH.
Figure 1c,d show the pH and moisture content of SCG stored in trays and drums. The moisture content in trays declines slightly from the initial value of 56% to 50 ± 3%, suggesting this material is more resistant to drying compared to BSG. SCG stored in drums show a slight but insignificant increase from 48% to 52 ± 9% and 56 ± 13%, similar to BSG in drums. In trays, the pH at day 3 is similar to the initial value of 5.8 but then gradually drops to finally reach 5.1 ± 0.1 to 5.2 ± 0.1, presumably due to the production of organic acids such as acetate and lactate by bacteria. With respect to pH, SCG in drums had a lower initial pH of 4.8 and showed larger variability in final values compared to BSG, with a final pH of 4.4 ± 0.3 and 4.6 ± 0.6. The SCG in trays did not show the same trend of increase in pH and decrease in MC as BSG. A possible interpretation is that SCG is better able to retain water while being less prone to mold contamination than BSG, which could be caused by phenolic compounds with anti-fungal activity known to be present in SCG [27].
In addition to the chemical analysis reported here, the measurements of temperature and moisture content with dataloggers can be found in the Supplementary Materials.
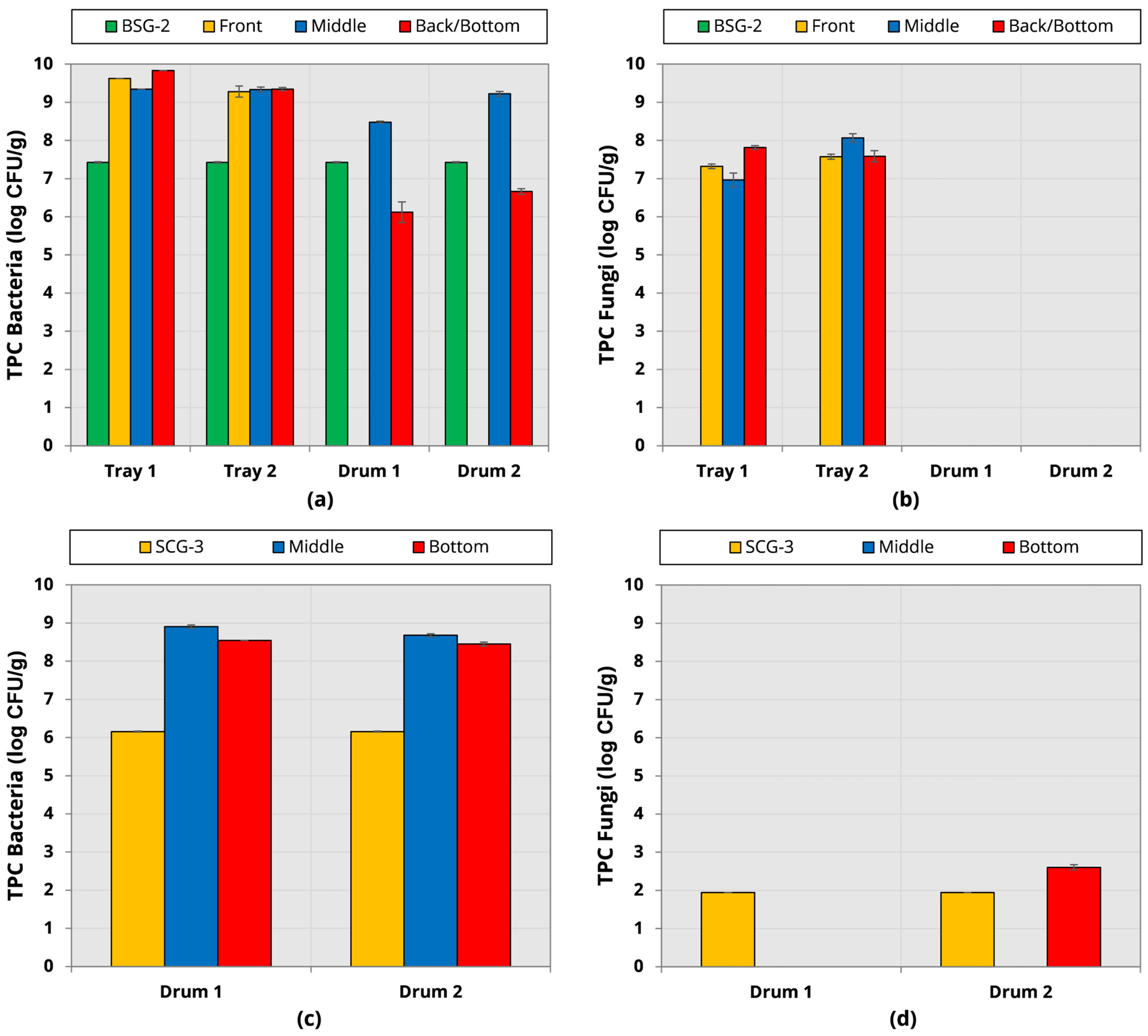
3.4. Total Plate Count After Storage of BSG and SCG
The microbial growth by TPC at the beginning and end of 14 days of storage was investigated for the different storage conditions. The bacteria and fungi TPCs for BSG stored in trays and drums are shown in Figure 2a,b. In trays, bacterial TPCs in the range of 9 to 10 log10 CFU/g were found at the end of storage, representing a 100-fold increase compared to an initial value of 7.42 ± 0.02 log10 CFU/g. Fungal TPCs show a more striking change, with the initial value below the limit of detection (1 log10 CFU/g) and a final value of 7 to 8 log10 CFU/g. This suggests that aerobic storage of BSG shows substantial vulnerability to fungal contamination. In contrast, BSG in drums exhibits no detectable fungal TPC, while bacterial TPCs are similar to or slightly lower than those in trays in the middle position, but much lower than those in the bottom position with 6.12 ± 0.27 and 6.66 ± 0.07 log10 CFU/g. Overall, these studies suggest that enclosed storage or ensilage will help to protect BSG from contamination with fungal contaminants that may give rise to mycotoxins and the degradation of feedstock quality.
Figure 2.
Total plate count (TPC) on wet matter basis of BSG and SCG before and after 14 days of storage in trays (BSG-2) and drums (BSG-2 and SCG-3): (a) log10 TPC of bacteria in BSG; (b) log10 TPC of fungi in BSG, (c) log10 TPC of bacteria in SCG; (d) log10 TPC of fungi in SCG.
With respect to coffee grounds, the bacteria and fungi TPCs for SCG stored in drums are shown in Figure 2c,d. Bacterial TPCs were found to be in the range of 8 to 9 log10 CFU/g for all positions in both replicates, representing over a 100-fold increase compared to the initial value of 6.16 ± 0.02 log10 CFU/g. Although SCG is less nutritious than BSG, high counts of bacteria are still found at the end of storage. This could be due to high surface area and porosity of SCG, which provide a favorable microenvironment for microbial colonization [58]. Indeed, even if nutrients are limited, the structure of the SCG can retain moisture, making residual nutrients present in the SCG available for microbial consumption. Conversely, fungi were only detected in the bottom sample of one of the replicates, with a TPC of 2.60 ± 0.07 log10 CFU/g, compared to 1.94 ± 0.00 log10 CFU/g fungi initially. SCG stored in drums thus appears prone to bacterial spoilage, even though reported literature on the spoilage of coffee products has focused on fungal spoilage [32,33,34]. A low fungal TPC of 1.94 ± 0.00 log10 CFU/g was found in the SCG-3 as received, and also in one sample from the bottom of the drum with 2.60 ± 0.05 log10 CFU/g, indicating a risk of fungal spoilage even in drum storage. These results highlight that SCG is microbially unstable towards both bacteria and fungi, with likely implications on the quality of products such as food ingredients and lipid and bioactive extracts that can be produced from SCG after industrially relevant storage.
In addition to the TPCs reported here, bacterial and fungal abundance measured by quantitative PCR can be found in the Supplementary Materials Figure S10. These supplementary results indicate that the bacterial growth occurs rapidly, stabilizing around day 3 for BSG and day 7 for SCG, while fungal growth increases more gradually, with the exception of BSG under anaerobic storage, in which the fungal presence decreased.
3.5. Amplicon Metagenomic Sequencing After Storage of BSG and SCG
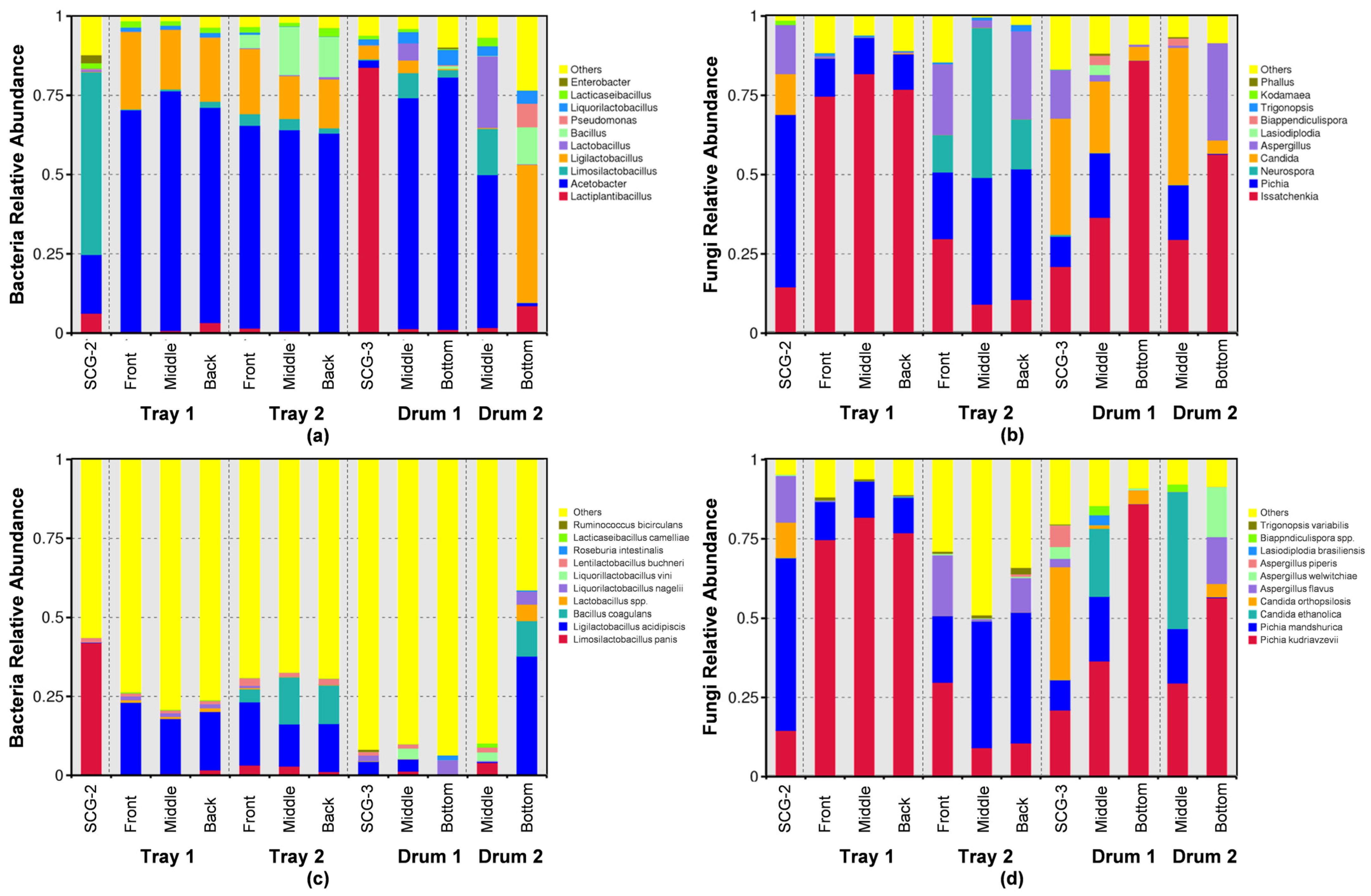
In order to characterize the microbiome, bacterial 16S rRNA and fungal ITS amplicon metagenomics sequencing was conducted on the solid sidestreams as received and after 14 days of storage. The metagenomic sequencing results at the genus level are summarized for BSG in Figure 3, showing the top 10 genera and species of bacteria and fungi identified by amplicon sequencing.
Figure 3.
Amplicon metagenomic sequencing of BSG-1, BSG-2, and BSG-3 as received and BSG-2 after 14 days of storage in trays and drums: (a) top 10 genera of bacteria; (b) top 10 genera of fungi; (c) top 10 species of bacteria; (d) top 10 species of fungi identified by 16S rRNA and ITS amplicon sequencing. Note that due to negligible fungal TPC, drum samples were not ITS-sequenced.
BSG-1, from the craft brewery, has a very different bacterial metagenomic sequencing result from BSG-2 and BSG-3 from the recycling facilities. The dominant results from BSG-1 are chloroplast and mitochondria, arising from the BSG material itself and indicating a very low microbial load as also found by TPC. In contrast, significant bacterial loads were found by TPC for BSG-2 and BSG-3, and the metagenomic sequencing found Bacillus (B. coagulans, B. smithii, and B. thermoamylovorans) to be the dominant genus. Paenibacillus (P. tumbae, P. cookie, and P. barengoltzii), Lactobacillus (L. amyloticus and L. delbrueckii), and Acetobacter (A. lovaniensis) are also prominent in BSG-3, while other genera have minor contributions to the BSG microbiome. The fungal microbiome characterization of as-received BSG was inconclusive, with only BSG-3 having Kluyveromyces (K. marxianus) and Pichia (P. kudriavzevii) identified at the species level, as seen in Figure 3a,c. These results generally agree with those obtained by microbial isolation and identification and shown in Table 4, but with some differences in the assigned genus and species identified.
Storage of BSG in trays substantially altered the microbiome, with the dominance of Bacillus bacteria being supplanted by Enterococcus, Weisella, and Paenibacillus, with some differences between the two trays and sampling positions, especially for the species identified, as per Figure 3. The fungal microbiome on storage in trays is dominated by filamentous fungi of the genus Aspergillus (A. flavus and A. fumigatus), with over 50% relative abundance in all tray samples. Aspergilli, especially A. flavus, are known spoilage microorganisms in BSG, known to potentially produce highly toxic compounds known as aflatoxins [59]. This taxon was dominant in all tray samples on storage as shown in Figure 3b. The other major filamentous fungus identified was Mucor (M. indicus), which is found in a number of traditional Asian fermented foods [60]. Alternaria and Pseudogymnoascus genera were also found with low prevalence. Alternaria spp. have previously been associated with BSG spoilage [59]. A number of yeasts were identified, including all three yeasts isolated and identified previously: Kluyveromyces (K. marxianus), Pichia (P. kudriavzevii, Candida (C. tropicalis and C. orthopsilosis), Diutina (D. mesorugosa), Cyberlindnera (C. fabianii), and Meyerozyma (M. guilliermondii). In conjunction with the high bacterial and fungal TPCs for BSG under aerobic storage, it is evident that growth of Enterococcus (E. durans and E. faecium) and Aspergillus (A. flavus and A. fumigatus) is a key concern not just for food safety, but also for animal feed safety and quality due to aflatoxins.
Compared to the aerobic conditions present in trays, under anaerobic conditions, the BSG stored in drums showed a more variable yet distinctively fermentative bacterial microbiome. Bacilli are present in all samples and are especially prevalent in the bottom samples. This is surprising as bacilli are typically aerobic, and the drum bottom is expected to have an anaerobic environment. This may be due to B. coagulans, the most prevalent Bacillus species, having been reclassified as the facultative anaerobe Heyndrickxia coagulans, originally isolated from spoiled canned milk products [61]. The middle sample from drum 1 is dominated by the acetic acid bacterium (AAB) A. lovaniensis, while drum 2 has a high proportion of LAB, specifically Limosilactobacillus fermentum (formerly known as Lactobacillus fermentum). The middle of drum 2 instead has a significant presence of Lachnoclostridium, a proposed genus in the class of Clostridia, described as obligate anaerobes producing acetate as major end-products from mono- and disaccharides [62]. The difference in microbiomes is believed to be due to differences in oxygen prevalence—AABs require the presence of oxygen to metabolize their substrates, while Clostridia lack aerobic respiration and do not tolerate oxygen.
The microbiome dynamic observed in drum 1 is a metabolic synergy between LAB and AAB. LAB produce lactic acid either by a homofermentative glycolytic pathway, or a heterofermentative phosphoketolase pathway. The genus Lactobacillus, after the taxonomic revision, now contains exclusively homofermentative species producing lactic acid as the major product from hexoses [40]. The genus Limosilactobacillus was split from Lactobacillus and contains only heterofermentative species, such as L. fermentum, producing lactic acid, CO2, and acetate or ethanol as major products [40]. AAB are named for their ability to convert ethanol to acetic acid, while Acetobacter are distinguished by being able to oxidize lactate and acetate into CO2 and H2O [63]. AAB such as A. lovaniensis are therefore able to metabolize the end-products from LAB such as L. fermentum. Therefore, LAB and AAB jointly proliferate under microaerobic conditions, as evidently present in drum 1. In addition to the metagenomic results reported here, a taxonomic heatmap for the top 35 bacterial species identified can also be found in Figure S11 in the Supplementary Materials.
With respect to coffee grounds, the microbiome of SCG-2 used in tray storage and SCG-3 used in drum storage, both from the recycling facility, contain similar genera, but in different proportions. Figure 4 shows the top 10 genera and species of bacteria and fungi identified in SCG by amplicon sequencing.
Figure 4.
Amplicon metagenomic sequencing of SCG-2 and SCG-3 as received and after 14 days of storage in trays (SCG-2) and drums (SCG-3): (a) top 10 genera; (b) top 10 genera of fungi; (c) top 10 species of bacteria; (d) top 10 species of fungi identified by 16S rRNA and ITS amplicon sequencing. Note that SCG-1 was not analyzed by metagenomic sequencing due to difficulties in extracting high-quality DNA.
SCG-2 has over 50% relative abundance of Limosilactobacillus, with L. panis being the major identified species, while the SCG-3 microbiome is dominated by Lactiplantibacillus. Acetobacter is more prevalent in SCG-2, and Ligilactobacillus (L. acidipiscis) is more prevalent in SCG-3 but is present in both. Genera such as Lactobacillus, Bacillus (B. coagulans), Pseudomonas, Liquorilactobacillus (L. nagelii and L. vini), Lacticaseibacillus (L. camelliae), Enterobacter, and others have minor abundance in the SCG as received. The fungal microbiomes in Figure 4b,d similarly show the same genera, but with differences in their prevalence. SCG-2 is dominated by Pichia (P. kudriavzevii and P. manshurica), with about 50% abundance, while Candida (C. orthopsilosis) is prevalent in SCG-3, with about 35% abundance. A number of filamentous fungi from the genus Aspergillus, including A. flavus, A. welwithschiae, and A. piperis, were identified. Note that SCG-1 was not analyzed by metagenomic sequencing due to difficulties in extracting high-quality DNA, likely due to the low TPC.
SCG storage in trays led to a proliferation of Acetobacter at over 60% relative abundance in all samples, followed by Ligilactobacillus (L. acidipiscis) and Bacillus (B. coagulans), especially in tray 2. In drums, Acetobacter also generally dominate the bacterial microbiome, followed by LAB. The only exception is the drum 2 bottom, with low Acetobacter but high Ligilactobacillus (L. acidipiscis) and Bacillus (B. coagulans). The bacterial dynamics are similar to those described for BSG stored in drums, with the co-existence of AAB and LAB under aerobic conditions, while this dynamic likely broke down in drum 2 due to anaerobic conditions, as evidenced by the proliferation of anaerobes. The anaerobes Lentilactobacillus buchneri, Roseburia intestinalis, and Ruminococcus bicirculans are present in low abundance in drum bottom samples as seen in Figure 4c.
For SCG, there is less difference between the tray and drum microbiome at the genus level, possibly due to the ability of SCG to better retain moisture during storage in trays, consistent with a lower reported effective moisture diffusivity for SCG than BSG [38,64]. The bacterial microbiome is generally dominated by synergistic AAB and LAB, while the fungal microbiome is dominated by Pichia in both trays and drums, with relative abundance ranging from about 50% to 90%. The most common species is P. kudriavzii, classified under the genus Issatchenkia (with the heterotypic synonym I. orientalis) in Figure 4. In addition to the metagenomic results reported here, a taxonomic heatmap for the top 35 bacterial species identified can also be found in Figure S12 in the Supplementary Materials.
The results reported here complement those of Robertson et al., who investigated the microbiome and storage of BSG at different temperatures under aerobic conditions, but without environmental exposure [18]. They found bacteria TPC to reach approximately 8 log10 CFU/g for mesophilic bacteria and 6 log10 CFU/g for thermophilic bacteria by day 16 at 20 °C, with most of the growth happening before day 3 and stabilizing by day 7 [18]. Robertson et al. previously identified the presence of microaerobic bacteria (presumably LAB), anaerobic bacteria (presumably Clostridia), yeast, and mold at the site of production [16], but they evidently did not proliferate or were not culturable upon aerobic storage. Metagenomic sequencing provides deeper insight into the microbial ecology, identifying the dominant genera and key species both at the time of production and after storage. Mesophilic aerobic bacterial genera such as Bacillus and Paenibacillus, as well as the facultative anaerobes Weisella and Enterococcus, proliferate in aerobic storage, while AAB and LAB proliferate in anaerobic and microaerobic storage. The most prevalent bacterial species in BSG, but also found in SCG, is the thermophilic facultative anaerobe B. coagulans, recently reclassified as Heyndrickxia coagulans [61]. Extensive growth of the yeast genera Kluyveromyces, Pichia, Diutina, and Candida and molds Aspergillus and Mucor occurs in aerobic storage. The bacterial microbiome of SCG on storage shows similarities with BSG at the genus level, with AAB and LAB prevalent in both aerobic and anaerobic storage conditions, and Bacillus present in conditions, but with differences in identified species. The yeast genus Pichia is extensive in all storage conditions, while Candida proliferate in anaerobic conditions, and the molds Neurospora and Aspergillus are found especially in aerobic storage.
4. Conclusions
BSG and SCG solid sidestreams at the point of generation have low bacterial loads (3.53 ± 0.03 and <1 log10 CFU/g) while lacking a distinct microbiome and are suitable for valorization into food, feed, cosmetics, or other applications. However, these solid sidestreams undergo rapid chemical and biological changes during logistics, and after collection by recycling companies, they have high bacterial loads (>6 log10 CFU/g) and a distinct microbiome, dominated by Bacilli for BSG and LAB for SCG, arising from environmental contamination. This highlights the significant risk of contamination with food-borne contaminants such as B. cereus, although it was not identified in this study. The microbiome changed significantly during storage under industrially relevant aerobic and anaerobic conditions. Rapid bacterial growth occurred, stabilizing around day 3 for BSG and day 7 for SCG, with over 100-fold increases in bacterial loads (>8 log10 CFU/g) by day 14 under aerobic conditions. B. coagulans (reclassified as Heyndrickxia coagulans) was identified as the most prevalent bacterial species in BSG on storage and was also found in SCG. Extensive fungal growth (>7 log10 CFU/g) was observed for BSG, with potential aflatoxin-producing A. flavus being the dominant species, which was also identified in SCG stored aerobically. Aflatoxin contamination is a major food and feed safety concern and must be managed if BSG and SCG are valorized for such applications. Anaerobic storage inhibited fungal growth and led to changes in the bacterial microbiome. A dynamic of LAB and AAB co-dependency was identified, likely under microaerobic conditions, while facultative anaerobes such as Pseudomonas, Enterococcus, and Enterobacter, and even obligate anaerobic Clostridia, were also identified in anaerobic conditions. These findings highlight critical food safety concerns while providing essential information for establishing shelf-life and storage guidelines for BSG and SCG, with the aim of promoting the further valorization of these solid sidestreams in industrialized Asia.
Supplementary Materials
The following supporting information can be downloaded at https://www.mdpi.com/article/10.3390/app14219759/s1: Figure S1: Experimental setup used for storage trials. Figures S2–S5: Physical measurements of temperature and humidity by dataloggers for each tray and drum containing BSG; Figures S6–S9: Physical measurements of temperature and humidity by dataloggers for each tray and drum containing SCG. Figure S10: Quantitative polymerase chain reaction (qPCR) of BSG and SCG during 14 days of storage in trays (BSG-2 and SCG-2) and drums (BSG-2 and SCG-3). Figure S11: Taxonomic abundance cluster heatmap hierarchical clustering of samples for the top 35 bacterial species of BSG-1, BSG-2, and BSG-3 as received and after 14 days of storage in trays (BSG-2) and drums (BSG-2). Figure S12: Taxonomic abundance cluster heatmap hierarchical clustering of samples for the top 35 bacterial species of SCG-2 and SCG-3 as received and after 14 days of storage in trays (SCG-2) and drums (SCG-3). Table S1: PCR primers and run conditions for qPCR of BSG and SCG samples. References [17,65] are cited in the Supplementary Materials.
Author Contributions
Conceptualization, C.H. and E.C.P.; Formal analysis, Q.K.C., S.H. and F.N.; Funding Acquisition, M.W.; Investigation, Q.K.C. and S.H.; Methodology, Q.K.C. and S.H.; Project Administration, M.W.; Supervision, C.H., M.W. and E.C.P.; Visualization, C.H.; Writing—Original Draft, C.H.; Writing—Review and Editing, M.W. and E.C.P. All authors have read and agreed to the published version of the manuscript.
Funding
This research was supported by the National Research Foundation, Singapore, and the Agency for Science, Technology and Research (A*STAR) under the Singapore Food Story R&D Programme Theme 2 IAF-PP Cycle 2 on Advanced Biotech-Based Protein Production Programme (Grant No. A21H7a0132), Singapore Food Story R&D Programme Theme 2: Future Foods—Whitespace Programme for Shared Lab Facilities (Grant No. W22W2D0001), and Singapore Food Story (SFS) R&D Programme 1.0 Theme 2 Future Foods: Shared Lab Facilities Whitespace Funding (Grant No. W23W2D0012) and the Singapore Institute Food & Biotechnology Innovation (SIFBI), Agency for Science, Technology and Research (A*STAR), Singapore under the Central Funds, Council Strategic Funds, BMRC programs (Grant No. C210314014 and C210314016), and Agency for Science, Technology and Research (A*STAR) Urban and Green Technology Horizontal Technology Coordinating Office (Grant No. C211718009).
Data Availability Statement
Data are contained within the article or Supplementary Materials.
Acknowledgments
We gratefully acknowledge Alive Brewing Company, Little Big Coffee Roasters, Envcares, and Tiong Lam Supplies for providing the solid sidestreams for study and Tiong Lam Supplies for assisting in carrying out storage trials at their recycling facility.
Conflicts of Interest
The authors declare no conflicts of interest.
References
- Scialabba, N.; Jan, O.; Tostivint, C.; Turbé, A.; O’Connor, C.; Lavelle, P.; Flammini, A.; Hoogeveen, J.; Iweins, M.; Tubiello, F.; et al. Food Wastage Footprint: Impacts on Natural Resources. Summary Report; FAO: Rome, Italy, 2013; ISBN 978-92-5-107752-8. [Google Scholar]
- Gama, L.D.; Pearson, P.; Prezkop, L.; Walsh, L.; Weir, C.; Gupta, M.; Trewern, J.; Halevy, S.; Wakefield, S.; Lee, L.; et al. Driven to Waste: The Global Impact of Food Loss a Waste on Farms; WWF: Woking, UK, 2021. [Google Scholar]
- National Environment Agency Waste Statistics and Overall Recycling. Available online: https://www.nea.gov.sg/our-services/waste-management/waste-statistics-and-overall-recycling (accessed on 16 August 2024).
- de los Mozos, E.A.; Badurdeen, F.; Dossou, P.E. Sustainable Consumption by Reducing Food Waste: A Review of the Current State and Directions for Future Research. Procedia Manuf. 2020, 51, 1791–1798. [Google Scholar] [CrossRef]
- Uçkun Kiran, E.; Trzcinski, A.P.; Ng, W.J.; Liu, Y. Bioconversion of Food Waste to Energy: A Review. Fuel 2014, 134, 389–399. [Google Scholar] [CrossRef]
- Santeramo, F.G. Exploring the Link among Food Loss, Waste and Food Security: What the Research Should Focus On? Agric. Food Secur. 2021, 10, 4–6. [Google Scholar] [CrossRef]
- Nyhan, L.; Sahin, A.W.; Schmitz, H.H.; Siegel, J.B.; Arendt, E.K. Brewers’ Spent Grain: An Unprecedented Opportunity to Develop Sustainable Plant-Based Nutrition Ingredients Addressing Global Malnutrition Challenges. J. Agric. Food Chem. 2023, 71, 10543–10564. [Google Scholar] [CrossRef] [PubMed]
- Kamil, M.; Ramadan, K.M.; Awad, O.I.; Ibrahim, T.K.; Inayat, A.; Ma, X. Environmental Impacts of Biodiesel Production from Waste Spent Coffee Grounds and Its Implementation in a Compression Ignition Engine. Sci. Total Environ. 2019, 675, 13–30. [Google Scholar] [CrossRef] [PubMed]
- Devnani, B.; Moran, G.C.; Grossmann, L. Extraction, Composition, Functionality, and Utilization of Brewer’s Spent Grain Protein in Food Formulations. Foods 2023, 12, 1543. [Google Scholar] [CrossRef] [PubMed]
- Mussatto, S.I. Brewer’s Spent Grain: A Valuable Feedstock for Industrial Applications. J. Sci. Food Agric. 2014, 94, 1264–1275. [Google Scholar] [CrossRef]
- Terefe, G. Preservation Techniques and Their Effect on Nutritional Values and Microbial Population of Brewer’s Spent Grain: A Review. CABI Agric. Biosci. 2022, 3, 1–8. [Google Scholar] [CrossRef]
- Mitri, S.; Salameh, S.J.; Khelfa, A.; Leonard, E.; Maroun, R.G.; Louka, N.; Koubaa, M. Valorization of Brewers’ Spent Grains: Pretreatments and Fermentation, a Review. Fermentation 2022, 8, 50. [Google Scholar] [CrossRef]
- Milew, K.; Manke, S.; Grimm, S.; Haseneder, R.; Herdegen, V.; Braeuer, A.S. Application, Characterisation and Economic Assessment of Brewers’ Spent Grain and Liquor. J. Inst. Brew. 2022, 128, 96–108. [Google Scholar] [CrossRef]
- Chetrariu, A.; Dabija, A. Brewer’s Spent Grains: Possibilities of Valorization, a Review. Appl. Sci. 2020, 10, 5619. [Google Scholar] [CrossRef]
- Lynch, K.M.; Steffen, E.J.; Arendt, E.K. Brewers’ Spent Grain: A Review with an Emphasis on Food and Health. J. Inst. Brew. 2016, 122, 553–568. [Google Scholar] [CrossRef]
- Robertson, J.A.; I’Anson, K.J.A.; Treimo, J.; Faulds, C.B.; Brocklehurst, T.F.; Eijsink, V.G.H.; Waldron, K.W. Profiling Brewers’ Spent Grain for Composition and Microbial Ecology at the Site of Production. LWT 2010, 43, 890–896. [Google Scholar] [CrossRef]
- Montanari, L.; Floridi, S.; Marconi, O.; Tironzelli, M.; Fantozzi, P. Effect of Mashing Procedures on Brewing. Eur. Food Res. Technol. 2005, 221, 175–179. [Google Scholar] [CrossRef]
- Robertson, J.A.; IAnson, K.J.A.; Brocklehurst, T.F.; Faulds, C.B.; Waldron, K.W. Effect of Storage Conditions on the Microbial Ecology and Biochemical Stability of Cell Wall Components in Brewers Spent Grain. J. Agric. Food Chem. 2010, 58, 7266–7272. [Google Scholar] [CrossRef]
- Mussatto, S.I.; Dragone, G.; Roberto, I.C. Brewers’ Spent Grain: Generation, Characteristics and Potential Applications. J. Cereal Sci. 2006, 43, 1–14. [Google Scholar] [CrossRef]
- Ballesteros, L.F.; Teixeira, J.A.; Mussatto, S.I. Chemical, Functional, and Structural Properties of Spent Coffee Grounds and Coffee Silverskin. Food Bioprocess Technol. 2014, 7, 3493–3503. [Google Scholar] [CrossRef]
- Campos-Vega, R.; Loarca-Piña, G.; Vergara-Castañeda, H.A.; Dave Oomah, B. Spent Coffee Grounds: A Review on Current Research and Future Prospects. Trends Food Sci. Technol. 2015, 45, 24–36. [Google Scholar] [CrossRef]
- Magengelele, M.; Malgas, S.; Pletschke, B.I. Bioconversion of Spent Coffee Grounds to Prebiotic Mannooligosaccharides—An Example of Biocatalysis in Biorefinery. RSC Adv. 2023, 13, 3773–3780. [Google Scholar] [CrossRef]
- Franca, A.S.; Oliveira, L.S. Potential Uses of Spent Coffee Grounds in the Food Industry. Foods 2022, 11, 2064. [Google Scholar] [CrossRef]
- Bevilacqua, E.; Cruzat, V.; Singh, I.; Rose’Meyer, R.B.; Panchal, S.K.; Brown, L. The Potential of Spent Coffee Grounds in Functional Food Development. Nutrients 2023, 15, 994. [Google Scholar] [CrossRef]
- Johnson, K.; Liu, Y.; Lu, M. A Review of Recent Advances in Spent Coffee Grounds Upcycle Technologies and Practices. Front. Chem. Eng. 2022, 4, 838605. [Google Scholar] [CrossRef]
- Monente, C.; Bravo, J.; Vitas, A.I.; Arbillaga, L.; De Peña, M.P.; Cid, C. Coffee and Spent Coffee Extracts Protect against Cell Mutagens and Inhibit Growth of Food-Borne Pathogen Microorganisms. J. Funct. Foods 2015, 12, 365–374. [Google Scholar] [CrossRef]
- Calheiros, D.; Dias, M.I.; Calhelha, R.C.; Barros, L.; Ferreira, I.C.F.R.; Fernandes, C.; Gonçalves, T. Antifungal Activity of Spent Coffee Ground Extracts. Microorganisms 2023, 11, 242. [Google Scholar] [CrossRef]
- Ren, Y.; Wang, C.; Xu, J.; Wang, S. Cafestol and Kahweol: A Review on Their Bioactivities and Pharmacological Properties. Int. J. Mol. Sci. 2019, 20, 4238. [Google Scholar] [CrossRef]
- McNutt, J.; He, Q. (Sophia) Spent Coffee Grounds: A Review on Current Utilization. J. Ind. Eng. Chem. 2019, 71, 78–88. [Google Scholar] [CrossRef]
- de Oliveira Junqueira, A.C.; de Melo Pereira, G.V.; Coral Medina, J.D.; Alvear, M.C.R.; Rosero, R.; de Carvalho Neto, D.P.; Enríquez, H.G.; Soccol, C.R. First Description of Bacterial and Fungal Communities in Colombian Coffee Beans Fermentation Analysed Using Illumina-Based Amplicon Sequencing. Sci. Rep. 2019, 9, 8794. [Google Scholar] [CrossRef] [PubMed]
- Chin, X.H.; Ho, S.; Chan, G.; Basri, N.; Teo, M.; Thong, A.; Goh, F.; Lindley, N.D.; Peterson, E.C. Aromatic Yeasts: Interactions and Implications in Coffee Fermentation Aroma Profiles. J. Agric. Food Chem. 2023, 71, 9677–9686. [Google Scholar] [CrossRef] [PubMed]
- Kusumaningrum, H.D.; Rasyidah, M.M. Prevalence of Spoilage Mold in Coffee before and after Brewing. Food Res. 2019, 3, 720–726. [Google Scholar] [CrossRef]
- Viegas, C.; Gomes, B.; Oliveira, F.; Dias, M.; Cervantes, R.; Pena, P.; Gomes, A.Q.; Caetano, L.A.; Carolino, E.; de Andrade, E.T.; et al. Microbial Contamination in the Coffee Industry: An Occupational Menace besides a Food Safety Concern? Int. J. Environ. Res. Public Health 2022, 19, 13488. [Google Scholar] [CrossRef]
- Lopane, S.N.; McGregor, J.U.; Rieck, J.R. An Investigation of the Shelf Life of Cold Brew Coffee and the Influence of Extraction Temperature Using Chemical, Microbial, and Sensory Analysis. Food Sci. Nutr. 2024, 12, 985–996. [Google Scholar] [CrossRef] [PubMed]
- ISO 4833-2; Microbiology of the Food Chain—Horizontal Method for the Enumeration of Microorganisms. ISO: Geneva, Switzerland, 2013.
- Coronado, M.A.; Montero, G.; Montes, D.G.; Valdez-Salas, B.; Ayala, J.R.; García, C.; Carrillo, M.; León, J.A.; Moreno, A. Physicochemical Characterization and SEM-EDX Analysis of Brewer’s Spent Grain from the Craft Brewery Industry. Sustainability 2020, 12, 7744. [Google Scholar] [CrossRef]
- Assandri, D.; Pampuro, N.; Zara, G.; Cavallo, E.; Budroni, M. Suitability of Composting Process for the Disposal and Valorization of Brewer’s Spent Grain. Agriculture 2021, 11, 2. [Google Scholar] [CrossRef]
- Bejenari, V.; Lisa, C.; Cernǎtescu, C.; Mǎmǎligǎ, I.; Lisa, G. Isothermal Drying Kinetic Study of Spent Coffee Grounds Using Thermogravimetric Analysis. Int. J. Chem. Eng. 2022, 2022, 2312147. [Google Scholar] [CrossRef]
- de Bomfim, A.S.C.; de Oliveira, D.M.; Walling, E.; Babin, A.; Hersant, G.; Vaneeckhaute, C.; Dumont, M.-J.; Rodrigue, D. Spent Coffee Grounds Characterization and Reuse in Composting and Soil Amendment. Waste 2022, 1, 2–20. [Google Scholar] [CrossRef]
- Zheng, J.; Wittouck, S.; Salvetti, E.; Franz, C.M.A.P.; Harris, H.M.B.; Mattarelli, P.; O’toole, P.W.; Pot, B.; Vandamme, P.; Walter, J.; et al. A Taxonomic Note on the Genus Lactobacillus: Description of 23 Novel Genera, Emended Description of the Genus Lactobacillus Beijerinck 1901, and Union of Lactobacillaceae and Leuconostocaceae. Int. J. Syst. Evol. Microbiol. 2020, 70, 2782–2858. [Google Scholar] [CrossRef]
- Xu, Z.; Luo, Y.; Mao, Y.; Peng, R.; Chen, J.; Soteyome, T.; Bai, C.; Chen, L.; Liang, Y.; Su, J.; et al. Spoilage Lactic Acid Bacteria in the Brewing Industry. J. Microbiol. Biotechnol. 2020, 30, 955–961. [Google Scholar] [CrossRef]
- Rodríguez-Saavedra, M.; González de Llano, D.; Moreno-Arribas, M.V. Beer Spoilage Lactic Acid Bacteria from Craft Brewery Microbiota: Microbiological Quality and Food Safety. Food Res. Int. 2020, 138, 109762. [Google Scholar] [CrossRef]
- Botina, S.G.; Lysenko, A.M.; Sukhodolets, V.V. Elucidation of the Taxonomic Status of Industrial Strains of Thermophilic Lactic Acid Bacteria by Sequencing of 16S RRNA Genes. Mikrobiologiya 2005, 74, 520–525. [Google Scholar] [CrossRef]
- Juven, B.J.; Ben-Shalom, N.; Weisslowicz, H. Identification of Chemical Constituents of Tomato Juice Which Affect the Heat Resistance of Lactobacillus Fermentum. J. Appl. Bacteriol. 1983, 54, 335–338. [Google Scholar] [CrossRef]
- Fei, P.; Jiang, Y.; Feng, J.; Forsythe, S.J.; Li, R.; Zhou, Y.; Man, C. Antibiotic and Desiccation Resistance of Cronobacter Sakazakii and C. Malonaticus Isolates from Powdered Infant Formula and Processing Environments. Front. Microbiol. 2017, 8, 316. [Google Scholar] [CrossRef] [PubMed]
- Zalma, S.A.; El-Sharoud, W.M. Diverse Thermophilic Bacillus Species with Multiple Biotechnological Activities Are Associated within the Egyptian Soil and Compost Samples. Sci. Prog. 2021, 104, 1–12. [Google Scholar] [CrossRef]
- Elhalis, H.; Chin, X.H.; Chow, Y. Soybean Fermentation: Microbial Ecology and Starter Culture Technology. Crit. Rev. Food Sci. Nutr. 2023, 64, 7648–7670. [Google Scholar] [CrossRef] [PubMed]
- Buehner, K.P.; Anand, S.; Djira, G.D. Prevalence of Thermoduric Bacteria and Spores in Nonfat Dry Milk Powders of Midwest Origin. J. Dairy Sci. 2015, 98, 2861–2866. [Google Scholar] [CrossRef] [PubMed]
- Tan, B.H.; Chakrabarti, A.; Li, R.Y.; Patel, A.K.; Watcharananan, S.P.; Liu, Z.; Chindamporn, A.; Tan, A.L.; Sun, P.L.; Wu, U.I.; et al. Incidence and Species Distribution of Candidaemia in Asia: A Laboratory-Based Surveillance Study. Clin. Microbiol. Infect. 2015, 21, 946–953. [Google Scholar] [CrossRef]
- Pereira, G.V.M.; Alvarez, J.P.; Neto, D.P.d.C.; Soccol, V.T.; Tanobe, V.O.A.; Rogez, H.; Góes-Neto, A.; Soccol, C.R. Great Intraspecies Diversity of Pichia Kudriavzevii in Cocoa Fermentation Highlights the Importance of Yeast Strain Selection for Flavor Modulation of Cocoa Beans. LWT 2017, 84, 290–297. [Google Scholar] [CrossRef]
- Rocha, S.N.; Abrahão-Neto, J.; Gombert, A.K. Physiological Diversity within the Kluyveromyces Marxianus Species. Antonie Van Leeuwenhoek 2011, 100, 619–630. [Google Scholar] [CrossRef]
- Lukito, B.R.; Basri, N.; Thong, A.; Hermansen, C.; Weingarten, M.; Peterson, E.C. Co-Culture of Kluyveromyces Marxianus and Meyerozyma Guilliermondii with In Situ Product Recovery of 2-Phenylethanol. J. Agric. Food Chem. 2023, 71, 8991–8997. [Google Scholar] [CrossRef]
- Duarte, L.C.; Carvalheiro, F.; Lopes, S.; Neves, I.; Gírio, F.M. Yeast Biomass Production in Brewery’s Spent Grains Hemicellulosic Hydrolyzate. Appl. Biochem. Biotechnol. 2008, 148, 119–129. [Google Scholar] [CrossRef]
- Roselli, G.E.; Kerruish, D.W.M.; Crow, M.; Smart, K.A.; Powell, C.D. The Two Faces of Microorganisms in Traditional Brewing and the Implications for No- and Low-Alcohol Beers. Front. Microbiol. 2024, 15, 1346724. [Google Scholar] [CrossRef]
- Rochefort, L.; Caille, O.; Van Nedervelde, L. Sequentially Pitching Lactic Acid Bacteria and Active Dry Yeasts for Sour Beer Production. J. Am. Soc. Brew. Chem. 2024, 82, 141–149. [Google Scholar] [CrossRef]
- Muzdalifah, D.; Athaillah, Z.A.; Nugrahani, W.; Devi, A.F. Colour and PH Changes of Tempe during Extended Fermentation. AIP Conf. Proc. 2017, 1803, 20036. [Google Scholar] [CrossRef]
- Zapaśnik, A.; Sokołowska, B.; Bryła, M. Role of Lactic Acid Bacteria in Food Preservation and Safety. Foods 2022, 11, 1283. [Google Scholar] [CrossRef] [PubMed]
- Kondamudi, N.; Mohapatra, S.K.; Misra, M. Spent Coffee Grounds as a Versatile Source of Green Energy. J. Agric. Food Chem. 2008, 56, 11757–11760. [Google Scholar] [CrossRef]
- Šarkanj, B.; Mastanjevi, K.; Lukinac, J.; Juki, M. Multi-(Myco)Toxins in Malting and Brewing By-Products. Toxins 2019, 11, 30. [Google Scholar] [CrossRef]
- Karimi, K.; Zamani, A. Mucor Indicus: Biology and Industrial Application Perspectives: A Review. Biotechnol. Adv. 2013, 31, 466–481. [Google Scholar] [CrossRef]
- Cao, J.; Yu, Z.; Liu, W.; Zhao, J.; Zhang, H.; Zhai, Q.; Chen, W. Probiotic Characteristics of Bacillus Coagulans and Associated Implications for Human Health and Diseases. J. Funct. Foods 2020, 64, 103643. [Google Scholar] [CrossRef]
- Yutin, N.; Galperin, M.Y. A Genomic Update on Clostridial Phylogeny: Gram-Negative Spore-Formers and Other Misplaced Clostridia. Environ. Microbiol. 2013, 15, 2631–2641. [Google Scholar] [CrossRef]
- Gomes, R.J.; Borges, M.d.F.; Rosa, M.d.F.; Castro-Gómez, R.J.H.; Spinosa, W.A. Acetic Acid Bacteria in the Food Industry: Systematics, Characteristics and Applications. Food Technol. Biotechnol. 2018, 56, 139–151. [Google Scholar] [CrossRef]
- Santos, M.V.; Ranalli, N.; Orjuela-Palacio, J.; Zaritzky, N. Brewers Spent Grain Drying: Drying Kinetics, Moisture Sorption Isotherms, Bioactive Compounds Stability and Bacillus Cereus Lethality during Thermal Treatment. J. Food Eng. 2024, 364, 111796. [Google Scholar] [CrossRef]
- Hou, Q.; Bai, X.; Li, W.; Gao, X.; Zhang, F. Design of Primers for Evaluation of Lactic Acid Bacteria Populations in Complex Biological Samples. Front. Microbiol. 2018, 9, 2045. [Google Scholar] [CrossRef]
Disclaimer/Publisher’s Note: The statements, opinions and data contained in all publications are solely those of the individual author(s) and contributor(s) and not of MDPI and/or the editor(s). MDPI and/or the editor(s) disclaim responsibility for any injury to people or property resulting from any ideas, methods, instructions or products referred to in the content. |
© 2024 by the authors. Licensee MDPI, Basel, Switzerland. This article is an open access article distributed under the terms and conditions of the Creative Commons Attribution (CC BY) license (https://creativecommons.org/licenses/by/4.0/).



