Damage Identification of Stay Cables Based on a Small Amount of Deflection Monitoring Data
Abstract
1. Introduction
2. Theory Related to the Reduction in Measurement Points
2.1. Measuring Point Arrangement of Beam Deflection under Concentrated Load
2.2. Calculation of the First Derivative of the Deflection Difference
2.3. Characteristic Analysis of Beam Deflection Difference Distribution Curve under Concentrated Force
2.3.1. Analysis of Distribution Curves of Beam Deflection Difference before and after Single-Cable Damage
2.3.2. Analysis on Distribution Curve of Deflection Difference before and after Double-Cable Damage
3. Damage Location Identification Method of Stay Cable Based on First Derivative Wavelet Transform of the Girder Deflection Difference
3.1. Location Identification
3.2. Damage Degree Identification
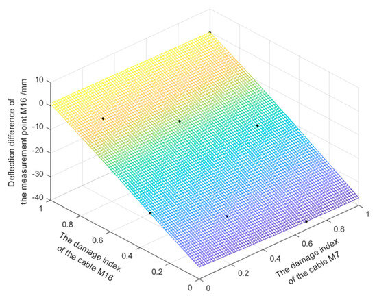
- The damage index of the damage cable is selected as the damage parameter, the uniform design method is used to set the sample points of the damage index, and the finite element model is used to simulate and calculate the deflection difference of the girder corresponding to the sample points (different damage degrees of the damage cable).Assume that cable i and cable j are damaged; the damage index of the damage cable is z, and the corresponding deflection difference of the girder is y.where n is the number of sample points, is the damage index vector of the k-th sample point, , are the damage indexes of cable i and cable j corresponding to the k-th sample point, respectively, is the deflection difference vector corresponding to the girder when the damage index is , , and are the deflection difference at the anchorage point of cable i and cable j corresponding to the k-th sample point, respectively.Taking the working conditions listed in Table 1 as an example, the damage indexes of cable M16 and cable M7 (, ) are selected as the parameters to be identified, and the variation interval of each parameter is set as (0–1). The uniform design method is used to design according to seven levels (n = 7). The values of each parameter are 0, 0.17, 0.33, 0.5, 0.67, 0.83 and 1.0, respectively. Seven groups of sample points, namely vector , are designed using uniform design table and its use table (see Table 2 for specific values). When a single cable is damaged, one of the parameters is set to a fixed value of 1. The finite element model is used to calculate the deflection difference vector y corresponding to the damage index sample points listed in Table 2.
- The dace toolbox in matlab [23] is used to establish the functional relation between the deflection difference vector and the damage index vector . The response surface between and is obtained by using the repoly0 function as the regression model (namely the Kriging proxy model).Figure 13 shows the response surface between , and (the deflection difference of ). Figure 14 shows the response surface between , and (the deflection difference of ). The accuracy requirements are satisfied by the checking calculation (). It can be seen from Figure 12 and Figure 13 that every point falls on the response surface, indicating that the response surface is well-fitted and can be used instead of the finite element model for calculation.
- Establish an objective function for the cable damage index to be identified, and then use the particle swarm optimization (PSO) algorithm [24] to find a set of data values to minimize the objective function; in addition, the corresponding data of the minimum value is the cable damage index.The deflection difference between the measured deflection difference of the girder before and after cable damage and the deflection difference predicted by the Kriging proxy model are compared, and the sum of the squares of the difference is taken as the objective function.where is the i-th component of the deflection difference vector corresponding to point z estimated using Kriging’s proxy model; is the i-th component of the deflection difference vector actually measured; is the vector formed by the damage index variable; N is the vector length.
4. Analysis of Influencing Factors of Cable Damage Identification
4.1. Influence of Noise on Damage Identification
4.1.1. Influence of Noise on Location Identification of Damage Cable
4.1.2. Influence of Noise on Damage Degree Identification
4.2. Influence of the Location of Concentrated Load
4.2.1. Location Identification
4.2.2. Damage Degree Identification
4.3. Influence of Bending Stiffness of Beam Body
4.3.1. Location Identification
4.3.2. Damage Degree Identification
4.4. Influence of Model Error
5. Experimental Verification
5.1. Introduction to Experimental Model
5.2. Identification of Cable Damage
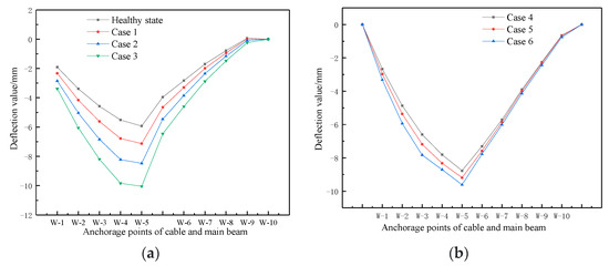
5.2.1. Location Identification
5.2.2. Damage Degree Identification
5.3. Influence of Noise on Damage Identification
6. Conclusions
- A small amount of deflection data can be used to identify the location and degree of cable damage. The wavelet coefficient distribution curve of the first derivative of the girder deflection difference before and after the cable damage monotonically changes from negative to positive from left to right on either side of the anchoring point where the damaged cable passes through the 0 point.
- The deflection difference distribution curve of the girder obtained using a small amount of measurement points almost coincides with that obtained with the original number of measurement points. The first derivative of the deflection difference of the girder before and after the reduction in the measurement points of the measurement point is transformed by wavelet transform, and the position of the damage cable (single-cable damage or double-cable damage) can be accurately identified.
- Before and after the reduction in the measurement points, instead of the finite element model, the Kriging surrogate model is computed based on the deflection difference corresponding to the cable damage. Combined with the theory of the particle swarm algorithm, it is possible to accurately identify the degree of damage to the cables.
- The proposed cable damage identification method based on monitoring data from a small number of measurement points is robust against interference and has promising applications.
Author Contributions
Funding
Institutional Review Board Statement
Informed Consent Statement
Data Availability Statement
Conflicts of Interest
References
- Alamdari, M.M.; Dang Khoa, N.L.; Wang, Y.; Samali, B.; Zhu, X. A multi-way data analysis approach for structural health monitoring of a cable-stayed bridge. Struct. Health Monit. 2019, 18, 35–48. [Google Scholar] [CrossRef]
- Li, H.; Ou, J.P. The state of the art in structural health monitoring of cable-stayed bridges. J. Civil Struct. Health Monit. 2016, 6, 43–67. [Google Scholar] [CrossRef]
- Chen, H.; He, W.; He, R. Damage identification for suspender of through and half-through arch bridges based on displacement differences of monitoring points. China J. Highw. Transp. 2012, 25, 83–88. [Google Scholar]
- Ho, H.N.; Kim, K.D.; Park, Y.S.; Lee, J.J. An efficient image-based damage detection for cable surface in cable-stayed bridges. NDT E Int. 2013, 58, 18–23. [Google Scholar] [CrossRef]
- Li, H.; Huang, Y.; Chen, W.L.; Ma, M.L.; Tao, D.W.; Ou, J.P. Estimation and warning of fatigue damage of FRP stay cables based on acoustic emission techniques and fractal theory. Comput. Aided Civ. Infrastruct. Eng. 2011, 26, 500–512. [Google Scholar] [CrossRef]
- Pan, H.; Azimi, M.; Yan, F.; Lin, Z. Time-frequency-based data-driven structural diagnosis and damage detection for cable-stayed bridges. J. Bridge Eng. 2018, 23, 04018033. [Google Scholar] [CrossRef]
- Wu, G.M.; Yi, T.H.; Yang, D.H.; Li, H.N. Damage detection of tension pendulums in cable-stayed bridges using structural frequency variance. J. Perform. Constr. Facil. 2021, 35, 04020126. [Google Scholar] [CrossRef]
- An, Y.H.; Zhong, Y.; Tan, Y.B.; Ou, J.P. Experimental and numerical studies on a test method for damage diagnosis of stay cables. Adv. Struct. Eng. 2017, 20, 245–256. [Google Scholar] [CrossRef]
- Zhang, S.; Shen, R.; Dai, K.; Wang, L.; De Roeck, G.; Lombaert, G. A methodology for cable damage identification based on wave decomposition. J. Sound Vib. 2019, 442, 527–551. [Google Scholar] [CrossRef]
- Ren, J.; Zhang, B.; Zhu, X.; Li, S. Damaged cable identification in cable-stayed bridge from bridge deck strain measurements using support vector machine. Adv. Struct. Eng. 2022, 25, 754–771. [Google Scholar] [CrossRef]
- Huang, J.; Li, D.; Li, H.; Song, G.; Liang, Y. Damage identification of a large cable-stayed bridge with novel cointegrated Kalman filter method under changing environments. Struct. Control. Health Monit. 2018, 25, e2152. [Google Scholar] [CrossRef]
- Chen, C.C.; Wu, W.H.; Liu, C.Y.; Lai, G. Diagnosis of instant and long-term damages in cable-stayed bridges based on the variation of cable forces. Struct. Infrastruct. Eng. 2018, 14, 565–579. [Google Scholar] [CrossRef]
- Ni, Y.; Zhang, Q.; Xin, R. Magnetic flux detection and identification of bridge cable metal area loss damage. Measurement 2021, 167, 108443. [Google Scholar] [CrossRef]
- Park, S.H.; Kim, J.W.; Nam, M.J.; Lee, J.J. Magnetic flux leakage sensing-based steel cable NDE technique incorporated on a cable climbing robot for bridge structures. Adv. Sci. Technol. 2013, 83, 217–222. [Google Scholar]
- Wang, W.; Su, M.; Wang, C. Static Deflection Difference-Based Damage Identification of Hanger in Arch Bridges. KSCE J. Civ. Eng. 2022, 26, 5096–5106. [Google Scholar] [CrossRef]
- Wang, W.; Su, M. Damage Identification in Hangers of Through-Arch Bridges Using Static Deflection Difference at the Anchorage Point. Appl. Sci. 2021, 11, 10780. [Google Scholar] [CrossRef]
- Fang, R.; Wu, Y.; Wei, W.; Na, L.; Biao, Q.; Jiang, P.; Yang, Q. An Improved Static Residual Force Algorithm and Its Application in Cable Damage Identification for Cable-Stayed Bridges. Appl. Sci. 2022, 12, 2945. [Google Scholar] [CrossRef]
- Wang, G.; Ye, J. Localization and quantification of partial cable damage in the long-span cable-stayed bridge using the abnormal variation of temperature-induced girder deflection. Struct. Control. Health Monit. 2019, 26, e2281. [Google Scholar] [CrossRef]
- Ge, J.; Su, M. Simulation Method for Cable Damage of Cable-Stayed Bridge and Its Effect on Cable Tension and Deflection Distribution. China Railw. Sci. 2016, 37, 30–37. [Google Scholar]
- Zhao, X.; Zhu, W.D.; Li, Y.H.; Li, Y.; Li, X.Y. Review, classification, and extension of classical soil-structure interaction models based on different superstructures and soils. Thin-Walled Struct. 2022, 173, 108936. [Google Scholar] [CrossRef]
- Abbasnia, R.; Farsaei, A. Corrosion detection of reinforced concrete beams with wavelet analysis. Int. J. Civ. Eng. 2013, 11, 160–169. [Google Scholar]
- Fursov, I.; Christie, M.; Lord, G. Applying kriging proxies for Markov chain Monte Carlo in reservoir simulation. Comput. Geosci. 2020, 24, 1725–1746. [Google Scholar] [CrossRef]
- Lophaven; Nymand, S.; Nielsen, H.B.; Søndergaard, J. DACE: A Matlab Kriging Toolbox; IMM, Informatics and Mathematical Modelling, The Technical University of Denmark: Lyngby, Denmark, 2002; Volume 2. [Google Scholar]
- Shami, T.M.; El-Saleh, A.A.; Alswaitti, M.; Al-Tashi, Q.; Summakieh, M.A.; Mirjalili, S. Particle swarm optimization: A comprehensive survey. IEEE Access 2022, 10, 10031–10061. [Google Scholar] [CrossRef]

























| Damage Type | Damage Cable | Damage Degree | Index of Damage |
|---|---|---|---|
| Case 1 | M7, M16 | 10%, 15% | 0.9, 0.85 |
| Case 2 | M7, M16 | 20%, 15% | 0.8, 0.85 |
| Case 3 | M7, M16 | 30%, 15% | 0.7, 0.85 |
| Case 4 | M7, M16 | 40%, 15% | 0.6, 0.85 |
| Damage Index | ||
|---|---|---|
| 0 | 0.33 | |
| 0.17 | 0.83 | |
| 0.33 | 0.17 | |
| 0.5 | 0.67 | |
| 0.67 | 0 | |
| 0.83 | 0.5 | |
| 1 | 1 |
| Single or Double-Cable Damage | Actual Value | Recognized Value (After the Reduction in the Measurement Points) | Error (After the Reduction in the Measurement Points) | Recognized Value (Before the Reduction in the Measurement Points) | Error (Before the Reduction in the Measurement Points) | |||||
|---|---|---|---|---|---|---|---|---|---|---|
| M7 | M16 | M7 | M16 | M7 | M16 | M7 | M16 | M7 | M16 | |
| Case 1 | 0.9 | 0.85 | 0.9010 | 0.8404 | 0.11% | −1.13% | 0.8969 | 0.8403 | 0.35% | −1.14% |
| Case 2 | 0.8 | 0.85 | 0.8017 | 0.8413 | 0.21% | −1.02% | 0.7950 | 0.8412 | 0.62% | −1.04% |
| Case 3 | 0.7 | 0.85 | 0.7049 | 0.8423 | 0.70% | −0.91% | 0.6946 | 0.8420 | 0.77% | −0.94% |
| Case 4 | 0.6 | 0.85 | 0.6094 | 0.8427 | 1.56% | −0.86% | 0.5966 | 0.8424 | 0.57% | −0.89% |
| Damage 10% | - | 0.9 | - | 0.8920 | - | −0.89% | - | 0.8920 | - | −0.89% |
| Damage 20% | - | 0.8 | - | 0.7977 | - | −0.29% | - | 0.7965 | - | −0.43% |
| Damage 30% | - | 0.7 | - | 0.6938 | - | −0.88% | - | 0.6933 | - | −0.96% |
| Damage 40% | - | 0.6 | - | 0.5969 | - | −0.51% | - | 0.5963 | - | −0.62% |
| Damage Type | Damage Cable | Damage Degree | Index of Damage |
|---|---|---|---|
| Case 1 | W-4 | 22.4% | 0.776 |
| Case 2 | W-4 | 43.8% | 0.562 |
| Case 3 | W-4 | 69.9% | 0.301 |
| Case 4 | W-3 & W-6 | 26.0%, 41.7% | 0.74, 0.583 |
| Case 5 | W-3 & W-6 | 46.1%, 41.7% | 0.539, 0.583 |
| Case 6 | W-3 & W-6 | 83.2%, 41.7% | 0.168, 0.583 |
Disclaimer/Publisher’s Note: The statements, opinions and data contained in all publications are solely those of the individual author(s) and contributor(s) and not of MDPI and/or the editor(s). MDPI and/or the editor(s) disclaim responsibility for any injury to people or property resulting from any ideas, methods, instructions or products referred to in the content. |
© 2023 by the authors. Licensee MDPI, Basel, Switzerland. This article is an open access article distributed under the terms and conditions of the Creative Commons Attribution (CC BY) license (https://creativecommons.org/licenses/by/4.0/).
Share and Cite
Yang, Y.; Su, M. Damage Identification of Stay Cables Based on a Small Amount of Deflection Monitoring Data. Appl. Sci. 2023, 13, 5352. https://doi.org/10.3390/app13095352
Yang Y, Su M. Damage Identification of Stay Cables Based on a Small Amount of Deflection Monitoring Data. Applied Sciences. 2023; 13(9):5352. https://doi.org/10.3390/app13095352
Chicago/Turabian StyleYang, Yanxiao, and Mubiao Su. 2023. "Damage Identification of Stay Cables Based on a Small Amount of Deflection Monitoring Data" Applied Sciences 13, no. 9: 5352. https://doi.org/10.3390/app13095352
APA StyleYang, Y., & Su, M. (2023). Damage Identification of Stay Cables Based on a Small Amount of Deflection Monitoring Data. Applied Sciences, 13(9), 5352. https://doi.org/10.3390/app13095352
